Physical, Chemical and Biological Characteristics of Dew and Rainwater during the Dry Season of Tropical Islands
Abstract
1. Introduction
2. Measurements and Methods
3. Hourly and Nightly Dew Yield Potential with Energy Balance Model
4. Air Masses Trajectories
5. Chemical Analysis
5.1. Physico-Chemical Measurements
5.1.1. pH Values
5.1.2. Electrical Conductivity (EC)
5.1.3. Total Dissolved Solids
5.1.4. Total Hardness
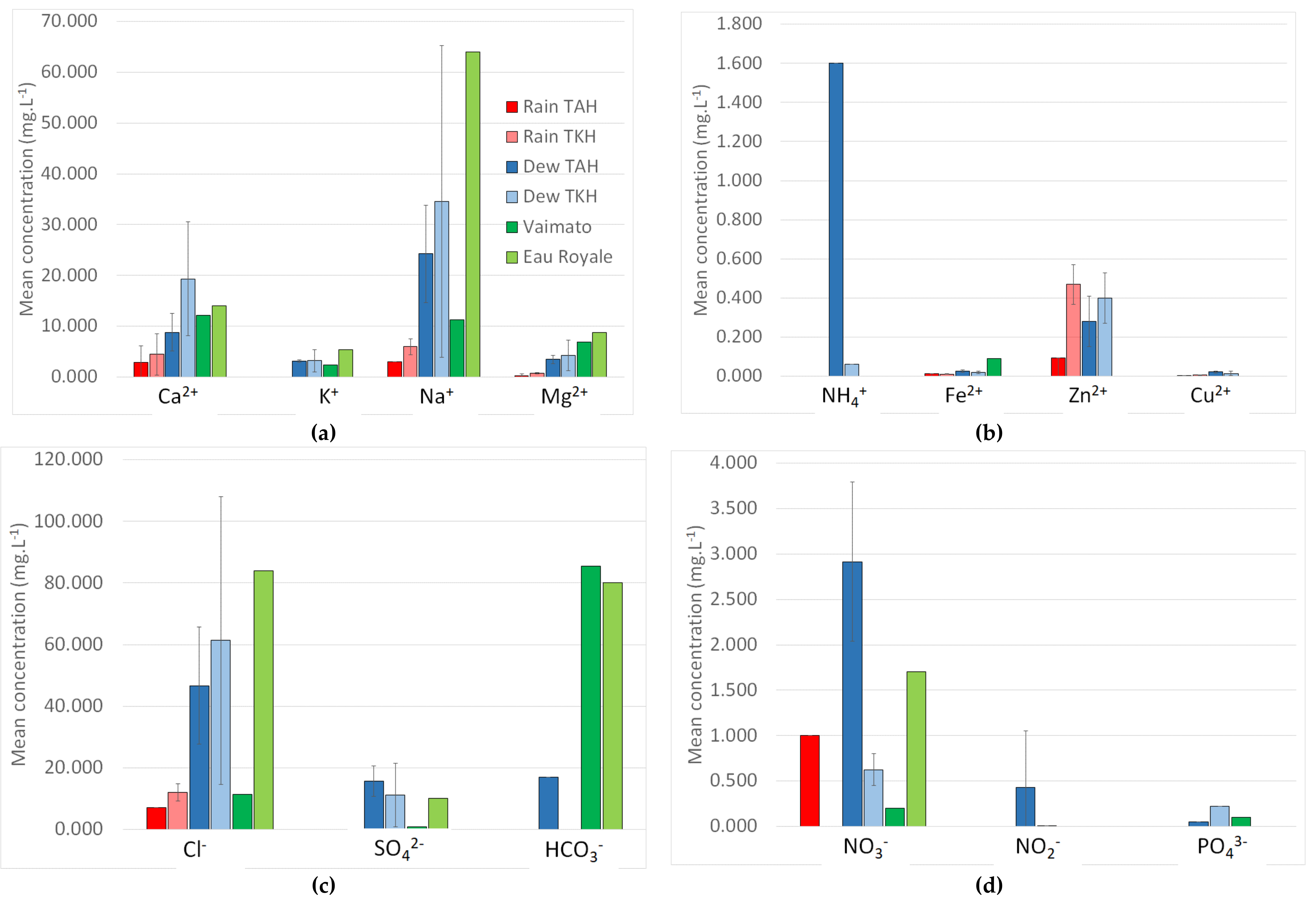
5.2. Ion Concentrations
5.3. Marine Influence
6. Biological Analysis
7. Concluding Remarks
Author Contributions
Funding
Informed Consent Statement
Data Availability Statement
Acknowledgments
Conflicts of Interest
References
- Monteith, J.L.; Unsworth, M.H. Principles of Environmental Physics. Plants, Animals, and the Atmosphere, 4th ed.; Academic Press: Oxford, UK, 2013. [Google Scholar]
- Beysens, D. Dew Water; Rivers Publisher: Gistrup, UK, 2018. [Google Scholar]
- Monteith, J.L. Dew. Q. J. R. Meteorol. Soc. 1957, 83, 322–341. [Google Scholar] [CrossRef]
- Berkowicz, S.; Beysens, D.; Milimouk-Melnytchouk, I.; Heusinkveld, B.G.; Muselli, M.; Jacobs, A.F.G.; Clus, O. Urban dew collection in Jerusalem: A three-year analysis. In Proceedings of the 4th International Conference on Fog, Fog Collection and Dew, La Serena, Chile, 22–27 July 2007; pp. 297–300. [Google Scholar]
- Zangvil, A. Six years of dew observations in the Negev Desert, Israel. J. Arid Environ. 1996, 32, 361–371. [Google Scholar] [CrossRef]
- Ben-Asher, J.; Alpert, P.; Ben-Zvi, A. Dew is a major factor affecting vegetation water use efficiency rather than a source of water in the eastern Mediterranean area. Water Resour. Res. 2010, 46, w10532. [Google Scholar] [CrossRef]
- Jacobs, A.F.G.; van Boxel, J.H.; Nieveen, J. Nighttime exchange processes near the soil surface of a maize canopy. Agric. For. Meteorol. 1996, 82, 155–169. [Google Scholar] [CrossRef]
- Uclés, O.; Villagarcía, L.; Moro, M.J.; Canton, Y.; Domingo, F. Role of dewfall in the water balance of a semiarid coastal steppe ecosystem. Hydrol. Proc. 2013, 28, 2271–2280. [Google Scholar] [CrossRef]
- Konrad, W.; Burkhardt, J.; Ebner, M.; Roth-Nebelsick, A. Leaf pubescence as a possibility to increase water use efficiency by promoting condensation. Ecohydrology 2015, 8, 480–492. [Google Scholar] [CrossRef]
- Malik, F.T.; Clement, R.M.; Gethin, D.T.; Beysens, D.; Cohen, R.E.; Krawszik, W.; Parker, A.R. Dew harvesting efficiency of four species of cacti. Bioinspir. Biomim. 2015, 10, 036005. [Google Scholar] [CrossRef]
- Guo, X.; Zha, T.; Jia, X.; Wu, B.; Feng, W.; Xie, J.; Gong, J.; Zhang, Y.; Peltola, H. Dynamics of dew in a cold desert-shrub ecosystem and its abiotic controls. Atmosphere 2016, 2016, 32. [Google Scholar] [CrossRef]
- Wang, L.; Kaseke, K.; Seely, M. Effects of non-rainfall water inputs on ecosystem functions. WIREs Water 2017, 4, e1179. [Google Scholar] [CrossRef]
- Gerlein-Safdi, C.; Koohafkan, M.C.; Chung, M.; Rockwell, F.E.; Thompson, S.; Caylor, K.K. Dew deposition suppresses transpiration and carbon uptake in leaves. Agric. For. Meteorol. 2018, 259, 305–316. [Google Scholar] [CrossRef]
- Wang, L.; Kaseke, K.F.; Ravi, S.; Jiao, W.; Mushi, R.; Shuuya, T.; Maggs-Kolling, G. Convergent vegetation fog and dew water use in the Namib Desert. Ecohydrology 2019, 12, e2130. [Google Scholar] [CrossRef]
- Carlos, A.; Aguirre-Gutiérrez, F.H.; Gregory, R.; Delgadod, G.J.; Yepez, E.; Carbajala, N.; Escoto-Rodríguez, M.; Arredondo, J.T. The importance of dew in the water balance of a continental semiarid grassland. J. Arid Environ. 2019, 168, 26–35. [Google Scholar]
- Liu, M.; Cena, Y.; Wanga, C.; Gua, X.; Bowler, P.; Wu, D.; Zhang, L.; Jiang, G.; Beysens, D. Foliar uptake of dew in the sandy ecosystem of the Mongolia Plateau: A lifesustaining and carbon accumulation strategy shared differently by C3 and C4 grasses. Agric. For. Meteorol. 2020, 287, 107941. [Google Scholar] [CrossRef]
- Tomaszkiewicz, M.; Najm, M.A.; Beysens, D.; Alameddine, I.; El-Fadel, M. Dew as a sustainable non-conventional water resource: A critical review. Environ. Rev. 2015, 23, 425–442. [Google Scholar] [CrossRef]
- Kaseke, K.; Wang, L. Fog and dew as potable water resources—Maximizing harvesting potential and water quality concerns. GeoHealth 2018, 2, 327–332. [Google Scholar] [CrossRef]
- Goheen, A.C.; Pearson, R.C. Compendium of Grape Diseases. APS Press: St. Paul, MN, USA, 1988. [Google Scholar]
- Francl, L.J.; Panigrahi, S. Artificial neural network models of wheat leaf wetness. Agric. For. Meteorol. 1997, 88, 57–65. [Google Scholar] [CrossRef]
- Luo, W.; Goudriaan, J. Dew formation on rice under varying durations of nocturnal radiative loss. Agric. For. Meteorol. 2000, 104, 303–313. [Google Scholar] [CrossRef]
- Agam, N.; Berliner, P. Dew formation and water vapor adsorption in semi-arid environments—A review. J. Arid Environ. 2006, 65, 572–590. [Google Scholar] [CrossRef]
- Rubio, M.A.; Lissi, E.; Riveros, V.; Paez, M. Remoción de contaminantes por lluvias y rocíos en la región metropolitana. J. Chil. Chem. Soc. 2001, 46, 353–361. [Google Scholar] [CrossRef]
- Rubio, M.A.; Lissi, E.; Villena, G. Nitrite in rain and dew in Santiago city, Chile. Its possible impact on the early morning start of the photochemical smog. Atmos. Environ. 2002, 36, 293–297. [Google Scholar] [CrossRef]
- Xu, N.; Zhao, L.; Ding, C.; Zhang, C.; Li, R.; Zhong, Q. Laboratory observation of dewformation at an early stage of atmospheric corrosion of metals. Corros. Sci. 2001, 44, 163–170. [Google Scholar] [CrossRef]
- Laurent, V.; Maamaatuaiahutapu, K.; Maiau, J.; Varney, P. Atlas climatologique de la Polynésie française. Météo-France, Direction interrégionale de Polynésie française: Papeete, France, 2004; p. 201. [Google Scholar]
- OPUR. 2020. Available online: www.opur.fr (accessed on 7 October 2020).
- Nilsson, T.M.J.; Vargas, W.E.; Niklasson, G.A.; Granqvist, C.G. Condensation of water by radiative cooling. Renew. Energy 1994, 5, 310–317. [Google Scholar] [CrossRef]
- Dee, D.P.; Uppala, S.; Simmons, A.; Berrisford, P.; Poli, P.; Kobayashi, S.; Andrae, U.; Alonso-Balmaseda, M.; Balsamo, G.; Bauer, P.; et al. The ERA-Interim reanalysis: Configuration and performance of the data assimilation system. Q. J. R. Meteorol. Soc. 2011, 137, 553–597. [Google Scholar] [CrossRef]
- Berrisford, P.; Kållberg, P.; Kobayashi, S.; Dee, D.; Uppala, S.; Simmons, A.J.; Poli, P.; Sato, H. Atmospheric conservation properties in ERA-Interim. Q. J. R. Meteorol. Soc. 2011, 137, 1381–1399. [Google Scholar] [CrossRef]
- Ozog, R. Inventaire des données relatives à l’eau souterraine disponibles sur Tahiti: Rapport intermédiaire; Rapport BRGM/RP-61147-FR; BRGM: Orleans, France, 2012. [Google Scholar]
- Clus, O.; Ortega, P.; Muselli, M.; Milimouk, I.; Beysens, D. Study of dew water collection in humid tropical islands. J. Hydrol. 2008, 361, 159–171. [Google Scholar] [CrossRef]
- Beysens, D. Estimating dew yield worldwide from a few meteo data. Atmos. Res. 2016, 167, 146–155. [Google Scholar] [CrossRef]
- Weather Underground. 2020. Available online: https://www.wunderground.com/ (accessed on 7 October 2020).
- NOAA. National Weather Service. 2020. Available online: https://www.forecast.weather.gov (accessed on 7 October 2020).
- Berger, X.; Buriot, D.; Gamier, F. About the equivalent radiative temperature for clear skies. Sol. Energy 1984, 32, 725–733. [Google Scholar] [CrossRef]
- Stein, A.F.; Draxler, R.R.; Rolph, G.D.; Stunder, B.J.B.; Cohen, M.D.; Ngan, F. NOAA’s HYSPLIT atmospheric transport and dispersion modeling system. Bull. Am. Meteor. Soc. 2015, 96, 2059–2077. [Google Scholar] [CrossRef]
- Rolph, G.; Stein, A.; Stunder, B. Real-time Environmental Applications and Display sYstem: READY. Environ. Modell. Softw. 2017, 95, 210–222. [Google Scholar] [CrossRef]
- World Health Organization (WHO). Guidelines for Drinking-Water Quality, 4th ed.; Incorporating the 1st Addendum; World Health Organization: Geneva, Switzerland, 2017; p. 631. ISBN 9789241549950. [Google Scholar]
- Beysens, D.; Ohayon, C.; Muselli, M.; Clus, O. Chemical and biological characteristics of dew and rain water in an urban coastal area (Bordeaux, France). Atmos. Environ. 2006, 40, 3710–3723. [Google Scholar] [CrossRef]
- Lekouch, I.; Mileta, M.; Muselli, M.; Milimouk-Melnytchouk, I.; Šojate, V.; Kabbachi, B.; Beysens, D. Comparative chemical analysis of dew and rain water. Atmos. Res. 2010, 95, 224–234. [Google Scholar] [CrossRef]
- Muselli, M.; Beysens, D.; Soyeux, E.; Clus, O. Is Dew Water Potable? Chemical and Biological Analyses of Dew Water in Ajaccio (Corsica Island, France). J. Environ. Qual. 2006, 35, 1812–1817. [Google Scholar] [CrossRef] [PubMed]
- Beysens, D.; Mongruel, A.; Acker, K. Urban dew and rain in Paris, France: Occurrence and physico-chemical characteristics. Atmos. Res. 2017, 189, 152–161. [Google Scholar] [CrossRef]
- Polkowska, Z.; Astel, A.; Walna, B.; Małek, S.; Mędrzycka, K.; Górecki, T. Chemometric analysis of rainwater and throughfall at several sites in Poland. Atmos. Environ. 2005, 39, 837–855. [Google Scholar] [CrossRef]
- Zdeb, M.; Papciak, D.; Zamorska, J. An assessment of the quality and use of rainwater as the basis for sustainable water management in suburban areas. E3S Web Conf. 2018, 45, 00111. [Google Scholar] [CrossRef]
- Sharan, G.; Clus, O.; Singh, S.; Muselli, M.; Beysens, D. A very large dew and rain ridge collector in the Kutch area (Gujarat, India). J. Hydrol. 2011, 405, 171–181. [Google Scholar] [CrossRef]
- Lekouch, I.; Muselli, M.; Kabbachi, B.; Ouazzani, J.; Melnytchouk-Milimouk, I.; Beysens, D. Dew, fog, and rain as supplementary sources of water in south-western Morocco. Energy 2011, 36, 2257–2265. [Google Scholar] [CrossRef]
- Seguin, F. L’état de l’environnement en Polynésie française. Direct Environ. 2014, 193. [Google Scholar]
- Allan, M.A. Manual for the GAW Precipitation Chemistry Programme: Guidelines, Data Quality Objectives and Standard Operating Procedures; World Meteorological Organization: Geneva, Switzerland, 2004. [Google Scholar]
- Atekwanaa, E.A.; Atekwanaa, E.A.; Rowe, R.S.; Werkema, D.D., Jr.; Legall, F.D. The relationship of total dissolved solids measurements to bulk electrical conductivity in an aquifer contaminated with hydrocarbon. J. Appl. Geophys. 2004, 56, 281–294. [Google Scholar] [CrossRef]
- Klein, B.; Roether, W.; Manca, B.; Bregant, D.; Beitzel, V.; Kovacevic, V.; Lucchetta, A. The large deep water transient in the Eastern Mediterranean. Deep Sea Res. 1999, 46, 371–414. [Google Scholar] [CrossRef]
- Reynaud, S.; Ferier-Pagès, C.; Kamber, B.S.; Samankassou, E. Effect of salinity on the skeletal chemistry of cultured scleractinian zooxanthellate corals: Cd/Ca ratio as a potential proxy for salinity reconstruction. Coral Reefs 2014, 33, 169–180. [Google Scholar]
- Rodier, J. L’analyse de L’eau: Eaux Naturelles, Eaux Résiduaires, Eau de Mer, 8th ed.; Dunod: Paris, France, 1996. [Google Scholar]














| CFU (36°C) for 1mL | NF EN ISO 6222 | Colony count (a) | |
| CFU (22°C) for 1mL | NF EN ISO 6222 | Colony count | |
| Cations (mg/L) : Major | Ca2+ | NF EN ISO 7980 | Atomic Absorption Spectrometer (b) (c) |
| K+ | NF T90-020 | Atomic Absorption Spectrometer | |
| Na+ | NF T90-020 | Atomic Absorption Spectrometer | |
| Mg2+ | NF EN ISO 7980 | Atomic Absorption Spectrometer | |
| NH4+ | NF T90-015-2 | Colorimetry | |
| Cations (mg/L) : Minor | Fe2+ | FD T90-112 | Atomic Absorption Spectrometer |
| Zn2+ | FD T90-112 | Atomic Absorption Spectrometer | |
| Cu2+ | FD T90-112 | Atomic Absorption Spectrometer | |
| Anions (mg/L) : Major | Cl− | NF ISO 9297 | Mohr method (a) |
| SO42− | NF T90-040 | Nephelometric method | |
| NO3− | ISO 7890-3 | Spectrometric method with sulfosalicylic acid | |
| Anions (mg/L) : Minor | NO2− | NF EN 26777 | Molecular absorption spectrometry |
| PO43− | NF EN ISO 6878 | Ammonium molybdate spectrometric method | |
| HCO3− | NF EN ISO 9963-2 | Titrimetric determination of carbonate alkalinity | |
| Others properties | pH | NF T90-008 | - (a) |
| EC (25°C, µS/cm) | NF EN 27888 | - | |
| Suspended matter (mg/L) | NF EN 872 | Suspended matter dosing (filtration) | |
| Measured TH (°f) | NF T90-003 | Titrimetric method (EDTA: ethylene diamine tetraacetate) |
| V (m·s−1) | Dir. V (°) | |||
|---|---|---|---|---|
| Mean | SD | Mean | SD | |
| All days and nights | 2.04 | 1.00 | 143.3 | 89.6 |
| Sampling nights | 1.57 | 0.76 | 124.5 | 63.4 |
| Dew TAH (2) | Rain TAH | Blank | Vaimato | Eau Royale | WHO | ||||||||||
| Min | Max | Mean | SD | VWM | Min | Max | Mean | SD | VWM | Sample | 2005 | 2005 | Max | ||
| Volume (mL) | 12 | 221 | 76 | 46.3 | - | 300 | 18,000 | 10,100 | 8850 | - | - | - | - | ||
| CFU (36°C) for 1mL | >300 | >300 | >300 | 0 | - | >300 | >300 | >300 | 0 | - | - | - | - | ||
| CFU (22°C) for 1mL | >300 | >300 | >300 | 0 | - | >300 | >300 | >300 | 0 | - | - | - | - | ||
| Cations (mg/L) : Major | Ca2+ | 6.600 | 13.044 | 8.783 | 3.013 | 7.680 | 0.535 | 5.194 | 2.864 | 2.330 | 1.042 | 4.025 | 12.2 | 14 | |
| K+ | 3 | 3.3 | 3.15 | 0.15 | 3.21 | <0.5 | <0.5 | <0.5 | - | <0.5 | <0.5 | 2.35 | 6.5 | ||
| Na+ | 14.8 | 34 | 24.27 | 7.84 | 23.65 | <0.5 | 3.0 | 3.0 | - | <3 | <0.5 | 11.32 | 50 | 200 | |
| Mg2+ | 2.6 | 4.2 | 3.47 | 0.66 | 3.38 | 0.1 | 0.5 | 0.30 | 0.20 | 0.14 | 0.1 | 6.9 | 7.7 | ||
| NH4+ | 1.6 | 1.6 | 1.6 | 0.0 | 1.6 | - | - | - | - | - | - | 0 | <0.01 (1) | ||
| Cations (mg/L) : Minor | Fe2+ | 0.022 | 0.035 | 0.027 | 0.006 | 0.025 | 0.013 | 0.014 | 0.013 | 0 | 0.013 | 0.019 | 0.09 | <0.2 | |
| Zn2+ | 0.151 | 0.410 | 0.281 | 0.106 | 0.243 | 0.092 | 0.092 | 0.092 | 0 | 0.092 | 0.475 | <0.016 (1) | <0.001 (1) | 5 | |
| Cu2+ | 0.017 | 0.028 | 0.021 | 0.005 | 0.019 | 0.002 | 0.004 | 0.003 | 0.001 | 0.002 | 0.003 | <0.013 (1) | 0.001 (1) | 2 | |
| Anions (mg/L) : Major | Cl− | 27 | 65 | 46.7 | 15.5 | 45.0 | <5 | 7 | 7 | - | <7 | <0.5 | 11.35 | 78 | 250 |
| SO42− | 11 | 21 | 15.7 | 4.1 | 15.5 | <2 | <3 | - | - | <3 | <3 | 0.95 | 10 | 250 | |
| NO3− | 2 | 3.75 | 2.92 | 0.72 | 2.66 | <0.5 | 1 | 1 | - | <1 | 0.5 | 0.2 | 1.1 | 50 | |
| Anions (mg/L) : Minor | NO2− | 0.06 | 1.15 | 0.43 | 0.51 | 0.48 | <0.01 | <0.01 | <0.01 | - | <0.01 | 0.01 | 0 | <0.05 (1) | 3 |
| PO43− | <0.05 | 0.05 | 0.05 | 0 | 0.05 | <0.05 | - | <0.05 | - | <0.05 | <0.05 | 0.1 | 0.6 | ||
| HCO3− | 17 | 17 | 17 | 0 | 17 | - | - | - | - | - | - | 85.4 | 80 | ||
| Others properties | pH | 5.76 (*) 4.80 (**) | 7.17 (*) 7.07 (**) | 6.45 (*) 5.490 (**) | 0.5 (*) 0.5 (**) | 6.05 (*) 5.232 (**) | 3.67 (***) | 6.77 (***) | 5.02 (***) | 1.2 (***) | 4.690 (***) | - | 7.65 | 7.9 (1) | 6.5–9.5 |
| EC (25°C, microS/cm) | 170.7 (*) 41.7 (°) | 258.0 (*) 645.0 (°) | 213.15 (*) 267.07 (°) | 40 (*) 154 (°) | 202.939 (*) 237.321 (°) | 6.7 (°°) | 177 (°°) | 44.49 (°°) | 55 (°°) | 15.97 (°°) | 6.0 | 154.8 | 466 (1) | 2500 | |
| EC calc (microS/cm) | 204.9 | 379.0 | 276.5 | 74.4 | 278.3 | 3.5 | 58.0 | 30.800 | 27.2 | 57.1 | 2.6 | 253.1 | 534.4 | ||
| Suspended matter (mg/L) | 24 | 142.5 | 95.50 | 51.39 | 79.87 | 4 | 4 | 4 | 0 | 4 | 17 | - | - | ||
| Measured TH (°f) | 2.5 | 3.2 | 2.9 | 0.3 | 2.85 | 0.5 | 0.5 | 0.5 | 0 | 0.5 | - | 5.80 (1) | 6.90 (1) | ||
| Calculated TH (°f) | 2.8 | 4.8 | 3.6 | 0.8 | 3.33 | 0.2 | 1.5 | 0.8 | 0.7 | 1.04 | 1.048 | 5.92 | 6.58 | ||
| Sum(cations, meq/L) | 1.198 | 2.336 | 1.872 | 0.488 | 1.777 | 0.030 | 0.431 | 0.231 | 0.201 | 0.431 | 0.216 | 1.672 | 3.647 | ||
| Sum(anions, meq/L) | 1.302 | 2.343 | 1.790 | 0.427 | 1.770 | 0.000 | 0.213 | 0.107 | 0.107 | 0.213 | 0.008 | 1.746 | 3.753 | ||
| TDS (calculated from EC_measured, mg/L) | 119.5 (*) 29.19 (°) | 180.6 (*) 451.5 (°) | 149.24 (*) 186.97 (°) | 28 (*)108 (°) | 142.03 (*) 166.11 (°) | 4.70 | 123.90 | 31.14 | 38.39 | 11.18 | 4.20 | 108.36 | 326.20 | ||
| Dew TKH (3) | Rain TKH | Blank | Vaimato | Eau Royale | WHO | ||||||||||
| Min | Max | Mean | SD | VWM | Min | Max | Mean | SD | VWM | Sample | 2005 | 2005 | Max | ||
| Volume (mL) | 13 | 226 | - | 1000 | 7000 | 4000 | 3000 | - | - | - | - | ||||
| CFU (36°C) for 1mL | >300 | >300 | >300 | 0 | - | - | - | - | - | - | - | - | - | ||
| CFU (22°C) for 1mL | >300 | >300 | >300 | 0 | - | - | - | - | - | - | - | - | - | ||
| Cations (mg/L) : Major | Ca2+ | 6.945 | 28.686 | 19.328 | 9.130 | 17.951 | 1.545 | 7.347 | 4.446 | 2.901 | 2.270 | 4.0253 | 12.2 | 14 | |
| K+ | 1.5 | 5.7 | 3.20 | 1.81 | 3.46 | <0.5 | <0.5 | <0.5 | - | <0.5 | <0.5 | 2.35 | 6.5 | ||
| Na+ | 15 | 70 | 34.63 | 25.06 | 37.11 | 4.8 | 7.1 | 5.95 | 1.15 | 6.81 | <0.5 | 11.32 | 50.0 | 200 | |
| Mg2+ | 1.95 | 7.70 | 4.27 | 2.48 | 4.45 | 0.70 | 0.80 | 0.75 | 0.05 | 0.79 | 0.1 | 6.9 | 7.7 | ||
| NH4+ | 0.06 | 0.06 | 0.06 | 0 | 0.06 | - | - | - | - | - | - | 0 | <0.01 (1) | ||
| Cations (mg/L) : Minor | Fe2+ | 0.014 | 0.025 | 0.019 | 0.004 | 0.018 | 0.009 | 0.012 | 0.011 | 0.002 | 0.009 | 0.0190 | 0.09 | <0.2 | |
| Zn2+ | 0.269 | 0.529 | 0.400 | 0.106 | 0.420 | 0.398 | 0.541 | 0.470 | 0.072 | 0.523 | 0.4745 | <0.016 (1) | <0.0011 (1) | 5 | |
| Cu2+ | 0.005 | 0.026 | 0.014 | 0.009 | 0.015 | 0.003 | 0.007 | 0.005 | 0.002 | 0.004 | 0.0030 | <0.013 (1) | 0.0013 (1) | 2 | |
| Anions (mg/L) : Major | Cl− | 30 | 115 | 61.33 | 38.13 | 64.87 | 10 | 14 | 12.00 | 2.00 | 13.50 | <0.5 | 11.35 | 78 | 250 |
| SO42− | 4.5 | 23.0 | 11.17 | 8.39 | 12.21 | <2 | <3 | - | - | <3 | <3 | 0.95 | 10 | 250 | |
| NO3− | <0.05 | 0.75 | 0.750 | 0 | 0.62 | <0.5 | <0.5 | <0.5 | - | <0.5 | 0.5 | 0.2 | 1.1 | 50 | |
| Anions (mg/L) : Minor | NO2− | <0.01 | 0.01 | 0.01 | 0 | <0.01 | <0.01 | <0.01 | <0.5 | - | <0.01 | 0.01 | 0 | <0.05 (1) | 3 |
| PO43− | <0.05 | 0.23 | 0.23 | 0 | <0.05 | <0.05 | - | <0.05 | - | <0.05 | <0.05 | 0.1 | 0.6 | ||
| HCO3− | - | - | - | - | - | - | - | - | - | - | - | 85.4 | 80 | ||
| Others properties | pH | 6.720 | 6.720 | 6.720 | - | - | 6.29 (=) | 6.55 (=) | 6.42 | 0.13 | 6.445 (=) | - | 7.65 | 7.9 (1) | 6.5–9.5 |
| EC (25°C, microS/cm) | 73.2 (+) | 902 (+) | 308.31 (+) | 277 (+) | 320.83 (+) | 55.7 (=) | 69.0 (=) | 62.35 | 6.6 | 67.34 (=) | 6.0 | 154.8 | 466 (1) | 2500 | |
| EC calc (microS/cm) | 182.4 | 689.3 | 405.09 | 211.48 | 415.40 | 63.5 | 83.0 | 73.30 | 9.80 | 80.60 | 2.6 | 253.1 | 534.4 | ||
| Suspended matter (mg/L) | 19.5 | 75.0 | 46.50 | 22.68 | 42.26 | 4 | 4 | 4 | 0 | 4 | 17 | - | - | ||
| Measured TH (°f) | 2.7 | 8.1 | 5.8 | 2.3 | 5.69 | 0.5 | 0.5 | 0.5 | 0 | 0.5 | - | 5.80 (1) | 6.90 (1) | ||
| Calculated TH (°f) | 2.55 | 8.80 | 6.61 | 2.87 | 6.34 | 0.72 | 2.13 | 1.40 | 0.70 | 0.90 | 1.048 | 5.92 | 6.58 | ||
| Sum(cations, meq/L) | 1.237 | 4.955 | 2.917 | 1.539 | 2.979 | 0.469 | 0.646 | 0.557 | 0.089 | 0.491 | 0.216 | 1.672 | 3.647 | ||
| Sum(anions, meq/L) | 0.982 | 3.726 | 1.969 | 1.246 | 2.091 | 0.282 | 0.394 | 0.338 | 0.056 | 0.380 | 0.008 | 1.746 | 3.753 | ||
| TDS (calculated from EC_measured, mg/L) | 51.24 | 631.4 | 215.82 | 194 | 224.58 | 38.990 | 48.300 | 43.645 | 4.655 | 47.14 | 4.200 | 108.360 | 326.200 | ||
| Dew | Rain | |||||||
| TAH | TKH | TAH | TKH | |||||
| %SSF | %NSSF | %SSF | %NSSF | %SSF | %NSSF | %SSF | %NSSF | |
| Ca2+ | 9.908 | 90.092 | 6.426 | 93.574 | 3.756 | 96.244 | 4.799 | 95.201 |
| K+ | 25.900 | 74.100 | 36.387 | 63.613 | - | - | - | - |
| Mg2+ | 78.147 | 21.853 | 90.619 | 9.381 | 111.638 | −11.638 | 88.566 | 11.434 |
| Cl− | 95.931 | 4.069 | 104.173 | −4.173 | 79.064 | 20.936 | 91.473 | 8.527 |
| SO42− | 40.860 | 59.140 | 81.815 | 18.185 | - | - | - | - |
| HCO3− | 1.784 | 98.216 | - | - | - | - | - | - |
Publisher’s Note: MDPI stays neutral with regard to jurisdictional claims in published maps and institutional affiliations. |
© 2021 by the authors. Licensee MDPI, Basel, Switzerland. This article is an open access article distributed under the terms and conditions of the Creative Commons Attribution (CC BY) license (http://creativecommons.org/licenses/by/4.0/).
Share and Cite
Muselli, M.; Clus, O.; Ortega, P.; Milimouk, I.; Beysens, D. Physical, Chemical and Biological Characteristics of Dew and Rainwater during the Dry Season of Tropical Islands. Atmosphere 2021, 12, 69. https://doi.org/10.3390/atmos12010069
Muselli M, Clus O, Ortega P, Milimouk I, Beysens D. Physical, Chemical and Biological Characteristics of Dew and Rainwater during the Dry Season of Tropical Islands. Atmosphere. 2021; 12(1):69. https://doi.org/10.3390/atmos12010069
Chicago/Turabian StyleMuselli, Marc, Owen Clus, Pascal Ortega, Iryna Milimouk, and Daniel Beysens. 2021. "Physical, Chemical and Biological Characteristics of Dew and Rainwater during the Dry Season of Tropical Islands" Atmosphere 12, no. 1: 69. https://doi.org/10.3390/atmos12010069
APA StyleMuselli, M., Clus, O., Ortega, P., Milimouk, I., & Beysens, D. (2021). Physical, Chemical and Biological Characteristics of Dew and Rainwater during the Dry Season of Tropical Islands. Atmosphere, 12(1), 69. https://doi.org/10.3390/atmos12010069

