The Clinical Details of MYH9-Related Disease and DFNA17 in a Large Japanese Hearing Loss Cohort
Abstract
1. Introduction
2. Materials and Methods
2.1. Subjects
2.2. Clinical Evaluations
2.3. Next-Generation Sequencing and Bioinformatic Analysis
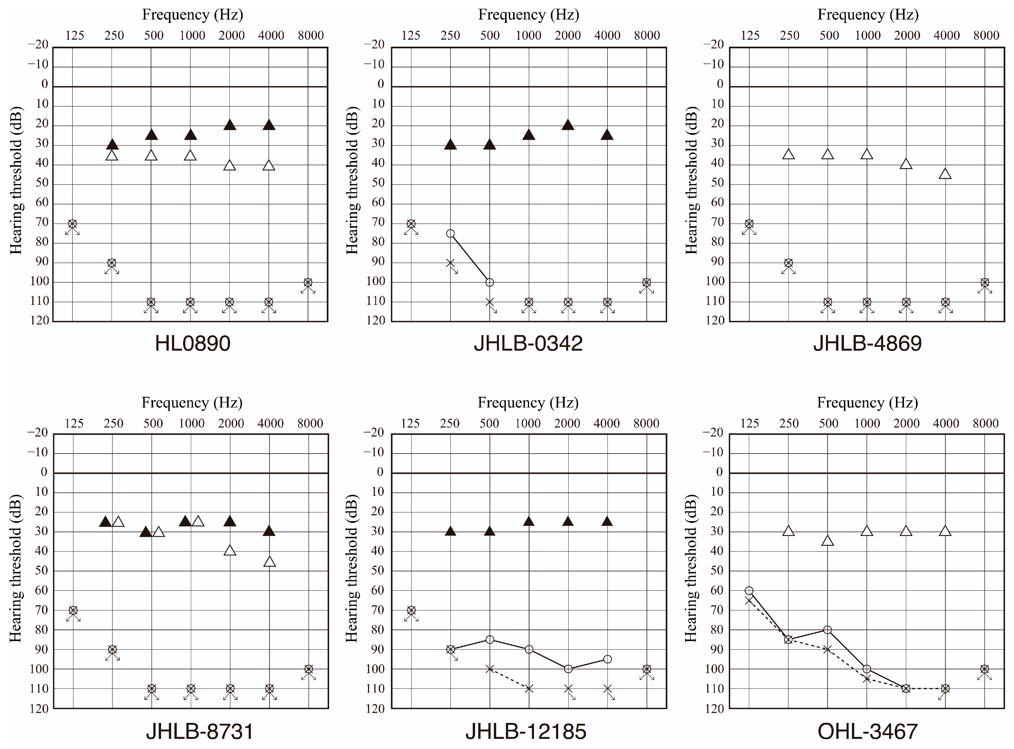
3. Results
3.1. Identified Variants
3.2. Characteristics of MYH9-Associated Hearing Loss and Outcomes of Cochlear Implantation
3.3. Associated Symptoms of MYH9-Associated HL Patients Identified in This Study
4. Discussion
5. Conclusions
Author Contributions
Funding
Institutional Review Board Statement
Informed Consent Statement
Data Availability Statement
Acknowledgments
Conflicts of Interest
References
- Walls, W.D.; Azaiez, H.; Smith, R.J.H. Hereditary Hearing Loss Homepage. Available online: https://hereditaryhearingloss.org (accessed on 15 November 2025).
- Ahmed, S.; Sheraz, S.; Malik, S.A.; Ahmed, N.R.; Malik, S.A.; Farooq, S.; Raheem, A.; Basheer, F.; Nayyar, Z.A.; Malik, F.E. Frequency of Congenital Hearing Loss in Neonates. J. Ayub. Med. Coll. Abbottabad 2018, 30, 234–236. [Google Scholar]
- Seri, M.; Pecci, A.; Di Bari, F.; Cusano, R.; Savino, M.; Panza, E.; Nigro, A.; Noris, P.; Gangarossa, S.; Rocca, B.; et al. MYH9-related disease: May-Hegglin anomaly, Sebastian syndrome, Fechtner syndrome, and Epstein syndrome are not distinct entities but represent a variable expression of a single illness. Medicine 2003, 82, 203–215. [Google Scholar] [CrossRef]
- Lalwani, A.K.; Goldstein, J.A.; Kelley, M.J.; Luxford, W.; Castelein, C.M.; Mhatre, A.N. Human nonsyndromic hereditary deafness DFNA17 is due to a mutation in nonmuscle myosin MYH9. Am. J. Hum. Genet. 2000, 67, 1121–1128. [Google Scholar] [CrossRef]
- Kunishima, S.; Kojima, T.; Matsushita, T.; Tanaka, T.; Tsurusawa, M.; Furukawa, Y.; Nakamura, Y.; Okamura, T.; Amemiya, N.; Nakayama, T.; et al. Mutations in the NMMHC-A gene cause autosomal dominant macrothrombocytopenia with leukocyte inclusions (May-Hegglin anomaly/Sebastian syndrome). Blood 2001, 97, 1147–1149. [Google Scholar]
- Pecci, A.; Biino, G.; Fierro, T.; Bozzi, V.; Mezzasoma, A.; Noris, P.; Ramenghi, U.; Loffredo, G.; Fabris, F.; Momi, S.; et al. Alteration of liver enzymes is a feature of the MYH9-related disease syndrome. PLoS ONE 2012, 7, e35986. [Google Scholar] [CrossRef]
- De Rocco, D.; Zieger, B.; Platokouki, H.; Heller, P.G.; Pastore, A.; Bottega, R.; Noris, P.; Barozzi, S.; Glembotsky, A.C.; Pergantou, H.; et al. MYH9-related disease: Five novel mutations expanding the spectrum of causative mutations and confirming genotype/phenotype correlations. Eur. J. Med. Genet. 2013, 56, 7–12. [Google Scholar] [CrossRef] [PubMed]
- Pecci, A.; Verver, E.J.; Schlegel, N.; Canzi, P.; Boccio, C.M.; Platokouki, H.; Krause, E.; Benazzo, M.; Topsakal, V.; Greinacher, A. Cochlear implantation is safe and effective in patients with MYH9-related disease. Orphanet J. Rare Dis. 2014, 9, 100. [Google Scholar] [CrossRef]
- Verver, E.J.; Topsakal, V.; Kunst, H.P.; Huygen, P.L.; Heller, P.G.; Pujol-Moix, N.; Savoia, A.; Benazzo, M.; Fierro, T.; Grolman, W.; et al. Nonmuscle Myosin Heavy Chain IIA Mutation Predicts Severity and Progression of Sensorineural Hearing Loss in Patients with MYH9-Related Disease. Ear Hear. 2016, 37, 112–120. [Google Scholar] [CrossRef] [PubMed]
- Kelley, M.J.; Jawien, W.; Ortel, T.L.; Korczak, J.F. Mutation of MYH9, encoding non-muscle myosin heavy chain A, in May-Hegglin anomaly. Nat. Genet. 2000, 26, 106–108. [Google Scholar] [CrossRef] [PubMed]
- Seri, M.; Cusano, R.; Gangarossa, S.; Caridi, G.; Bordo, D.; Lo Nigro, C.; Ghiggeri, G.M.; Ravazzolo, R.; Savino, M.; Del Vecchio, M.; et al. Mutations in MYH9 result in the May-Hegglin anomaly, and Fechtner and Sebastian syndromes. The May-Heggllin/Fechtner Syndrome Consortium. Nat. Genet. 2000, 26, 103–105. [Google Scholar]
- Arrondel, C.; Vodovar, N.; Knebelmann, B.; Grünfeld, J.P.; Gubler, M.C.; Antignac, C.; Heidet, L. Expression of the nonmuscle myosin heavy chain IIA in the human kidney and screening for MYH9 mutations in Epstein and Fechtner syndromes. J. Am. Soc. Nephrol. 2002, 13, 65–74. [Google Scholar] [CrossRef]
- Lalwani, A.K.; Atkin, G.; Li, Y.; Lee, J.Y.; Hillman, D.E.; Mhatre, A.N. Localization in stereocilia, plasma membrane, and mitochondria suggests diverse roles for NMHC-IIa within cochlear hair cells. Brain Res. 2008, 1197, 13–22. [Google Scholar] [CrossRef]
- Stenson, P.D.; Mort, M.; Ball, E.V.; Shaw, K.; Phillips, A.; Cooper, D.N. The Human Gene Mutation Database: Building a comprehensive mutation repository for clinical and molecular genetics, diagnostic testing and personalized genomic medicine. Hum. Genet. 2014, 133, 1–9. [Google Scholar] [PubMed]
- Usami, S.I.; Nishio, S.Y. The genetic etiology of hearing loss in Japan revealed by the social health insurance-based genetic testing of 10K patients. Hum. Genet. 2022, 141, 665–681. [Google Scholar] [CrossRef] [PubMed]
- Mazzoli, M.; Van Camp, G.; Newton, V.; Giarbini, N.; Declau, F.; Parving, A. Recommendations for the Description of Genetic and Audiological Data for Families with Nonsyndromic Hereditary Hearing Impairment. Audiol. Med. 2003, 1, 148–150. [Google Scholar] [CrossRef]
- Nishio, S.Y.; Hayashi, Y.; Watanabe, M.; Usami, S. Clinical application of a custom AmpliSeq library and ion torrent PGM sequencing to comprehensive mutation screening for deafness genes. Genet. Test. Mol. Biomark. 2015, 19, 209–217. [Google Scholar] [CrossRef]
- Wang, K.; Li, M.; Hakonarson, H. ANNOVAR: Functional annotation of genetic variants from high-throughput sequencing data. Nucleic Acids Res. 2010, 38, e164. [Google Scholar] [CrossRef]
- Nishio, S.Y.; Usami, S.I. The Clinical Next-Generation Sequencing Database: A Tool for the Unified Management of Clinical Information and Genetic Variants to Accelerate Variant Pathogenicity Classification. Hum. Mutat. 2017, 38, 252–259. [Google Scholar] [CrossRef] [PubMed]
- Richards, S.; Aziz, N.; Bale, S.; Bick, D.; Das, S.; Gastier-Foster, J.; Grody, W.W.; Hegde, M.; Lyon, E.; Spector, E.; et al. Standards and guidelines for the interpretation of sequence variants: A joint consensus recommendation of the American College of Medical Genetics and Genomics and the Association for Molecular Pathology. Genet. Med. 2015, 17, 405–424. [Google Scholar] [CrossRef]
- Oza, A.M.; DiStefano, M.T.; Hemphill, S.E.; Cushman, B.J.; Grant, A.R.; Siegert, R.K.; Shen, J.; Chapin, A.; Boczek, N.J.; Schimmenti, L.A.; et al. Expert specification of the ACMG/AMP variant interpretation guidelines for genetic hearing loss. Hum. Mutat. 2018, 39, 1593–1613. [Google Scholar] [CrossRef]
- Heath, K.E.; Campos-Barros, A.; Toren, A.; Rozenfeld-Granot, G.; Carlsson, L.E.; Savige, J.; Denison, J.C.; Gregory, M.C.; White, J.G.; Barker, D.F.; et al. Nonmuscle myosin heavy chain IIA mutations define a spectrum of autosomal dominant macrothrombocytopenias: May-Hegglin anomaly and Fechtner, Sebastian, Epstein, and Alport-like syndromes. Am. J. Hum. Genet. 2001, 69, 1033–1045. [Google Scholar] [CrossRef]
- Pecci, A.; Panza, E.; Pujol-Moix, N.; Klersy, C.; Di Bari, F.; Bozzi, V.; Gresele, P.; Lethagen, S.; Fabris, F.; Dufour, C.; et al. Position of nonmuscle myosin heavy chain IIA (NMMHC-IIA) mutations predicts the natural history of MYH9-related disease. Hum. Mutat. 2008, 29, 409–417. [Google Scholar] [CrossRef]
- Neveling, K.; Feenstra, I.; Gilissen, C.; Hoefsloot, L.H.; Kamsteeg, E.J.; Mensenkamp, A.R.; Rodenburg, R.J.T.; Yntema, H.G.; Spruijt, L.; Vermeer, S.; et al. A post-hoc comparison of the utility of sanger sequencing and exome sequencing for the diagnosis of heterogeneous diseases. Hum. Mutat. 2013, 34, 1721–1726. [Google Scholar] [CrossRef] [PubMed]
- Saposnik, B.; Binard, S.; Fenneteau, O.; Nurden, A.; Nurden, P.; Hurtaud-Roux, M.F.; Schlegel, N.; Network, T.F.M. Mutation spectrum and genotype-phenotype correlations in a large French cohort of MYH9-Related Disorders. Mol. Genet. Genom. Med. 2014, 2, 297–312. [Google Scholar] [CrossRef] [PubMed]
- Kunishima, S.; Matsushita, T.; Kojima, T.; Amemiya, N.; Choi, Y.M.; Hosaka, N.; Inoue, M.; Jung, Y.; Mamiya, S.; Matsumoto, K.; et al. Identification of six novel MYH9 mutations and genotype-phenotype relationships in autosomal dominant macrothrombocytopenia with leukocyte inclusions. J. Hum. Genet. 2001, 46, 722–729. [Google Scholar] [CrossRef]
- Sloan-Heggen, C.M.; Bierer, A.O.; Shearer, A.E.; Kolbe, D.L.; Nishimura, C.J.; Frees, K.L.; Ephraim, S.S.; Shibata, S.B.; Booth, K.T.; Campbell, C.A.; et al. Comprehensive genetic testing in the clinical evaluation of 1119 patients with hearing loss. Hum. Genet. 2016, 135, 441–450. [Google Scholar] [CrossRef] [PubMed]
- Pecci, A.; Klersy, C.; Gresele, P.; Lee, K.J.; De Rocco, D.; Bozzi, V.; Russo, G.; Heller, P.G.; Loffredo, G.; Ballmaier, M.; et al. MYH9-related disease: A novel prognostic model to predict the clinical evolution of the disease based on genotype-phenotype correlations. Hum. Mutat. 2014, 35, 236–247. [Google Scholar] [CrossRef]
- Dantas, V.G.; Lezirovitz, K.; Yamamoto, G.L.; Moura de Souza, C.F.; Ferreira, S.G.; Mingroni-Netto, R.C. c.G2114A MYH9 mutation (DFNA17) causes non-syndromic autosomal dominant hearing loss in a Brazilian family. Genet. Mol. Biol. 2014, 37, 616–621. [Google Scholar] [CrossRef]
- Asensio-Juárez, G.; Llorente-González, C.; Vicente-Manzanares, M. Linking the Landscape of MYH9-Related Diseases to the Molecular Mechanisms that Control Non-Muscle Myosin II-A Function in Cells. Cells 2020, 9, 1458. [Google Scholar] [CrossRef]
- Tian, Y.; Guo, Y.; Zhou, X.; Hu, X.; Shuang, S.; Xia, P.; Ji, P.; Dong, W.; Yuan, X.; Shen, R.; et al. Research Advances in the Physiological and Pathological Function of MYH9 and NMIIA. Int. J. Immunogenet. 2025, e70032, Online ahead of print. [Google Scholar] [CrossRef]
- Hildebrand, M.S.; de Silva, M.G.; Gardner, R.J.; Rose, E.; de Graaf, C.A.; Bahlo, M.; Dahl, H.-H.M. Cochlear implants for DFNA17 deafness. Laryngoscope 2006, 116, 2211–2215. [Google Scholar] [CrossRef]
- Mori, A.; Takeda, H.; Kobayashi, M.; Misawa, T.; Watanabe, R.; Abe, S.; Kumakawa, K.; Nishio, S.; Usami, S.; Yamasoba, T. Successful cochlear implantation in a patient with Epstein syndrome during long-term follow-up. Auris Nasus Larynx 2022, 49, 308–312. [Google Scholar] [CrossRef] [PubMed]
- Nabekura, T.; Nagano, Y.; Matsuda, K.; Tono, T. A case of cochlear implantation in a patient with Epstein syndrome. Auris Nasus Larynx 2015, 42, 160–162. [Google Scholar] [CrossRef]
- Nishiyama, N.; Kawano, A.; Kawaguchi, S.; Shirai, K.; Suzuki, M. Cochlear implantation in a patient with Epstein syndrome. Auris Nasus Larynx 2013, 40, 409–412. [Google Scholar] [CrossRef]
- Althaus, K.; Najm, J.; Greinacher, A. MYH9 related platelet disorders—Often unknown and misdiagnosed. Klin. Padiatr. 2011, 223, 120–125. [Google Scholar] [CrossRef] [PubMed]
- Favier, R.; DiFeo, A.; Hezard, N.; Fabre, M.; Bedossa, P.; Martignetti, J.A. A new feature of the MYH9-related syndrome: Chronic transaminase elevation. Hepatology 2013, 57, 1288–1289. [Google Scholar] [CrossRef] [PubMed]
- Noris, P.; Klersy, C.; Zecca, M.; Arcaini, L.; Pecci, A.; Melazzini, F.; Terulla, V.; Bozzi, V.; Ambaglio, C.; Passamonti, F.; et al. Platelet size distinguishes between inherited macrothrombocytopenias and immune thrombocytopenia. J. Thromb. Haemost. 2009, 7, 2131–2136. [Google Scholar] [CrossRef]
- Kunishima, S.; Matsushita, T.; Kojima, T.; Sako, M.; Kimura, F.; Jo, E.K.; Inoue, C.; Kamiya, T.; Saito, H. Immunofluorescence analysis of neutrophil nonmuscle myosin heavy chain-A in i disorders: Association of subcellular localization with MYH9 mutations. Lab. Investig. 2003, 83, 115–122. [Google Scholar] [CrossRef]
- Pecci, A.; Ma, X.; Savoia, A.; Adelstein, R.S. MYH9: Structure, functions and role of non-muscle myosin IIA in human disease. Gene 2018, 664, 152–167. [Google Scholar] [CrossRef]





| Nucleotide Change | AA Change | Domain | SIFT | PP2 | MutTaster | REVEL | CADD | ToMMo 60KJPN | gnomAD All | Pathogenicity | Reference |
|---|---|---|---|---|---|---|---|---|---|---|---|
| c.1055T > C | p.Ile352Thr | Myosin head | D | B | D | 0.878 | 29.3 | 0 | 0.0000007 | Uncertain Significance | This study |
| c.2104C > T | p.Arg702Cys | Myosin head | D | D | A | 0.884 | 35 | 0 | 0 | Pathogenic | Seri M et al., 2000 [11] |
| c.2105G > A | p.Arg702His | Myosin head | D | D | A | 0.884 | 35 | 0 | 0.0000066 | Pathogenic | Heath KE et al., 2001 [22] |
| c.2114G > A | p.Arg705His | Myosin head | D | D | A | 0.829 | 35 | 0 | 0 | Pathogenic | Lalwani AK et al., 2000 [4] |
| c.2122_2124dup | p.Phe708_Pro709insPhe | Myosin head | . | . | . | . | . | 0 | 0 | Uncertain Significance | This study |
| c.2152C > T | p.Arg718Trp | Myosin head | D | D | D | 0.776 | 34 | 0 | 0.0000007 | Pathogenic | Pecci A et al., 2008 [23] |
| c.2507C > T | p.Pro836Leu | . | D | D | D | 0.963 | 34 | 0.0000080 | 0.0000014 | Uncertain Significance | Neveling K et al., 2013 [24] |
| c.2525G > A | p.Arg842Gln | Myosin tail | D | B | D | 0.441 | 31 | 0 | 0 | Uncertain Significance | This study |
| c.2548A > G | p.Lys850Glu | Myosin tail | D | P | D | 0.870 | 32 | 0 | 0 | Pathogenic | Saposnik B et al., 2014 [25] |
| c.3493C > T | p.Arg1165Cys | Myosin tail | D | D | A | 0.921 | 34 | 0 | 0 | Pathogenic | Seri M et al., 2000 [11] |
| c.3494G > T | p.Arg1165Leu | Myosin tail | D | P | A | 0.924 | 34 | 0 | 0 | Pathogenic | Kunishima S et al., 2001 [26] |
| c.4489C > T | p.Arg1497Trp | Myosin tail | D | D | D | 0.796 | 35 | 0 | 0.0000041 | Uncertain Significance | Sloan-Heggen CM et al., 2016 [27] |
| c.5647G > A | p.Glu1883Lys | Myosin tail | D | D | D | 0.847 | 35 | 0 | 0.0000021 | Uncertain Significance | This study |
| Family Number | ID | AA Change | Hereditary | Onset | Age | Gender | Severity of HL | Type of HL | Fluctuation of HL | Progression of HL | Thrombocytopenia | Macrothrombocytopenia | Hematuria/Proteinuria | Glomerulonephritis | Cataracts | Purpura | Mucosal Bleeding |
|---|---|---|---|---|---|---|---|---|---|---|---|---|---|---|---|---|---|
| 1 | JHLB-9689 | p.Ile352Thr | AD | 45 | 53 | F | Moderate | Sloping | + | + | - | NA | NA | + | - | NA | NA |
| 2 | HL0890 | p.Arg702Cys | NA | 2 | 37 | F | Profound | Flat | NA | + | + | + | + | + | + | + | + |
| 3 | JHLB-0342 | p.Arg702Cys | Sporadic | 3 | 15 | M | Severe | Sloping | + | + | + | + | + | - | - | + | + |
| 4 | JHLB-4869 | p.Arg702His | Sporadic | 17 | 44 | F | Profound | Flat | - | + | + | + | + | + | - | - | - |
| 5 | JHLB-1380 | p.Arg705His | AD | 10 | 35 | F | Profound | Flat | - | + | NA | NA | NA | NA | NA | NA | NA |
| 6 | JHLB-3212 | p.Arg705His | AD | 26 | 47 | M | Profound | Flat | + | + | - | NA | - | - | - | - | - |
| JHLB-3215 (Son) | p.Arg705His | 6 | 20 | M | Moderate | Sloping | + | + | - | NA | - | - | - | - | - | ||
| JHLB-3213 (Daughter) | p.Arg705His | 5 | 23 | F | Moderate | Sloping | + | + | + | + | - | - | - | - | + | ||
| JHLB-14696 (Grandson) | p.Arg705His | 10 | 10 | M | Normal | Flat | + | + | NA | NA | NA | NA | NA | NA | NA | ||
| 7 | JHLB-6952 | p.Arg705His | AD | 8 | 11 | F | Mild | Sloping | - | + | - | - | NA | NA | - | + | + |
| JHLB-7171 (Father) | p.Arg705His | 17 | 43 | M | Profound | Flat | + | + | - | - | NA | NA | - | - | - | ||
| 8 | JHLB-8731 | p.Arg705His | AD | 15 | 41 | M | Profound | Flat | + | + | - | - | - | NA | - | - | - |
| 9 | JHLB-12185 | p.Arg705His | AD | 26 | 38 | F | Severe | Flat | - | + | - | + | - | NA | NA | - | - |
| 10 | JHLB-11594 | p.Phe708_Pro709insPhe | AD | 30 | 44 | M | Profound | Flat | - | + | NA | NA | NA | NA | NA | NA | NA |
| 11 | JHLB-15848 | p.Arg718Trp | AD | 20 | 49 | M | Severe | Sloping | - | + | NA | NA | NA | NA | NA | NA | NA |
| 12 | JHLB-9870 | p.Pro836Leu | Sporadic | 22 | 40 | F | Moderate | Sloping | - | + | - | + | NA | - | NA | - | - |
| JHLB-15035 (Son) | p.Pro836Leu | 2 | 2 | M | Normal | Flat | - | - | - | + | - | - | - | - | - | ||
| 13 | JHLB-8583 | p.Arg842Gln | AD | 18 | 49 | F | Mild | Sloping | - | + | NA | NA | NA | NA | NA | NA | NA |
| 14 | JHLB-13047 | p.Lys850Glu | AD | 5 | 57 | M | Profound | Flat | - | + | + | NA | + | NA | NA | + | NA |
| 15 | JHLB-14621 | p.Arg1165Cys | AD | 10 | 11 | F | Mild | Sloping | - | NA | NA | NA | NA | NA | NA | NA | NA |
| JHLB-15737 (Father) | p.Arg1165Cys | 40 | 45 | M | Mild | Sloping | - | - | + | NA | NA | NA | - | NA | NA | ||
| 16 | JHLB-14856 | p.Arg1165Leu | Sporadic | 34 | 34 | F | Profound | Flat | NA | NA | + | + | - | - | NA | NA | NA |
| 17 | JHLB-5075 | p.Arg1497Trp | AD | 9 | 33 | F | Moderate | Flat | + | + | - | - | - | - | - | + | - |
| 18 | OHL-3467 | p.Glu1883Lys | AD | 36 | 44 | F | Profound | Flat | - | + | - | - | - | - | - | - | - |
Disclaimer/Publisher’s Note: The statements, opinions and data contained in all publications are solely those of the individual author(s) and contributor(s) and not of MDPI and/or the editor(s). MDPI and/or the editor(s) disclaim responsibility for any injury to people or property resulting from any ideas, methods, instructions or products referred to in the content. |
© 2026 by the authors. Licensee MDPI, Basel, Switzerland. This article is an open access article distributed under the terms and conditions of the Creative Commons Attribution (CC BY) license.
Share and Cite
Goto, S.; Sasaki, A.; Nishio, S.-y.; Shinkawa, C.; Oda, K.; Wada, T.; Ishikawa, K.; Ikezono, T.; Oka, S.-i.; Nishiyama, N.; et al. The Clinical Details of MYH9-Related Disease and DFNA17 in a Large Japanese Hearing Loss Cohort. Genes 2026, 17, 154. https://doi.org/10.3390/genes17020154
Goto S, Sasaki A, Nishio S-y, Shinkawa C, Oda K, Wada T, Ishikawa K, Ikezono T, Oka S-i, Nishiyama N, et al. The Clinical Details of MYH9-Related Disease and DFNA17 in a Large Japanese Hearing Loss Cohort. Genes. 2026; 17(2):154. https://doi.org/10.3390/genes17020154
Chicago/Turabian StyleGoto, Shinichi, Akira Sasaki, Shin-ya Nishio, Chikako Shinkawa, Kiyoshi Oda, Tetsuro Wada, Kotaro Ishikawa, Tetsuo Ikezono, Shin-ichiro Oka, Nobuhiro Nishiyama, and et al. 2026. "The Clinical Details of MYH9-Related Disease and DFNA17 in a Large Japanese Hearing Loss Cohort" Genes 17, no. 2: 154. https://doi.org/10.3390/genes17020154
APA StyleGoto, S., Sasaki, A., Nishio, S.-y., Shinkawa, C., Oda, K., Wada, T., Ishikawa, K., Ikezono, T., Oka, S.-i., Nishiyama, N., Ito, T., Kobayshi, M., Kumakawa, K., Sakuma, N., Nakanishi, H., Morimoto, C., Uehara, N., Okazaki, T., Sugahara, K., ... Usami, S.-i. (2026). The Clinical Details of MYH9-Related Disease and DFNA17 in a Large Japanese Hearing Loss Cohort. Genes, 17(2), 154. https://doi.org/10.3390/genes17020154

