Soil Management and Microclimate Effects on Ecosystem Evapotranspiration of Winter Wheat–Soybean Cropping in Northern Alabama
Abstract
1. Introduction
2. Materials and Methods
2.1. Micrometeorological Measurements
2.2. Data Processing
2.3. Supporting Micrometeorological Measurements
2.4. Tillage and Cropping Management
3. Results
3.1. Site Microclimate
3.2. Diurnal and Seasonal Variation in Net Radiation Components
3.3. Energy Closure
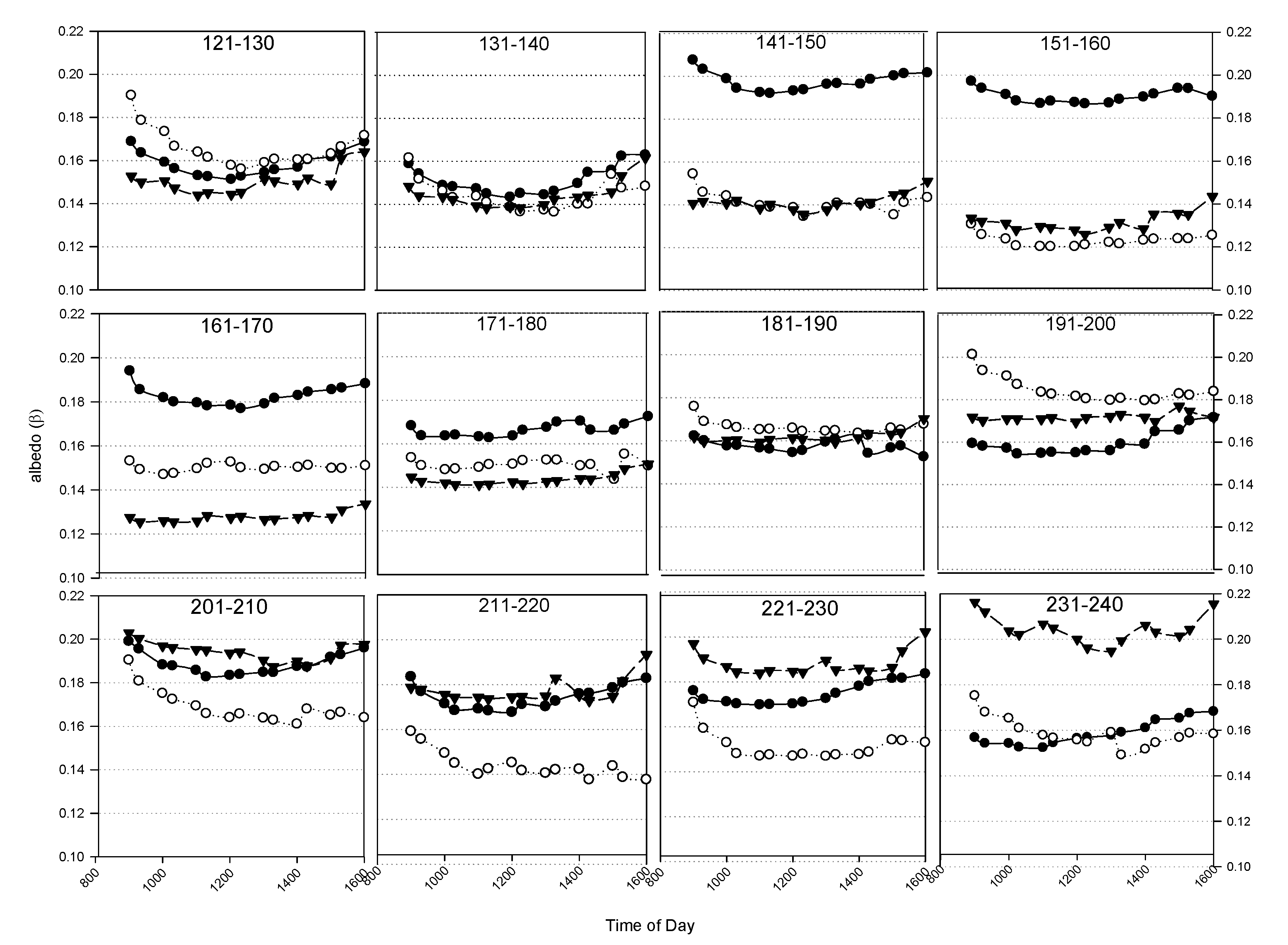
3.4. Daily and Seasonal Course of Albedo
3.5. Evapotranspiration
4. Discussion
4.1. Effects of Seasonal Changes in Radiation and Water Availability on Partitioning of Available Energy and ET
4.2. Biophysical Controls on ET during Growing and Non-Growing Seasons
5. Conclusions
Author Contributions
Funding
Data Availability Statement
Acknowledgments
Conflicts of Interest
References
- Wallander, S.; Smith, D.; Bowman, M.; Claassen, R. Cover Crop Trends, Programs, and Practices in the United States; Economic Information Bulletin 222; Economic Research Service, U.S. Department of Agriculture: Washington, DC, USA, 2021.
- Searchinger, T.; Hanson, C.; Ranganathan, J.; Lipinski, B.; Waite, R.; Winterbottom, R.; Dinshaw, A.; Heimlich, R. Creating a Sustainable Food Future: Interim Findings; World Resources Institute: Washington, DC, USA, 2013; Available online: http://www.wri.org/publication/ (accessed on 1 January 2020).
- Annual Report 2019–2020. USDA’s Sustainable Agriculture Research and Education (SARE) program. In National Cover Crop Survey; Conservation Technology Information Center (CTIC): West Lafayette, ID, USA, 2020. [Google Scholar]
- Borchers, A.; Truex-Powell, E.; Wallander, S.; Nickerson, C. Multi-Cropping Practices: Recent Trends in Double Cropping; Economic Information Bulletin Number 125; U.S. Department of Agriculture, Economic Research Service: Washington, DC, USA, 2014.
- Clark, A. Managing Cover Crops Profitably, 3rd ed.; USDA SARE: College Park, MD, USA, 2007. [Google Scholar]
- Kunkel, K.E.; Stevens, L.E.; Stevens, S.E.; Sun, L.; Janssen, E.; Wuebbles, D.J.; Hilberg, S.D.; Timlin, M.S.; Stoecker, L.A.; Westcott, N.E.; et al. Regional Climate Trends Scenarios for the US National Climate Assessment; Part 2: Climate of the Southeast US; NOAA Technical Report: Washington, DC, USA, 2013.
- Karl, T.R.; Melillo, J.M.; Peterson, T.C. (Eds.) Global Climate Change Impacts in the United States; Cambridge University Press: New York, NY, USA, 2009. [Google Scholar]
- Wang, H.R.; Fu, R.; Kumar, A.; Li, W. Intensification of summer rainfall variability in the southeastern United States during recent decades. J. Hydrometeorol. 2010, 11, 1007–1018. [Google Scholar]
- Douglas, E.M.; Beltrán-Przekurat, A.; Niyogi, D.; Pielke, R.A.; Vörösmarty, C.J. The impact of agricultural intensification and irrigation on land–atmosphere interactions and Indian monsoon precipitation-A mesoscale modeling perspective. Glob. Planet. Chang. 2009, 67, 117–128. [Google Scholar]
- Sun, G.; McNulty, S.G.; Moore Myers, J.A.; Cohen, E.C. Impacts of multiple stresses on water demand and supply across the Southeastern United States. J. Am. Water Resour. Assoc. 2008, 44, 1441–1457. [Google Scholar]
- Walbridge, M.R.; Shafer, S.R. A long-term agro-ecosystem research (LTAR) network for agriculture. In Proceedings of the Fourth Interagency Conference on Research in the Watersheds, Fairbanks, AK, USA, 26–30 September 2011. [Google Scholar]
- Baldocchi, D.D. “Breathing” of the Terrestrial Biosphere: Lessons Learned from a Global Network of Carbon Dioxide Flux Measurement Systems. Aust. J. Bot. 2008, 56, 1–26. [Google Scholar]
- Hernandez-Ramirez, G.; Hatfield, J.L.; Prueger, J.H.; Sauer, T.J. Energy balance and turbulent flux partitioning in a corn-soybean rotation in the Midwestern, U.S. Theor. Appl. Climatol. 2010, 100, 79–92. [Google Scholar]
- Houghton, R.A. Revised estimates of the annual net flux of carbon to the atmosphere from changes in land use and land management 1850–2000. Tellus 2003, 55, 378–390. [Google Scholar]
- Lu, J.; Sun, G.; McNulty, S.G.; Amatya, D.M. A comparison of six potential evapotranspiration methods for regional use in the southeastern United States. J. Am. Water Resour. Assoc. 2005, 41, 621–633. [Google Scholar]
- Tian, H.; Chen, G.; Liu, M.; Zhang, C.; Sun, G.; Lu, C.; Xu, X.; Ren, W.; Pan, S.; Chappelka, A. Model estimates of net primary productivity, evapotranspiration, and water use efficiency in the terrestrial ecosystems of the southern United States during 1895–2007. For. Ecol. Manag. 2010, 259, 1311–1327. [Google Scholar]
- Gu, L.; Meyers, T.; Pallardy, S.G.; Hanson, P.J.; Yang, B.; Heuer, M.; Hosman, K.P.; Riggs, J.S.; Sluss, D.; Wullschleger, S.D. Direct and indirect effects of atmospheric conditions and soil moisture on surface energy partitioning revealed by a prolonged drought at a temperate forest site. J. Geophys. Res. 2006, 111, D16102. [Google Scholar] [CrossRef]
- Meyers, T.P.; Hollinger, S.E. An assessment of storage terms in the surface energy balance of maize and soybean. Agric. For. Meteorol. 2004, 125, 105–115. [Google Scholar]
- Malcolm, S.; Marshall, E.; Aillery, M.; Heisey, P.; Livingston, M.; Day-Rubenstein, K. Agricultural Adaptation to a Changing Climate: Economic and Environmental Implications Vary by U.S. Region; Economic Research Repor 136; Economic Research Service, U.S. Department of Agriculture: Washington, DC, USA, 2012.
- Beringer, J.; Chapin III, F.S.; Thompson, C.C.; McGuire, A.D. Surface energy exchanges along a tundra-forest transition and feedbacks to climate. Agric. For. Meteorol. 2005, 131, 143–161. [Google Scholar]
- Pielke, R.A. Influence of the spatial distribution of vegetation and soils on the prediction of cumulus convective rainfall. Rev. Geophys. 2001, 39, 151–177. [Google Scholar]
- Seneviratne, S.I.; Lüthi, D.; Litschi, M.; Schär, C. Land-atmosphere coupling, and climate change in Europe. Nature 2006, 443, 205–209. [Google Scholar] [CrossRef]
- Burba, G.G.; Verma, S.B. Seasonal and interannual variability in evapotranspiration of native tallgrass prairie and cultivated wheat ecosystems. Agric. For. Meteorol. 2005, 135, 90–201. [Google Scholar]
- Gebremedhin, M.; Loescher, H.W.; Tsegaye, T.D. Carbon balance of no-till soybean with winter wheat cover crop in the southeastern United States. Agron. J. 2012, 104, 1321–1335. [Google Scholar] [CrossRef]
- Wilson, K.; Goldstein, A.; Falge, E.; Aubinet, A.; Baldocchi, D.D.; Berbigier, P.; Bernhofer, C.; Ceulemans, R.; Dolman, H.; Field, C.; et al. Energy balance closure at FLUXNET sites. Agric. For. Meteorol. 2002, 113, 223–243. [Google Scholar]
- Goulden, M.L.; Munger, J.W.; Fan, S.M.; Daube, B.C.; Wofsy, S.C. Measurements of carbon sequestration by long-term eddy covariance: Methods and critical evaluation of accuracy. Glob. Chang. Biol. 1996, 2, 169–182. [Google Scholar]
- Foken, T.; Wichura, B. Tools for quality assessment of surface-based flux measurements. Agric. For. Meteorol. 1996, 78, 83–105. [Google Scholar]
- Suyker, A.E.; Verma, S.B. Evapotranspiration of irrigated and rainfed maize soybean cropping systems. Agric. For. Meteorol. 2009, 149, 443–452. [Google Scholar]
- Suyker, A.E.; Verma, S.; Burba, G.G.; Arkebauer, T.J. Gross primary production and ecosystem respiration of irrigated maize and irrigated soybean during a growing season. Agric. For. Meteorol. 2005, 131, 180–190. [Google Scholar]
- Kool, D.; Kustas, W.P.; Ben-Gal, A.; Agam, N. Energy partitioning between plant canopy and soil, performance of the two-source energy balance model in a vineyard. Agric. For. Meteorol. 2021, 300, 108328. [Google Scholar] [CrossRef]
- Loescher, H.W.; Gholz, H.L.; Jacobs, J.M.; Oberbauer, S.F. Energy dynamics and modeled evapotranspiration from a wet tropical forest in Costa Rica. J. Hydrol. 2006, 315, 274–294. [Google Scholar]
- Asner, G.P. Biophysical and biochemical sources of variability in canopy reflectance. Remote Sens. Environ. 1998, 64, 234–253. [Google Scholar]
- Baldocchi, D.D.; Xu, L.; Kiang, N. How plant functional type, weather, seasonal drought, and soil physical properties alter water and energy fluxes of an oak-grass savanna and an annual grassland. Agric. For. Meteorol. 2004, 123, 13–39. [Google Scholar]
- Juang, J.Y.; Katul, G.; Siqueira, M.; Stoy, P.; Novick, K. Separating the effects of albedo from eco-physiological changes on surface temperature along a successional chronosequence in the southeastern United States. Geophys. Res. Lett. 2007, 34, L21408. [Google Scholar] [CrossRef]
- Wever, L.A.; Flanagan, L.B.; Carlson, P.J. Seasonal and inter-annual variation in evapotranspiration, energy balance, and surface conductance in northern temperate grassland. Agric. For. Meteorol. 2002, 112, 31–49. [Google Scholar]
- Li, S.G.; Lai, C.T.; Lee, G.; Shimoda, S.; Yokoyama, T.; Higuchi, A.; Oikawa, T. Evapotranspiration from a wet temperate grassland and its sensitivity to micro- environmental variables. Hydrol. Process. 2005, 19, 517–532. [Google Scholar]
- Li, S.G.; Eugster, W.; Asanuma, J.; Kotani, A.; Davaa, G.; Oyunbaatar, D.; Sugita, M. Energy partitioning and its biophysical controls above a grazing steppe in central Mongolia. Agric. For. Meteorol. 2006, 137, 89–106. [Google Scholar]
- Monteith, J.L.; Unsworth, M.H. Principles of Environmental Physics; Edward Arnold: London, UK, 1990. [Google Scholar]
- Oki, T.; Kanae, S. Global hydrological cycles, and world water resources. Science 2006, 313, 1068–1072. [Google Scholar]
- Baker, J.M.; Griffis, T.J. Examining strategies to improve the carbon balance of corn/soybean agriculture using eddy covariance and mass balance techniques. Agric. For. Meteorol. 2005, 128, 163–177. [Google Scholar]
- Li, S.G.; Asanuma, J.; Kotani, A.; Davaa, G.; Oyunbaatar, D. Evapotranspiration from a Mongolian steppe under grazing and its environmental constraints. J. Hydrol. 2007, 333, 133–143. [Google Scholar]
- Hunt, J.E.; Kelliher, F.M.; McSeveny, T.M.; Byers, J.N. Evaporation and carbon dioxide exchange between the atmosphere and a tussock grassland during a summer drought. Agric. For. Meteorol. 2002, 111, 65–82. [Google Scholar] [CrossRef]
- Verma, S.B.; Dobermann, A.; Cassman, K.G.; Walters, D.T.; Knops, J.M.; Arkebauer, T.J.; Suyker, A.E.; Burba, G.G.; Amos, B.; Yang, H.; et al. Annual carbon dioxide exchange in irrigated and rainfed maize-based agroecosystems. Agric. For. Meteorol. 2005, 131, 77–96. [Google Scholar]
- Kurc, S.A.; Small, E.E. Dynamics of evapotranspiration in semiarid grassland and shrubland ecosystems during the summer monsoon season, central New Mexico. Water Resour. Res. 2004, 40, W09305. [Google Scholar] [CrossRef]





| Energy Components (W m −2) | |||||||
|---|---|---|---|---|---|---|---|
| Year | Crop | DOY | Rn | LE | H | G | H/L |
| 2007 | Cover crop | 304–130 | 62.9 | 60.5 | 15.7 | 17.5 | 0.26 |
| Non-growing | 132–152 | 48.7 | 43.0 | 81.8 | 33.6 | 1.90 | |
| Soybean | 182–273 | 117.1 | 87.3 | 41.9 | 30.6 | 0.48 | |
| Cover crop | 275–306 | 122.1 | 49.1 | 21.4 | 13.7 | 0.44 | |
| Year total | 351.0 | 239.9 | 161.0 | 95.4 | 0.67 | ||
| 2008 | Cover crop | 304–130 | 57.8 | 61.2 | 10.3 | 15.6 | 0.17 |
| Non-growing | 132–152 | 54.0 | 77.0 | 72.3 | 41.8 | 0.94 | |
| Soybean | 182–273 | 137.8 | 111.2 | 34.3 | 35.1 | 0.31 | |
| Cover crop | 275–300 | 54.0 | 52.4 | 32.5 | 17.5 | 0.62 | |
| Year total | 303.6 | 301.8 | 149.0 | 110 | 0.49 | ||
| 2009 | Cover crop | 304–130 | 67.1 | 89.8 | 10.8 | 17.1 | 0.12 |
| Non-growing Soybean | 132–152 | 151.9 | 86.7 | 83.4 | 35.3 | 0.96 | |
| Cover crop | 183–326 | 102.7 | 76.2 | 40.0 | 25.2 | 0.52 | |
| Cover crop | NA | NA | NA | NA | NA | NA | |
| Year total | 322 | 253 | 134 | 77.6 | 0.53 | ||
| Year | Season/Crop | Albedo | ||
|---|---|---|---|---|
| Minimum | Average | Maximum | ||
| 2007 | Non-growing | 0.12 | 0.18 | 0.22 |
| Winter wheat | 0.10 | 0.18 | 0.29 | |
| Soybean | 0.12 | 0.18 | 0.22 | |
| 2008 | Non-growing | 0.10 | 0.14 | 0.21 |
| Winter wheat | 0.10 | 0.16 | 0.25 | |
| Soybean | 0.13 | 0.17 | 0.23 | |
| 2009 | Non-growing | 0.11 | 0.18 | 0.18 |
| Winter wheat | 0.10 | 0.15 | 0.29 | |
| Soybean | 0.10 | 0.17 | 0.27 | |
| ET (mm) | P (mm) | ET/P | |||||
|---|---|---|---|---|---|---|---|
| Year | Season | Min | Max | Mean | Total | Total | |
| 2007 | Non-growing | 139.4 | 113.1 | 1.23 | |||
| Soybean | 0.23 | 3.44 | 1.33 | 220.0 | 259.0 | 0.85 | |
| Winter wheat | 0.24 | 4.80 | 2.47 | 134.0 | 112.0 | 1.20 | |
| cover crop | 0.07 | 3.73 | 1.70 | ||||
| Year total | 493.4 | 567 | 0.87 | ||||
| 2008 | Non-growing | 178.8 | 294 | 0.61 | |||
| Soybean | 0.16 | 3.90 | 1.82 | 260.0 | 304.0 | 0.86 | |
| Winter wheat cover crop | 0.20 | 4.90 | 2.83 | 304.0 | 682.0 | 0.45 | |
| Non-growing | 0.15 | 4.57 | 1.74 | ||||
| Year total | 743.0 | 1280 | 0.58 | ||||
| 2009 | Non-growing | 80.5 | 34.5 | 2.33 | |||
| Soybean | 0.19 | 4.18 | 2.51 | 282.0 | 494.5 | 0.57 | |
| Winter wheat cover crop | 0.16 | 4.48 | 1.82 | 383.0 | 827.0 | 0.46 | |
| Non-growing | 0.18 | 7.50 | 2.44 | ||||
| Year total | 746 | 1356 | 0.55 |
Publisher’s Note: MDPI stays neutral with regard to jurisdictional claims in published maps and institutional affiliations. |
© 2022 by the authors. Licensee MDPI, Basel, Switzerland. This article is an open access article distributed under the terms and conditions of the Creative Commons Attribution (CC BY) license (https://creativecommons.org/licenses/by/4.0/).
Share and Cite
Gebremedhin, M.; Brown, J.; Ries, I. Soil Management and Microclimate Effects on Ecosystem Evapotranspiration of Winter Wheat–Soybean Cropping in Northern Alabama. Atmosphere 2022, 13, 1653. https://doi.org/10.3390/atmos13101653
Gebremedhin M, Brown J, Ries I. Soil Management and Microclimate Effects on Ecosystem Evapotranspiration of Winter Wheat–Soybean Cropping in Northern Alabama. Atmosphere. 2022; 13(10):1653. https://doi.org/10.3390/atmos13101653
Chicago/Turabian StyleGebremedhin, Maheteme, Jacob Brown, and Ian Ries. 2022. "Soil Management and Microclimate Effects on Ecosystem Evapotranspiration of Winter Wheat–Soybean Cropping in Northern Alabama" Atmosphere 13, no. 10: 1653. https://doi.org/10.3390/atmos13101653
APA StyleGebremedhin, M., Brown, J., & Ries, I. (2022). Soil Management and Microclimate Effects on Ecosystem Evapotranspiration of Winter Wheat–Soybean Cropping in Northern Alabama. Atmosphere, 13(10), 1653. https://doi.org/10.3390/atmos13101653

