Sensitivity of Ozone Formation in Summer in Jinan Using Observation-Based Model
Abstract
1. Introduction
2. Methods and Data
2.1. Field Measurements
2.2. Ozone Formation Potential (OFP)
2.3. Observation-Based Model (OBM)
2.3.1. Empirical Kinetics Modeling Approach (EKMA)
2.3.2. Relative Incremental Reactivity (RIR)
2.4. Positive Matrix Factorization (PMF) Model
3. Results and Discussion
3.1. VOC Pollution Characteristics
3.1.1. Meteorological Condition and Pollution Characteristics
3.1.2. Diurnal Variation
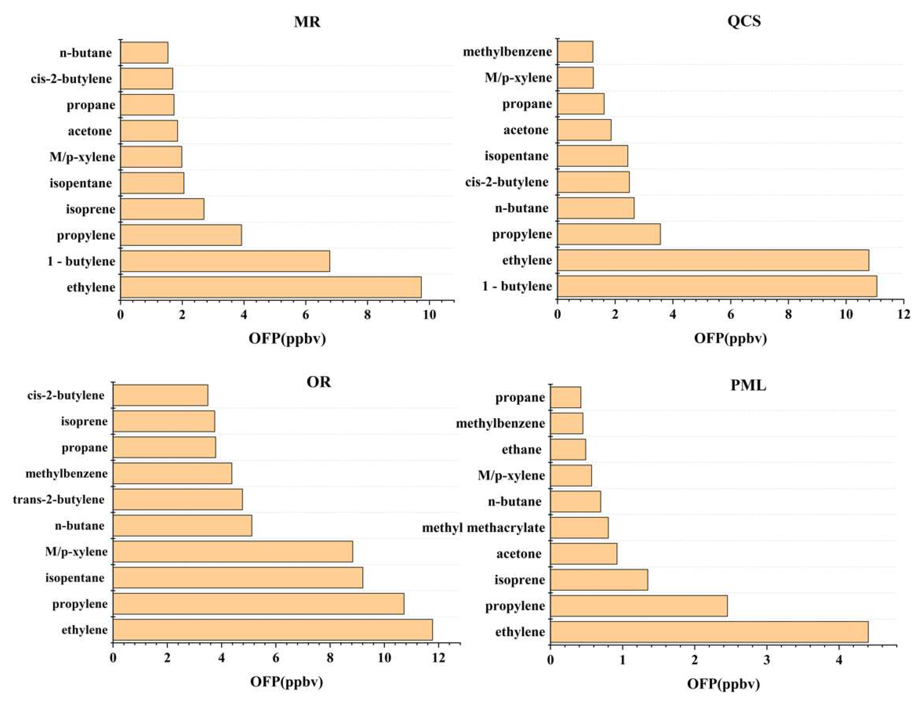
3.1.3. O3 Formation Potential (OFP) of VOCs
3.2. Sensitivity of O3 Formation to Precursors
3.2.1. EKMA
3.2.2. RIR of the Major Precursors
3.3. VOC Source Apportionment by PMF
4. Conclusions
Author Contributions
Funding
Institutional Review Board Statement
Informed Consent Statement
Data Availability Statement
Acknowledgments
Conflicts of Interest
References
- Wang, X.; Li, J.; Zhang, Y.; Xie, S.; Tang, X. Ozone source attribution during a severe photochemical smog episode in Beijing, China. Sci. Sin. 2009, 39, 548–559. [Google Scholar] [CrossRef]
- Hao, W.; Wang, W.; Zhang, Y.; Wang, Y.; He, M. Analysis of ozone generation sensitivity in Chengdu and establishment of control strategy. Acta Sci. Circumst. 2018, 38, 3894–3899. [Google Scholar] [CrossRef]
- Liu, C.; Zhang, L.; Wen, Y.; Shi, K. Sensitivity analysis of O3 formation to its precursors-Multifractal approach. Atmos. Environ. 2021, 251, 118275–118284. [Google Scholar] [CrossRef]
- Xu, D.; Yuan, Z.; Wang, M.; Zhao, K.; Liu, X.; Duan, Y.; Fu, Q.; Wang, Q.; Jing, S.; Wang, H.; et al. Multi-factor reconciliation of discrepancies in ozone-precursor sensitivity retrieved from observation- and emission-based models. Environ. Int. 2022, 158, 106952. [Google Scholar] [CrossRef] [PubMed]
- Bell, M.; McDermott, A.; Zeger, S.; Samet, J.; Dominici, F. Ozone and short-term mortality in 95 US urban communities, 1987–2000. JAMA 2004, 292, 2372–2378. [Google Scholar] [CrossRef]
- Ashmore, M. Assessing the future global impacts of ozone on vegetation. Plant Cell Environ. 2005, 28, 949–964. [Google Scholar] [CrossRef]
- Ainsworth, E.A. Understanding and improving global crop response to ozone pollution. Plant J. 2017, 90, 886–897. [Google Scholar] [CrossRef]
- Li, Y.; Yin, S.; Yu, S.; Bai, L.; Wang, X.; Lu, X.; Ma, S. Characteristics of ozone pollution and the sensitivity to precursors during early summer in central plain, China. J. Environ. Sci. 2021, 99, 354–368. [Google Scholar] [CrossRef]
- Wang, Y.; Guo, H.; Zou, S.; Lyu, X.; Ling, Z.; Cheng, H.; Zeren, Y. Surface O3 photochemistry over the South China Sea: Application of a near-explicit chemical mechanism box model. Environ. Pollut. 2018, 234, 155–166. [Google Scholar] [CrossRef]
- Derwent, R.; Jenkin, M.; Saunders, S. Photochemical ozone creation potentials for a large number of reactive hydrocarbons under European conditions. Atmos. Environ. 1996, 30, 181–199. [Google Scholar] [CrossRef]
- Jia, L.; Ge, M.; Xu, Y.; Du, L.; Zhuang, G.; Wang, D. Advances in Atmospheric Ozone Chemistry. Prog. Chem. 2006, 18, 1565–1574. [Google Scholar]
- Wu, W.; Xue, W.; Lei, Y.; Wang, J. Sensitivity analysis of ozone in Beijing-Tianjin-Hebei (BTH) and its surrounding area using OMI satellite remote sensing. China Environ. Sci. 2018, 38, 1201–1208. [Google Scholar] [CrossRef]
- Wang, T.; Ding, A.; Gao, J.; Wu, W. Strong ozone production in urban plumes from Beijing, China. Geophys. Res. Lett. 2006, 33, L21806. [Google Scholar] [CrossRef]
- An, J.; Wang, Y.; Li, X.; Sun, Y.; Shen, S.; Shi, L. Analysis of the Relationship between NO, NO2 and O3 Concentrations in Beijing. Environ. Sci. 2007, 28, 706–711. [Google Scholar] [CrossRef]
- Liu, J.; Wu, D.; Fan, S.; Liao, Z.; Deng, T. Impacts of precursors and meteorological factors on ozone pollution in Pearl River Delta. China Environ. Sci. 2017, 37, 813–820. [Google Scholar]
- Ren, J.; Zhu, K.; Xie, M.; Liu, W.; Gao, D.; Chen, J.; Jin, Y.; Zhao, R.; Zhang, L. Analysis of the ozone sensitivity and source appointment in Xianning, Hubei Province. China Environ. Sci. 2021, 41, 4060–4068. [Google Scholar] [CrossRef]
- Lin, Y.; Duan, Y.; Gao, Z.; Lin, C.; Zhou, S.; Song, Z.; Chen, X.; Liang, G.; Wang, Q.; Huang, K.; et al. Typical ozone pollution process and source identification in Shanghai based on VOCs intense measurement. Acta Sci. Circumst. 2019, 39, 126–133. [Google Scholar] [CrossRef]
- Liang, Y.; Yin, K.; Hu, Y.; Liu, B.; Liao, N.; Yan, M. Sensitivity analysis of ozone precursor emission in Shenzhen, China. China Environ. Sci. 2014, 34, 1390–1396. [Google Scholar]
- Yang, X.; Tang, L.; Zhang, Y.; Mu, Y.; Wang, M.; Chen, W.; Zhou, H.; Hua, Y.; Jiang, R. Correlation Analysis Between Characteristics of VOCs and Ozone Formation Potential in Summer in Nanjing Urban District. Environ. Sci. 2016, 37, 443–451. [Google Scholar] [CrossRef]
- Jin, X.; Holloway, T. Spatial and temporal variability of ozone sensitivity over China observed from the Ozone Monitoring Instrument. J. Geophys. Res. Atmos. 2015, 120, 7229–7246. [Google Scholar] [CrossRef]
- Wang, T.; Xue, L.; Brimblecombe, P.; Lam, Y.; Li, L.; Zhang, L. Ozone pollution in China: A review of concentrations, meteorological influences, chemical precursors, and effects. Sci. Total Environ. 2017, 575, 1582–1596. [Google Scholar] [CrossRef] [PubMed]
- Lu, K.; Zhang, Y.; Su, H.; Brauers, T.; Chou, C.; Hofzumahaus, A.; Liu, S.; Kita, K.; Kondo, Y.; Shao, M.; et al. Oxidant (O3 + NO2) production processes and formation regimes in Beijing. J. Geophys. Res. 2010, 115, D07303. [Google Scholar] [CrossRef]
- Wang, N.; Lyu, X.; Deng, X.; Huang, X.; Jiang, F.; Ding, A. Aggravating O3 pollution due to NOx emission control in eastern China. Sci. Total Environ. 2019, 677, 732–744. [Google Scholar] [CrossRef] [PubMed]
- Ran, L.; Zhao, C.S.; Xu, W.Y.; Han, M.; Lu, X.Q.; Han, S.Q.; Lin, W.L.; Xu, X.B.; Gao, W.; Yu, Q.; et al. Ozone production in summer in the megacities of Tianjin and Shanghai, China: A comparative study. Atmos. Chem. Phys. 2012, 12, 7531–7542. [Google Scholar] [CrossRef]
- Li, K.; Wang, X.; Li, L.; Wang, J.; Liu, Y.; Cheng, X.; Xu, B.; Wang, X.; Yan, P.; Li, S.; et al. Large variability of O3-precursor relationship during severe ozone polluted period in an industry-driven cluster city (Zibo) of North China Plain. J. Clean. Prod. 2021, 316, 128252–128267. [Google Scholar] [CrossRef]
- Tang, X.; Zhang, Y.; Shao, M. Atmospheric Environmental Chemistry; Higher Education Press: Beijing, China, 2006. [Google Scholar]
- Sun, X.; Zhao, M.; Shen, H.; Liu, Y.; Du, M.; Zhang, W.; Xu, H.; Fan, G.; Gong, H.; Li, Q.; et al. Ozone Formation and Key VOCs of a Continuous Summertime O3 Pollution Event in Ji’nan. Environ. Sci. 2022, 43, 686–695. [Google Scholar] [CrossRef]
- Carter, W.P.L. Development of ozone reactivity scales for volatile organic-compounds. J. Air Waste Manag. Assoc. 1994, 44, 881–899. [Google Scholar] [CrossRef]
- Yu, D.; Tan, Z.; Lu, K.; Ma, X.; Li, X.; Chen, S.; Zhu, B.; Lin, L.; Li, Y.; Qiu, P.; et al. An explicit study of local ozone budget and NOx-VOCs sensitivity in Shenzhen China. Atmos. Environ. 2020, 224, 117304–117317. [Google Scholar] [CrossRef]
- China MoEPotPsRo. Pilot Study on Source Analysis Technology of Ambient Air Ozone Pollution. Available online: https://www.mee.gov.cn/xxgk2018/xxgk/xxgk06/201807/W020180926550435480461.pdf (accessed on 1 June 2022).
- Liu, C.; Shi, K. A review on methodology in O3-NOx-VOC sensitivity study. Environ. Pollut. 2021, 291, 118249. [Google Scholar] [CrossRef]
- Tan, Z.; Lu, K.; Jiang, M.; Su, R.; Dong, H.; Zeng, L.; Xie, S.; Tan, Q.; Zhang, Y. Exploring ozone pollution in Chengdu, southwestern China: A case study from radical chemistry to O3-VOC-NOx sensitivity. Sci. Total Environ. 2018, 636, 775–786. [Google Scholar] [CrossRef]
- Lu, K.; Zhang, Y.; Su, H.; Shao, M.; Zeng, L.; Zhong, L.; Xiang, Y.; Zhang, Z.; Zhou, C.; Wahner, A. Regional ozone pollution and key controlling factors of photochemical ozone production in Pearl River Delta during summer time. Sci. Sin. 2010, 40, 407–420. [Google Scholar] [CrossRef]
- Zhang, J.; Wu, Y.; Li, H.; Ling, D.; Han, K.; Li, J.; Hu, J.; Wang, H.; Zhang, M.; Wang, S. Characteristics and source apportionment of ambient volatile organic compounds in autumn in Langfang development zones. China Environ. Sci. 2019, 39, 3186–3192. [Google Scholar] [CrossRef]
- Li, C.; Liu, Y.; Cheng, B.; Zhang, Y.; Liu, X.; Qu, Y.; An, J.; Kong, L.; Zhang, Y.; Zhang, C.; et al. A comprehensive investigation on volatile organic compounds (VOCs) in 2018 in Beijing, China: Characteristics, sources and behaviours in response to O3 formation. Sci. Total Environ. 2022, 806, 150247–150258. [Google Scholar] [CrossRef]
- Wang, M.; Wang, X.; Li, B.; Yi, Q. Analysis of VOCs pollution characteristics and ozone generation potential in Yantai. Environ. Sci. Technol. 2021, 44, 210–216. [Google Scholar] [CrossRef]
- Li, J.; Sun, S.; Jiang, X.; Zhang, Y.; Yu, B.; Wang, T. Characteristics, sources and atmospheric reactivity of volatile organic compounds in Shaoxing city in summer. Environ. Pollut. Control 2020, 42, 1145–1148+1170. [Google Scholar] [CrossRef]
- Fan, F.; Song, K.; Yu, Y.; Wan, Z.; Lu, S.; Tang, R.; Chen, S.; Zeng, S.; Guo, S. Chemical composition characteristics, activity and source analysis of atmospheric volatile organic compounds in Taizhou. J. Nanjing Univ. Inf. Sci. Technol. 2020, 12, 695–704. [Google Scholar] [CrossRef]
- Yu, S.; Zhang, Y.; Guo, W.; Li, Y.; Zhang, R. Pollution characteristics and source analysis of atmospheric volatile organic compounds in Zhengzhou in summer. In Proceedings of the Annual Conference of Science and Technology of Chinese Society of Environmental Sciences, Nanjing, China, 21 September 2020; pp. 4404–4410. [Google Scholar]
- Xu, C.; Chen, J.; Han, L.; Wang, B.; Wang, J. Characteristics of atmospheric VOCs pollution, ozone generation potential and source analysis in Chengdu in summer of 2017. Res. Environ. Sci. 2019, 32, 619–626. [Google Scholar] [CrossRef]
- Qian, J.; Xu, C.; Chen, J.; Jiang, T.; Han, L.; Wang, C.; Li, Y.; Wang, B.; Liu, Z. Chemical Characteristics and Contaminant Sensitivity During the Typical Ozone Pollution Processes of Chengdu in 2020. Environ. Sci. 2021, 42, 5736–5746. [Google Scholar] [CrossRef]
- Kleinman, L.I. The dependence of tropospheric ozone production rate on ozone precursors. Atmos. Environ. 2005, 39, 575–586. [Google Scholar] [CrossRef]
- Sillman, S.; West, J.J. Reactive nitrogen in Mexico City and its relation to ozone precursor sensitivity: Results from photochemical models. Atmos. Chem. Phys. 2009, 9, 3477–3489. [Google Scholar] [CrossRef]
- Liu, Y.; Shao, M.; Fu, L.; Lu, S.; Zeng, L.; Tang, D. Source profiles of volatile organic compounds (VOCs) measured in China: Part I. Atmos. Environ. 2008, 42, 6247–6260. [Google Scholar] [CrossRef]
- Zou, Q.; Sun, X.; Tian, X.; Tang, Q.; Song, Q.; Xu, D.; Jin, L. Ozone Formation Potential and Sources Apportionment of Atmospheric VOCs during Typical Periods in Summer of Jiashan. Environ. Monit. China 2017, 33, 91–98. [Google Scholar] [CrossRef]
- Zhang, L.; Wu, Z.; Li, B.; Liu, K.; Yue, T.; Zhang, Y. Pollution Characterizations of Atmospheric Volatile Organic Compounds in Spring of Beijing Urban Area. Res. Environ. Sci. 2020, 33, 526–535. [Google Scholar] [CrossRef]
- Wu, F.; Wang, Y.; An, J.; Zhang, J. Study on ConcentrationOzone Production Potential and Sources of VOCs in the Atmosphere of Beijing During Olympics Period. Environ. Sci. 2010, 31, 10–16. [Google Scholar] [CrossRef]
- Shao, M.; Fu, L.; Liu, Y.; Lu, S.; Zhang, Y.; Tang, X. Major reactive species of ambient volatile organic compounds (VOCs) and their sources in Beijing. Sci. China Ser. D Earth Sci. 2005, 48, 147–154. [Google Scholar]
- Xu, C.; Chen, J.; Jiang, T.; Han, L.; Wang, B.; Li, Y.; Wang, C.; Liu, Z.; Qian, J. Characteristics and Sources of Atmospheric Volatile Organic Compounds Pollution in Summer in Chengdu. Environ. Sci. 2020, 41, 5316–5324. [Google Scholar] [CrossRef]
- Ma, J.; Yan, Y.; Kong, S.; Song, A.; Chen, N.; Zhu, B.; Quan, J.; Qi, S. Characteristics and sources of ozone and its precursors around the Wuhan Military Games. China Environ. Sci. 2022, 42, 3023–3032. [Google Scholar] [CrossRef]
- Zhang, H.; Liu, M.; Wang, X.; Yang, S.; Li, Y.; Luo, L. Characteristics and sources of atmospheric VOCs during spring of 2021 in Nanchang. China Environ. Sci. 2022, 42, 1040–1047. [Google Scholar]












| Parameter | MS | QCS | OR | PML | Average |
|---|---|---|---|---|---|
| Temperature/°C | 28.5 | 28.9 | 28.7 | 22.4 | 27.1 |
| RH/% | 46.5 | 55.0 | 55.1 | 66.9 | 55.9 |
| Pressure/hPa | 995.0 | 999.2 | 996.4 | 910.8 | 975.4 |
| O3/ppbv | 114.8 | 114.7 | 118.1 | 92.3 | 110.0 |
| NO2/ppbv | 10.8 | 14.0 | 11.6 | 3.7 | 10.0 |
| NO/ppbv | 3.2 | 3.1 | 2.4 | 0.98 | 2.4 |
| NOx/ppbv | 14.0 | 17.1 | 13.9 | 4.6 | 12.4 |
| CO/ppmv | 0.84 | 0.82 | 1.3 | 0.88 | 1.0 |
| Isoprene/ppbv | 0.25 | 0.08 | 0.33 | 0.13 | 0.21 |
| AVOCs/ppbv | 28.3 | 29.7 | 56.9 | 10.9 | 31.2 |
| City | TVOCs (ppbv) | Alkane (%) | Halogenated Hydrocarbons (%) | OVOCs (%) | Arene (%) | Olefins (%) |
|---|---|---|---|---|---|---|
| Jinan (2021) | 31.4 | 52 | 14 | 17 | - | 8 |
| Yantai [36] | 27.7 | 35.4 | 15.5 | 33.1 | 6.7 | 8.2 |
| Shaoxing [37] | 77.4 | 31.4 | 22.2 | 19 | 20.5 | 6.9 |
| Taizhou [38] | 26.1 | 34.9 | 13.3 | 24.2 | 9.53 | 11.3 |
| Zhengzhou [39] | 40.5 | 24.7 | 18.7 | 34.1 | 10.7 | 10.2 |
| Chengdu [40] | 31.9 | 37.4 | 14.6 | 14.4 | 16.3 | 17.4 |
| Monitoring Site | Vehicular Exhaust | LPG | Industrial Process | Solvent Usage | Biogenic | Background and Secondary Formation | Fuel Usage |
|---|---|---|---|---|---|---|---|
| MR | 21.7% | 19.1% | 26.0% | 12.9% | 6.9% | 13.4% | / |
| QCS | 24.5% | / | 27.3% | 13.0% | 2.5% | 20.2% | 12.5% |
| OR | 29.7% | 23.7% | 16.9% | 14.0% | 2.9% | 12.7% | / |
| PML | 16.5% | / | 12.6% | / | 8.4% | 29.1% | 33.3% |
Publisher’s Note: MDPI stays neutral with regard to jurisdictional claims in published maps and institutional affiliations. |
© 2022 by the authors. Licensee MDPI, Basel, Switzerland. This article is an open access article distributed under the terms and conditions of the Creative Commons Attribution (CC BY) license (https://creativecommons.org/licenses/by/4.0/).
Share and Cite
Xu, C.; He, X.; Sun, S.; Bo, Y.; Cui, Z.; Zhang, Z.; Dong, H. Sensitivity of Ozone Formation in Summer in Jinan Using Observation-Based Model. Atmosphere 2022, 13, 2024. https://doi.org/10.3390/atmos13122024
Xu C, He X, Sun S, Bo Y, Cui Z, Zhang Z, Dong H. Sensitivity of Ozone Formation in Summer in Jinan Using Observation-Based Model. Atmosphere. 2022; 13(12):2024. https://doi.org/10.3390/atmos13122024
Chicago/Turabian StyleXu, Chenxi, Xuejuan He, Shida Sun, Yu Bo, Zeqi Cui, Zhanchao Zhang, and Hui Dong. 2022. "Sensitivity of Ozone Formation in Summer in Jinan Using Observation-Based Model" Atmosphere 13, no. 12: 2024. https://doi.org/10.3390/atmos13122024
APA StyleXu, C., He, X., Sun, S., Bo, Y., Cui, Z., Zhang, Z., & Dong, H. (2022). Sensitivity of Ozone Formation in Summer in Jinan Using Observation-Based Model. Atmosphere, 13(12), 2024. https://doi.org/10.3390/atmos13122024
