Genome-Wide Identification of GATA Family Genes and Functional Analysis of IbGATA17 Under Drought Stress in Sweetpotato
Abstract
1. Introduction
2. Materials and Methods
2.1. Plant Materials
2.2. Identification of IbGATAs
2.3. Protein Property Prediction and Chromosome Distribution of IbGATAs
2.4. Phylogenetic Analysis of GATAs
2.5. Collinearity Analysis of IbGATAs
2.6. Conserved Structural Domains and Gene Structure Analysis of IbGATAs
2.7. Identification of Cis-Acting Elements in the IbGATAs Promoter
2.8. Prediction of IbGATAs Secondary Dimensional Structures
2.9. Protein Interaction Network of IbGATAs
2.10. Transcriptome and Expression Analysis
2.11. Transcriptional-Activation Assay
2.12. Subcellular Localization of IbGATA17
2.13. Production of Transgenic Plants
2.14. Drought Tolerance Assays
2.15. Measurement of Abiotic Stress Tolerance Indices
2.16. Statistical Analysis
3. Results
3.1. Characteristics of GATA Genes in Sweetpotato
3.2. Chromosome Mapping of GATA Family Genes in Sweetpotato
3.3. Cluster Analysis of GATA Family Genes in Sweetpotato
3.4. Evolutionary Dynamics of the IbGATAs Gene Family in Sweetpotato
3.5. Motifs of IbGATAs and Exon–Intron Analysis of IbGATAs Genes
3.6. Cis-Acting Elements of IbGATA Gene Promoters
3.7. Significant Variations Are Evident in the Secondary Structures of GATA Proteins in Sweetpotato
3.8. Protein Interaction Network of IbGATAs in Sweetpotato
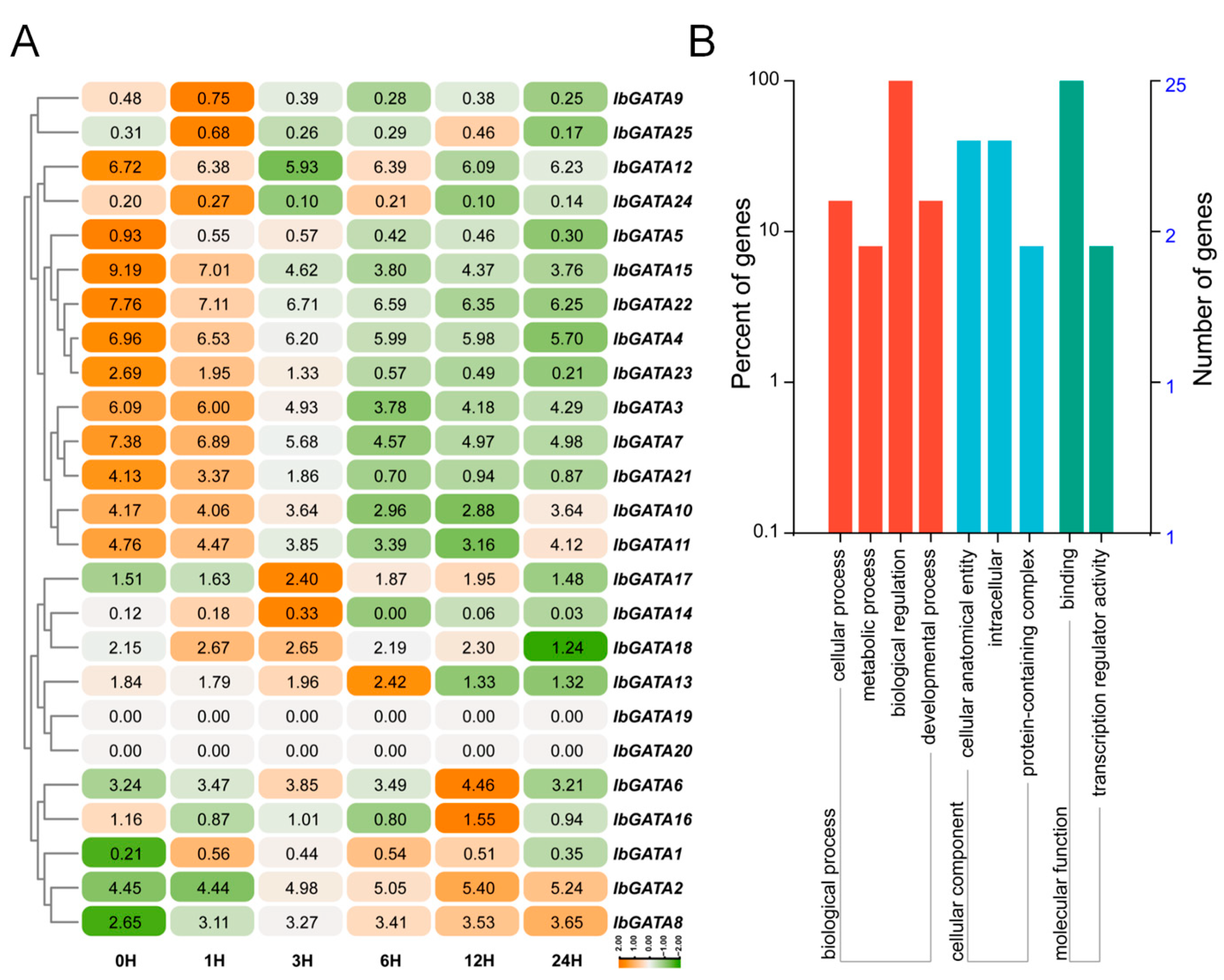
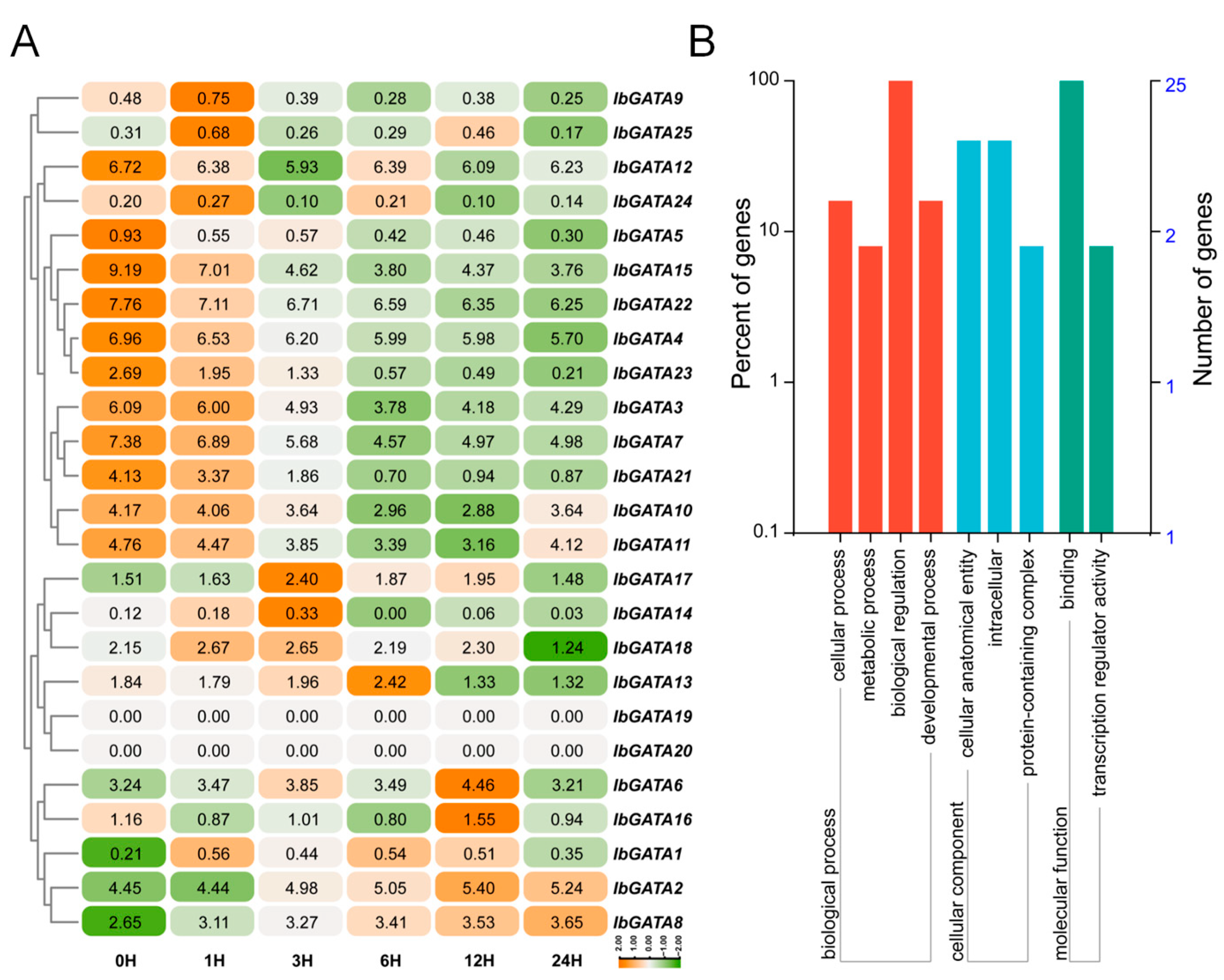
3.9. Tissue-Specific Expression Analysis of IbGATAs
3.10. The Analysis of Induction of Abiotic Stress Gene Expression
3.11. IbGATA17 Acts as a Pivotal Modulator in Drought-Stress Responses
3.12. IbGATA17 Enhances Drought Tolerance of Sweetpotato
4. Discussion
5. Conclusions
Supplementary Materials
Author Contributions
Funding
Institutional Review Board Statement
Informed Consent Statement
Data Availability Statement
Conflicts of Interest
References
- Farooq, M.; Hussain, M.; Wahid, A.; Siddique, K.H.M. Drought Stress in Plants: An Overview. In Plant Responses to Drought Stress; Aroca, R., Ed.; Springer: Berlin/Heidelberg, Germany, 2012; pp. 1–33. [Google Scholar]
- Zhang, H.; Zhu, J.; Gong, Z.; Zhu, J.K. Abiotic stress responses in plants. Nat. Rev. Genet. 2022, 23, 104–119. [Google Scholar] [CrossRef] [PubMed]
- Lesk, C.; Rowhani, P.; Ramankutty, N. Influence of extreme weather disasters on global crop production. Nature 2016, 529, 84–87. [Google Scholar] [CrossRef]
- Dai, A. Increasing drought under global warming in observations and models. Nature Clim. Change 2013, 3, 52–58. [Google Scholar] [CrossRef]
- Chaves, M.M.; Maroco, J.P.; Pereira, J.S. Understanding plant responses to drought—from genes to the whole plant. Funct. Plant Biol. 2003, 30, 239–264. [Google Scholar] [CrossRef]
- Lamaoui, M.; Jemo, M.; Datla, R.; Bekkaoui, F. Heat and Drought Stresses in Crops and Approaches for Their Mitigation. Front. Chem. 2018, 6, 26. [Google Scholar] [CrossRef]
- Bovell-Benjamin, A.C. Sweet potato: A review of its past, present, and future role in human nutrition. Adv. Food Nutr. Res. 2007, 52, 1–59. [Google Scholar]
- Alam, M.K. A comprehensive review of sweet potato (Ipomoea batatas [L.] Lam): Revisiting the associated health benefits. Trends Food Sci. Tech. 2021, 115, 512–529. [Google Scholar] [CrossRef]
- Low, J.W.; Mwanga, R.O.; Andrade, M.; Carey, E.; Ball, A.-M. Tackling vitamin A deficiency with biofortified sweetpotato in sub-Saharan Africa. Glob. Food Sec. 2017, 14, 23–30. [Google Scholar] [CrossRef]
- Sohindji, F.S.; Quenum, F.J.-B.; Fassinou-Hotegni, N.V.; Adékounlé Oke, A.; Adje, C.O.A.; Achigan-Dako, E.G. Crossing possibility for breeding promising orange-fleshed sweetpotato genotypes in Benin. Czech J. Genet. Plant Breed. 2023, 59, 253–262. [Google Scholar] [CrossRef]
- Laveriano-Santos, E.P.; López-Yerena, A.; Jaime-Rodríguez, C.; González-Coria, J.; Lamuela-Raventós, R.M.; Vallverdú-Queralt, A.; Romanyà, J.; Pérez, M. Sweet Potato Is Not Simply an Abundant Food Crop: A Comprehensive Review of Its Phytochemical Constituents, Biological Activities, and the Effects of Processing. Antioxidants 2022, 11, 1648. [Google Scholar] [CrossRef]
- Lebot, V. Tropical Root and Tuber Crops: Cassava, Sweet Potato, Yams and Aroids, 2nd ed.; CABI: Boston, MA, USA, 2020. [Google Scholar]
- Andrade, M.I.; Naico, A.; Ricardo, J.; Eyzaguirre, R.; Makunde, G.S.; Ortiz, R.; Grüneberg, W.J. Genotype × environment interaction and selection for drought adaptation in sweetpotato (Ipomoea batatas [L.] Lam.) in Mozambique. Euphytica 2016, 209, 261–280. [Google Scholar] [CrossRef]
- Hartemink, A.E.; Johnston, M.; O’Sullivan, J.N.; Poloma, S. Nitrogen use efficiency of taro and sweet potato in the humid lowlands of Papua New Guinea. Agric. Ecosyst. Environ. 2020, 79, 271–280. [Google Scholar] [CrossRef]
- Dufresne, F.; Stift, M.; Vergilino, R.; Mable, B.K. Recent progress and challenges in population genetics of polyploid organisms: An overview of current state-of-the-art molecular and statistical tools. Mol. Ecol. 2014, 23, 40–69. [Google Scholar] [CrossRef] [PubMed]
- Hu, Y.; Zhao, H.; Xue, L.; Nie, N.; Zhang, H.; Zhao, N.; He, S.; Liu, Q.; Gao, S.; Zhai, H. IbMYC2 Contributes to Salt and Drought Stress Tolerance via Modulating Anthocyanin Accumulation and ROS-Scavenging System in Sweet Potato. Int. J. Mol. Sci. 2024, 25, 2096. [Google Scholar] [CrossRef]
- Zhang, H.; Gao, X.; Zhi, Y.; Li, X.; Zhang, Q.; Niu, J.; Wang, J.; Zhai, H.; Zhao, N.; Li, J.; et al. A non-tandem CCCH-type zinc-finger protein, IbC3H18, functions as a nuclear transcriptional activator and enhances abiotic stress tolerance in sweet potato. New Phytol. 2019, 223, 1918–1936. [Google Scholar] [CrossRef]
- Sun, S.; Li, X.; Gao, S.; Nie, N.; Zhang, H.; Yang, Y.; He, S.; Liu, Q.; Zhai, H. A Novel WRKY Transcription Factor from Ipomoea trifida, ItfWRKY70, Confers Drought Tolerance in Sweet Potato. Int. J. Mol. Sci. 2020, 23, 686. [Google Scholar] [CrossRef]
- Xue, L.; Wei, Z.; Zhai, H.; Xing, S.; Wang, Y.; He, S.; Gao, S.; Zhao, N.; Zhang, H.; Liu, Q. The IbPYL8-IbbHLH66-IbbHLH118 complex mediates the abscisic acid-dependent drought response in sweet potato. New Phytol. 2022, 236, 2151–2171. [Google Scholar] [CrossRef]
- Meng, X.; Liu, S.; Zhang, C.; He, J.; Ma, D.; Wang, X.; Dong, T.; Guo, F.; Cai, J.; Long, T.; et al. The unique sweet potato NAC transcription factor IbNAC3 modulates combined salt and drought stresses. Plant Physiol. 2023, 191, 747–771. [Google Scholar] [CrossRef]
- Zhu, H.; Yang, X.; Wang, X.; Li, Q.; Guo, J.; Ma, T.; Zhao, C.; Tang, Y.; Qiao, L.; Wang, J.; et al. The sweetpotato β-amylase gene IbBAM1.1 enhances drought and salt stress resistance by regulating ROS homeostasis and osmotic balance. Plant Physiol. Biochem. 2021, 168, 167–176. [Google Scholar] [CrossRef]
- Zhu, H.; Zhai, H.; He, S.; Zhang, H.; Gao, S.; Liu, Q. A novel sweetpotato GATA transcription factor, IbGATA24, interacting with IbCOP9-5a positively regulates drought and salt tolerance. Environ. Exp. Bot. 2022, 194, 104735. [Google Scholar] [CrossRef]
- Reyes, J.C.; Muro-Pastor, M.I.; Florencio, F.J. The GATA family of transcription factors in Arabidopsis and rice. Plant Physiol. 2004, 134, 1718–1732. [Google Scholar] [CrossRef]
- Kim, M.; Xi, H.; Park, J. Genome-wide comparative analyses of GATA transcription factors among 19 Arabidopsis ecotype genomes: Intraspecific characteristics of GATA transcription factors. PLoS ONE 2021, 16, e0252181. [Google Scholar] [CrossRef]
- Feng, X.; Yu, Q.; Zeng, J.; He, X.; Liu, W. Genome-wide identification and characterization of GATA family genes in wheat. BMC Plant Biol. 2022, 22, 372. [Google Scholar] [CrossRef]
- Yu, C.; Li, N.; Yin, Y.; Wang, F.; Gao, S.; Jiao, C.; Yao, M. Genome-wide identification and function characterization of GATA transcription factors during development and in response to abiotic stresses and hormone treatments in pepper. J. Appl. Genet. 2021, 62, 265–280. [Google Scholar] [CrossRef]
- Khatun, M.S.; Islam, M.S.U.; Shing, P.; Zohra, F.T.; Rashid, S.B.; Rahman, S.M.; Sarkar, M.A.R. Genome-wide identification and characterization of FORMIN gene family in potato (Solanum tuberosum L.) and their expression profiles in response to drought stress condition. PLoS ONE 2024, 19, e0309353. [Google Scholar] [CrossRef] [PubMed]
- Lai, D.; Yao, X.; Yan, J.; Gao, A.; Yang, H.; Xiang, D.; Ruan, J.; Fan, Y.; Cheng, J. Genome-wide identification, phylogenetic and expression pattern analysis of GATA family genes in foxtail millet (Setaria italica). BMC Genom. 2022, 23, 549. [Google Scholar] [CrossRef] [PubMed]
- Richter, R.; Behringer, C.; Zourelidou, M.; Schwechheimer, C. Convergence of auxin and gibberellin signaling on the regulation of the GATA transcription factors GNC and GNL in Arabidopsis thaliana. Proc. Natl. Acad. Sci. USA 2013, 110, 13192–13197. [Google Scholar] [CrossRef] [PubMed]
- Sala, J.; Mosesso, N.; Isono, E.; Schwechheimer, C. Arabidopsis thaliana B-GATA factors repress starch synthesis and gravitropic growth responses. New Phytol. 2023, 239, 979–991. [Google Scholar] [CrossRef]
- Zhang, Y.J.; Zhang, Y.; Zhang, L.L.; He, J.X.; Xue, H.W.; Wang, J.W.; Lin, W.H. The transcription factor OsGATA6 regulates rice heading date and grain number per panicle. J. Exp. Bot. 2022, 73, 6133–6149. [Google Scholar] [CrossRef]
- Nutan, K.K.; Singla-Pareek, S.L.; Pareek, A. The Saltol QTL-localized transcription factor OsGATA8 plays an important role in stress tolerance and seed development in Arabidopsis and rice. J. Exp. Bot. 2020, 71, 684–698. [Google Scholar] [CrossRef]
- Wu, W.; Dong, X.; Chen, G.; Lin, Z.; Chi, W.; Tang, W.; Yu, J.; Wang, S.; Jiang, X.; Liu, X.; et al. The elite haplotype OsGATA8-H coordinates nitrogen uptake and productive tiller formation in rice. Nat. Genet. 2024, 56, 1516–1526. [Google Scholar] [CrossRef] [PubMed]
- Lim, C.; Kim, Y.; Shim, Y.; Cho, S.H.; Yang, T.J.; Song, Y.H.; Kang, K.; Paek, N.C. Rice OsGATA16 is a positive regulator for chlorophyll biosynthesis and chloroplast development. Plant J. 2024, 117, 599–615. [Google Scholar] [CrossRef] [PubMed]
- Zhang, H.; Wu, T.; Li, Z.; Huang, K.; Kim, N.E.; Ma, Z.; Kwon, S.W.; Jiang, W.; Du, X. OsGATA16, a GATA Transcription Factor, Confers Cold Tolerance by Repressing OsWRKY45-1 at the Seedling Stage in Rice. Rice 2021, 14, 42. [Google Scholar] [CrossRef] [PubMed]
- Wang, C.; Lan, M.; Xiao, M.; Peng, Y.; Pan, H.; Deng, J.; Wu, W. Genome-wide identification of GATA family genes in sweet potato (Ipomoea batatas L.) and their expression patterns under abiotic stress. Front. Genet. 2025, 16, 1635749. [Google Scholar] [CrossRef]
- Hung, J.H.; Weng, Z. Sequence Alignment and Homology Search with BLAST and ClustalW. Cold Spring Harb. Protoc. 2016, 2016, 10. [Google Scholar] [CrossRef]
- Minh, B.Q.; Schmidt, H.A.; Chernomor, O.; Schrempf, D.; Woodhams, M.D.; von Haeseler, A.; Lanfear, R. IQ-TREE 2: New Models and Efficient Methods for Phylogenetic Inference in the Genomic Era. Mol. Biol. Evol. 2020, 37, 1530–1534. [Google Scholar] [CrossRef]
- Chen, C.; Chen, H.; Zhang, Y.; Thomas, H.R.; Frank, M.H.; He, Y.; Xia, R. TBtools: An Integrative Toolkit Developed for Interactive Analyses of Big Biological Data. Mol. Plant. 2020, 13, 1194–1202. [Google Scholar] [CrossRef]
- Chen, C.; Wu, Y.; Li, J.; Wang, X.; Zeng, Z.; Xu, J.; Liu, Y.; Feng, J.; Chen, H.; He, Y.; et al. TBtools-II: A “one for all, all for one” bioinformatics platform for biological big-data mining. Mol. Plant. 2023, 16, 1733–1742. [Google Scholar] [CrossRef]
- Høie, M.H.; Kiehl, E.N.; Petersen, B.; Nielsen, M.; Winther, O.; Nielsen, H.; Hallgren, J.; Marcatili, P. NetSurfP-3.0: Accurate and fast prediction of protein structural features by protein language models and deep learning. Nucleic Acids Res. 2022, 50, W510–W515. [Google Scholar] [CrossRef]
- Szklarczyk, D.; Kirsch, R.; Koutrouli, M.; Nastou, K.; Mehryary, F.; Hachilif, R.; Gable, A.L.; Fang, T.; Doncheva, N.T.; Pyysalo, S.; et al. The STRING database in 2023: Protein-protein association networks and functional enrichment analyses for any sequenced genome of interest. Nucleic Acids Res. 2023, 51, D638–D646. [Google Scholar] [CrossRef]
- Sun, H.; Mei, J.; Zhao, W.; Hou, W.; Zhang, Y.; Xu, T.; Wu, S.; Zhang, L. Phylogenetic Analysis of the SQUAMOSA Promoter-Binding Protein-Like Genes in Four Ipomoea Species and Expression Profiling of the IbSPLs During Storage Root Development in Sweet Potato (Ipomoea batatas). Front. Plant Sci. 2022, 12, 801061. [Google Scholar] [CrossRef] [PubMed]
- Zhu, H.; Zhou, Y.Y.; Zhai, H.; He, S.Z.; Zhao, N.; Liu, Q.C. Transcriptome profiling reveals insights into the molecular mechanism of drought tolerance in sweetpotato. Int. J. Mol. Sci. 2023, 24, 14398. [Google Scholar] [CrossRef]
- Nie, N.; Yang, Y.; Huo, J.; Wang, F.; Liu, R.; Sun, S.; Hu, Y.; Chen, Y.; Wu, W.; Liu, Q.; et al. IbPIF1 confers stem nematode resistance by regulating secondary metabolites in sweet potato. Plant Biotechnol. J. 2025, 23, 4650–4664. [Google Scholar] [CrossRef] [PubMed]
- Yoo, S.-D.; Cho, Y.-H.; Sheen, J. Arabidopsis mesophyll protoplasts: A versatile cell system for transient gene expression analysis. Nat. Protoc. 2007, 2, 1565–1572. [Google Scholar] [CrossRef]
- Zhang, W.; Zuo, Z.; Zhu, Y.; Feng, Y.; Wang, Y.; Zhao, H.; Zhao, N.; Zhang, H.; He, S.; Liu, Q.; et al. Fast track to obtain heritable transgenic sweet potato inspired by its evolutionary history as a naturally transgenic plant. Plant Biotechnol. J. 2023, 21, 671–673. [Google Scholar] [CrossRef]
- Dunker, A.K.; Silman, I.; Uversky, V.N.; Sussman, J.L. Function and structure of inherently disordered proteins. Curr. Opin. Struct. Biol. 2008, 18, 756–764. [Google Scholar] [CrossRef]
- Zhao, T.; Wu, T.; Pei, T.; Wang, Z.; Yang, H.; Jiang, J.; Zhang, H.; Chen, X.; Li, J.; Xu, X. Overexpression of SlGATA17 Promotes Drought Tolerance in Transgenic Tomato Plants by Enhancing Activation of the Phenylpropanoid Biosynthetic Pathway. Front. Plant Sci. 2021, 12, 634888. [Google Scholar] [CrossRef]
- Zhu, X.; Duan, H.; Zhang, N.; Majeed, Y.; Jin, H.; Li, W.; Chen, Z.; Chen, S.; Tang, J.; Zhang, Y.; et al. Genome-Wide Identification of GATA Family Genes in Potato and Characterization of StGATA12 in Response to Salinity and Osmotic Stress. Int. J. Mol. Sci. 2024, 25, 12423. [Google Scholar] [CrossRef]
- Zhang, C.; Hou, Y.; Hao, Q.; Chen, H.; Chen, L.; Yuan, S.; Shan, Z.; Zhang, X.; Yang, Z.; Qiu, D.; et al. Genome-wide survey of the soybean GATA transcription factor gene family and expression analysis under low nitrogen stress. PLoS ONE 2015, 10, e0125174. [Google Scholar] [CrossRef]
- Zhao, F.; Li, X.; Chen, Z.; Guo, C. Pan-Genome-Wide Investigation and Expression Analysis of GATA Gene Family in Maize. Plants 2025, 14, 1693. [Google Scholar] [CrossRef]
- Qiao, X.; Li, Q.; Yin, H.; Qi, K.; Li, L.; Wang, R.; Zhang, S.; Paterson, A.H. Gene duplication and evolution in recurring polyploidization-diploidization cycles in plants. Genome Biol. 2019, 20, 38. [Google Scholar] [CrossRef]
- Haberle, V.; Stark, A. Eukaryotic core promoters and the functional basis of transcription initiation. Nat. Rev. Mol. Cell Biol. 2018, 19, 621–637. [Google Scholar] [CrossRef]
- Wang, Y.; Cao, X.; Zhang, D.; Li, Y.; Wang, Q.; Ma, F.; Xu, X.; Zhang, X.; Hu, T. SlGATA17, A tomato GATA protein, interacts with SlHY5 to modulate salinity tolerance and germination. Environ. Exp. Bot. 2023, 206, 105191. [Google Scholar] [CrossRef]
- Guo, J.; Bai, X.; Dai, K.; Yuan, X.; Guo, P.; Zhou, M.; Shi, W.; Hao, C. Identification of GATA Transcription Factors in Brachypodium distachyon and Functional Characterization of BdGATA13 in Drought Tolerance and Response to Gibberellins. Front. Plant Sci. 2021, 12, 763665. [Google Scholar] [CrossRef]
- An, Y.; Zhou, Y.; Han, X.; Shen, C.; Wang, S.; Liu, C.; Yin, W.; Xia, X. The GATA transcription factor GNC plays an important role in photosynthesis and growth in poplar. J. Exp. Bot. 2020, 71, 1969–1984. [Google Scholar] [CrossRef]
- Du, X.; Lu, Y.; Sun, H.; Duan, W.; Hu, Y.; Yan, Y. Genome-Wide Analysis of Wheat GATA Transcription Factor Genes Reveals Their Molecular Evolutionary Characteristics and Involvement in Salt and Drought Tolerance. Int. J. Mol. Sci. 2022, 24, 27. [Google Scholar] [CrossRef]
- Zhu, X.; Duan, H.; Jin, H.; Chen, S.; Chen, Z.; Shao, S.; Tang, J.; Zhang, Y. Heat responsive gene StGATA2 functions in plant growth, photosynthesis and antioxidant defense under heat stress conditions. Front. Plant Sci. 2023, 14, 1227526. [Google Scholar] [CrossRef]










| Gene Sequence ID | Name | Number of Amino Acids (AAs) | Molecular Weight (KD) | Theoretical pI | Instability Index | Aliphatic Index | Grand Average of Hydropathicity | Localizations |
|---|---|---|---|---|---|---|---|---|
| g1338 | IbGATA1 | 183 | 19.51 | 8.67 | 71.37 | 37.05 | −0.737 | Nucleus |
| g4721 | IbGATA2 | 303 | 33.84 | 9.12 | 45.27 | 61.52 | −0.64 | Nucleus |
| g6068 | IbGATA3 | 164 | 17.43 | 10.08 | 61.62 | 56.04 | −0.858 | Nucleus |
| g8170 | IbGATA4 | 275 | 30.02 | 8.53 | 51.52 | 57.45 | −0.735 | Nucleus |
| g9139 | IbGATA5 | 259 | 29.05 | 6.53 | 65.5 | 52.43 | −0.833 | Nucleus |
| g10197 | IbGATA6 | 327 | 35.82 | 8.59 | 46.12 | 67.16 | −0.452 | Chloroplast |
| g13467 | IbGATA7 | 165 | 17.15 | 10.33 | 65.1 | 53.94 | −0.683 | Chloroplast |
| g16992 | IbGATA8 | 358 | 38.84 | 7.07 | 67.53 | 58.55 | −0.568 | Nucleus |
| g17038 | IbGATA9 | 253 | 27.78 | 8.78 | 53.3 | 42.89 | −0.757 | Nucleus |
| g19902 | IbGATA10 | 330 | 35.54 | 9.27 | 53.9 | 56.33 | −0.717 | Nucleus |
| g19971 | IbGATA11 | 317 | 34.08 | 9.16 | 52.56 | 57.73 | −0.651 | Nucleus |
| g25903 | IbGATA12 | 353 | 38.71 | 9.55 | 53.66 | 53.17 | −0.779 | Nucleus |
| g27608 | IbGATA13 | 152 | 17.42 | 9.02 | 58.04 | 46.18 | −1.032 | Nucleus |
| g29323 | IbGATA14 | 239 | 25.85 | 8.24 | 48.54 | 49.62 | −0.459 | Nucleus |
| g31138 | IbGATA15 | 326 | 35.18 | 5.38 | 68.3 | 63.77 | −0.476 | Nucleus |
| g34316 | IbGATA16 | 223 | 25.06 | 6.17 | 83.25 | 78.7 | −0.679 | Nucleus |
| g42012 | IbGATA17 | 279 | 30.55 | 5.61 | 47.76 | 62.97 | −0.435 | Chloroplast |
| g47985 | IbGATA18 | 314 | 34.32 | 8 | 57.89 | 73.85 | −0.448 | Nucleus |
| g53671 | IbGATA19 | 148 | 17.05 | 9.71 | 58.17 | 44.8 | −1.08 | Nucleus |
| g53673 | IbGATA20 | 142 | 16.21 | 9.61 | 54.09 | 44.01 | −1.053 | Nucleus |
| g55280 | IbGATA21 | 339 | 36.91 | 6.26 | 49.21 | 59.09 | −0.617 | Nucleus |
| g59772 | IbGATA22 | 333 | 36.75 | 6.99 | 57.43 | 63.78 | −0.541 | Nucleus |
| g61042 | IbGATA23 | 370 | 40.13 | 6.01 | 56.75 | 65.73 | −0.494 | Nucleus |
| g62825 | IbGATA24 | 366 | 39.81 | 7.01 | 57.65 | 56.42 | −0.628 | Nucleus |
| g62945 | IbGATA25 | 363 | 39.48 | 6.3 | 54.38 | 57.19 | −0.571 | Chloroplast |
Disclaimer/Publisher’s Note: The statements, opinions and data contained in all publications are solely those of the individual author(s) and contributor(s) and not of MDPI and/or the editor(s). MDPI and/or the editor(s) disclaim responsibility for any injury to people or property resulting from any ideas, methods, instructions or products referred to in the content. |
© 2025 by the authors. Licensee MDPI, Basel, Switzerland. This article is an open access article distributed under the terms and conditions of the Creative Commons Attribution (CC BY) license (https://creativecommons.org/licenses/by/4.0/).
Share and Cite
Yang, Y.; Liu, R.; Liu, Q.; He, S.; Gao, S.; Zhang, H.; Zhao, N.; Zhai, H. Genome-Wide Identification of GATA Family Genes and Functional Analysis of IbGATA17 Under Drought Stress in Sweetpotato. Genes 2025, 16, 1237. https://doi.org/10.3390/genes16101237
Yang Y, Liu R, Liu Q, He S, Gao S, Zhang H, Zhao N, Zhai H. Genome-Wide Identification of GATA Family Genes and Functional Analysis of IbGATA17 Under Drought Stress in Sweetpotato. Genes. 2025; 16(10):1237. https://doi.org/10.3390/genes16101237
Chicago/Turabian StyleYang, Yinghui, Ruitao Liu, Qingchang Liu, Shaozhen He, Shaopei Gao, Huan Zhang, Ning Zhao, and Hong Zhai. 2025. "Genome-Wide Identification of GATA Family Genes and Functional Analysis of IbGATA17 Under Drought Stress in Sweetpotato" Genes 16, no. 10: 1237. https://doi.org/10.3390/genes16101237
APA StyleYang, Y., Liu, R., Liu, Q., He, S., Gao, S., Zhang, H., Zhao, N., & Zhai, H. (2025). Genome-Wide Identification of GATA Family Genes and Functional Analysis of IbGATA17 Under Drought Stress in Sweetpotato. Genes, 16(10), 1237. https://doi.org/10.3390/genes16101237

