Enhancement of the Precision ID Mitochondrial DNA Whole Genome System for Challenging Unidentified Human Remains
Abstract
1. Introduction
2. Materials and Methods
2.1. Sample Information
2.1.1. Control Buccal, Bone, and Microbial DNA Samples
2.1.2. Bone Casework Samples
2.2. MPS Precision ID Workflow
2.3. The Addition of BSA
2.4. Sensitivity and Efficiency Studies
2.5. Inhibitors
3. Results and Discussion
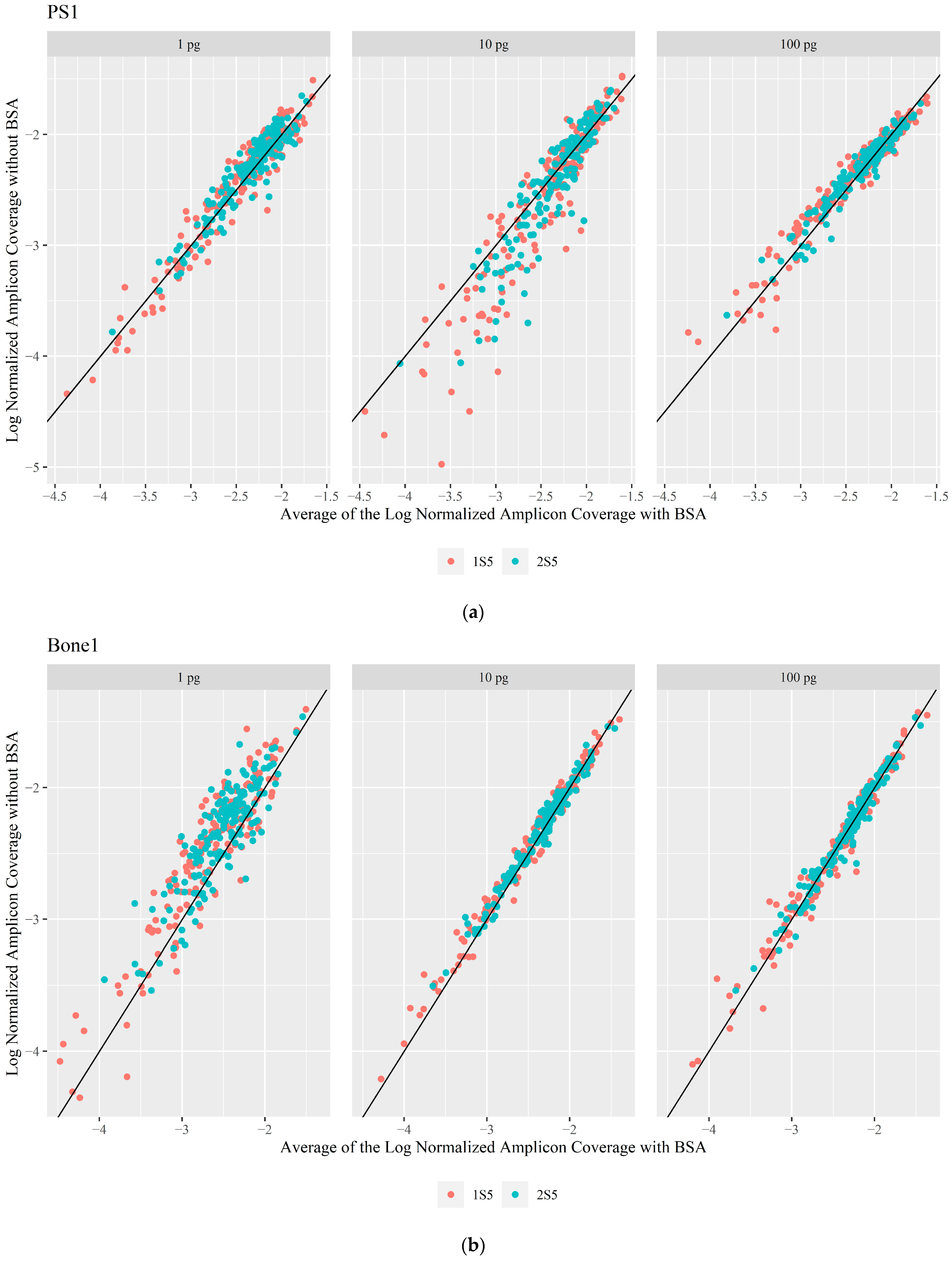
3.1. Sensitivity and Inhibition
3.2. Non-Human DNA
3.3. Bone Casework Samples
4. Conclusions
Supplementary Materials
Author Contributions
Funding
Informed Consent Statement
Data Availability Statement
Conflicts of Interest
References
- Amorim, A.; Fernandes, T.; Taveira, N. Mitochondrial DNA in human identification: A review. PeerJ 2019, 7, e7314. [Google Scholar] [CrossRef] [PubMed]
- Butler, J.M. Mitochondrial DNA analysis. In Advanced Topics in Forensic DNA Typing: Methodology; Elsevier Academic Press: Amsterdam, The Netherlands, 2012; pp. 405–456. [Google Scholar]
- Holland, M.M.; Melton, T.; Holland, C. Forensic Mitochondrial DNA Analysis: Current Practice and Future Potential; CRC Press: Boca Raton, FL, USA, 2013; pp. 249–278. [Google Scholar]
- Melton, T.; Dimick, G.; Higgins, B.; Lindstrom, L.; Nelson, K. Forensic mitochondrial DNA analysis of 691 casework hairs. J. Forensic Sci. 2005, 50, 73–80. [Google Scholar] [CrossRef] [PubMed]
- Holland, M.M.; Parson, W. Forensic aspects of mtDNA analysis. In Forensic DNA Applications; CRC Press: Boca Raton, FL, USA, 2023; pp. 67–86. [Google Scholar]
- King, J.L.; Larue, B.L.; Novroski, N.M.; Stoljarova, M.; Seo, S.B.; Zeng, X.; Warshauer, D.H.; Davis, C.P.; Parson, W.; Sajantila, A.; et al. High-quality and high-throughput massively parallel sequencing of the human mitochondrial genome using the Illumina MiSeq. Forensic Sci. Int. Genet. 2014, 12, 128–135. [Google Scholar] [CrossRef] [PubMed]
- Just, R.S.; Irwin, J.A.; Parson, W. Mitochondrial DNA heteroplasmy in the emerging field of massively parallel sequencing. Forensic Sci. Int. Genet. 2015, 18, 131–139. [Google Scholar] [CrossRef]
- Brandhagen, M.D.; Just, R.S.; Irwin, J.A. Validation of NGS for mitochondrial DNA casework at the FBI Laboratory. Forensic Sci. Int. Genet. 2020, 44, 102151. [Google Scholar] [CrossRef]
- Canale, L.C.; Parson, W.; Holland, M.M. The time is now for ubiquitous forensic mtMPS analysis. WIREs Forensic Sci. 2022, 4, e1431. [Google Scholar] [CrossRef]
- Fattorini, P.; Previdere, C.; Livieri, T.; Zupanc, T.; Pajnič, I.Z. SNP analysis of challenging bone DNA samples using the HID-Ion AmpliSeqTM Identity Panel: Facts and artefacts. Int. J. Leg. Med. 2023, 137, 981–993. [Google Scholar] [CrossRef]
- Cuenca, D.; Battaglia, J.; Halsing, M.; Sheehan, S. Mitochondrial sequencing of missing persons DNA casework by implementing Thermo Fisher’s precision ID mtDNA whole genome assay. Genes 2020, 11, 1303. [Google Scholar] [CrossRef]
- Cilhar, J.C.; Amory, C.; Lagac, R.; Roth, C.; Parson, W.; Budowle, B. Developmental validation of a MPS workflow with a PCR-based short amplicon whole mitochondrial genome panel. Genes 2020, 11, 1345. [Google Scholar] [CrossRef]
- Facinetto, C.; Sabbatini, D.; Serventi, P.; Rigato, M.; Salvoro, C.; Casamassima, G.; Margiotta, G.; De Fanti, S.; Sarno, S.; Staiti, N.; et al. Internal validation and improvement of mitochondrial genome sequencing using the precision ID mtDNA whole genome panel. Int. J. Leg. Med. 2021, 135, 2295–2306. [Google Scholar] [CrossRef]
- Strobl, C.; Eduardoff, M.; Bus, M.M.; Allen, M.; Parson, W. Evaluation of the precision ID whole mtDNA genome panel for forensic analyses. Forensic Sci. Int. Genet. 2018, 35, 21–25. [Google Scholar] [CrossRef] [PubMed]
- Turchi, C.; Melchionda, F.; Alessandrini, F.; Onofri, V.; Pesaresi, M.; Buscemi, L.; Tagliabracci, A. Pitfalls, challenges and caveats in whole mitochondrial genome sequencing from hair shafts by MPS: Where, when and how to address them. Forensic Sci. Int. Genet. Suppl. Ser. 2022, 8, 219–221. [Google Scholar] [CrossRef]
- Elwick, K.; Zeng, X.; King, J.; Budowle, B.; Hughes-Stamm, S. Comparative tolerance of two massively parallel sequencing systems to common PCR inhibitors. Int. J. Leg. Med. 2018, 132, 983–995. [Google Scholar] [CrossRef] [PubMed]
- Jager, A.C.; Alvarez, M.L.; Davis, C.P.; Guzman, E.; Han, Y.; Way, L.; Walichiewicz, P.; Silva, D.; Pham, N.; Caves, G.; et al. Developmental validation of the MiSeq FGx forensic genomics system for target next generation sequencing in forensic DNA casework and database laboratories. Forensic Sci. Int. Genet. 2017, 28, 52–70. [Google Scholar] [CrossRef]
- Sidstedt, M.; Steffen, C.R.; Kiesler, K.M.; Vallone, P.M.; Radstrom, P.; Hedman, J. The impact of common PCR inhibitors on forensic MPS analysis. Forensic Sci. Int. Genet. 2019, 40, 182–191. [Google Scholar] [CrossRef]
- Eilert, K.D.; Foran, D.R. Polymerase resistance to polymerase chain reaction inhibitors in bone. J. Forensic Sci. 2009, 54, 1001–1007. [Google Scholar] [CrossRef]
- Kreader, C.A. Relief of amplification inhibition in PCR with bovine serum albumin or T4 gene 32 protein. Appl. Environ. Microbiol. 1996, 62, 1102–1106. [Google Scholar] [CrossRef]
- Applied Biosystems by Thermo Fisher Scientific, AutoMate ExpressTM Instrument; User Guide. Available online: https://assets.thermofisher.com/TFS-Assets%2FLSG%2Fmanuals%2F4441982_AutoMateExp_UG.pdf (accessed on 2 August 2024).
- Applied Biosystems by Thermo Fisher Scientific, PrepFiler ExpressTM and PrepFiler ExpressTM BTA Forensic DNA Extraction Kits; User Guide. Available online: https://assets.thermofisher.com/TFS-Assets%2FLSG%2Fmanuals%2Fcms_081933.pdf (accessed on 2 August 2024).
- Amory, S.; Huel, R.; Bilic, A.; Loreille, O.; Parsons, T.J. Automatable full demineralization DNA extraction procedure from degraded skeletal remains. Forensic Sci. Int. Genet. 2012, 6, 398–406. [Google Scholar] [CrossRef]
- Applied Biosystems by Thermo Fisher Scientific, QuantifilerTM HP and Trio DNA Quantification Kits; User Guide. Available online: https://assets.thermofisher.com/TFS-Assets%2FLSG%2Fmanuals%2F4485354.pdf (accessed on 2 August 2024).
- Promega, QuantiFluor® ONE dsDNA System; Technical Manual. Available online: https://www.promega.com/-/media/files/resources/protocols/technical-manuals/101/tm405-quantifluor-one-dsdna-system.pdf?rev=5b55c606b6f84d49b4fd2238f9dc350d&sc_lang=en (accessed on 2 August 2024).
- Promega, QuantusTM Fluorometer; Technical Manual. Available online: https://www.promega.com/-/media/files/resources/protocols/technical-manuals/101/quantus-fluorometer-operating-manual.pdf?rev=247ceacfd9394bcc8a6b8d1516b91ed7&sc_lang=en (accessed on 2 August 2024).
- Ion Torrent by Thermo Fisher Scientific, Ion Library TaqManTM Quantitation Kit; User Guide. Available online: https://assets.thermofisher.com/TFS-Assets%2FLSG%2Fmanuals%2FMAN0015802_IonLibrary_Taqman_Quantitation_Kit_UG.pdf (accessed on 2 August 2024).
- Robinson, J.T.; Thorvaldsdóttir, H.; Winckler, W.; Guttman, M.; Lander, E.S.; Getz, G.; Mesirov, J.P. Integrative genomics viewer. Nat. Biotechnol. 2011, 29, 24–26. [Google Scholar] [CrossRef]
- Benedik, T.B.; Božič, L.; Podovšovnik, E.; Zupanc, T.; Pajnič, I.Z. Intra-bone nuclear DNA variability and STR typing success in Second World War 12th thoracic vertebrae. Forensic Sci. Int. Genet. 2021, 55, 102587. [Google Scholar] [CrossRef]
- Božič, L.; Benedik, T.B.; Podovšovnik, E.; Zupanc, T.; Pajnič, I.Z. Intra-bone nuclear DNA variability and STR typing success in Second World War first ribs. Int. J. Leg. Med. 2021, 135, 2199–2208. [Google Scholar] [CrossRef] [PubMed]
- Obal, M.; Zupanc, T.; Pajnič, I.Z. Measure quantity of mitochondrial DNA in aged bones or calculate it from nuclear DNA quantitative PCR results? Int. J. Leg. Med. 2023, 137, 1653–1659. [Google Scholar] [CrossRef] [PubMed]
- Obal, M.; Pajnič, I.Z.; Pogorelc, B.G.; Zupanc, T. Different skeletal elements as a source of DNA for genetic identification of Second World War victims. Forensic Sci. Int. Genet. Suppl. Ser 2019, 7, 27–29. [Google Scholar] [CrossRef]
- Naue, J.; Xavier, C.; Hörer, S.; Parson, W.; Lutz-Bonengel, S. Assessment of mitochondrial DNA copy number variation relative to nuclear DNA quantity between different tissues. Mitochondrion 2024, 74, 101823. [Google Scholar] [CrossRef] [PubMed]
- Opel, K.L.; Chung, D.; McCord, B.R. A study of PCR inhibition mechanisms using real time PCR. J. Forensic Sci. 2010, 55, 25–33. [Google Scholar] [CrossRef]
- Schrader, C.; Schielke, A.; Ellerbroek, L.; Johne, R. PCR inhibitors—Occurrence, properties and removal. J. Appl. Microbiol. 2012, 113, 1014–1026. [Google Scholar] [CrossRef]
- Thompson, R.E.; Duncan, G.; McCord, B.R. An investigation of PCR inhibition using Plexor®-based quantitative PCR and short tandem repeat amplification. J. Forensic Sci. 2014, 59, 1517–1529. [Google Scholar] [CrossRef]
- Sidstedt, M.; Radstrom, P.; Hedman, J. PCR inhibition in qPCR, d PCR, and MPS—Mechanisms and solutions. Anal. Bioanal. Chem. 2020, 412, 2009–2023. [Google Scholar] [CrossRef]
- Sidstedt, M.; Hedman, J.; Romsos, E.L.; Waitara, L.; Wadso, L.; Steffen, C.R.; Vallone, P.M.; Radstrom, P. Inhibition mechanisms of hemoglobin, immunoglobulin G, and whole blood in digital and real-time PCR. Anal. Bioanal. Chem. 2018, 410, 2569–2583. [Google Scholar] [CrossRef]











| Number of Samples Multiplexed | |||
|---|---|---|---|
| 16 | 24 | 32 | |
| Analytical Threshold * | 1.25% | 0.83% | 0.63% |
| Minimum Total Read Coverage per Base Position | 250 | 167 | 125 |
| Minimum Variant Coverage to Call | 25 | 17 | 12.5 |
| Coverage Threshold | 250 | 167 | 125 |
| Minimum Coverage Percent Compared to the Median of the Amplicon | 5% | 5% | 5% |
| Confirmed Call Threshold | 90% | 90% | 90% |
| Point Heteroplasmy Call Threshold | 10% | 10% | 10% |
| Insertion Call Threshold | 20% | 20% | 20% |
| Deletion Call Threshold | 30% | 30% | 30% |
| Sample | No BSA | BSA |
|---|---|---|
| QC | ![]() | ![]() 10 μg (template) |
| QC + 50 ng/μL Humic Acid | ![]() | ![]() 20 μg (primer) |
| QC + 50 μM Hematin | ![]() | ![]() 20 μg (primer) |
| QC + 1500 μM Calcium | ![]() | ![]() 20 μg (primer) |
| Sample | No BSA | BSA |
|---|---|---|
| QC + 100 ng nhDNA | ![]() | N/A |
| QC + 100 ng nhDNA + 10 μM Hematin | ![]() | ![]() 10 μg (template) |
| QC + 1000 ng nhDNA + 10 μM Hematin | ![]() | ![]() 20 μg (primer) |
| QC + 1000 ng nhDNA + 50 μM Hematin | ![]() | ![]() 20 μg (primer) |
| QC + 1000 ng nhDNA + 50 ng/μL Humic Acid | ![]() | ![]() 20 μg (primer) |
| Sample Name | Extract Number | Template Human DNA Quantity Amplified (pg) | nhDNA Quantity Amplified (ng) | Template Volume Used (μL) | BSA |
|---|---|---|---|---|---|
| Case-1 | 1 | 55.1 * | 35.1 | 11 | Both |
| Case-2 | 1 | 3.6 * | 156.0 | 12 | Both |
| 2 | 8.0 * | 336.0 | 12 | Both | |
| Case-3 | 1 | 22.5 * | N/A | 15 | No |
| 1 | 16.5 * | N/A | 11 | Yes | |
| 2 | 9.8 | N/A | 15 | Both | |
| 2 | 5.9 | N/A | 9 | Both | |
| Case-4 | 1 | 11.2 | N/A | 15 | No |
| 1 | 8.2 | N/A | 11 | Yes | |
| Case-5 | 1 | 24.7 | N/A | 14 | Both |
| 1 | 14.1 | N/A | 8 | Yes | |
| 2 | 12.0 | 140.0 | 14 | Both | |
| Case-6 | 1 | 2.6 | 3808.0 | 14 | Both |
| Case-7 | 1 | 13.7 | 567.0 | 7 | Both |
| 2 | 77.3 * | 5054.9 | 15 | Both | |
| 2 | 36.1 * | 2359.0 | 7 | Both | |
| Case-8 | 1 | 335.7 | 48.3 | 9 | Both |
| Case-9 | 1 | 21.1 | 486.0 | 9 | Both |
| Case-10 | 1 | 173.6 | 389.8 | 6 | Both |
| Case-11 | 1 | 377.6 | 674.6 | 9 | Both |
| 2 | 100.0 ⁺ | 139.9 | 2.6 | Both | |
| 2 | 345.9 ⁺ | 485.7 | 9 | Both | |
| Case-12 | 1 | 121.0 | N/A | 14 | Both |
| 1 | 69.2 | 1127.9 | 8 | Yes | |
| 2 | 69.5 | 2114.9 | 15 | Both | |
| 2 | 37.1 | 1128.0 | 8 | Both | |
| Case-13 | 1 | 503.5 | 3429.5 | 14 | Both |
| 2 | 100.0 + | 944.9 | 4.7 | Both | |
| 2 | 455.8 | 2813.5 | 14 | Both | |
| Case-14 | 1 | 371.0 | 90.6 | 7 | Both |
| Case-15 | 1 | 337.2 | N/A | 14 | Both |
| 1 | 192.7 | N/A | 8 | Yes | |
| 2 | 269.3 | 58.5 | 14 | Both | |
| Case-16 | 1 | 444.0 | N/A | 13 | Both |
| 1 | 307.4 | N/A | 9 | Yes | |
| 2 | 352.4 | 1533.6 | 13 | Both | |
| Case-17 | 1 | 871.4 | 1757.1 | 6 | Both |
| Case-18 | 1 | 551.4 | 3939.4 | 10 | Both |
| Sample | Template Volume and Extract Number | No BSA | BSA Source | BSA |
| Case-1 | 11 μL Extract 1 | ![]() 0% | primer | ![]() 100% |
| Case-2 | 12 μL Extract 2 | ![]() 0% | primer | ![]() 96.15% |
| Case-3 | 9 μL Extract 2 | ![]() 50.62% | primer | ![]() 38.16% |
| 15 μL Extract 2 | ![]() 0.02% | primer | ![]() 0.02% | |
| Case-4 | 11 μL Extract 1 | ![]() 0% | template | ![]() 81.69% |
| Case-5 | 14 μL Extract 2 | ![]() 5.20% | primer | ![]() 75.40% |
| Case-6 | 14 μL Extract 1 | ![]() 0% | template | ![]() 0% |
| Case-7 | 7 μL Extract 2 | ![]() 0% | primer | ![]() 41.96% |
| 15 μL Extract 2 | ![]() 0% | primer | ![]() 0% | |
| Case-8 | 9 μL Extract 1 | ![]() 0% | template | ![]() 55.13% |
| Case-9 | 9 μL Extract 1 | ![]() 0.04% | primer | ![]() 100% |
| Case-10 | 6 μL Extract 1 | ![]() 0.08% | primer | ![]() 100% |
| Case-11 | 9 μL Extract 2 | ![]() 0% | primer | ![]() 99.38% |
| 2.6 μL Extract 2 | ![]() 96.61% | primer | ![]() 99.38% | |
| Case-12 | 15 μL Extract 2 | ![]() 0% | primer | ![]() 39.44% |
| 8 μL Extract 2 | ![]() 95.94% | primer | ![]() 98.10% | |
| Case-13 | 4.7 μL Extract 2 | ![]() 98.74% | primer | ![]() 98.33% |
| 14 μL Extract 2 | ![]() 0% | primer | ![]() 9.37% | |
| Case-14 | 7 μL Extract 1 | ![]() 0% | primer | ![]() 95.27% |
| Case-15 | 14 μL Extract 2 | ![]() 0% | primer | ![]() 52.92% |
| Case-16 | 13 μL Extract 2 | ![]() 0% | primer | ![]() 78.74% |
| Case-17 | 6 μL Extract 1 | ![]() 50.37% | primer | ![]() 99.20% |
| Case-18 | 10 μL Extract 1 | ![]() 0% | primer | ![]() 56.87% |
Disclaimer/Publisher’s Note: The statements, opinions and data contained in all publications are solely those of the individual author(s) and contributor(s) and not of MDPI and/or the editor(s). MDPI and/or the editor(s) disclaim responsibility for any injury to people or property resulting from any ideas, methods, instructions or products referred to in the content. |
© 2025 by the authors. Licensee MDPI, Basel, Switzerland. This article is an open access article distributed under the terms and conditions of the Creative Commons Attribution (CC BY) license (https://creativecommons.org/licenses/by/4.0/).
Share and Cite
Canale, L.C.; Date-Chong, M.; Wallin, J.; Sheehan, S.; Battaglia, J.; Halsing, M.; Cuenca, D. Enhancement of the Precision ID Mitochondrial DNA Whole Genome System for Challenging Unidentified Human Remains. Genes 2025, 16, 119. https://doi.org/10.3390/genes16020119
Canale LC, Date-Chong M, Wallin J, Sheehan S, Battaglia J, Halsing M, Cuenca D. Enhancement of the Precision ID Mitochondrial DNA Whole Genome System for Challenging Unidentified Human Remains. Genes. 2025; 16(2):119. https://doi.org/10.3390/genes16020119
Chicago/Turabian StyleCanale, Lauren C., Mavis Date-Chong, Jeanette Wallin, Sandra Sheehan, Jessica Battaglia, Michelle Halsing, and Daniela Cuenca. 2025. "Enhancement of the Precision ID Mitochondrial DNA Whole Genome System for Challenging Unidentified Human Remains" Genes 16, no. 2: 119. https://doi.org/10.3390/genes16020119
APA StyleCanale, L. C., Date-Chong, M., Wallin, J., Sheehan, S., Battaglia, J., Halsing, M., & Cuenca, D. (2025). Enhancement of the Precision ID Mitochondrial DNA Whole Genome System for Challenging Unidentified Human Remains. Genes, 16(2), 119. https://doi.org/10.3390/genes16020119
































































