Assessment of Indoor Benzene and Its Alkyl Derivatives Concentrations in Offices Belonging to University of Technology (Poland)
Abstract
1. Introduction
2. Materials and Methods
2.1. Sampling Sites
2.2. Sampling and Analytical Methods
2.3. Statistical Analysis
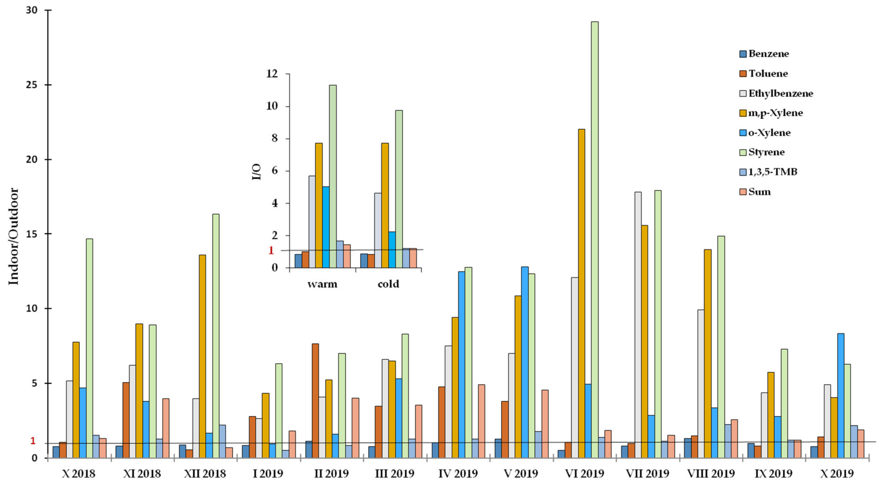
3. Results and Discussion
4. Conclusions
Supplementary Materials
Author Contributions
Funding
Ethical Review and Approval
Informed Consent Statement
Conflicts of Interest
References
- WHO Regional Office for Europe. WHO Guidelines for Indoor Quality: Selected Pollutants; WHO Regional Office for Europe: Copenhagen, Denmark, 2010; Available online: http://www.euro.who.int/_data/assets/pdf_file/0009/128169/e94535.pdf (accessed on 8 September 2020).
- Schweizer, C.; Edwards, R.; Bayer-Oglesby, L.; Gauderman, W.; Ilacqua, V.; Jantunen, M.; Lai, H.; Nieuwenhuijsen, M.; Kunzli, N. Indoor time-microenvironment-activity patterns in seven regions of Europe. J. Expo. Sci. Environ. Epidemiol. 2007, 17, 170–181. [Google Scholar] [CrossRef] [PubMed]
- Antoniadou, P.; Papadopoulos, A.M. Occupants’ thermal comfort: State of the art and the prospects of personalized assessment in office buildings. Energy Build. 2017, 153, 136–149. [Google Scholar] [CrossRef]
- Goodman, N.B.; Steinemann, A.; Wheeler, A.J.; Paevere, P.J.; Cheng, M.; Brown, S.K. Volatile organic compounds within indoor environments in Australia. Build. Environ. 2017, 122, 116–125. [Google Scholar] [CrossRef]
- Delgado-Saborit, J.M.; Aquilina, N.J.; Meddings, C.; Baker, S.; Harrison, R.M. Relationship of personal exposure to volatile organic compounds to home, work and fixed site outdoor concentrations. Sci. Total Environ. 2011, 409, 478–488. [Google Scholar] [CrossRef]
- Takigawa, T.; Wang, B.L.; Sakano, N.; Wang, D.H.; Ogino, K.; Kishi, R. A longitudinal study of environmental risk factors for subjective symptoms associated with sick building syndrome in new dwellings. Sci. Total Environ. 2009, 407, 5223–5228. [Google Scholar] [CrossRef]
- Spinazzè, A.; Campagnolo, D.; Cattaneo, A.; Cavallo, D.M.; Bartzis, J.G. Indoor gaseous air pollutants determinants in office buildings—The OFFICAIR project. Indoor Air 2020, 30, 76–87. [Google Scholar] [CrossRef]
- Kozielska, B.; Brągoszewska, E.; Kaleta, D. Investigation of indoor air quality in offices and residential homes in an urban area of Poland. Air Qual. Atmos. Health 2020, 13, 131–141. [Google Scholar] [CrossRef]
- Kozielska, B.; Mainka, A.; Żak, M.; Kaleta, D.; Mucha, W. Indoor air quality in residential buildings in Upper Silesia, Poland. Build. Environ. 2020, 177, 106914. [Google Scholar] [CrossRef]
- Ramírez, N.; Cuadras, A.; Rovira, E.; Borrull, F.; Marcé, R.M. Chronic risk assessment of exposure to volatile organic compounds in the atmosphere near the largest Mediterranean industrial site. Environ. Int. 2012, 39, 200–209. [Google Scholar] [CrossRef]
- Kumar, A.; Singh, B.P.; Punia, M.; Singh, D.; Kumar, K.; Jain, V.K. Determination of volatile organic compounds and associated health risk assessment in residential homes and hostels within an academic institute, New Delhi. Indoor Air 2014, 24, 474–483. [Google Scholar] [CrossRef]
- Wolkoff, P.; Nielsen, G.D. Organic compounds in indoor air—Their relevance for perceived indoor air quality? Atmos. Environ. 2001, 35, 4407–4417. [Google Scholar] [CrossRef]
- Zuraimi, M.S.; Roulet, C.-A.; Tham, K.W.; Sekhar, S.C.; David Cheong, K.W.; Wong, N.H.; Lee, K.H. A comparative study of VOCs in Singapore and European office buildings. Build. Environ. 2006, 41, 316–329. [Google Scholar] [CrossRef]
- Śmiełowska, M.; Marć, M.; Zabiegała, B. Indoor air quality in public utility environments—A review. Environ. Sci. Pollut. Res. 2017, 24, 11166–11176. [Google Scholar] [CrossRef] [PubMed]
- Bari, M.A.; Kindzierski, W.B.; Wheeler, A.J.; Héroux, M.-T.; Wallace, L.A. Source apportionment of indoor and outdoor volatile organic compounds at homes in Edmonton, Canada. Build. Environ. 2015, 90, 114–124. [Google Scholar] [CrossRef]
- Marć, M.; Namieśnik, J.; Zabiegała, B. The miniaturised emission chamber system and home-made passive flux sampler studies of monoaromatic hydrocarbons emissions from selected commercially-available floor coverings. Build. Environ. 2017, 123, 1–13. [Google Scholar] [CrossRef]
- Loh, M.M.; Levy, J.I.; Spengler, J.D.; Houseman, E.A.; Bennett, D.H. Ranking cancer risks of organic hazardous air pollutants in the United States. Environ. Health Perspect. 2007, 115, 1160–1168. [Google Scholar] [CrossRef]
- Sarigiannis, D.A.; Karakitsios, S.P.; Gotti, A.; Liakos, I.L.; Katsoyiannis, A. Exposure to major volatile organic compounds and carbonyls in European indoor environments and associated health risk. Environ. Int. 2011, 37, 743–765. [Google Scholar] [CrossRef]
- IARC International Agency for Research on Cancer: Monographs on the Evaluation of Carcinogenic Risks to Humans. 2015. Available online: http://monographs.iarc.fr/ENG/Classification/index.php (accessed on 10 December 2020).
- Integrated Risk Information System (IRIS). Chemical Assessment Summary: Benzene. Available online: Cfpub.epa.gov/ncea/iris/iris_documents/documents/subst/0276_summary.pdf (accessed on 10 December 2020).
- Rumchev, K.; Brown, H.; Spickett, J. Volatile Organic Compounds: Do they present a risk to our health? Rev. Environ. Health 2007, 22, 39–55. [Google Scholar] [CrossRef]
- Masekameni, M.D.; Moolla, R.; Gulumian, M.; Brouwer, D. Risk Assessment of Benzene, Toluene, Ethyl Benzene, and Xylene Concentrations from the Combustion of Coal in a Controlled Laboratory Environment. Int. J. Environ. Res. Public Health 2019, 16, 95. [Google Scholar] [CrossRef] [PubMed]
- McKenzie, L.M.; Witter, R.Z.; Newman, L.S.; Adgate, J.L. Human health risk assessment of air emissions from development of unconventional natural gas resources. Sci. Total Environ. 2012, 424, 79–87. [Google Scholar] [CrossRef] [PubMed]
- Campagnolo, D.; Saraga, D.E.; Cattaneo, A.; Cavallo, D.M.; Bartzis, J.G. VOCs and aldehydes source identification in European office buildings—The OFFICAIR study. Build. Environ. 2017, 115, 18–24. [Google Scholar] [CrossRef]
- Bernstein, J.A.; Alexis, N.; Bacchus, H.; Bernstein, I.L.; Fritz, P.; Horner, E.; Li, N.; Mason, S.; Nel, A.; Oullette, J.; et al. The health effects of nonindustrial indoor air pollution. J. Allergy Clin. Immunol. 2008, 121, 585–591. [Google Scholar] [CrossRef] [PubMed]
- Uchiyama, S.; Tomizawa, T.; Tokoro, A.; Aoki, M.; Hishiki, M.; Yamada, T.; Tanaka, R.; Sakamoto, H.; Yoshida, T.; Bekki, K.; et al. Gaseous chemical compounds in indoor and outdoor air of 602 houses throughout Japan in winter and summer. Environ. Res. 2015, 137, 364–372. [Google Scholar] [CrossRef]
- Matysik, S.; Ramadan, A.B.; Schlink, U. Spatial and Temporal Variation of outdoor and indoor exposure of VOCs in Greater Cairo. Atmos. Pollut. Res. 2010, 1, 94–101. [Google Scholar] [CrossRef]
- Hazrati, S.; Rostami, R.; Farjaminezhad, M.; Fazlzadeh, M. Preliminary assessment of BTEX concentrations in indoor air of residential buildings and atmospheric ambient air in Ardabil, Iran. Atmos. Environ. 2016, 132, 91–97. [Google Scholar] [CrossRef]
- Seo, S.; Lim, S.; Lee, K.; Seo, Y.-K.; Baek, S.-O. Identification of volatile organic compounds in several indoor public places in Korea. Asian, J. Atmos. Environ. 2014, 8, 192–201. [Google Scholar] [CrossRef]
- Baek, S.-O.; Kim, Y.-S.; Perry, R. Indoor air quality in homes, offices and restaurants in Korean urban areas—Indoor/outdoor relationships. Atmos. Environ. 1997, 31, 529–544. [Google Scholar] [CrossRef]
- Park, J.S.; Ikeda, K. Variations of formaldehyde and VOC levels during 3 years in new and older homes. Indoor Air 2006, 16, 129–135. [Google Scholar] [CrossRef]
- Brown, S.K. Volatile Organic Pollutants in New and Established Buildings in Melbourne, Australia. Indoor Air 2002, 12, 55–63. [Google Scholar] [CrossRef]
- NEPM. National Environment Protection (Air Toxics) Measure; Environment Protection and Heritage Council: Canberra, ACT, Australia, 2004.
- Jia, C.; Fu, X. Diffusive uptake rates of volatile organic compounds on standard ATD tubes for environmental and workplace applications. Environments 2017, 4, 87. [Google Scholar] [CrossRef]
- Brown, R.H. Monitoring the ambient environment with diffusive samplers: Theory and practical considerations. J. Environ. Monit. 2000, 2, 1–9. [Google Scholar] [CrossRef] [PubMed]
- U.S. Environmental Protection Agency (USEPA). EPA On-Line Tools for Site Assessment Calculation; USEPA: Washington, DC, USA, 2016.
- Levene, H. Robust tests for equality of variances. In Contributions to Probability and Statistics: Essays in Honor of Harold Hotelling; Olkin, I., Ed.; Stanford University Press: Palo Alto, CA, USA, 1960; pp. 278–292. [Google Scholar]
- Gastwirth, J.L.; Gel, Y.R.; Miao, W. The Impact of Levene’s Test of Equality of Variances on Statistical Theory and Practice. Stat. Sci. 2009, 24, 343–360. [Google Scholar] [CrossRef]
- Shapiro, S.S.; Wilk, M.B. An analysis of variance test for normality (complete samples). Biometrika 1965, 52, 591–611. [Google Scholar] [CrossRef]
- Kruskal, W.H.; Wallis, W.A. Use of ranks in one-criterion variance analysis. J. Am. Stat. Assoc. 1952, 47, 583–621. [Google Scholar] [CrossRef]
- Keselman, H.J.; Rogan, J.C.; Feir-Walsh, B.J. An evaluation of some non-parametric and parametric tests for location equality. Brit. J. Math. Stat. Psy. 1977, 30, 213–221. [Google Scholar] [CrossRef]
- FAO. Regulation Concerning Levels of Some Substances Levels in the Air. J. Laws 2013, 1013. (In Polish) [Google Scholar]
- Available online: http://powietrze.katowice.wios.gov.pl/dane-pomiarowe/pasywne/stacja/18/parametry/661/roczny/2019 (accessed on 30 October 2020).
- Srivastava, A.; Devotta, S. Indoor air quality of public places in Mumbai, India in terms of volatile organic compounds. Environ. Monit. Assess. 2007, 133, 127–138. [Google Scholar] [CrossRef]
- Jiang, Z.; Grosselin, B.; Daële, V.; Mellouki, A.; Mu, Y. Seasonal and diurnal variations of BTEX compounds in the semi-urban environment of Orleans, France. Sci. Total Environ. 2017, 574, 1659–1664. [Google Scholar] [CrossRef]
- Chao, C.Y.; Chan, G.Y. Quantification of indoor VOCs in twenty mechanically ventilated buildings in Hong Kong. Atmos. Environ. 2001, 35, 5895–5913. [Google Scholar] [CrossRef]
- Ongwandee, M.; Moonrinta, R.; Panyametheekul, S.; Tangbanluekal, C.; Morrison, G. Investigation of volatile organic compounds in office buildings in Bangkok, Thailand: Concentrations, sources, and occupant symptoms. Build. Environ. 2011, 46, 1512–1522. [Google Scholar] [CrossRef]
- Edwards, R.D.; Jurvelin, J.; Saarela, K.; Jantunen, M.J. VOC concentrations measured in personal samples and residential indoor, outdoor and workplace microenvironments in EXPOLIS-Helsinki, Finland. Atmos. Environ. 2001, 35, 4531–4543. [Google Scholar] [CrossRef]
- Geiss, O.; Giannopoulos, G.; Tirendi, S.; Barrero-Moreno, J.; Larsen, B.R.; Kotzias, D. The AIRMEX study—VOC measurements in public buildings and schools/kindergartens in eleven European cities: Statistical analysis of the data. Atmos. Environ. 2001, 45, 3676–3684. [Google Scholar] [CrossRef]
- Kik, K.; Bukowska, B.; Sicińska, P. Polystyrene nanoparticles: Sources, occurrence in the environment, distribution in tissues, accumulation and toxicity to various organisms. Environ. Pollut. 2020, 262, 114297. [Google Scholar] [CrossRef] [PubMed]
- Leovic, K.W.; Sheldon, L.S.; Whitaker, D.A.; Hetes, R.G.; Calcagni, J.A.; Baskir, J.N. Measurement of indoor emissions from dry-process photocopy machines. J. Air Waste Manag. Assoc. 1996, 46, 821–829. [Google Scholar] [CrossRef]
- Missia, D.A.; Demetriou, E.; Michael, N.; Tolis, E.I.; Bartzis, J.G. Indoor exposure from building materials: A field study. Atmos. Environ. 2010, 44, 4388–4395. [Google Scholar] [CrossRef]



| Instrument | Parameter | Settings |
|---|---|---|
| Thermal desorber Turbo-Matrix 100 (PerkinElmer, Inc., Waltham, MA, USA) | Valve temperature | 200 °C |
| Tube oven temperature | 280 °C | |
| Transfer line temperature | 250 °C | |
| Trap low temperature | (−5 °C) | |
| Trap high temperature | 280 °C | |
| Pure time | 1 min | |
| Desorb time | 3 min | |
| Desorb flow | 25 mL/min | |
| Inlet split | 25 mL/min | |
| Outlet split | 8 mL/min | |
| Carrier (He) pressure | 100 kPa | |
| Gas chromatograph Clarus 500 (PerkinElmer, Inc., Waltham, MA, USA) | RTX-5 (Restek) capillary column | 30 m × 0.32 mm × 3.00 μm non-polar stationary phase |
| Flow of carrier gas (He) | 2 mL/min | |
| Temperature program | 50 °C hold for 2 min; 8 °C/min to 220 °C | |
| Total run time | 23 min | |
| Flame Ionization Detector | Temperature | 260 °C |
| Flow of hydrogen | 45 mL/min | |
| Flow of air | 450 mL/min |
| Room | Benzene | Toluene | Ethylbenzene | m,p-xylenes | o-xylenes | Styrene | 1,3,5-TMB |
|---|---|---|---|---|---|---|---|
| Cold Season (Oct–Mar) | |||||||
| office 1 | 1.05 ± 0.57 a | 14.43 ± 20.68 a | 2.49 ± 3.12 a | 3.18 ± 4.78 a | 1.34 ± 1.08 a | 2.66 ± 4.11 a | 1.33 ± 0.38 a |
| office 2 | 1.08 ± 0.65 a | 14.21 ± 23.83 a | 1.71 ± 0.54 b | 2.25 ± 0.87 b | 0.77 ± 0.30 a | 1.96 ± 0.94 b | 1.18 ± 0,34 a |
| office 3 | 1.17 ± 0.76 a | 20.67 ± 38.69 a | 2.24 ± 0.72 a | 3.38 ± 1.11 a | 0.77 ± 0.24 a | 3.15 ± 0.98 a | 0.99 ± 0.44 a |
| office 4 | 1.31 ± 0.93 a | 28.09 ± 30.63 a | 2.78 ± 0.22 a | 4.78 ± 1.22 a | 0.82 ± 0.14 a | 4.67 ± 1.30 a | 1.30 ± 0.22 a |
| office 5 | 1.05 ± 0.61 a | 21.99 ± 28.02 a | 2.23 ± 0.68 a | 3.91 ± 1.63 a | 0.66 ± 0.21 a | 3.48 ± 1.23 a | 1.22 ± 0.29 a |
| office 6 | 1.13 ± 0.68 a | 16.82 ± 24.05 a | 2.48 ± 1.28 a | 3.80 ± 2.35 a | 0.84 ± 0.42 a | 3.40 ± 1.45 a | 1.24 ± 0.32 a |
| outdoor | 1.28 ± 0.74 a | 22.63 ± 50.30 a | 0.50 ± 0.27 c | 0.46 ± 0.10 c | 0.39 ± 0.29 b | 0.34 ± 0.08 c | 1.31 ± 1.01 a |
| Warm Season (Apr–Sep) | |||||||
| office 1 | 0.49 ± 0.45 a | 25.16 ± 31.46 a | 1.85 ± 0.77 a | 1.84 ± 0.93 a | 1.91 ± 2.38 a | 1.19 ± 0.53 a | 1.46 ± 0.27 a |
| office 2 | 0.55 ± 0.67 a | 20.48 ± 19.02 a | 2.21 ± 0.82 a | 2.34 ± 1.80 a | 1.31 ± 0.56 a | 1.87 ± 1.15 a | 1.45 ± 0.27 a |
| office 3 | 0.49 ± 0.60 a | 21.40 ± 32.75 a | 7.36 ± 10.14 b | 6.08 ± 3.38 b | 1.10 ± 0.83 a | 4.78 ± 3.23 b | 1.50 ± 0.26 a |
| office 4 | 0.35 ± 0.14 a | 17.76 ± 6.68 a | 3.31 ± 1.75 c | 4.16 ± 2.60 c | 1.52 ± 0.66 a | 3.55 ± 2.06 c | 1.79 ± 0.36 a |
| office 5 | 0.42 ± 0.31 a | 27.13 ± 32.30 a | 4.64 ± 3.86 c | 4.64 ± 2.36 c | 1.37 ± 0.50 a | 6.52 ± 6.06 b | 2.07 ± 0.49 a |
| office 6 | 0.44 ± 0.34 a | 24.36 ± 39.60 a | 4.30 ± 3.72 c | 7.03 ± 8.34 b | 1.40 ± 1.07 a | 6.17 ± 5.99 b | 1.82 ± 0.69 a |
| outdoor | 0.57 ± 0.63 a | 22.44 ± 30.27 a | 0.53 ± 0.42 d | 0.45 ± 0.35 d | 0.30 ± 0.19 b | 0.31 ± 0.20 d | 1.00 ± 0.30 a |
| Cold Season (Oct–Mar) | ||||||||
|---|---|---|---|---|---|---|---|---|
| VOC | Indoor (n = 36) | Outdoor (n = 12) | ||||||
| Mean | SD | Min | Max | Mean | SD | Min | Max | |
| Benzene | 1.13 | 0.66 | 0.17 | 2.56 | 1.28 | 0.74 | 0.32 | 2.44 |
| Toluene | 19.37 | 26.63 | 2.51 | 99.54 | 22.63 | 50.30 | 1.37 | 125.30 |
| Ethylbenzene | 2.32 | 1.39 | 0.71 | 8.75 | 0.50 | 0.27 | 0.30 | 0.99 |
| m,p-xylene | 3.55 | 2.35 | 0.69 | 12.91 | 0.46 | 0.10 | 0.31 | 0.61 |
| o-xylene | 0.87 | 0.52 | 0.34 | 3.42 | 0.39 | 0.29 | 0.09 | 0.74 |
| Styrene | 3.22 | 2.03 | 0.42 | 11.01 | 0.33 | 0.08 | 0.22 | 0.44 |
| 1,3,5-TMB | 1.21 | 0.33 | 0.26 | 1.88 | 1.31 | 1.01 | 0.45 | 3.23 |
| Sum VOCs | 32.05 | 30.41 | 8.02 | 116.31 | 26.90 | 50.47 | 3.50 | 129.77 |
| Warm Season (Apr–Sep) | ||||||||
| Indoor (n = 41) | Outdoor (n = 14) | |||||||
| Mean | SD | Min | Max | Mean | SD | Min | Max | |
| Benzene | 0.46 | 0.44 | 0.10 | 2.04 | 0.57 | 0.63 | 0.25 | 1.97 |
| Toluene | 25.24 | 27.77 | 1.78 | 113.83 | 22.44 | 30.27 | 1.90 | 90.03 |
| Ethylbenzene | 3.96 | 4.88 | 0.74 | 29.97 | 0.53 | 0.42 | 0.29 | 1.48 |
| m,p-xylene | 4.24 | 4.25 | 0.81 | 25.67 | 0.45 | 0.35 | 0.21 | 1.23 |
| o-xylene | 1.43 | 1.16 | 0.32 | 7.20 | 0.30 | 0.19 | 0.12 | 0.71 |
| Styrene | 4.02 | 4.19 | 0.69 | 19.50 | 0.31 | 0.20 | 0.14 | 0.73 |
| 1,3,5-TMB | 1.68 | 0.45 | 1.02 | 2.93 | 1.00 | 0.30 | 0.60 | 1.39 |
| Sum VOCs | 38.13 | 36.65 | 6.85 | 177.92 | 25.33 | 32.24 | 4.06 | 97.54 |
| Sampling Site | B | T | E | m,p-xe | S | o-xe | 1,3,5-TMB | Reference | |
|---|---|---|---|---|---|---|---|---|---|
| Korea, Seoul, Taegu | I | 12.6 | 80.4 | 7.6 | 23.4 | 5.0 | 14.5 | 6.4 | [30] |
| O | 8.18 | 50.25 | 5.51 | 16.25 | 4.00 | 9.01 | 2.90 | ||
| Hong Kong | I | 8.1 | 52.8 | 7.3 | 18.9 | 5.1 | 5.5 | 8.8 | [49] |
| Singapore | I | 87.1 | 287.3 | 143.0 | 43.4 | [13] | |||
| Europe | I | 14.6 | 35.1 | 22.2 | 10.2 | ||||
| Hungary | I | 2.7 | 2.2 | 0.5 | 1.2 | 0.4 | [47] | ||
| India, Mumbai | I | 44.92 | 0.82 | 0.06 | 0.1 | [44] | |||
| O | 49.91 | 0.20 | 1.00 | ||||||
| Thailand, Bangkok | I | 8.8 | 110 | 12.1 | 12.2 | 3.22 | 9.63 | [48] | |
| O | 2.98 | 43.65 | 5.50 | 5.33 | 1.05 | 4.21 | |||
| Finland, Helsinki | I | 3.9 | 32.3 | 16.1 | 38.8 | 16.3 | 15.6 | [50] | |
| O | 1.7 | 5.6 | 1.0 | 3.1 | |||||
| Poland, Gliwice | I | 1.2 | 10.8 | 0.6 | 0.5 | 0.3 | 1.2 | 6.7 | [8] |
| O | 0.63 | 8.18 | 0.17 | 0.23 | 0.12 | 0.05 | 0.31 | ||
| Poland, Upper Silesia | I | 0.78 | 22.14 | 3.25 | 3.99 | 3.73 | 1.20 | 1.96 | This study |
| O | 0.90 | 22.53 | 0.52 | 0.45 | 0.32 | 0.34 | 1.60 | ||
| VOCs | H | p* |
|---|---|---|
| Cold Season (Oct–Mar) | ||
| Benzene | 0.99 | 0.99 |
| Toluene | 9.84 | 0.13 |
| Ethylbenzene | 21.27 | 0.00 |
| m,p- Xylene | 25.72 | 0.00 |
| o- Xylene | 13.38 | 0.04 |
| Styrene | 25.81 | 0.00 |
| 1,3,5-TMB | 3.92 | 0.69 |
| Warm Season (Apr–Sep) | ||
| Benzene | 1.001 | 0.98 |
| Toluene | 4.49 | 0.61 |
| Ethylbenzene | 23.16 | 0.00 |
| m,p- Xylene | 27.41 | 0.00 |
| o- Xylene | 18.10 | 0.01 |
| Styrene | 31.70 | 0.00 |
| 1,3,5-TMB | 12.67 | 0.06 |
| VOC, µg/m3 | Group | |
|---|---|---|
| Cold Season (Oct–Mar) | Warm Season (Apr–Sep) | |
| Benzene | I | I |
| Toluene | I | I |
| 1,3,5-TMB | I | II |
| o-xylene | II | II |
| Ethylbenzene | III | III |
| m,p-xylene | III | III |
| Styrene | III | III |
Publisher’s Note: MDPI stays neutral with regard to jurisdictional claims in published maps and institutional affiliations. |
© 2020 by the authors. Licensee MDPI, Basel, Switzerland. This article is an open access article distributed under the terms and conditions of the Creative Commons Attribution (CC BY) license (http://creativecommons.org/licenses/by/4.0/).
Share and Cite
Kozielska, B.; Kaleta, D. Assessment of Indoor Benzene and Its Alkyl Derivatives Concentrations in Offices Belonging to University of Technology (Poland). Atmosphere 2021, 12, 51. https://doi.org/10.3390/atmos12010051
Kozielska B, Kaleta D. Assessment of Indoor Benzene and Its Alkyl Derivatives Concentrations in Offices Belonging to University of Technology (Poland). Atmosphere. 2021; 12(1):51. https://doi.org/10.3390/atmos12010051
Chicago/Turabian StyleKozielska, Barbara, and Dorota Kaleta. 2021. "Assessment of Indoor Benzene and Its Alkyl Derivatives Concentrations in Offices Belonging to University of Technology (Poland)" Atmosphere 12, no. 1: 51. https://doi.org/10.3390/atmos12010051
APA StyleKozielska, B., & Kaleta, D. (2021). Assessment of Indoor Benzene and Its Alkyl Derivatives Concentrations in Offices Belonging to University of Technology (Poland). Atmosphere, 12(1), 51. https://doi.org/10.3390/atmos12010051

