Determination of Stable Reference Genes for Gene Expression Analysis in Black Rockfish (Sebastes schlegeli) Under Hypoxia Stress
Abstract
1. Introduction
2. Materials and Methods
2.1. Experimental Approach and Sample Collecting
2.2. RNA Isolation and Reverse Transcription
2.3. RT-qPCR
2.4. Statistical Analysis
3. Results
3.1. Analysis of Primer Amplification
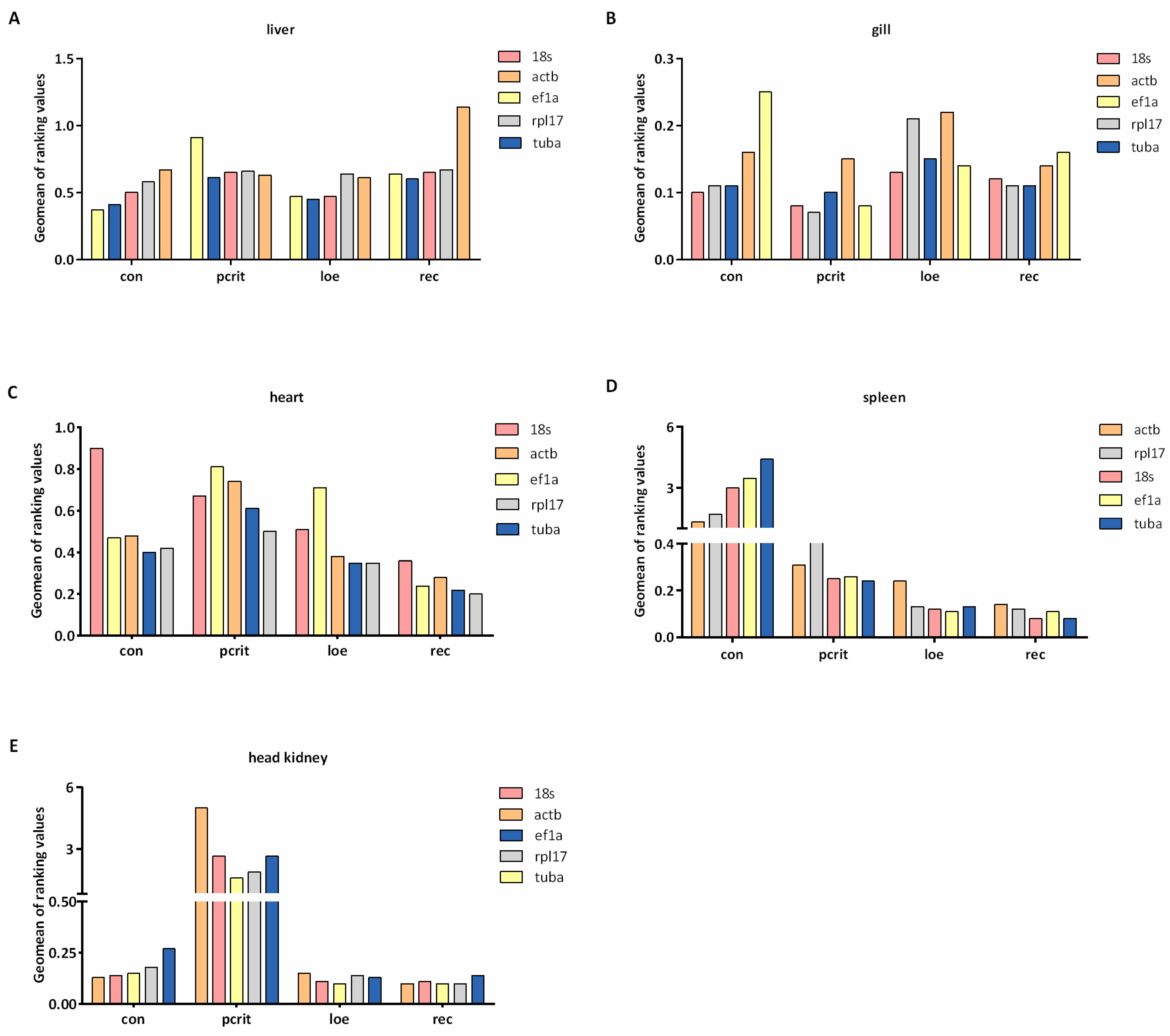
3.2. Reference Gene Expression Analysis
3.3. Expression Stability Analysis by Delta Ct
3.4. Expression Stability Analysis by geNorm
3.5. Expression Stability Analysis by NormFinder
3.6. Expression Stability Analysis by BestKeeper
3.7. Comprehensive Analysis of Reference Genes
4. Discussion
Author Contributions
Funding
Institutional Review Board Statement
Informed Consent Statement
Data Availability Statement
Conflicts of Interest
References
- Wang, Q.X.; Li, X.H.; Sha, H.; Luo, X.Z.; Zou, G.W.; Liang, H.W. Identification of microRNAs in Silver Carp (Hypophthalmichthys molitrix) Response to Hypoxia Stress. Animals 2021, 11, 2917. [Google Scholar] [CrossRef]
- Hamed, S.; El-Kassas, S.; Abo-Al-Ela, H.G.; Abdo, S.E.; Al Wakeel, R.A.; Abou-Ismail, U.A.; Mohamed, R.A. Interactive effects of water temperature and dietary protein on Nile tilapia: Growth, immunity, and physiological health. BMC Vet. Res. 2024, 20, 349. [Google Scholar] [CrossRef]
- Shen, Y.W.; You, W.W.; Luo, X.; Lu, Y.; Huang, M.Q.; Ke, C.H. An overview of the mechanisms underlying hypoxia tolerance differences in aquatic animals and their inspirations for aquaculture. Rev. Fish Biol. Fish. 2023, 33, 1223–1236. [Google Scholar] [CrossRef]
- Zhan, Y.Y.; Ning, B.Y.; Sun, J.X.; Chang, Y.Q. Living in a hypoxic world: A review of the impacts of hypoxia on aquaculture. Mar. Pollut. Bull. 2023, 194, 115207. [Google Scholar] [CrossRef]
- Wang, Z.X.; Pu, D.C.; Zheng, J.S.; Li, P.Y.; Lü, H.J.; Wei, X.L.; Li, M.; Li, D.S.; Gao, L.H. Hypoxia-induced physiological responses in fish: From organism to tissue to molecular levels. Ecotoxicol. Environ. Saf. 2023, 267, 115609. [Google Scholar] [CrossRef] [PubMed]
- Qin, H.Y.; Zhang, X.Y.; Xie, T.; Gao, Y.T.; Li, J.; Jia, Y.D. Hepatic transcriptomic analysis reveals that Hif1a/ldha signal is involved in the regulation of hypoxia stress in black rockfish (Sebastes schlegelii). Comp. Biochem. Physiol. D Genom. Proteom. 2023, 47, 101098. [Google Scholar] [CrossRef]
- Troise, D.; Infante, B.; Mercuri, S.; Netti, G.S.; Ranieri, E.; Gesualdo, L.; Stallone, G.; Pontrelli, P. Hypoxic State of Cells and Immunosenescence: A Focus on the Role of the HIF Signaling Pathway. Biomedicines 2023, 11, 2163. [Google Scholar] [CrossRef] [PubMed]
- Heid, C.A.; Stevens, J.; Livak, K.J.; Williams, P.M. Real time quantitative PCR. Genome Res. 1996, 6, 986–994. [Google Scholar] [CrossRef]
- Singh, C.; Roy-Chowdhuri, S. Quantitative Real-Time PCR: Recent Advances. Methods Mol. Biol. 2016, 1392, 161–176. [Google Scholar] [CrossRef] [PubMed]
- Gadkar, V.J.; Filion, M. New Developments in Quantitative Real-Time Polymerase Chain Reaction Technology. Curr. Issues Mol. Biol. 2014, 16, 1–6. [Google Scholar] [CrossRef]
- Bustin, S.A.; Benes, V.; Garson, J.A.; Hellemans, J.; Huggett, J.; Kubista, M.; Mueller, R.; Nolan, T.; Pfaffl, M.W.; Shipley, G.L.; et al. The MIQE guidelines: Minimum information for publication of quantitative real-time PCR experiments. Clin. Chem. 2009, 55, 611–622. [Google Scholar] [CrossRef] [PubMed]
- Shui, F.; Qiu, G.R.; Pan, S.Q.; Wang, X.; Jia, F.M.; Jiang, T.T.; Li, Y.S.; Geng, Z.Y.; Jin, S.H. Identification of stable reference genes for quantitative gene expression analysis in the duodenum of meat-type ducks. Front. Vet. Sci. 2023, 10, 1160384. [Google Scholar] [CrossRef] [PubMed]
- Sadikan, M.Z.; Nasir, N.A.A.; Ibahim, M.J.; Iezhitsa, I.; Agarwal, R. Identifying the stability of housekeeping genes to be used for the quantitative real-time PCR normalization in retinal tissue of streptozotocin-induced diabetic rats. Int. J. Ophthalmol. 2024, 17, 794–805. [Google Scholar] [CrossRef] [PubMed]
- Jia, Y.; Wang, F.; Gao, Y.; Qin, H.; Guan, C. Hypoxia stress induces hepatic antioxidant activity and apoptosis, but stimulates immune response and immune-related gene expression in black rockfish Sebastes schlegelii. Aquat. Toxicol. 2023, 258, 106502. [Google Scholar] [CrossRef] [PubMed]
- Yu, H.L.; Feng, J.; Zhao, W.; Zhang, T.; Wang, H.Y.; Ji, Y.L.; Tang, Y.L.; Sun, L.Y. Evaluation of the Residency of Black Rockfish (Sebastes schlegelii) in Artificial Reef Areas Based on Stable Carbon Isotopes. Sustainability 2024, 16, 2115. [Google Scholar] [CrossRef]
- Xu, X.W.; Guo, H.Y.; Zhang, Z.H.; Wang, Y.H.; Qin, J.G.; Zhang, X.M. Impact of pre-aggressive experience on behavior and physiology of black rockfish (Sebastes schlegelii). Aquaculture 2021, 536, 736416. [Google Scholar] [CrossRef]
- Gao, X.; Zhai, H.J.; Peng, Z.X.; Yu, J.X.; Yan, L.; Wang, W.; Ren, T.J.; Han, Y.Z. Comparison of nutritional quality, flesh quality, muscle cellularity, and expression of muscle growth-related genes between wild and recirculating aquaculture system (RAS)-farmed black rockfish (Sebastes schlegelii). Aquac. Int. 2023, 31, 2263–2280. [Google Scholar] [CrossRef]
- Shin, G.-W.; Shin, Y.-S.; Kim, Y.-R.; Lee, E.Y.; Yang, H.-H.; Palaksha, K.J.; Yeon, S.-C.; Chun, L.; Oh, M.-J.; Joh, S.-J.; et al. Investigation on Sedation and Anesthetic of AQUI-S for Black Rockfish (Sebastes schlegelii). J. Vet. Clin. 2006, 23, 236–242. [Google Scholar]
- Zhang, Z.H.; Fu, Y.Q.; Zhao, H.C.; Zhang, X.M. Social enrichment affects fish growth and aggression depending on fish species: Applications for aquaculture. Front. Mar. Sci. 2022, 9, 1011780. [Google Scholar] [CrossRef]
- Li, H.X.; Zhang, J.; Ge, X.Y.; Chen, S.M.; Ma, Z. The Effects of Short-Term Exposure to pH Reduction on the Behavioral and Physiological Parameters of Juvenile Black Rockfish (Sebastes schlegelii). Biology 2023, 12, 876. [Google Scholar] [CrossRef]
- Gao, C.B.; Sun, P.; Cai, X.; Ma, L.; Zhu, Y.; Cao, M.; Li, C. Growth arrest and DNA damage-inducible 45 ab gene targeted by miR-20b-5p executes the inflammation and apoptosis by regulating MAPK and NF-κB pathways in black rockfish. Aquaculture 2024, 580, 740324. [Google Scholar] [CrossRef]
- Ma, L.M.; Wang, W.J.; Liu, C.H.; Yu, H.Y.; Wang, Z.G.; Wang, X.B.; Qi, J.; Zhang, Q.Q. Selection of reference genes for reverse transcription quantitative real-time PCR normalization in black rockfish (Sebastes schlegeli). Mar. Genom. 2013, 11, 67–73. [Google Scholar] [CrossRef]
- Jin, C.F.; Song, W.H.; Wang, M.Y.; Qi, J.; Zhang, Q.Q.; He, Y. Transcriptome-Wide Identification and Validation of Reference Genes in Black Rockfish (Sebastes schlegelii). J. Ocean Univ. China 2021, 20, 654–660. [Google Scholar] [CrossRef]
- Zhou, J.Y.; Wang, Z.X.; He, Y.; Luo, X.X.; Zhang, W.J.; Yu, L.; Chen, X.Y.; He, X.J.; Yuan, Y.H.; Wang, X.L.; et al. Qiliqiangxin reduced cardiomyocytes apotosis and improved heart function in infarcted heart through Pink1/Parkin-mediated mitochondrial autophagy. Bmc Complement. Med. Ther. 2020, 20, 203. [Google Scholar] [CrossRef]
- Yuan, S.; Yuan, H.P.; Hay, D.C.; Hu, H.; Wang, C.C. Revolutionizing Drug Discovery: The Impact of Distinct Designs and Biosensor Integration in Microfluidics-Based Organ-on-a-Chip Technology. Biosensors 2024, 14, 425. [Google Scholar] [CrossRef] [PubMed]
- Jiao, Z.Z.; Jiang, J.M.; Meng, Y.; Wu, G.S.; Tang, J.Y.; Chen, T.Y.; Fu, Y.J.; Chen, Y.Y.; Zhang, Z.X.; Gao, H.Y.; et al. Immune Cells in the Spleen of Mice Mediate the Inflammatory Response Induced by Mannheimia haemolytica A2 Serotype. Animals 2024, 14, 317. [Google Scholar] [CrossRef] [PubMed]
- Huang, D.Y.; Zhang, L.; Mi, H.F.; Teng, T.; Liang, H.L.; Ren, M.C. Transcriptome-Based Analysis of the Mechanism of Action of Metabolic Disorders Induced by Waterborne Copper Stress in Coilia nasus. Biology 2024, 13, 476. [Google Scholar] [CrossRef] [PubMed]
- Jia, Y.D.; Wang, J.W.; Gao, Y.T.; Huang, B. Hypoxia tolerance, hematological, and biochemical response in juvenile turbot (Scophthalmus maximus. L). Aquaculture 2021, 535, 736380. [Google Scholar] [CrossRef]
- Silver, N.; Best, S.; Jiang, J.; Thein, S.L. Selection of housekeeping genes for gene expression studies in human reticulocytes using real-time PCR. BMC Mol. Biol. 2006, 7, 33. [Google Scholar] [CrossRef]
- Vandesompele, J.; De Preter, K.; Pattyn, F.; Poppe, B.; Van Roy, N.; De Paepe, A.; Speleman, F. Accurate normalization of real-time quantitative RT-PCR data by geometric averaging of multiple internal control genes. Genome Biol. 2002, 3, research00341. [Google Scholar] [CrossRef]
- Andersen, C.L.; Jensen, J.L.; Ørntoft, T.F. Normalization of real-time quantitative reverse transcription-PCR data: A model-based variance estimation approach to identify genes suited for normalization, applied to bladder and colon cancer data sets. Cancer Res. 2004, 64, 5245–5250. [Google Scholar] [CrossRef]
- Pfaffl, M.W.; Tichopad, A.; Prgomet, C.; Neuvians, T.P. Determination of stable housekeeping genes, differentially regulated target genes and sample integrity: BestKeeper—Excel-based tool using pair-wise correlations. Biotechnol. Lett. 2004, 26, 509–515. [Google Scholar] [CrossRef]
- Xie, F.; Wang, J.; Zhang, B. RefFinder: A web-based tool for comprehensively analyzing and identifying reference genes. Funct. Integr. Genom. 2023, 23, 125. [Google Scholar] [CrossRef] [PubMed]
- Shi, X.; Gao, F.; Zhao, X.; Pei, C.; Zhu, L.; Zhang, J.; Li, C.; Li, L.; Kong, X. Role of HIF in fish inflammation. Fish Shellfish. Immunol. 2023, 143, 109222. [Google Scholar] [CrossRef]
- Braz-Mota, S.; Luis Val, A. Fish mortality in the Amazonian drought of 2023: The role of experimental biology in our response to climate change. J. Exp. Biol. 2024, 227, 247255. [Google Scholar] [CrossRef]
- Rosenfeld, J.; Lee, R. Thresholds for Reduction in Fish Growth and Consumption Due to Hypoxia: Implications for Water Quality Guidelines to Protect Aquatic Life. Environ. Manag. 2022, 70, 431–447. [Google Scholar] [CrossRef]
- Yu, X.X.; Zhang, Y.R.; Li, S.S.; Zheng, G.D.; Zou, S.M. Effects of hypoxia on the gill morphological structure, apoptosis and hypoxia-related gene expression in blunt snout bream (Megalobrama amblycephala). Fish Physiol. Biochem. 2023, 49, 939–949. [Google Scholar] [CrossRef] [PubMed]
- de Brito, M.W.D.; de Carvalho, S.S.; Mota, M.B.D.; Mesquita, R.D. RNA-seq validation: Software for selection of reference and variable candidate genes for RT-qPCR. BMC Genom. 2024, 25, 697. [Google Scholar] [CrossRef] [PubMed]
- Qiu, Y.H.; Bai, Y.B.; Wang, W.W.; Wang, Q.; Chen, S.L.; Zhang, J.Y. Reference Gene Selection for RT-qPCR Normalization in Toxoplasma gondii Exposed to Broxaldine. Int. J. Mol. Sci. 2024, 25, 11403. [Google Scholar] [CrossRef] [PubMed]
- Hembrom, P.S.; Deepthi, M.; Biswas, G.; Mappurath, B.; Babu, A.; Reeja, N.; Mano, N.; Grace, T. Reference genes for qPCR expression in black tiger shrimp, Penaeus monodon. Mol. Biol. Rep. 2024, 51, 422. [Google Scholar] [CrossRef]
- Cai, H.M.; Zhu, Y.B.; Liu, Y.; Yan, Z.Q.; Shen, H.Q.; Fang, S.Y.; Wang, D.A.; Liao, S.Q.; Li, J.; Lv, M.N.; et al. Selection of a suitable reference gene for gene-expression studies in Trichomonas gallinae under various biotic and abiotic stress condition. Gene 2024, 920, 148522. [Google Scholar] [CrossRef]
- Song, M.; Zhao, J.; Wen, H.S.; Li, Y.; Li, J.F.; Li, L.M.; Tao, Y.X. The impact of acute thermal stress on the metabolome of the black rockfish (Sebastes schlegelii). PLoS ONE 2019, 14, e0217133. [Google Scholar] [CrossRef] [PubMed]
- Zheng, B.Y.; Lyu, L.; Wang, X.J.; Wen, H.S.; Li, Y.; Li, J.S.; Yao, Y.J.; Zuo, C.P.; Yan, S.J.; Xie, S.Y.; et al. Comparative transcriptomic analysis and genome-wide characterization of the Semaphorin family reveal the potential mechanism of angiogenesis around embryo in ovoviviparous black rockfish (Sebastes schlegelii). Gen. Comp. Endocrinol. 2023, 338, 114275. [Google Scholar] [CrossRef] [PubMed]
- Fan, C.H.; Lin, S.C.; Tsai, K.Z.; Wu, T.J.; Lin, Y.P.; Lin, Y.K.; Lu, S.C.; Han, C.L.; Lin, G.M. Association of Single Measurement of dipstick proteinuria with physical performance of military males: The CHIEF study. BMC Nephrol. 2020, 21, 21–87. [Google Scholar] [CrossRef]
- Simpson, L.J.; Reader, J.S.; Tzima, E. Mechanical Forces and Their Effect on the Ribosome and Protein Translation Machinery. Cells 2020, 9, 650. [Google Scholar] [CrossRef]
- Hori, H.; Nakamura, S.; Yoshida, F.; Teraishi, T.; Sasayama, D.; Ota, M.; Hattori, K.; Kim, Y.; Higuchi, T.; Kunugi, H. Integrated profiling of phenotype and blood transcriptome for stress vulnerability and depression. J. Psychiatr. Res. 2018, 104, 202–210. [Google Scholar] [CrossRef]
- Wu, Y.; Zhuang, J.; Song, Y.; Gao, X.; Chu, J.; Han, S. Advances in single-cell sequencing technology in microbiome research. Genes Dis. 2024, 11, 101129. [Google Scholar] [CrossRef]
- Jiang, H.; Lv, W.; Wang, Y.; Qian, Y.; Wang, C.; Sun, N.; Fang, C.; Irwin, D.M.; Gan, X.; He, S.; et al. Multi-omics Investigation of Freeze Tolerance in the Amur Sleeper, an Aquatic Ectothermic Vertebrate. Mol. Biol. Evol. 2023, 40, msad040. [Google Scholar] [CrossRef]
- Jiang, B.J.; Li, Q.; Zhang, Z.Q.; Huang, Y.X.; Wu, Y.Q.; Li, X.; Huang, M.L.; Huang, Y.; Jian, J.C. Selection and evaluation of stable reference genes for quantitative real-time PCR in the head kidney leukocyte of Oreochromis niloticus. Aquac. Rep. 2023, 31. [Google Scholar] [CrossRef]
- Bhat, I.A.; Dubiel, M.M.; Rodriguez, E.; Jónsson, Z.O. Insights into Early Ontogenesis of Salmo salar: RNA Extraction, Housekeeping Gene Validation and Transcriptional Expression of Important Primordial Germ Cell and Sex-Determination Genes. Animals 2023, 13, 1094. [Google Scholar] [CrossRef] [PubMed]
- Tang, R.; Dodd, A.; Lai, D.; McNabb, W.C.; Love, D.R. Validation of zebrafish (Danio rerio) reference genes for quantitative real-time RT-PCR normalization. Acta Biochim. Biophys. Sin. 2007, 39, 384–390. [Google Scholar] [CrossRef]
- Jia, Y.D.; Gao, Y.T.; Wan, J.M.; Gao, Y.H.; Li, J.; Guan, C.T. Altered physiological response and gill histology in black rockfish, Sebastes schlegelii, during progressive hypoxia and reoxygenation. Fish Physiol. Biochem. 2021, 47, 1133–1147. [Google Scholar] [CrossRef] [PubMed]







| Gene Name | Sequence | Tm (°C) | Accession Number | Product Length |
|---|---|---|---|---|
| 18s | F: CGGTCGGCGTCCAACTTCTTAG | 65.8 | KF430619 | 144 |
| R: TCTCGGCGAAGGGTAGACACAC | 63.9 | |||
| actb | F: AGAGGGGTTACAGCTTCACC | 55.8 | KF430616 | 140 |
| R: CTCGTAGCTCTTCTCCAGGG | 56.6 | |||
| ef1a | F: GCGGAGGCATCGACAAGAGAAC | 65.8 | KF430623 | 89 |
| R: CAGCACCCAGGCGTACTTGAAC | 64.4 | |||
| tuba | F: GGTGGCTGGTAGTTGATG | 50.7 | KF430618 | 110 |
| R: GTGCCCAAAGATGTGAAT | 50.2 | |||
| rpl17 | F: AGGCGACGCACCTACCG | 55.5 | KF430620 | 109 |
| R: CCTCTGGTTTGGGGACGA | 55.9 |
Disclaimer/Publisher’s Note: The statements, opinions and data contained in all publications are solely those of the individual author(s) and contributor(s) and not of MDPI and/or the editor(s). MDPI and/or the editor(s) disclaim responsibility for any injury to people or property resulting from any ideas, methods, instructions or products referred to in the content. |
© 2024 by the authors. Licensee MDPI, Basel, Switzerland. This article is an open access article distributed under the terms and conditions of the Creative Commons Attribution (CC BY) license (https://creativecommons.org/licenses/by/4.0/).
Share and Cite
Chen, X.; Yu, Y.; Gao, T.; Liu, Z.; Chen, S.; Jia, Y. Determination of Stable Reference Genes for Gene Expression Analysis in Black Rockfish (Sebastes schlegeli) Under Hypoxia Stress. Genes 2025, 16, 9. https://doi.org/10.3390/genes16010009
Chen X, Yu Y, Gao T, Liu Z, Chen S, Jia Y. Determination of Stable Reference Genes for Gene Expression Analysis in Black Rockfish (Sebastes schlegeli) Under Hypoxia Stress. Genes. 2025; 16(1):9. https://doi.org/10.3390/genes16010009
Chicago/Turabian StyleChen, Xiatian, Yujie Yu, Tao Gao, Zhifei Liu, Shuaiyu Chen, and Yudong Jia. 2025. "Determination of Stable Reference Genes for Gene Expression Analysis in Black Rockfish (Sebastes schlegeli) Under Hypoxia Stress" Genes 16, no. 1: 9. https://doi.org/10.3390/genes16010009
APA StyleChen, X., Yu, Y., Gao, T., Liu, Z., Chen, S., & Jia, Y. (2025). Determination of Stable Reference Genes for Gene Expression Analysis in Black Rockfish (Sebastes schlegeli) Under Hypoxia Stress. Genes, 16(1), 9. https://doi.org/10.3390/genes16010009
