The ICON Single-Column Mode
Abstract
1. Introduction
2. Model Description
2.1. General Design of ICON SCM
2.2. Forcing and Surface Boundary Conditions
2.3. Large Eddy Simulations
3. Results
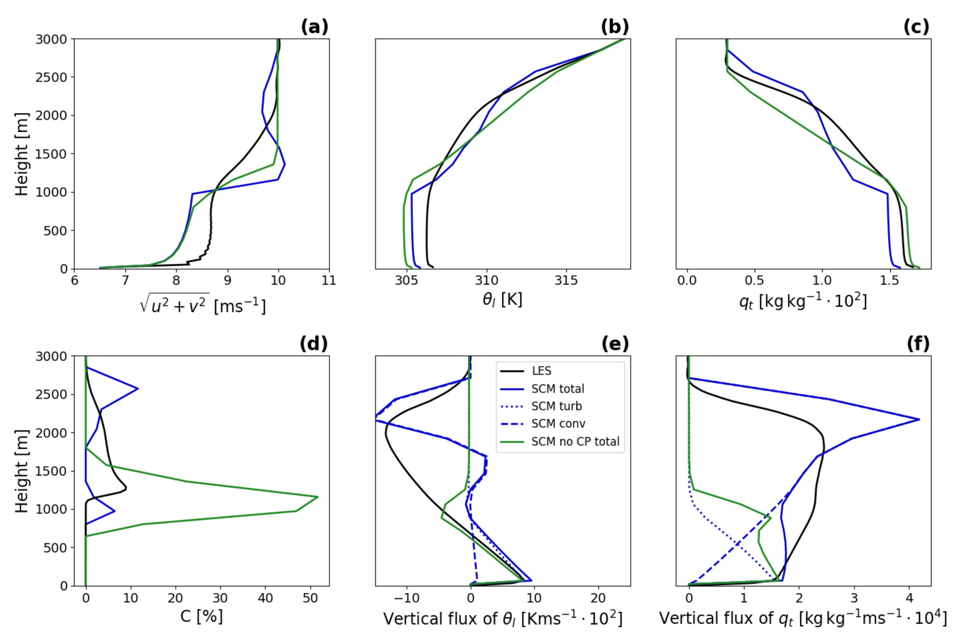
3.1. Study of the Shallow-Convection Parameterization for Three Idealized Cases
3.2. Feedback Study between Cloud Water Content and Turbulence in a Stratocumulus Case
3.3. Evaluation of Clear-Sky Radiation and Improvement of the Solar Spectrum
3.4. Semi-Realistic Simulations
4. Conclusions
Author Contributions
Funding
Institutional Review Board Statement
Informed Consent Statement
Data Availability Statement
Acknowledgments
Conflicts of Interest
Abbreviations
| CBL | Convective Boundary Layer |
| CPM | Convection Parameterizing Mode with deep convection parameterization |
| CRM | Cloud Resolving Mode without deep convection parametrization |
| ICON | ICOsahedral Nonhydrostatic |
| ITKE | integrated TKE |
| LAM | Limited-Area Mode with open lateral boundary conditions |
| LEM | Large Eddy Mode |
| LES | Large Eddy Simulations |
| LWP | Liquid Water Path |
| PER | limited-area mode with PERiodic lateral boundary conditions |
| SCM | Single-Column Mode/Model |
| TKE | Turbulence Kinetic Energy |
References
- Stull, R. An Introduction to Boundary Layer Meteorology; Springer Netherlands: Dordrecht, The Netherlands, 1988. [Google Scholar]
- Stensrud, D.J. Parameterization Schemes: Keys to Understanding Numerical Weather Prediction Models; Cambridge University Press: Cambridge, UK, 2007. [Google Scholar] [CrossRef]
- Wyngaard, J.C. Toward Numerical Modeling in the “Terra Incognita”. J. Atmos. Sci. 2004, 61, 1816–1826. [Google Scholar] [CrossRef]
- Chow, F.; Schär, C.; Ban, N.; Lundquist, K.; Schlemmer, L.; Shi, X. Crossing Multiple Gray Zones in the Transition from Mesoscale to Microscale Simulation over Complex Terrain. Atmosphere 2019, 10, 274. [Google Scholar] [CrossRef]
- Randall, D. Use of single-column models and large-eddy simulations together with field data to evaluate parametrizations of atmospheric processes. In Proceedings of the Diagnosis of Models and Data Assimilation Systems, ECMWF, ECMWF, Shinfield Park, Reading, UK, 6–10 September 1999; pp. 285–318. [Google Scholar]
- Hourdin, F.; Jam, A.; Rio, C.; Couvreux, F.; Sandu, I.; Lefebvre, M.P.; Brient, F.; Idelkadi, A. Unified Parameterization of Convective Boundary Layer Transport and Clouds With the Thermal Plume Model. J. Adv. Model. Earth Syst. 2019, 11, 2910–2933. [Google Scholar] [CrossRef]
- Betts, A.K.; Miller, M.J. A new convective adjustment scheme. Part II: Single column tests using GATE wave, BOMEX, ATEX and arctic air-mass data sets. Q. J. R. Meteorol. Soc. 1986, 112, 693–709. [Google Scholar] [CrossRef]
- Gettelman, A.; Truesdale, J.E.; Bacmeister, J.T.; Caldwell, P.M.; Neale, R.B.; Bogenschutz, P.A.; Simpson, I.R. The Single Column Atmosphere Model Version 6 (SCAM6): Not a Scam but a Tool for Model Evaluation and Development. J. Adv. Model. Earth Syst. 2019, 11, 1381–1401. [Google Scholar] [CrossRef]
- Baas, P.; Bosveld, F.; Lenderink, G.; van Meijgaard, E.; Holtslag, A.A.M. How to design single-column model experiments for comparison with observed nocturnal low-level jets. Q. J. R. Meteorol. Soc. 2010, 136, 671–684. [Google Scholar] [CrossRef]
- Lane, D.E.; Somerville, R.C.J.; Iacobellis, S.F. Sensitivity of Cloud and Radiation Parameterizations to Changes in Vertical Resolution. J. Clim. 2000, 13, 915–922. [Google Scholar] [CrossRef]
- Sušelj, K.; Teixeira, J.; Matheou, G. Eddy Diffusivity/Mass Flux and Shallow Cumulus Boundary Layer: An Updraft PDF Multiple Mass Flux Scheme. J. Atmos. Sci. 2012, 69, 1513–1533. [Google Scholar] [CrossRef]
- Huang, H.Y.; Hall, A.; Teixeira, J. Evaluation of the WRF PBL Parameterizations for Marine Boundary Layer Clouds: Cumulus and Stratocumulus. Mon. Weather Rev. 2013, 141, 2265–2271. [Google Scholar] [CrossRef][Green Version]
- Ayotte, K.W.; Sullivan, P.P.; Andrén, A.; Doney, S.C.; Holtslag, A.A.M.; Large, W.G.; McWilliams, J.C.; Moeng, C.H.; Otte, M.J.; Tribbia, J.J.; et al. An evaluation of neutral and convective planetary boundary-layer parameterizations relative to large eddy simulations. Bound.-Layer Meteorol. 1996, 79, 131–175. [Google Scholar] [CrossRef]
- Duynkerke, P.G.; de Roode, S.R.; van Zanten, M.C.; Calvo, J.; Cuxart, J.; Cheinet, S.; Chlond, A.; Grenier, H.; Jonker, P.J.; Köhler, M.; et al. Observations and numerical simulations of the diurnal cycle of the EUROCS stratocumulus case. Q. J. R. Meteorol. Soc. 2004, 130, 3269–3296. [Google Scholar] [CrossRef]
- Lenderink, G.; Siebesma, A.P.; Cheinet, S.; Irons, S.; Jones, C.G.; Marquet, P.; Müller, F.M.; Olmeda, D.; Calvo, J.; Sánchez, E.; et al. The diurnal cycle of shallow cumulus clouds over land: A single-column model intercomparison study. Q. J. R. Meteorol. Soc. 2004, 130, 3339–3364. [Google Scholar] [CrossRef]
- Cuxart, J.; Holtslag, A.A.M.; Beare, R.J.; Bazile, E.; Beljaars, A.; Cheng, A.; Conangla, L.; Ek, M.; Freedman, F.; Hamdi, R.; et al. Single-Column Model Intercomparison for a Stably Stratified Atmospheric Boundary Layer. Bound.-Layer Meteorol. 2005, 118, 273–303. [Google Scholar] [CrossRef]
- Edwards, J.M.; Beare, R.J.; Lapworth, A.J. Simulation of the observed evening transition and nocturnal boundary layers: Single-column modelling. Q. J. R. Meteorol. Soc. 2006, 132, 61–80. [Google Scholar] [CrossRef]
- Zhang, M.; Somerville, R.C.J.; Xie, S. The SCM Concept and Creation of ARM Forcing Datasets. Meteorol. Monogr. 2016, 57, 24.1–24.12. [Google Scholar] [CrossRef]
- Golaz, J.C.; Larson, V.E.; Cotton, W.R. A PDF-Based Model for Boundary Layer Clouds. Part I: Method and Model Description. J. Atmos. Sci. 2002, 59, 3540–3551. [Google Scholar] [CrossRef]
- Neggers, R.A.J.; Siebesma, A.P.; Heus, T. Continuous Single-Column Model Evaluation at a Permanent Meteorological Supersite. Bull. Am. Meteorol. Soc. 2012, 93, 1389–1400. [Google Scholar] [CrossRef]
- Angevine, W.M.; Olson, J.; Kenyon, J.; Gustafson William, I.J.; Endo, S.; Suselj, K.; Turner, D.D. Shallow Cumulus in WRF Parameterizations Evaluated against LASSO Large-Eddy Simulations. Mon. Weather Rev. 2018, 146, 4303–4322. [Google Scholar] [CrossRef]
- Sylvie Malardel MUSC: (Modele Unifie, Simple Colonne) for Arpege-Aladin-Arome-Alaro-Hirlam-(IFS) (CY31T1 Version). 2008. Available online: https://www.umr-cnrm.fr/gmapdoc/IMG/pdf_DOC_1D_MODEL.pdf (accessed on 6 July 2020).
- Hartung, K.; Svensson, G.; Struthers, H.; Deppenmeier, A.L.; Hazeleger, W. An EC-Earth coupled atmosphere-ocean single-column model (AOSCM) for studying coupled marine and polar processes. Geosci. Model Dev. Discuss. 2018, 2018, 1–35. [Google Scholar] [CrossRef]
- Carver, G.; Váňa, F. OpenIFS Home. 2017. Available online: https://confluence.ecmwf.int/display/OIFS (accessed on 6 July 2020).
- Zängl, G.; Reinert, D.; Rípodas, P.; Baldauf, M. The ICON (ICOsahedral Non-hydrostatic) modelling framework of DWD and MPI-M: Description of the non-hydrostatic dynamical core. Q. J. R. Meteorol. Soc. 2015, 141, 563–579. [Google Scholar] [CrossRef]
- Dipankar, A.; Stevens, B.; Heinze, R.; Moseley, C.; Zängl, G.; Giorgetta, M.; Brdar, S. Large eddy simulation using the general circulation model ICON. J. Adv. Model. Earth Syst. 2015, 7, 963–986. [Google Scholar] [CrossRef]
- Giorgetta, M.A.; Brokopf, R.; Crueger, T.; Esch, M.; Fiedler, S.; Helmert, J.; Hohenegger, C.; Kornblueh, L.; Köhler, M.; Manzini, E.; et al. ICON-A, the Atmosphere Component of the ICON Earth System Model: I. Model Description. J. Adv. Model. Earth Syst. 2018, 10, 1613–1637. [Google Scholar] [CrossRef]
- Van Heerwaarden, C.C.; van Stratum, B.J.H.; Heus, T.; Gibbs, J.A.; Fedorovich, E.; Mellado, J.P. MicroHH 1.0: A computational fluid dynamics code for direct numerical simulation and large-eddy simulation of atmospheric boundary layer flows. Geosci. Model Dev. Discuss. 2017, 2017, 1–33. [Google Scholar] [CrossRef]
- Heinze, R.; Dipankar, A.; Henken, C.C.; Moseley, C.; Sourdeval, O.; Trömel, S.; Xie, X.; Adamidis, P.; Ament, F.; Baars, H.; et al. Large-eddy simulations over Germany using ICON: A comprehensive evaluation. Q. J. R. Meteorol. Soc. 2017, 143, 69–100. [Google Scholar] [CrossRef]
- Crueger, T.; Giorgetta, M.A.; Brokopf, R.; Esch, M.; Fiedler, S.; Hohenegger, C.; Kornblueh, L.; Mauritsen, T.; Nam, C.; Naumann, A.K.; et al. ICON-A, The Atmosphere Component of the ICON Earth System Model: II. Model Evaluation. J. Adv. Model. Earth Syst. 2018, 10, 1638–1662. [Google Scholar] [CrossRef]
- DWD; MPI-M. ICON Web Page. 2020. Available online: https://code.mpimet.mpg.de/projects/iconpublic (accessed on 15 July 2020).
- Zängl, G.; Schäfer, S. Model Configuration Upgrade of ICON. 2021. Available online: https://www.dwd.de/DE/fachnutzer/forschung_lehre/numerische_wettervorhersage/nwv_aenderungen/_functions/DownloadBox_modellaenderungen/icon/pdf_2021/pdf_icon_14_04_2021.pdf (accessed on 13 July 2021).
- Couvreux, F.; Rio, C.; Lefebvre, M.P.; Roehrig, R.; Hourdinand, F.; Zhang, Y. Standardization of the Input and Output Files of SCM and LES Simulations. 2020. Available online: https://www.lmd.jussieu.fr/~hourdin/Workshop1Dstd.html (accessed on 3 September 2020).
- Zhu, P.; Bretherton, C.S.; Köhler, M.; Cheng, A.; Chlond, A.; Geng, Q.; Austin, P.; Golaz, J.C.; Lenderink, G.; Lock, A.; et al. Intercomparison and Interpretation of Single-Column Model Simulations of a Nocturnal Stratocumulus-Topped Marine Boundary Layer. Mon. Weather Rev. 2005, 133, 2741–2758. [Google Scholar] [CrossRef][Green Version]
- Heinze, R.; Moseley, C.; Böske, L.N.; Muppa, S.K.; Maurer, V.; Raasch, S.; Stevens, B. Evaluation of large-eddy simulations forced with mesoscale model output for a multi-week period during a measurement campaign. Atmos. Chem. Phys. 2017, 17, 7083–7109. [Google Scholar] [CrossRef]
- Brown, A.R.; Cederwall, R.T.; Chlond, A.; Duynkerke, P.G.; Golaz, J.C.; Khairoutdinov, M.; Lewellen, D.C.; Lock, A.P.; MacVean, M.K.; Moeng, C.H.; et al. Large-eddy simulation of the diurnal cycle of shallow cumulus convection over land. Q. J. R. Meteorol. Soc. 2002, 128, 1075–1093. [Google Scholar] [CrossRef]
- Siebesma, A.P.; Bretherton, C.S.; Brown, A.; Chlond, A.; Cuxart, J.; Duynkerke, P.G.; Jiang, H.; Khairoutdinov, M.; Lewellen, D.; Moeng, C.H.; et al. A Large Eddy Simulation Intercomparison Study of Shallow Cumulus Convection. J. Atmos. Sci. 2003, 60, 1201–1219. [Google Scholar] [CrossRef]
- Rauber, R.M.; Stevens, B.; Ochs, H.T., III; Knight, C.; Albrecht, B.A.; Blyth, A.M.; Fairall, C.W.; Jensen, J.B.; Lasher-Trapp, S.G.; Mayol-Bracero, O.L.; et al. Rain in Shallow Cumulus Over the Ocean: The RICO Campaign. Bull. Am. Meteorol. Soc. 2007, 88, 1912–1928. [Google Scholar] [CrossRef]
- Van Zanten, M.C.; Stevens, B.; Nuijens, L.; Siebesma, A.P.; Ackerman, A.S.; Burnet, F.; Cheng, A.; Couvreux, F.; Jiang, H.; Khairoutdinov, M.; et al. Controls on precipitation and cloudiness in simulations of trade-wind cumulus as observed during RICO. J. Adv. Model. Earth Syst. 2011, 3. [Google Scholar] [CrossRef]
- Stevens, B.; Moeng, C.H.; Ackerman, A.S.; Bretherton, C.S.; Chlond, A.; de Roode, S.; Edwards, J.; Golaz, J.C.; Jiang, H.; Khairoutdinov, M.; et al. Evaluation of Large-Eddy Simulations via Observations of Nocturnal Marine Stratocumulus. Mon. Weather Rev. 2005, 133, 1443–1462. [Google Scholar] [CrossRef]
- Holtslag, B. Preface: GEWEX Atmospheric Boundary-layer Study (GABLS) on Stable Boundary Layers. Bound.-Layer Meteorol. 2006, 118, 243–246. [Google Scholar] [CrossRef]
- Beare, R.J.; Macvean, M.K.; Holtslag, A.A.M.; Cuxart, J.; Esau, I.; Golaz, J.C.; Jimenez, M.A.; Khairoutdinov, M.; Kosovic, B.; Lewellen, D.; et al. An Intercomparison of Large-Eddy Simulations of the Stable Boundary Layer. Bound.-Layer Meteorol. 2006, 118, 247–272. [Google Scholar] [CrossRef]
- Boutle, I.; Hill, A.; Romakkaniemi, S.; Bergot, T.; Lac, C.; Maronga, B.; Steeneveld, G.J. Demistify: An LES & NWP Fog Modelling Intercomparison. 2018. Available online: https://www.gewex.org/gewex-content/uploads/2018/09/demistify_fog_10Sep2018.pdf (accessed on 2 September 2020).
- Price, J.; Lane, S.; Boutle, I.; Smith, D.; Bergot, T.; Lac, C.; Duconge, L.; McGregor, J.; Kerr-Munslow, A.; Pickering, M.; et al. LANFEX: A field and modeling study to improve our understanding and forecasting of radiation fog. Bull. Am. Meteorol. Soc. 2018, 99, 2061–2077. [Google Scholar] [CrossRef]
- Boutle, I.; Price, J.; Kudzotsa, I.; Kokkola, H.; Romakkaniemi, S. Aerosol—Fog interaction and the transition to well-mixed radiation fog. Atmos. Chem. Phys. 2018, 18, 7827. [Google Scholar] [CrossRef]
- Hogan, R.J.; Matricardi, M. Evaluating and improving the treatment of gases in radiation schemes: The Correlated K-Distribution Model Intercomparison Project (CKDMIP). Geosci. Model Dev. 2020, 13, 6501–6521. [Google Scholar] [CrossRef]
- Van Heerwaarden, C.; van Stratum, B.; Heus, T. microhh/microhh: 1.0.0. 2017. Available online: https://doi.org/10.5281/zenodo.822842 (accessed on 13 July 2021).
- Doms, G.; Förstner, J.; Heise, E.; Herzog, H.J.; Mironov, D.; Raschendorfer, M.; Reinhardt, T.; Ritter, B.; Schrodin, R.; Schulz, J.P.; et al. A Description of the Nonhydrostatic Regional COSMO-Model. Part II— Physical Parameterizations. 2013. Available online: http://www.cosmo-model.org/content/model/documentation/core/cosmo_physics_5.00.pdf (accessed on 5 August 2020).
- Cerenzia, I. Challenges and Critical Aspects in Stable Boundary Layer Representation in Numerical Weather Prediction Modeling: Diagnostic Analyses and Proposals for Improvement. Ph.D. Thesis, Alma Mater Studiorum Universita di Bologna, Bologna, Italy, 2017. [Google Scholar] [CrossRef]
- Bechtold, P.; Köhler, M.; Jung, T.; Doblas-Reyes, F.; Leutbecher, M.; Rodwell, M.J.; Vitart, F.; Balsamo, G. Advances in simulating atmospheric variability with the ECMWF model: From synoptic to decadal time-scales. Q. J. R. Meteorol. Soc. 2008, 134, 1337–1351. [Google Scholar] [CrossRef]
- Hohenegger, C.; Kornblueh, L.; Klocke, D.; Becker, T.; Cioni, G.; Engels, J.F.; Schulzweida, U.; Stevens, B. Climate Statistics in Global Simulations of the Atmosphere, from 80 to 2.5 km Grid Spacing. J. Meteorol. Soc. Jpn. Ser. II 2020, 98, 73–91. [Google Scholar] [CrossRef]
- Angevine, W.M.; Jiang, H.; Mauritsen, T. Performance of an Eddy Diffusivity–Mass Flux Scheme for Shallow Cumulus Boundary Layers. Mon. Weather. Rev. 2010, 138, 2895–2912. [Google Scholar] [CrossRef]
- Schlemmer, L.; Bechtold, P.; Sandu, I.; Ahlgrimm, M. Uncertainties related to the representation of momentum transport in shallow convection. J. Adv. Model. Earth Syst. 2017, 9, 1269–1291. [Google Scholar] [CrossRef]
- Sommeria, G.; Deardorff, J.W. Subgrid-Scale Condensation in Models of Nonprecipitating Clouds. J. Atmos. Sci. 1977, 34, 344–355. [Google Scholar] [CrossRef]
- Bašták Ďurán, I.; Geleyn, J.F.; Váňa, F.V.; Schmidli, J.; Brožková, R. A Turbulence Scheme with Two Prognostic Turbulence Energies. J. Atmos. Sci. 2018, 75, 3381–3402. [Google Scholar] [CrossRef]
- Bénard, P.; Marki, A.; Neytchev, P.N.; Prtenjak, M.T. Stabilization of Nonlinear Vertical Diffusion Schemes in the Context of NWP Models. Mon. Weather. Rev. 2000, 128, 1937–1948. [Google Scholar] [CrossRef]
- Turner, D.D.; Tobin, D.; Clough, S.A.; Brown, P.D.; Ellingson, R.G.; Mlawer, E.J.; Knuteson, R.O.; Revercomb, H.E.; Shippert, T.R.; Smith, W.L.; et al. The QME AERI LBLRTM: A closure experiment for downwelling high spectral resolution infrared radiance. J. Atmos. Sci. 2004, 61, 2657–2675. [Google Scholar] [CrossRef]
- Hogan, R.J.; Bozzo, A. A flexible and efficient radiation scheme for the ECMWF model. J. Adv. Model. Earth Syst. 2018, 10, 1990–2008. [Google Scholar] [CrossRef]
- Rieger, D.; Köhler, M.; Hogan, R.J.; Schäfer, S.A.K.; Seifert, A.; de Lozar, A.; Zängl, G. ecRad in ICON—Implementation Overview; Technical Report, Reports on ICON; Deutscher Wetterdienst: Offenbach, Germany, 2019. [Google Scholar]
- CKDMIP. CKDMIP: Correlated K-Distribution Model Intercomparison Project Home. 2020. Available online: https://confluence.ecmwf.int/display/CKDMIP (accessed on 4 November 2020).
- Clough, S.; Shephard, M.; Mlawer, E.; Delamere, J.; Iacono, M.; Cady-Pereira, K.; Boukabara, S.; Brown, P. Atmospheric radiative transfer modeling: A summary of the AER codes. J. Quant. Spectrosc. Radiat. Transf. 2005, 91, 233–244. [Google Scholar] [CrossRef]
- Iacono, M.J.; Delamere, J.S.; Mlawer, E.J.; Shephard, M.W.; Clough, S.A.; Collins, W.D. Radiative forcing by long-lived greenhouse gases: Calculations with the AER radiative transfer models. J. Geophys. Res. Atmos. 2008, 113. [Google Scholar] [CrossRef]
- Atmospheric and Environmental Research Lab. RRTM Web Page. 2020. Available online: http://rtweb.aer.com/rrtm_frame.html (accessed on 30 October 2020).
- Kurucz, R.L. Synthetic infrared spectra. In Infrared Solar Physics; Springer: Berlin/Heidelberg, Germany, 1994; pp. 523–531. [Google Scholar]
- Zhong, W.; Osprey, S.M.; Gray, L.J.; Haigh, J.D. Influence of the prescribed solar spectrum on calculations of atmospheric temperature. Geophys. Res. Lett. 2008, 35. [Google Scholar] [CrossRef]
- Hogan, R.J.; Ahlgrimm, M.; Balsamo, G.; Beljaars, A.; Berrisford, P.; Bozzo, A.; Di Giuseppe, F.; Forbes, R.M.; Haiden, T.; Lang, S.; et al. Radiation in Numerical Weather Prediction; Technical Report; European Centre for Medium-Range Weather Forecasts: Reading, UK, 2017. [Google Scholar]
- Coddington, O.; Lean, J.; Pilewskie, P.; Snow, M.; Lindholm, D. A solar irradiance climate data record. Bull. Am. Meteorol. Soc. 2016, 97, 1265–1282. [Google Scholar] [CrossRef]
- Bašták Ďurán, I.; Köhler, M.; Eichhorn-Müller, A.; Maurer, V.; Schmidli, J.; Schomburg, A.; Klocke, D.; Göcke, T.; Schäfer, S.; Schlemmer, L.; et al. Data for The ICON Single-Column Mode. 2021. Available online: https://doi.org/10.5281/zenodo.5070234 (accessed on 13 July 2021).
- Hunter, J.D. Matplotlib: A 2D graphics environment. Comput. Sci. Eng. 2007, 9, 90–95. [Google Scholar] [CrossRef]













| Case | Hor. Domain Size | Hor. Resol. | Ver. Domain Size | Ver. Resol. | Integration Time |
|---|---|---|---|---|---|
| ARM | 12.8 km × 12.8 km | 12.5 m | 4400 m | 31.125 m | 10 h |
| BOMEX | 12.8 km × 12.8 km | 12.5 m | 3000 m | 23.44 m | 6 h |
| RICO | 8 km × 8 km | 25 m | 6000 m | 25 m | 6 h |
Publisher’s Note: MDPI stays neutral with regard to jurisdictional claims in published maps and institutional affiliations. |
© 2021 by the authors. Licensee MDPI, Basel, Switzerland. This article is an open access article distributed under the terms and conditions of the Creative Commons Attribution (CC BY) license (https://creativecommons.org/licenses/by/4.0/).
Share and Cite
Bašták Ďurán, I.; Köhler, M.; Eichhorn-Müller, A.; Maurer, V.; Schmidli, J.; Schomburg, A.; Klocke, D.; Göcke, T.; Schäfer, S.; Schlemmer, L.; et al. The ICON Single-Column Mode. Atmosphere 2021, 12, 906. https://doi.org/10.3390/atmos12070906
Bašták Ďurán I, Köhler M, Eichhorn-Müller A, Maurer V, Schmidli J, Schomburg A, Klocke D, Göcke T, Schäfer S, Schlemmer L, et al. The ICON Single-Column Mode. Atmosphere. 2021; 12(7):906. https://doi.org/10.3390/atmos12070906
Chicago/Turabian StyleBašták Ďurán, Ivan, Martin Köhler, Astrid Eichhorn-Müller, Vera Maurer, Juerg Schmidli, Annika Schomburg, Daniel Klocke, Tobias Göcke, Sophia Schäfer, Linda Schlemmer, and et al. 2021. "The ICON Single-Column Mode" Atmosphere 12, no. 7: 906. https://doi.org/10.3390/atmos12070906
APA StyleBašták Ďurán, I., Köhler, M., Eichhorn-Müller, A., Maurer, V., Schmidli, J., Schomburg, A., Klocke, D., Göcke, T., Schäfer, S., Schlemmer, L., & Dewani, N. (2021). The ICON Single-Column Mode. Atmosphere, 12(7), 906. https://doi.org/10.3390/atmos12070906

