Genome-Wide Identification and Characterization of the CDPK Family of Genes and Their Response to High-Calcium Stress in Yinshania henryi
Abstract
1. Introduction
2. Results
2.1. Identification, Chromosomal Location, and Gene Duplication Analysis of YhCDPK Genes
2.2. Physicochemical Properties of YhCDPK Proteins
2.3. Phylogenetic Analysis of YhCDPK Genes
2.4. Conserved Motif and Exon–Intron Structure Analysis of YhCDPKs
2.5. Synteny Analysis of CDPK Genes Between Y. henryi and Other Species
2.6. Analysis of Cis-Acting Elements of YhCDPK Genes
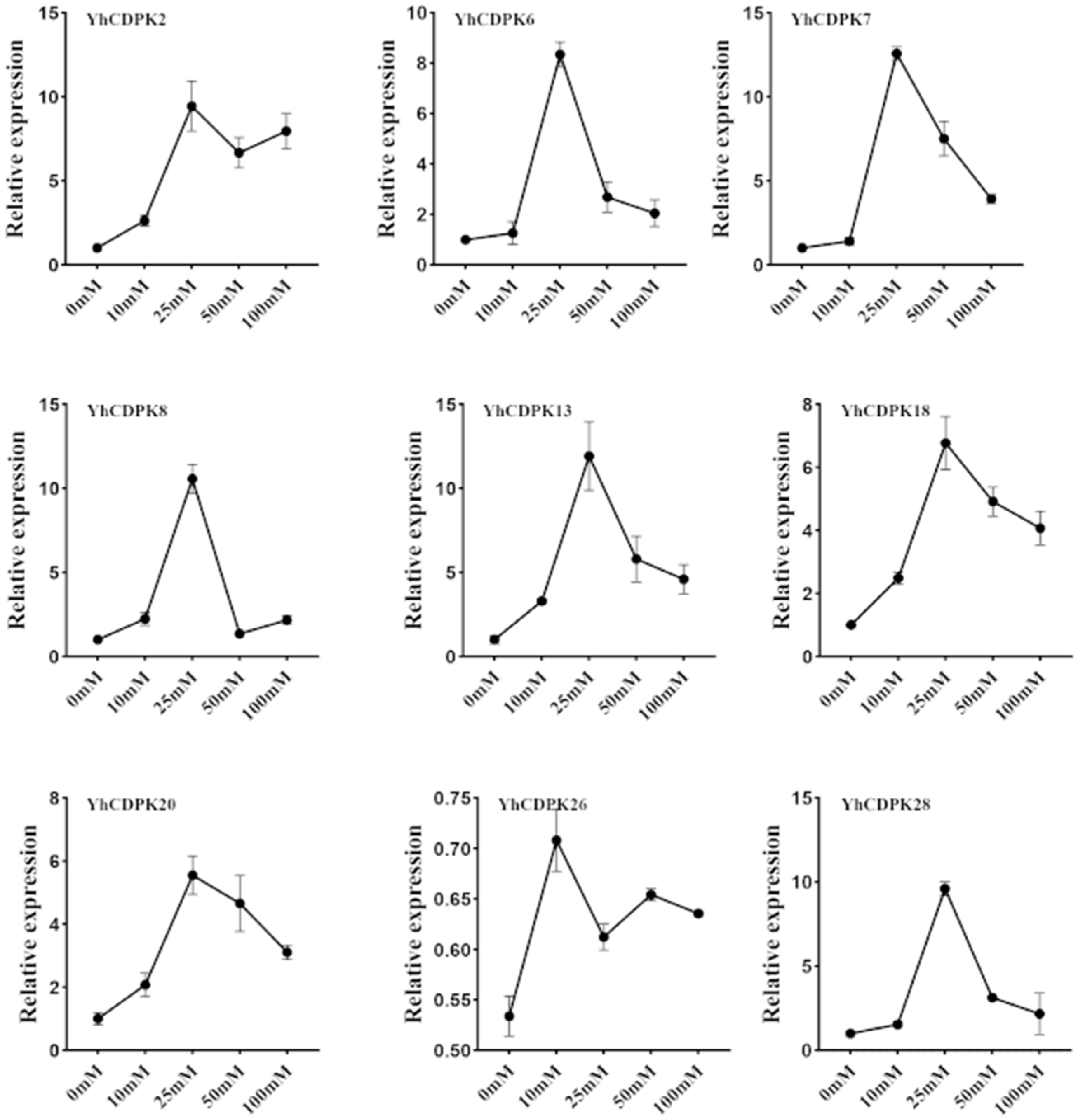
2.7. YhCDPK Gene Expression Analysis After High-Ca2+ Stress
3. Discussion
4. Materials and Methods
4.1. Identification and Physicochemical Property Analysis of the CDPK Gene Family in Y. henryi
4.2. Chromosomal Localization and Gene Duplication Analysis of YhCDPKs
4.3. Characterization of YhCDPK Proteins
4.4. Distribution of Conserved Motifs in YhCDPK Proteins
4.5. Phylogenetic Analysis of the YhCDPK Family Genes
4.6. Collinearity Analysis of YhCDPK Genes
4.7. Cis-Acting Element Analysis of the YhCDPK Family of Genes
4.8. Plant Materials and Cultivation
4.9. RNA-Seq Sequencing of Y. henryi Plants with Different Concentrations of Ca2+ Treatment
4.10. qRT-PCR Analysis of YhCDPK Genes
5. Conclusions
Supplementary Materials
Author Contributions
Funding
Institutional Review Board Statement
Informed Consent Statement
Data Availability Statement
Acknowledgments
Conflicts of Interest
References
- Boudsocq, M.; Willmann, M.R.; McCormack, M.; Lee, M.; Shan, L.B.; He, P.; Bush, J.; Cheng, S.H.; Sheen, J. Differential innate immune signalling via Ca2+ sensor protein kinases. Nature 2010, 464, 418–422. [Google Scholar] [CrossRef] [PubMed]
 - Allan, C.; Morris, R.J.; Meisrimler, C.N. Encoding, transmission, decoding, and specificity of calcium signals in plants. J. Exp. Bot. 2022, 73, 3372–3385. [Google Scholar] [CrossRef] [PubMed]
 - Wang, K.L.; Zhang, C.H.; Chen, H.S.; Yue, Y.M.; Zhang, W.; Zhang, M.Y.; Qi, X.K.; Fu, Z.Y. Karst landscapes of China: Patterns, ecosystem processes and services. Landsc. Ecol. 2019, 34, 2743–2763. [Google Scholar] [CrossRef]
 - Hamel, L.P.; Sheen, J.; Séguin, A. Ancient signals: Comparative genomics of green plant CDPKs. Trends Plant Sci. 2014, 19, 79–89. [Google Scholar] [CrossRef]
 - Romeis, T.; Herde, M. From local to global: CDPKs in systemic defense signaling upon microbial and herbivore attack. Curr. Opin. Plant Biol. 2014, 20, 1–10. [Google Scholar] [CrossRef]
 - Simeunovic, A.; Mair, A.; Wurzinger, B.; Teige, M. Know where your clients are: Subcellular localization and targets of calcium-dependent protein kinases. J. Exp. Bot. 2016, 67, 3855–3872. [Google Scholar] [CrossRef]
 - Poovaiah, B.W.; Du, L.Q.; Wang, H.Z.; Yang, T.B. Recent advances in calcium/calmodulin-mediated signaling with an emphasis on plant-microbe interactions. Plant Physiol. 2013, 163, 531–542. [Google Scholar] [CrossRef]
 - Zhang, Q.S.; Li, Z.; Yang, J.; Li, S.Q.; Yang, D.C.; Zhu, Y.G. A calmodulin-binding protein from rice is essential to pollen development. J. Plant Biol. 2012, 55, 8–14. [Google Scholar] [CrossRef]
 - Xu, W.W.; Huang, W.C. Calcium-dependent protein kinases in phytohormone signaling pathways. Int. J. Mol. Sci. 2017, 18, 2436. [Google Scholar] [CrossRef] [PubMed]
 - Dammann, C.; Ichida, A.; Hong, B.; Romanowsky, S.M.; Hrabak, E.M.; Harmon, A.C.; Pickard, B.C.; Harper, J.F. Subcellular targeting of nine calcium-dependent protein kinase isoforms from Arabidopsis. Plant Physiol. 2003, 132, 1840–1848. [Google Scholar] [CrossRef] [PubMed]
 - Cheng, S.H.; Willmann, M.R.; Chen, H.C.; Sheen, J. Calcium signaling through protein kinases. The Arabidopsis calcium-dependent protein kinase gene family. Plant Physiol. 2002, 129, 469–485. [Google Scholar] [CrossRef]
 - Asano, T.; Tanaka, N.; Yang, G.X.; Hayashi, N.; Komatsu, S. Genome-wide identification of the rice calcium-dependent protein kinase and its closely related kinase gene families: Comprehensive analysis of the CDPKs gene family in rice. Plant Cell Physiol. 2005, 46, 356–366. [Google Scholar] [CrossRef]
 - Ray, S.; Agarwal, P.; Arora, R.; Kapoor, S.; Tyagi, A.K. Expression analysis of calcium-dependent protein kinase gene family during reproductive development and abiotic stress conditions in rice (Oryza sativa L. ssp. indica). Mol. Genet. Genomics 2007, 278, 493–505. [Google Scholar] [CrossRef]
 - Li, A.L.; Zhu, Y.F.; Tan, X.M.; Wang, X.; Wei, B.; Guo, H.Z.; Zhang, Z.L.; Chen, X.B.; Zhao, G.Y.; Kong, X.Y.; et al. Evolutionary and functional study of the CDPK gene family in wheat (Triticum aestivum L.). Plant Mol. Biol. 2008, 66, 429–443. [Google Scholar] [CrossRef] [PubMed]
 - Ma, P.D.; Liu, J.Y.; Yang, X.D.; Ma, R. Genome-wide identification of the maize calcium-dependent protein kinase gene family. Appl. Biochem. Biotechnol. 2013, 169, 2111–2125. [Google Scholar] [CrossRef]
 - Li, Y.Y.; Zhang, H.X.; Liang, S.; Chen, X.L.; Liu, J.Y.; Zhang, Y.; Wang, A.X. Identification of CDPK gene family in Solanum habrochaites and its function analysis under stress. Int. J. Mol. Sci. 2022, 23, 4227. [Google Scholar] [CrossRef] [PubMed]
 - Cheng, H.K.; Pan, G.Y.; Zhou, N.; Zhai, Z.K.; Yang, L.Q.; Zhu, H.F.; Cui, X.; Zhao, P.Y.; Zhang, H.F.; Li, X.J.; et al. Calcium-dependent protein kinase 5 (CPK5) positively modulates drought tolerance through phosphorylating ABA-responsive element binding factors in Oilseed rape (Brassica napus L.). Plant Sci. 2022, 315, 111125. [Google Scholar] [CrossRef] [PubMed]
 - Wu, P.; Wang, W.L.; Duan, W.K.; Li, Y.; Hou, X.L. Comprehensive Analysis of the CDPK-SnRK superfamily genes in Chinese cabbage and its evolutionary implications in plants. Front. Plant Sci. 2017, 8, 162. [Google Scholar] [CrossRef]
 - Zhao, L.N.; Shen, L.K.; Zhang, W.Z.; Zhang, W.; Wang, Y.; Wu, W.H. Ca2+-dependent protein kinase11 and 24 modulate the activity of the inward rectifying K+ channels in Arabidopsis pollen tubes. Plant Cell 2013, 25, 649–661. [Google Scholar] [CrossRef] [PubMed]
 - Liu, H.L.; Che, Z.J.; Zeng, X.R.; Zhou, X.Q.; Sitoe, H.M.; Wang, H.; Yu, D.Y. Genome-wide analysis of calcium-dependent protein kinases and their expression patterns in response to herbivore and wounding stresses in soybean. Funct. Integr. Genomics 2016, 16, 481–493. [Google Scholar] [CrossRef] [PubMed]
 - Li, W.G.; Komatsu, S. Cold stress-induced calcium-dependent protein kinase(s) in rice (Oryza sativa L.) seedling stem tissues. Theor. Appl. Genet. 2000, 101, 355–363. [Google Scholar] [CrossRef]
 - Giammaria, V.; Grandellis, C.; Bachmann, S.; Gargantini, P.R.; Feingold, S.E.; Bryan, G.; Ulloa, R.M. StCDPK2 expression and activity reveal a highly responsive potato calcium-dependent protein kinase involved in light signalling. Planta 2011, 233, 593–609. [Google Scholar] [CrossRef] [PubMed]
 - Zou, J.J.; Wei, F.J.; Wang, C.; Wu, J.J.; Ratnasekera, D.; Liu, W.X.; Wu, W.H. Arabidopsis calcium-dependent protein kinase CPK10 functions in abscisic acid and Ca2+-mediated stomatal regulation in response to drought stress. Plant Physiol. 2010, 154, 1232–1243. [Google Scholar] [CrossRef]
 - Jing, X.; Tian, Y.S.; Peng, R.H.; Xiong, A.S.; Zhu, B.; Jin, X.F.; Gao, F.; Fu, X.Y.; Hou, X.L.; Yao, Q.H. AtCPK6, a functionally redundant and positive regulator involved in salt/drought stress tolerance in Arabidopsis. Planta 2010, 231, 1251–1260. [Google Scholar]
 - Najar, M.A.; Rex, D.A.B.; Modi, P.K.; Agarwal, N.; Dagamajalu, S.; Karthikkeyan, G.; Vijayakumar, M.; Chatterjee, A.; Sankar, U.; Prasad, T.S.K. A complete map of the Calcium/calmodulin-dependent protein kinase kinase 2 (CAMKK2) signaling pathway. J. Cell Commun. Signal. 2021, 15, 283–290. [Google Scholar] [CrossRef]
 - Harmon, A.C.; Gribskov, M.; Harper, J.F. CDPKs-a kinase for every Ca2+ signal? Trends Plant Sci. 2000, 5, 154–159. [Google Scholar] [CrossRef] [PubMed]
 - Pérez-García, E.A.; Meave, J.A. Heterogeneity of xerophytic vegetation of limestone outcrops in a tropical deciduous forest region in southern México. Plant Ecol. 2005, 175, 147–163. [Google Scholar] [CrossRef]
 - Wang, Q.; Yu, F.F.; Xie, Q. Balancing growth and adaptation to stress: Crosstalk between brassinosteroid and abscisic acid signaling. Plant Cell Environ. 2020, 43, 2325–2335. [Google Scholar] [CrossRef]
 - Wu, P.; Zhou, H.; Cui, Y.C.; Zhao, W.J.; Hou, Y.J.; Tan, C.J.; Yang, G.N.; Ding, F. Stoichiometric characteristics of leaf, litter and soil during vegetation succession in Maolan National Nature Reserve, Guizhou, China. Sustainability 2022, 14, 16517. [Google Scholar] [CrossRef]
 - Atif, R.M.; Shahid, L.; Waqas, M.; Ali, B.; Rashic, M.A.R.; Azzem, F.; Nawaz, M.A.; Wani, S.H.; Chuang, G. Insights on calcium-dependent protein kinases (CPKs) signaling for abiotic stress tolerance in plants. Int. J. Mol. Sci. 2019, 20, 5298. [Google Scholar] [CrossRef]
 - Luo, Y.; Shi, C.; Yang, S.; Liu, Y.; Zhao, S.; Zhang, C. Characteristics of soil calcium content distribution in karst dry-hot valley and its influencing factors. Water 2023, 15, 1119. [Google Scholar] [CrossRef]
 - Sanders, D.; Pelloux, J.; Brownlee, C.; Harper, J.F. Calcium at the crossroads of signaling. Plant Cell. 2023, 14, S401–S417. [Google Scholar] [CrossRef]
 - Ranty, B.; Aldon, D.; Cotelle, V.; Galaud, J.P.; Thuleau, P.; Mazars, C. Calcium sensors as key hubs in plant responses to biotic and abiotic stresses. Front. Plant Sci. 2016, 7, 327. [Google Scholar] [CrossRef] [PubMed]
 - Wang, C.; Tang, R.J.; Kou, S.; Xu, S.; Lu, Y.; Rauscher, K.; Voelker, A.; Luan, S. Mechanisms of calcium homeostasis orchestrate plant growth and immunity. Nature 2024, 627, 382–388. [Google Scholar] [CrossRef]
 - Hirschi, K.D. The calcium conundrum. Both versatile nutrient and specific signal. Plant Physiol. 2004, 136, 2438–2442. [Google Scholar] [CrossRef]
 - Kihana, M.; Yamagami, M. Inhibitory effect of calcium on caesium absorption in plant roots. Radiat. Prot. Dosim. 2022, 198, 1120–1124. [Google Scholar] [CrossRef] [PubMed]
 - Negi, N.P.; Prakash, G.; Narwal, P.; Panwar, R.; Kumar, D.; Chaudhry, B.; Rustagi, A. The calcium connection: Exploring the intricacies of calcium signaling in plant-microbe interactions. Front. Plant Sci. 2023, 14, 1248648. [Google Scholar] [CrossRef] [PubMed]
 - Tiffany, Y.D.; Marie, B. Properties and functions of calcium-dependent protein kinases and their relatives in Arabidopsis thaliana. New Phytol. 2019, 224, 585–604. [Google Scholar]
 - Weckwerth, P.; Ehlert, B.; Romeis, T. ZmCPK1, a calcium-independent kinase member of the Zea mays CDPK gene family, functions as a negative regulator in cold stress signalling. Plant Cell Environ. 2015, 38, 544–558. [Google Scholar] [CrossRef] [PubMed]
 - Zhang, Y.J.; Bai, D.F.; Muhammad, A.; Li, Z.; Fang, J.B.; Zhong, Y.P. Identification of CDPK family genes and their response to abiotic stress in Actinidia valvata. J. Fruit Sci. 2021, 38, 1653–1667. [Google Scholar]
 - Zhao, Y.L.; Du, H.W.; Wang, Y.K.; Wang, H.L.; Yang, S.Y.; Li, C.H.; Chen, N.; Yang, H.; Zhang, Y.H.; Zhu, Y.L.; et al. The calcium-dependent protein kinase ZmCDPK7 functions in heat-stress tolerance in maize. J. Integr. Plant Biol. 2021, 63, 510–527. [Google Scholar] [CrossRef] [PubMed]
 - Gong, L.S.; Xiang, Z.X.; Wang, Z.; Lu, M.; An, H.M. Identification of CDPK family genes in Cili (Rosa roxburghii Tratt.) and its expression in response to calcium levels. J. Fruit Sci. 2023, 40, 639–652. [Google Scholar]
 - Zhao, J.; Zhu, K.K.; Fan, P.H.; Tan, P.P.; Peng, F.R.; Li, Y.R. Identification and ex-pression analysis of CDPK gene family in pecan (Carya illinoinensis) and Chinese hickory (Carya cathayensis). J Agric. Biotechnol. 2022, 30, 442–456. [Google Scholar]
 - Zhang, K.; Han, Y.T.; Zhao, F.L.; Hu, Y.; Gao, Y.R.; Ma, Y.F.; Zheng, Y.; Wang, Y.J.; Wen, Y.Q. Genome-wide identification and expression analysis of the CDPK gene family in Grape, Vitis spp. BMC Plant Biol. 2015, 15, 164. [Google Scholar] [CrossRef] [PubMed]
 - Myers, C.; Romanowsky, S.; Barron, Y.; Garg, S.; Azuse, C.; Curran, A.; Davis, R.; Hatton, J.; Harmon, A.; Harper, J. Calcium dependent protein kinases regulate polarized tip growth in pollen tubes. Plant J. 2009, 59, 528–539. [Google Scholar] [CrossRef] [PubMed]
 - Yu, W.W.; Chen, Q.F.; Liao, K.; Zhou, D.M.; Yang, Y.C.; He, M.; Yu, L.J.; Guo, D.Y.; Xiao, S.; Xie, R.H.; et al. The calcium-dependent protein kinase CPK16 regulates hypoxia-induced ROS production by phosphorylating the NADPH oxidase RBOHD in Arabidopsis. Plant Cell 2024, 36, 3451–3466. [Google Scholar] [CrossRef] [PubMed]
 - Du, H.; Chen, J.J.; Zhan, H.Y.; Li, S.; Wang, Y.S.; Wang, W.; Hu, X.L. The roles of CDPKs as a convergence point of different signaling pathways in maize adaptation to abiotic stress. Int. J. Mol. Sci. 2023, 24, 2325. [Google Scholar] [CrossRef]
 - Yue, J.Y.; Jiao, J.L.; Wang, W.W.; Jie, X.R.; Wang, H.Z. Silencing of the calcium-dependent protein kinase TaCDPK27 improves wheat resistance to powdery mildew. BMC Plant Biol. 2023, 23, 134. [Google Scholar] [CrossRef]
 - Klimecka, M.; Muszyńska, G. Structure and functions of plant calcium-dependent protein kinases. Acta Biochim. Pol. 2007, 54, 219–233. [Google Scholar] [CrossRef]
 - Shi, S.; Li, S.; Asim, M.; Mao, J.; Xu, D.; Ullah, Z.; Liu, G.; Wang, Q.; Liu, H. The Arabidopsis calcium-dependent protein kinases (CDPKs) and their roles in plant growth regulation and abiotic stress responses. Int. J. Mol. Sci. 2018, 19, 1900. [Google Scholar] [CrossRef] [PubMed]
 - Liu, C.; Huang, Y.; Wu, F.; Liu, W.J.; Ning, Y.Q.; Huang, Z.R.; Tang, S.Q.; Liang, Y. Plant adaptability in karst regions. J. Plant Res. 2021, 134, 889–906. [Google Scholar] [CrossRef]
 - Meng, W.P.; Ran, J.C.; Dai, Q.H.; Tu, N.; Leng, T.J.; Ren, Q.Q. Morphological and physiological adaptation characteristics of lithophytic bryophytes to karst high calcium environment. BMC Plant Biol. 2023, 23, 160. [Google Scholar] [CrossRef] [PubMed]
 - Xu, C.; Yang, H.; Huang, C.; Lan, M.; Zou, Z.; Zhang, F.; Zhang, L. Interaction mechanism of Fe, Mg and Mn in karst soil-mango system. Land 2023, 12, 256. [Google Scholar] [CrossRef]
 - Chen, C.; Wu, Y.; Li, J.; Wang, X.; Zeng, Z.; Xu, J.; Liu, Y.; Feng, J.; Chen, H.; He, Y.; et al. TBtools-II: A “one for all, all for one” bioinformatics platform for biological big-data mining. Mol. Plant 2023, 16, 1733–1742. [Google Scholar] [CrossRef] [PubMed]
 - Kumar, S.; Stecher, G.; Tamura, K. MEGA7: Molecular evolutionary genetics analysis version 7.0 for bigger datasets. Mol. Biol. Evol. 2016, 33, 1870–1874. [Google Scholar] [CrossRef]
 - Waterhouse, A.; Bertoni, M.; Bienert, S.; Studer, G.; Tauriello, G.; Gumienny, R.; Heer, F.T.; Beer, T.A.P.; Rempfer, C.; Bordoli, L.; et al. SWISS-MODEL: Homology modelling of protein structures and complexes. Nucleic Acids Res. 2018, 46, W296–W303. [Google Scholar] [CrossRef]
 - Gouet, P.; Courcelle, E.; Stuart, D.I.; Métoz, F. ESPript: Analysis of multiple sequence alignments in PostScript. Bioinformatics 1999, 15, 305–308. [Google Scholar] [CrossRef]
 - Bailey, T.L.; Boden, M.; Buske, F.A.; Frith, M.; Grant, C.E.; Clementi, L.; Ren, J.; Li, W.W.; Noble, W.S. MEME SUITE: Tools for motif discovery and searching. Nucleic Acids Res. 2009, 37, W202–W208. [Google Scholar] [CrossRef] [PubMed]
 - Lescot, M.; Déhais, P.; Thijs, G.; Marchal, K.; Moreau, Y.; Peer, Y.V.; Rouzé, P.; Rombauts, S. PlantCARE, a database of plant cis-acting regulatory elements and a portal to tools for in silico analysis of promoter sequences. Nucleic Acids Res. 2002, 1, 325–327. [Google Scholar] [CrossRef] [PubMed]
 - Schmittgen, T.D.; Livak, K.J. Analyzing real-time PCR data by the comparative C-T method. Nat. Protoc. 2008, 3, 1101–1108. [Google Scholar] [CrossRef]
 








| Protein Name | Number of Amino Acids | Molecular Weight | pI | Instability Index | Aliphatic Index | Grand Average of Hydropathicity | 
|---|---|---|---|---|---|---|
| YhCDPK1 | 602 | 67,249.64 | 5.51 | 43.05 | 78.7 | −0.44 | 
| YhCDPK2 | 530 | 58,692.7 | 5.74 | 37.97 | 78.42 | −0.443 | 
| YhCDPK3 | 535 | 60,240.61 | 5.87 | 43.45 | 80.93 | −0.46 | 
| YhCDPK4 | 525 | 58,273.19 | 5.76 | 40.91 | 78.42 | −0.471 | 
| YhCDPK5 | 533 | 59,912.38 | 5.8 | 36.95 | 81.97 | −0.422 | 
| YhCDPK6 | 441 | 50,032.17 | 5.41 | 42.37 | 84.26 | −0.428 | 
| YhCDPK7 | 534 | 60,278.81 | 6.12 | 36.97 | 80.71 | −0.47 | 
| YhCDPK8 | 466 | 52,628.88 | 5.54 | 35.02 | 82.88 | −0.496 | 
| YhCDPK9 | 501 | 56,513.36 | 5.12 | 49.17 | 83.29 | −0.36 | 
| YhCDPK10 | 538 | 60,856.17 | 8.99 | 40.48 | 83.03 | −0.538 | 
| YhCDPK11 | 545 | 61,560.88 | 5.86 | 35.1 | 88.37 | −0.321 | 
| YhCDPK12 | 495 | 55,914.98 | 5.31 | 45.07 | 82.93 | −0.359 | 
| YhCDPK13 | 542 | 61,665.74 | 6.28 | 40.99 | 86.49 | −0.426 | 
| YhCDPK14 | 526 | 59,600.81 | 6.07 | 39.09 | 78.78 | −0.506 | 
| YhCDPK15 | 465 | 52,777.19 | 5.66 | 33.02 | 85.33 | −0.472 | 
| YhCDPK16 | 559 | 63,319.09 | 5.85 | 39.76 | 81.65 | −0.5 | 
| YhCDPK17 | 518 | 58,311.36 | 6.1 | 39.06 | 76.99 | −0.52 | 
| YhCDPK18 | 558 | 62,365.73 | 5.38 | 36.36 | 85.65 | −0.351 | 
| YhCDPK19 | 509 | 57,228.58 | 5.71 | 40.31 | 92.16 | −0.207 | 
| YhCDPK20 | 528 | 59,336.82 | 6.36 | 41.37 | 85.3 | −0.424 | 
| YhCDPK21 | 538 | 60,920.52 | 6.07 | 38.19 | 84.63 | −0.485 | 
| YhCDPK22 | 580 | 65,976.58 | 6.57 | 43.41 | 81 | −0.448 | 
| YhCDPK23 | 507 | 55,875.89 | 5.61 | 38.23 | 88.3 | −0.264 | 
| YhCDPK24 | 534 | 60,492.57 | 6.98 | 35.41 | 87.98 | −0.41 | 
| YhCDPK25 | 624 | 69,883.56 | 5.31 | 51.1 | 77.79 | −0.476 | 
| YhCDPK26 | 541 | 60,410.49 | 6.03 | 38.33 | 77.93 | −0.501 | 
| YhCDPK27 | 549 | 61,660.96 | 5.24 | 43.35 | 85.94 | −0.351 | 
| YhCDPK28 | 560 | 63,442.26 | 9.38 | 37.09 | 77.36 | −0.617 | 
| Sample Names | Clean-Read Pairs | Clean Base (bp) | GC Content (%) | Q30 (%) | 
|---|---|---|---|---|
| YH-Ca-CK-1 | 21,258,380 | 6,377,514,000 | 46.7; 46.7 | 89.4; 87.3 | 
| YH-Ca-CK-2 | 35,431,915 | 10,629,574,500 | 46.6; 46.6 | 89.5; 89.1 | 
| YH-Ca-CK-3 | 29,021,207 | 8,706,362,100 | 46.8; 46.8 | 90.5; 90.1 | 
| YH-Ca-10-1 | 58,229,850 | 17,468,955,000 | 47.3; 47.3 | 89.3; 87.8 | 
| YH-Ca-10-2 | 24,503,299 | 7,350,989,700 | 48.1; 48.1 | 89.1; 88.6 | 
| YH-Ca-10-3 | 32,249,122 | 9,674,736,600 | 46.7; 46.7 | 89.7; 88.9 | 
| YH-Ca-25-1 | 20,897,225 | 6,269,167,500 | 46.5; 46.6 | 89.1; 87.3 | 
| YH-Ca-25-2 | 27,215,871 | 8,164,761,300 | 47.1; 47.1 | 88.5; 87.9 | 
| YH-Ca-25-3 | 29,353,856 | 8,806,156,800 | 46.8; 46.8 | 89.8; 90.3 | 
| YH-Ca-50-1 | 22,168,875 | 6,650,662,500 | 46.7; 46.8 | 89.6; 88.0 | 
| YH-Ca-50-2 | 18,451,277 | 5,535,383,100 | 46.8; 46.8 | 89.4; 88.3 | 
| YH-Ca-50-3 | 25,689,220 | 7,706,766,000 | 47.3; 47.4 | 88.0; 86.5 | 
| YH-Ca-100-1 | 28,663,857 | 8,599,157,100 | 46.4; 46.4 | 88.6; 87.7 | 
| YH-Ca-100-2 | 29,881,370 | 8,964,411,000 | 46.3; 46.4 | 89.4; 87.8 | 
| YH-Ca-100-3 | 24,022,241 | 7,206,672,300 | 46.9; 46.9 | 89.5; 87.5 | 
Disclaimer/Publisher’s Note: The statements, opinions and data contained in all publications are solely those of the individual author(s) and contributor(s) and not of MDPI and/or the editor(s). MDPI and/or the editor(s) disclaim responsibility for any injury to people or property resulting from any ideas, methods, instructions or products referred to in the content.  | 
© 2025 by the authors. Licensee MDPI, Basel, Switzerland. This article is an open access article distributed under the terms and conditions of the Creative Commons Attribution (CC BY) license (https://creativecommons.org/licenses/by/4.0/).
Share and Cite
An, L.; Fang, H.; Zhang, X.; Tang, J.; Gong, J.; Yi, Y.; Tang, M. Genome-Wide Identification and Characterization of the CDPK Family of Genes and Their Response to High-Calcium Stress in Yinshania henryi. Genes 2025, 16, 109. https://doi.org/10.3390/genes16010109
An L, Fang H, Zhang X, Tang J, Gong J, Yi Y, Tang M. Genome-Wide Identification and Characterization of the CDPK Family of Genes and Their Response to High-Calcium Stress in Yinshania henryi. Genes. 2025; 16(1):109. https://doi.org/10.3390/genes16010109
Chicago/Turabian StyleAn, Liangfeng, Huihui Fang, Ximin Zhang, Jing Tang, Jiyi Gong, Yin Yi, and Ming Tang. 2025. "Genome-Wide Identification and Characterization of the CDPK Family of Genes and Their Response to High-Calcium Stress in Yinshania henryi" Genes 16, no. 1: 109. https://doi.org/10.3390/genes16010109
APA StyleAn, L., Fang, H., Zhang, X., Tang, J., Gong, J., Yi, Y., & Tang, M. (2025). Genome-Wide Identification and Characterization of the CDPK Family of Genes and Their Response to High-Calcium Stress in Yinshania henryi. Genes, 16(1), 109. https://doi.org/10.3390/genes16010109
        
