Integrative Transcriptomic and Small RNA Analysis Uncovers Key Genes for Cold Resistance in Rice
Abstract
1. Introduction
2. Materials and Methods
2.1. Plant Materials and Stress Treatment
2.2. RNA Extraction
2.3. miRNA Library Construction and Sequencing
2.4. mRNA Library Construction and Sequencing
2.5. Bioinformatics Analysis of Small RNA Sequencing Data
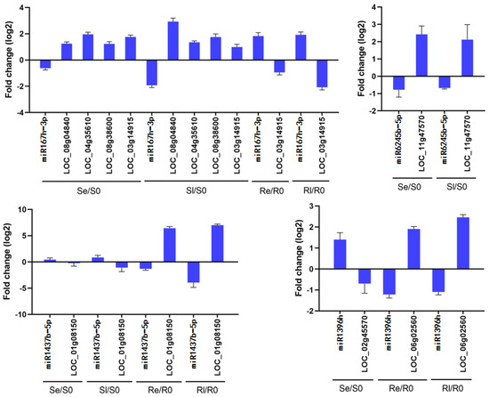
2.6. qRT-PCR Analysis
3. Results
3.1. Evaluation of Cold Tolerance in Rice Seedling Stage
3.2. Small RNA Library Construction and Sequencing
3.3. DEMIs Across Different Materials Before and After Low-Temperature Treatment
3.4. Identification of miRNAs Related to Cold Tolerance
3.5. General mRNA Expression Profiles
3.6. DEMs in Response to Low-Temperature Treatment
3.7. Identification of Genes Associated with Cold Tolerance
3.8. Integrated Analysis of miRNA and mRNA Expression Profiles
4. Discussion
5. Conclusions
Supplementary Materials
Author Contributions
Funding
Institutional Review Board Statement
Informed Consent Statement
Data Availability Statement
Conflicts of Interest
References
- Shahzad, N.; Nabi, H.G.; Qiao, L.; Li, W. The molecular mechanism of cold-stress tolerance: Cold responsive genes and their mechanisms in rice (Oryza sativa L.). Biology 2024, 13, 442. [Google Scholar] [CrossRef] [PubMed]
- Hu, Y.; Tian, C.; Song, S.; Li, R. Insights on the enhancement of chilling tolerance in Rice through over-expression and knock-out studies of OsRBCS3. Plant Signal. Behav. 2024, 19, 2318514. [Google Scholar] [CrossRef] [PubMed]
- Wu, B.; Fu, M.; Du, J.; Wang, M.; Zhang, S.; Li, S.; Chen, J.; Zha, W.; Li, C.; Liu, K.; et al. Identification of the cold-related genes COLD11 and OsCTS11 via BSA-seq and fine mapping at the rice seedling stage. Rice 2024, 17, 72. [Google Scholar] [CrossRef]
- Zuo, J.; Wei, C.; Liu, X.; Jiang, L.; Gao, J. Multifunctional transcription factor YABBY6 regulates morphogenesis, drought and cold stress responses in rice. Rice 2024, 17, 69. [Google Scholar] [CrossRef] [PubMed]
- Dasgupta, P.; Das, A.; Datta, S.; Banerjee, I.; Tripathy, S.; Chaudhuri, S. Understanding the early cold response mechanism in IR64 indica rice variety through comparative transcriptome analysis. BMC Genom. 2020, 21, 425. [Google Scholar] [CrossRef]
- Xia, H.; Yu, S.; Kong, D.; Xiong, J.; Ma, X.; Chen, L.; Luo, L. Temporal responses of conserved miRNAs to drought and their associations with drought tolerance and productivity in rice. BMC Genom. 2020, 21, 232. [Google Scholar] [CrossRef] [PubMed]
- Voinnet, O. Origin, biogenesis, and activity of plant microRNAs. Cell. 2009, 136, 669–687. [Google Scholar] [CrossRef]
- Dai, Y.; Feng, X.; Liu, Z.; Wang, M.; Zhou, Y.; Cui, L.; Wei, X.; Zhu, Z. miR1432 negatively regulates cold tolerance by targeting OsACAs. Plant Cell Environ. 2024, 47, 5443–5456. [Google Scholar] [CrossRef] [PubMed]
- Zhang, B.; Zhang, X.; Li, W.; Pan, D.; Ma, B.; Duan, X.; Dong, C.; Wang, L.; Zhao, M.; Zhao, S.; et al. A resource for functional investigation of miRNAs in rice responses to viral infection. Plant Biotechnol. J. 2024, 22, 3380–3382. [Google Scholar] [CrossRef]
- Sunkar, R.; Zhu, J.K. Novel and stress-regulated microRNAs and other small RNAs from Arabidopsis. Plant Cell 2004, 16, 2001–2019. [Google Scholar] [CrossRef] [PubMed]
- Ucar, S.; Yaprak, E.; Yigider, E.; Kasapoglu, A.G.; Oner, B.M.; Ilhan, E.; Ciltas, A.; Yildirim, E.; Aydin, M. Genome-wide analysis of miR172-mediated response to heavy metal stress in chickpea (Cicer arietinum L.): Physiological, biochemical, and molecular insights. BMC Plant Biol. 2024, 24, 1063. [Google Scholar] [CrossRef]
- Luo, G.; Li, L.; Yang, X.; Yu, Y.; Gao, L.; Mo, B.; Chen, X.; Liu, L. MicroRNA1432 regulates rice drought stress tolerance by targeting the CALMODULIN-LIKE2 gene. Plant Physiol. 2024, 195, 1954–1968. [Google Scholar] [CrossRef] [PubMed]
- Sun, M.; Shen, Y.; Yang, J.; Cai, X.; Li, H.; Zhu, Y.; Jia, B.; Sun, X. miR535 negatively regulates cold tolerance in rice. Mol. Breed. 2020, 40, 14. [Google Scholar] [CrossRef]
- Xie, S.; Li, H.; Lu, J.; Li, J.; Song, Z.; Jiang, H. A novel member of miR169 family negatively regulates maize resistance against Bipolaris maydis. Plant Dis. 2024, 108, 3518–3526. [Google Scholar] [CrossRef] [PubMed]
- Gaddam, S.R.; Sharma, A.; Bhatia, C.; Trivedi, P.K. A network comprising ELONGATED HYPOCOTYL 5, microRNA397b, and auxin-associated factors regulates root hair growth in Arabidopsis. Plant Physiol. 2024, 196, 1460–1474. [Google Scholar] [CrossRef]
- Pawłasek, N.; Sokołowska, A.; Koter, M.; Oracz, K. The interaction between miR165/166 and miR160 regulates Arabidopsis thaliana seed size, weight, and number in a ROS-dependent manner. Planta. 2024, 260, 72. [Google Scholar] [CrossRef]
- Xie, H.; Zhu, M.; Yu, Y.; Zeng, X.; Tang, G.; Duan, Y.; Wang, J.; Yu, Y. Comparative transcriptome analysis of the cold resistance of the sterile rice line 33S. PLoS ONE 2022, 17, e0261822. [Google Scholar] [CrossRef] [PubMed]
- Fan, M.; Yang, K.; Zhou, R.; Liu, Q.; Guo, X.; Sun, Y. Temporal transcriptome profiling reveals candidate genes involved in cold acclimation of Camellia japonica (Naidong). Plant Physiol. Biochem. 2021, 167, 795–805. [Google Scholar] [CrossRef] [PubMed]
- Jiang, W.; Shi, W.; Ma, X.; Zhao, J.; Wang, S.; Tan, L.; Sun, C.; Liu, F. Identification of microRNAs responding to cold stress in Dongxiang common wild rice. Genome. 2019, 62, 635–642. [Google Scholar] [CrossRef] [PubMed]
- Sun, M.; Yang, J.; Cai, X.; Shen, Y.; Cui, N.; Zhu, Y.; Jia, B.; Sun, X. The opposite roles of OsmiR408 in cold and drought stress responses in Oryza sativa. Mol. Breed. 2018, 38, 120. [Google Scholar] [CrossRef]
- Božić, M.; Micić, D.I.; Delić, N.; Nikolić, A. Maize miRNAs and their putative target genes involved in chilling stress response in 5-day old seedlings. BMC Genom. 2024, 25, 479. [Google Scholar] [CrossRef]
- Kim, D.; Langmead, B.; Salzberg, S.L. HISAT: A fast spliced aligner with low memory requirements. Nat. Methods 2015, 12, 357–360. [Google Scholar] [CrossRef]
- Love, M.I.; Huber, W.; Anders, S. Moderated estimation of fold change and dispersion for RNA-seq data with DESeq2. Genome Biol. 2014, 15, 550. [Google Scholar] [CrossRef] [PubMed]
- Allen, E.; Xie, Z.; Gustafson, A.M.; Carrington, J.C. MicroRNA-directed phasing during trans-acting siRNA biogenesis in plants. Cell 2005, 121, 207–221. [Google Scholar] [CrossRef] [PubMed]
- Schmittgen, T.D.; Livak, K.J. Analyzing real-time PCR data by the comparative C(T) method. Nat. Protoc. 2008, 3, 1101–1108. [Google Scholar] [CrossRef] [PubMed]
- Gupta, A.; Hua, L.; Zhang, Z.; Yang, B.; Li, W. CRISPR-induced miRNA156-recognition element mutations in TaSPL13 improve multiple agronomic traits in wheat. Plant Biotechnol. J. 2023, 21, 536–548. [Google Scholar] [CrossRef] [PubMed]
- Ferigolo, L.F.; Vicente, M.H.; Correa, J.P.O.; Barrera-Rojas, C.H.; Silva, E.M.; Silva, G.F.F.; Carvalho, A.; Peres, L.E.P.; Ambrosano, G.B.; Margarido, G.R.A.; et al. Gibberellin and the miRNA156-targeted SlSBPs synergistically regulate tomato floral meristem determinacy and ovary patterning. Development 2023, 150, dev201961. [Google Scholar] [CrossRef]
- Yan, B.; Li, F.; Ma, Q.; Shen, T.; Jiang, J.; Li, H. The miR156-SPL4/SPL9 module regulates leaf and lateral branch development in Betula platyphylla. Plant Sci. 2023, 338, 111869. [Google Scholar] [CrossRef] [PubMed]
- Wei, H.; Song, Z.; Xie, Y.; Cheng, H.; Yan, H.; Sun, F.; Liu, H.; Shen, J.; Li, L.; He, X.; et al. High temperature inhibits vascular development via the PIF4-miR166-HB15 module in Arabidopsis. Curr. Biol. 2023, 33, 3203–3214. [Google Scholar] [CrossRef] [PubMed]
- Li, Y.; Zhang, S.; Zhang, D.; Li, X.; Gao, Z.; Jiang, Z. The miR166-mRNA network regulates vascular tissue differentiation in Moso bamboo. Front. Genet. 2022, 13, 893956. [Google Scholar] [CrossRef]
- Iwamoto, M. In-frame editing of transcription factor gene RDD1 to suppress miR166 recognition influences nutrient uptake, photosynthesis, and grain quality in rice. Sci. Rep. 2022, 12, 10795. [Google Scholar] [CrossRef] [PubMed]
- Liu, X.; Huang, S.; Xie, H. Advances in the regulation of plant development and stress response by miR167. Front. Biosci. (Landmark Ed.) 2021, 26, 655–665. [Google Scholar] [CrossRef] [PubMed]
- Caruana, J.C.; Dhar, N.; Raina, R. Overexpression of Arabidopsis microRNA167 induces salicylic acid-dependent defense against Pseudomonas syringae through the regulation of its targets ARF6 and ARF8. Plant Direct. 2020, 4, e00270. [Google Scholar] [CrossRef]
- Rao, S.; Gupta, A.; Bansal, C.; Sorin, C.; Crespi, M.; Mathur, S. A conserved HSF:miR169:NF-YA loop involved in tomato and Arabidopsis heat stress tolerance. Plant J. 2022, 112, 7–26. [Google Scholar] [CrossRef] [PubMed]
- Li, Y.; Zhao, S.L.; Li, J.L.; Hu, X.H.; Wang, H.; Cao, X.L.; Xu, Y.J.; Zhao, Z.X.; Xiao, Z.Y.; Yang, N.; et al. Osa-miR169 negatively regulates rice immunity against the blast fungus magnaporthe oryzae. Front. Plant Sci. 2017, 8, 2. [Google Scholar] [CrossRef] [PubMed]
- Yang, Z.; Hui, S.; Lv, Y.; Zhang, M.; Chen, D.; Tian, J.; Zhang, H.; Liu, H.; Cao, J.; Xie, W.; et al. miR395-regulated sulfate metabolism exploits pathogen sensitivity to sulfate to boost immunity in rice. Mol. Plant 2022, 15, 671–688. [Google Scholar] [CrossRef]
- Wang, L.; Hou, J.; Xu, H.; Zhang, Y.; Huang, R.; Wang, D.; He, X.Q. The PtoTCP20-miR396d-PtoGRF15 module regulates secondary vascular development in Populus. Plant Commun. 2023, 4, 100494. [Google Scholar] [CrossRef] [PubMed]
- Guo, L.; Shen, J.; Zhang, C.; Guo, Q.; Liang, H.; Hou, X. Characterization and bioinformatics analysis of ptc-miR396g-5p in response to drought stress of Paeonia ostii. Noncoding RNA Res. 2022, 7, 150–158. [Google Scholar] [CrossRef]
- Ma, Z.; Wang, J.; Li, C. Research progress on miRNAs and artificial miRNAs in insect and disease resistance and breeding in plants. Genes 2024, 15, 1200. [Google Scholar] [CrossRef]
- Dai, X.; Zhuang, Z.; Zhao, P.X. psRNATarget: A plant small RNA target analysis server (2017 release). Nucleic Acids Res. 2018, 46, W49–W54. [Google Scholar] [CrossRef] [PubMed]
- Zhao, W.; Xiao, W.; Sun, J.; Chen, M.; Ma, M.; Cao, Y.; Cen, W.; Li, R.; Luo, J. An integration of microRNA and transcriptome sequencing analysis reveal regulatory roles of miRNAs in response to chilling stress in wild rice. Plants 2022, 11, 977. [Google Scholar] [CrossRef] [PubMed]
- Pescador-Dionisio, S.; Robles-Fort, A.; Parisi, B.; García-Robles, I.; Bassolino, L.; Mandolino, G.; Real, M.D.; Rausell, C. Contribution of the regulatory miR156-SPL9 module to the drought stress response in pigmented potato (Solanum tuberosum L.). Plant Physiol. Biochem. 2024, 217, 109195. [Google Scholar] [CrossRef] [PubMed]
- Li, J.; Cao, Y.; Zhang, J.; Zhu, C.; Tang, G.; Yan, J. The miR165/166-PHABULOSA module promotes thermotolerance by transcriptionally and posttranslationally regulating HSFA1. Plant Cell. 2023, 35, 2952–2971. [Google Scholar] [CrossRef] [PubMed]
- Bhardwaj, E.; Pokhriyal, E.; Jain, A.; Lal, M.; Khari, M.; Jalan, K.; Das, S. The non-canonically organized members of MIR395 gene family in Brassica juncea are associated with developmentally regulated, sulfate-stress responsive bidirectional promoters that exhibit orientation-dependent differential transcriptional activity. Plant Sci. 2024, 348, 112214. [Google Scholar] [CrossRef] [PubMed]
- Kinoshita, N.; Wang, H.; Kasahara, H.; Liu, J.; Macpherson, C.; Machida, Y.; Kamiya, Y.; Hannah, M.A.; Chua, N.H. IAA-Ala Resistant3, an evolutionarily conserved target of miR167, mediates Arabidopsis root architecture changes during high osmotic stress. Plant Cell 2012, 24, 3590–3602. [Google Scholar] [CrossRef]
- Sun, L.; Yang, D.L.; Kong, Y.; Chen, Y.; Li, X.Z.; Zeng, L.J.; Li, Q.; Wang, E.T.; He, Z.H. Sugar homeostasis mediated by cell wall invertase GRAIN INCOMPLETE FILLING 1 (GIF1) plays a role in pre-existing and induced defence in rice. Mol. Plant Pathol. 2014, 15, 161–173. [Google Scholar] [CrossRef] [PubMed]
- Liu, D.; Dou, W.; Song, H.; Deng, H.; Tian, Z.; Chen, R.; Liu, Z.; Jiao, Z.; Akhberdi, O. Insights into the functional mechanism of the non-specific lipid transfer protein nsLTP in Kalanchoe fedtschenkoi (Lavender scallops). Protein Expr. Purif. 2025, 226, 106607. [Google Scholar] [CrossRef] [PubMed]
- Shang, K.; Wang, C.; Wang, X.; Wang, Y.; Xu, K.; Zhou, S.; Liu, H.; Zhu, X.; Zhu, C. Non-specific lipid transfer protein StLTP6 promotes virus infection by inhibiting jasmonic acid signalling pathway in response to PVS TGB1. Plant Cell Environ. 2024, 4, 100494. [Google Scholar] [CrossRef]
- Li, H.; Liu, Y.; Gao, W.; Zhu, J.; Zhang, H.; Wang, Z.; Liu, C.; Li, X. Genome-wide characterization of small secreted peptides in Nicotiana tabacum and functional assessment of NtLTP25 in plant immunity. Physiol. Plant. 2024, 176, e14436. [Google Scholar] [CrossRef]
- Zhu, F.; Cao, M.Y.; Zhu, P.X.; Zhang, Q.P.; Lam, H.M. Non-specific LIPID TRANSFER PROTEIN 1 enhances immunity against tobacco mosaic virus in Nicotiana benthamiana. J. Exp. Bot. 2023, 74, 5236–5254. [Google Scholar] [CrossRef]
- Bvindi, C.; Howe, K.; Wang, Y.; Mullen, R.T.; Rogan, C.J.; Anderson, J.C.; Goyer, A. Potato non-specific lipid transfer protein StnsLTPI.33 is associated with the production of reactive oxygen species, plant growth, and susceptibility to Alternaria solani. Plants 2023, 12, 3129. [Google Scholar] [CrossRef] [PubMed]
- Dhar, N.; Caruana, J.; Erdem, I.; Raina, R. An Arabidopsis DISEASE RELATED NONSPECIFIC LIPID TRANSFER PROTEIN 1 is required for resistance against various phytopathogens and tolerance to salt stress. Gene 2020, 753, 144802. [Google Scholar] [CrossRef]
- Peng, C.N.; Xing, Y.; Wang, Q.B.; Wang, C.C.; Zhang, X.Y.; Chen, D.Y.; Song, Y.Z.; Zhu, C.X. Expression of tobacco Lipid Transfer Protein NtLTP4 enhances tolerance to abiotic and biotic stresses in transgenic potato lines. Potato Res. 2022, 65, 631–647. [Google Scholar] [CrossRef]
- Xiao, Y.; Xiao, C.; He, X.; Yang, X.; Tong, Z.; Wang, Z.; Sun, Z.; Qiu, W. A novel non-specific lipid transfer protein gene, CmnsLTP6.9, enhanced osmotic and drought tolerance by regulating ROS scavenging and remodeling lipid profiles in chinese chestnut (Castanea mollissima Blume). Plants 2023, 12, 3916. [Google Scholar] [CrossRef]
- Yang, Y.; Song, H.; Yao, P.; Zhang, S.; Jia, H.; Ye, X. NtLTPI.38, a plasma membrane-localized protein, mediates lipid metabolism and salt tolerance in Nicotiana tabacum. Int. J. Biol. Macromol. 2023, 242 Pt 2, 125007. [Google Scholar] [CrossRef] [PubMed]
- Song, H.; Yao, P.; Zhang, S.; Jia, H.; Yang, Y.; Liu, L. A non-specific lipid transfer protein, NtLTPI.38, positively mediates heat tolerance by regulating photosynthetic ability and antioxidant capacity in tobacco. Plant Physiol. Biochem. 2023, 200, 107791. [Google Scholar] [CrossRef] [PubMed]
- Zhao, J.; Wang, S.; Qin, J.; Sun, C.; Liu, F. The lipid transfer protein OsLTPL159 is involved in cold tolerance at the early seedling stage in rice. Plant Biotechnol. J. 2020, 18, 756–769. [Google Scholar] [CrossRef] [PubMed]
- Li, Y.; Guo, L.; Cui, Y.; Yan, X.; Ouyang, J.; Li, S. Lipid transfer protein, OsLTPL18, is essential for grain weight and seed germination in rice. Gene 2023, 883, 147671. [Google Scholar] [CrossRef]
- DeBono, A.; Yeats, T.H.; Rose, J.K.; Bird, D.; Jetter, R.; Kunst, L.; Samuels, L. Arabidopsis LTPG is a glycosylphosphatidylinositol-anchored lipid transfer protein required for export of lipids to the plant surface. Plant Cell 2009, 21, 1230–1238. [Google Scholar] [CrossRef] [PubMed]
- Lee, S.B.; Go, Y.S.; Bae, H.J.; Park, J.H.; Cho, S.H.; Cho, H.J.; Lee, D.S.; Park, O.K.; Hwang, I.; Suh, M.C. Disruption of glycosylphosphatidylinositol-anchored lipid transfer protein gene altered cuticular lipid composition, increased plastoglobules, and enhanced susceptibility to infection by the fungal pathogen Alternaria brassicicola. Plant Physiol. 2009, 150, 42–54. [Google Scholar] [CrossRef] [PubMed]
- Wang, X.; Ma, J.; He, F.; Wang, L.; Zhang, T.; Liu, D.; Xu, Y.; Li, F.; Feng, X. A study on the functional identification of overexpressing winter wheat expansin gene TaEXPA7-B in rice under salt stress. Int. J. Mol. Sci. 2024, 25, 7707. [Google Scholar] [CrossRef] [PubMed]
- Ribas, A.F.; Silva, N.V.E.; Santos, T.B.D.; Abrantes, F.L.; Custódio, C.C.; Machado-Neto, N.B.; Vieira, L.G.E. Regulation of α-expansins genes in Arabidopsis thaliana seeds during post-osmopriming germination. Physiol. Mol. Biol. Plants 2019, 25, 511–522. [Google Scholar] [CrossRef] [PubMed]
- Chen, S.; Luo, Y.; Wang, G.; Feng, C.; Li, H. Genome-wide identification of expansin genes in Brachypodium distachyon and functional characterization of BdEXPA27. Plant Sci. 2020, 296, 110490. [Google Scholar] [CrossRef] [PubMed]
- Yin, Z.; Zhou, F.; Chen, Y.; Wu, H.; Yin, T. Genome-wide analysis of the expansin gene family in Populus and characterization of expression changes in response to phytohormone (abscisic acid) and abiotic (low-temperature) stresses. Int. J. Mol. Sci. 2023, 24, 7759. [Google Scholar] [CrossRef] [PubMed]







| Comparison | FC> 2 | FC > 5 | Total | ||
|---|---|---|---|---|---|
| Down | Up | Down | Up | ||
| Se/S0 | 3860 | 3614 | 990 | 1474 | 7474 | 
| Sl/S0 | 5088 | 4915 | 1892 | 2132 | 10,003 | 
| Re/R0 | 3493 | 4436 | 696 | 2338 | 7929 | 
| Rl/R0 | 4969 | 5623 | 1746 | 3177 | 10,592 | 
| #ID | Fold Change (log2) | Description | GO Term (BP) | GO Term (CC) | |||
|---|---|---|---|---|---|---|---|
| Re/R0 | Rl/R0 | Se/S0 | Sl/S0 | ||||
| LOC_Os07g45410 | −1.4679 | −1.7799 | 3.5761 | 4.2068 | Putative polyprotein | cellular process | cell part | 
| LOC_Os01g05010 | 1.3993 | 1.1943 | −1.3718 | −1.2266 | Hypothetical protein OsI_00351 | single-organism cellular process | intracellular organelle part | 
| LOC_Os01g12640 | 2.4200 | 2.9051 | −2.2719 | −2.4547 | Probable membrane-associated kinase regulator 2 | single-organism cellular process | nucleus | 
| LOC_Os01g31800 | 2.4096 | 1.3732 | −1.8766 | −2.1555 | Similar to Histone H2A | cellular process | nucleus | 
| LOC_Os01g60740 | 7.3542 | 6.3104 | −2.7176 | −3.1318 | Non-specific lipid-transfer protein 1 | single-organism process | plasma membrane | 
| LOC_Os02g33780 | 1.6491 | 1.3666 | −1.3508 | −1.7150 | Uncharacterized abhydrolase domain-containing protein DDB_G0269086 | cellular process | nucleus | 
| LOC_Os03g04970 | 1.4419 | 1.2896 | −1.2938 | −2.1664 | Chaperonin CPN60-1, mitochondrial | response to cadmium ion | plasma membrane | 
| LOC_Os03g06670 | 4.2671 | 3.7827 | −1.1857 | −1.4218 | Probable histone H2A variant 1 | defense response to bacterium | nucleus | 
| LOC_Os03g21820 | 2.4730 | 3.1456 | −3.1503 | −2.3354 | Expansin OsEXPA6 | plant-type cell wall modification | plasmodesma | 
| LOC_Os04g02530 | 3.4447 | 3.2431 | −4.3337 | −3.7617 | Hypothetical protein | \ | cell part | 
| LOC_Os04g33740 | 5.0839 | 4.8347 | −3.0304 | −2.8914 | Cell-wall invertase, Carbon partitioning during early grain filling, Regulation of endosperm development | plant-type cell wall modification | plasma membrane | 
| LOC_Os05g07820 | 3.6695 | 2.9440 | −2.5463 | −3.1852 | Hypothetical protein OsI_18626 | defense response to bacterium | plasma membrane | 
| LOC_Os06g02900 | 4.0923 | 2.5764 | −2.5671 | −3.1472 | Protein ASPARTIC PROTEASE IN GUARD CELL 2 | response to stress | plasma membrane | 
| LOC_Os06g49360 | 1.1686 | 1.0605 | −1.6312 | −2.3403 | NBS-LRR disease resistance protein, putative, expressed | response to stress | cell part | 
| LOC_Os08g39330 | 4.1966 | 2.3521 | −2.1104 | −3.1135 | Hypothetical protein | single-organism process | cell part | 
| LOC_Os08g40690 | 3.3571 | 2.2450 | −1.1110 | −2.7002 | Xylanase inhibitor protein 1-like | metabolic process | cell part | 
| LOC_Os08g41880 | 2.1007 | 1.8180 | −1.0147 | −1.7893 | Nucleotide pyrophosphatase/phosphodiesterase | response to stress | plasmodesma | 
| LOC_Os10g25450 | 4.2100 | 4.0353 | −1.8408 | −2.1186 | Subtilisin-like protease SBT1.8 | biological regulation | plasma membrane | 
| LOC_Os12g05120 | 3.1791 | 2.4783 | −1.7109 | −2.1749 | Leucine-rich repeat receptor-like protein kinase PXC1 isoform X1 | cell wall organization | plasma membrane | 
| LOC_Os12g38140 | 4.0395 | 3.6046 | −2.0869 | −2.8372 | Uncharacterized protein LOC9267984 | cellular process | nucleus | 
| Oryza_sativa_newGene_1709 | 1.0610 | 1.1701 | −1.2478 | −1.1633 | \ | \ | \ | 
| #ID | Fold Change (log2) | #ID | Fold Change (log2) | Description | ||||||
|---|---|---|---|---|---|---|---|---|---|---|
| Se/S0 | Sl/S0 | Re/R0 | Rl/R0 | Se/S0 | Sl/S0 | Re/R0 | Rl/R0 | |||
| miR1425-3p | 0.0385 | −0.2230 | −0.1104 | −0.9335 | LOC_Os05g50654 | -- | 0.8852 | 1.3105 | 2.2248 | Mitochondrial import receptor subunit TOM7-1, putative, expressed | 
| miR1437b-5p | 0.2693 | 0.8142 | −0.2584 | −4.2600 | LOC_Os01g08150 | −0.1401 | −0.4229 | 6.5867 | 6.1776 | Uncharacterized protein LOC4326223 | 
| miR167a-5p | −0.2121 | −0.6547 | −0.1631 | −1.0022 | LOC_Os06g15810 | −0.9276 | −0.3215 | 0.3652 | 0.9685 | Integral membrane protein, putative, expressed | 
| miR167b | −0.1825 | −0.6602 | −0.1181 | −1.0064 | ||||||
| miR167c-5p | −0.2121 | −0.6547 | −0.1631 | −1.0022 | ||||||
| LOC_Os08g04840 | 1.8926 | 2.8602 | −0.3723 | 0.4304 | MYB family transcription factor, putative, expressed | |||||
| miR167h-3p | −0.8602 | −1.3031 | 0.1685 | 0.4566 | LOC_Os04g35610 | 0.9768 | 0.2621 | Pentatricopeptide repeat-containing protein At2g13600 | ||
| LOC_Os08g38600 | 1.1403 | 1.9334 | RING-type E3 ubiquitin ligase RGLG6 | |||||||
| LOC_Os03g14915 | 0.0898 | 0.4955 | −2.4531 | −2.5449 | Tyrosine-specific transport protein 2 isoform X2 | |||||
| miR1861k | −0.1467 | 1.0855 | 2.8249 | 2.9707 | LOC_Os01g63810 | −0.0641 | 0.5740 | −1.0251 | −0.8952 | Starch binding domain containing protein, putative, expressed | 
| miR1861e | −0.1463 | 1.0859 | 2.8248 | 2.9707 | ||||||
| miR1861m | −0.1469 | 1.0861 | 2.8246 | 2.9702 | ||||||
| miR395y | −0.2012 | −0.4800 | 1.2076 | 2.4779 | LOC_Os12g38380 | 0.1141 | −1.1143 | −0.3338 | −0.8822 | Cleavage stimulation factor subunit 77 isoform X2 | 
| miR396a-5p | −0.0081 | −0.6248 | −0.5344 | −1.0779 | LOC_Os06g17900 | −1.0074 | −2.2897 | 1.1187 | 0.6906 | Disease resistance protein RPM1, putative, expressed | 
| miR396b-5p | −0.0081 | −0.6248 | −0.5369 | −1.0804 | LOC_Os06g28000 | −0.9280 | −1.1340 | 4.8473 | 5.0674 | Carboxyl-terminal peptidase, putative, expressed | 
| miR396h | LOC_Os02g45570 | −2.0189 | Growth-regulating factor 10 isoform X1 | |||||||
| miR396g | 0.2577 | 0.3042 | −1.4890 | −1.5029 | LOC_Os06g02560 | −0.2435 | 0.5606 | 1.1271 | 1.6195 | Growth-regulating factor 5 isoform X1 | 
| miR396d | ||||||||||
| miR3979-5p | −0.4130 | −0.9323 | 1.0833 | −0.2807 | LOC_Os04g57220 | 0.7600 | 1.0155 | −0.4384 | 0.5903 | Ubiquitin-conjugating enzyme E2-17 kDa | 
| LOC_Os03g13460 | 1.0801 | 0.5897 | −0.1653 | 0.3637 | 65 kDa microtubule-associated protein 6 | |||||
| miR5337a | 0.5453 | 0.8813 | 3.9540 | 4.5778 | LOC_Os03g06139 | 0.8186 | 1.1409 | −1.0093 | −0.0761 | ABC transporter G family member 22 isoform X1 | 
| miR6245b-5p | −0.9684 | −0.2557 | 2.8338 | 1.7829 | LOC_Os11g47570 | 1.4791 | 1.2651 | Xylanase inhibitor protein 2-like | ||
| novel_miR_102 | −0.2667 | 0.2692 | −0.7629 | −0.1004 | LOC_Os04g52880 | −0.8309 | −0.8725 | 4.5114 | 4.7659 | Similar to H0714H04.3 protein | 
| novel_miR_134 | −0.2696 | 0.2566 | −0.8044 | −0.1253 | ||||||
| novel_miR_153 | −0.2665 | 0.2695 | −0.7629 | −0.1004 | ||||||
| novel_miR_196 | −0.2696 | 0.2566 | −0.8044 | −0.1253 | ||||||
| novel_miR_201 | −0.2696 | 0.2566 | −0.8044 | −0.1253 | ||||||
| novel_miR_67 | −0.4573 | 0.2371 | −0.8884 | −0.0795 | ||||||
| novel_miR_109 | 0.4099 | −0.6760 | −0.6026 | −1.3629 | LOC_Os08g36490 | −0.6892 | −1.0994 | 2.2559 | 2.1977 | Kinetochore protein NDC80 homolog | 
| LOC_Os02g36890 | −0.2098 | 0.0709 | 8.8909 | 9.4221 | Myb-related protein Zm38 | |||||
| LOC_Os04g52880 | −0.8309 | −0.8726 | 4.5114 | 4.7659 | Similar to H0714H04.3 protein | |||||
| novel_miR_114 | 0.6222 | 0.0161 | −1.0781 | −0.1472 | LOC_Os11g03720 | −3.2534 | −2.8759 | Similar to H0114G12.9 protein | ||
| LOC_Os01g19694 | −0.3074 | −0.7558 | 4.8059 | Homeobox protein knotted-1-like 1 | ||||||
| novel_miR_119 | 0.0527 | −0.1977 | −1.2309 | −1.6439 | LOC_Os04g46620 | 0.0172 | −0.0250 | 1.7292 | 1.6687 | T-complex protein 1 subunit α | 
| novel_miR_187 | −0.0523 | −0.4546 | −1.0137 | −1.3382 | LOC_Os09g31170 | −0.2716 | −0.3146 | 1.0175 | 0.5548 | Uncharacterized protein LOC4347421 | 
| LOC_Os02g32615 | −0.2060 | 0.2797 | −1.5073 | −0.7702 | Expressed protein | |||||
| novel_miR_120 | 0.2588 | 0.8452 | 2.3519 | 1.5828 | LOC_Os09g13920 | 0.5713 | 0.7488 | −1.4987 | −1.0764 | Uncharacterized protein LOC4346684 | 
| novel_miR_212 | 0.2586 | 0.8452 | 2.3516 | 1.5821 | LOC_Os02g35820 | 1.2164 | 1.3602 | −1.0794 | −0.7511 | Uncharacterized protein LOC4329708 | 
| LOC_Os07g41420 | 1.5409 | 2.0942 | −1.0222 | −0.1276 | Unknown protein | |||||
| novel_miR_142 | −0.2254 | −0.4847 | −0.9155 | −0.8310 | LOC_Os01g69290 | 0.2117 | −0.0376 | 4.0603 | 4.0132 | Antifreeze glycoprotein, putative, expressed | 
| novel_miR_150 | −0.6474 | −1.0517 | 1.1072 | 0.4655 | LOC_Os01g63810 | −0.0641 | 0.5741 | −1.0251 | −0.8952 | Starch binding domain containing protein, putative, expressed | 
| novel_miR_180 | 0.0712 | −0.1368 | −0.6287 | −0.8190 | LOC_Os05g49040 | −1.4883 | 0.1513 | 3.3286 | 4.4992 | Cytochrome b561/ferric reductase transmembrane domain containing protein. | 
| novel_miR_237 | −0.2012 | 0.3890 | −0.8272 | −0.2583 | LOC_Os04g52880 | −0.8309 | −0.8725 | 4.5114 | 4.7659 | Similar to H0714H04.3 protein | 
| novel_miR_5 | 0.4892 | 0.9472 | 1.3040 | 1.1625 | LOC_Os03g53540 | 0.2154 | −0.7403 | −4.4586 | −4.1983 | Uncharacterized protein LOC4334093 | 
| LOC_Os06g22560 | −3.0613 | −4.0183 | Putative phosphoribosylglycinamide formyltransferase, chloroplast precursor | |||||||
| LOC_Os09g13920 | 0.5713 | 0.7488 | −1.4987 | −1.0764 | Uncharacterized protein LOC4346684 | |||||
| LOC_Os11g35040 | −1.2576 | −0.8390 | Probable aminotransferase TAT2 | |||||||
| LOC_Os10g31330 | 0.8122 | 0.5856 | −1.1464 | −1.2935 | Glycine-rich cell wall structural protein 2 | |||||
| LOC_Os10g01470 | 0.4421 | −0.2362 | −0.9824 | −1.1884 | Homeobox-leucine zipper protein HOX15 | |||||
| LOC_Os03g07190 | 0.3451 | 1.5299 | −0.9459 | −1.0435 | Uncharacterized protein LOC4331752 | |||||
| novel_miR_52 | −0.3276 | 0.3383 | −0.8528 | −0.4219 | LOC_Os03g60750 | −0.1889 | −0.1570 | 1.3812 | 0.9981 | Ribosomal RNA large subunit methyltransferase J, putative, expressed | 
| novel_miR_53 | 0.2661 | 1.3680 | −1.1105 | −0.8701 | LOC_Os01g48010 | −1.7158 | −1.1017 | Hypothetical protein OsI_03210 | ||
| novel_miR_225 | 0.2652 | 1.3673 | −1.1107 | −0.8701 | ||||||
| Disclaimer/Publisher’s Note: The statements, opinions and data contained in all publications are solely those of the individual author(s) and contributor(s) and not of MDPI and/or the editor(s). MDPI and/or the editor(s) disclaim responsibility for any injury to people or property resulting from any ideas, methods, instructions or products referred to in the content. | 
© 2024 by the authors. Licensee MDPI, Basel, Switzerland. This article is an open access article distributed under the terms and conditions of the Creative Commons Attribution (CC BY) license (https://creativecommons.org/licenses/by/4.0/).
Share and Cite
Luo, F.; Yin, M.; Zhou, J.; Zhou, X.; Wang, C.; Zhang, W.; Chen, L.; Lee, D. Integrative Transcriptomic and Small RNA Analysis Uncovers Key Genes for Cold Resistance in Rice. Genes 2025, 16, 38. https://doi.org/10.3390/genes16010038
Luo F, Yin M, Zhou J, Zhou X, Wang C, Zhang W, Chen L, Lee D. Integrative Transcriptomic and Small RNA Analysis Uncovers Key Genes for Cold Resistance in Rice. Genes. 2025; 16(1):38. https://doi.org/10.3390/genes16010038
Chicago/Turabian StyleLuo, Fan, Mengmeng Yin, Jianping Zhou, Xiaoli Zhou, Chunli Wang, Wenfeng Zhang, Lijuan Chen, and Dongsun Lee. 2025. "Integrative Transcriptomic and Small RNA Analysis Uncovers Key Genes for Cold Resistance in Rice" Genes 16, no. 1: 38. https://doi.org/10.3390/genes16010038
APA StyleLuo, F., Yin, M., Zhou, J., Zhou, X., Wang, C., Zhang, W., Chen, L., & Lee, D. (2025). Integrative Transcriptomic and Small RNA Analysis Uncovers Key Genes for Cold Resistance in Rice. Genes, 16(1), 38. https://doi.org/10.3390/genes16010038
 
        


 
       