New Insights into the Molecular Evolution of Tapirus pinchaque (Tapiridae, Perissodactyla) and the Rise and Fall of Tapirus kabomani as a Full Species
Abstract
1. Introduction
2. Material and Methods
2.1. Samples
2.2. Molecular Procedures
2.3. Mathematical Population Analyses
2.3.1. Phylogenetics and Population Genetics Procedures
2.3.2. Genetic Diversity Statistics
2.3.3. Spatial Genetic Structure in T. pinchaque
2.3.4. Possible Historical Demographic Changes in T. pinchaque
3. Results
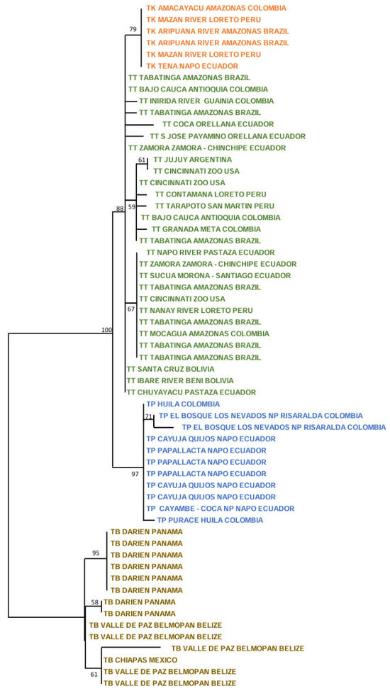
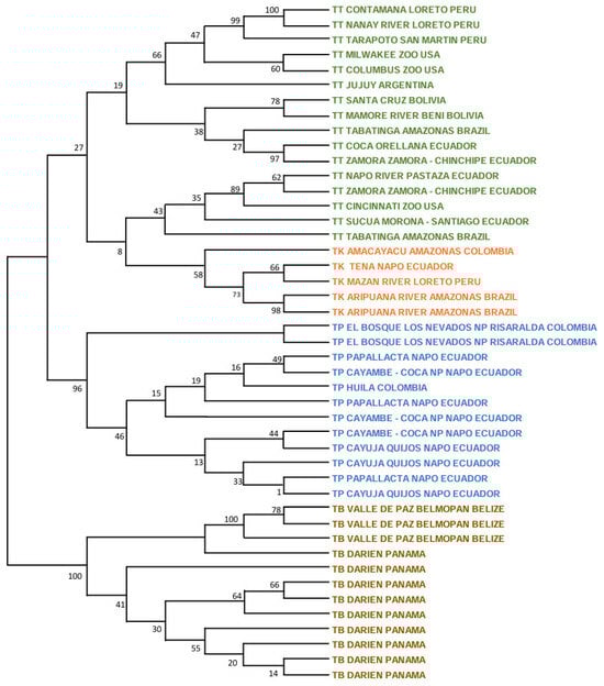
3.1. Phylogenetics of the Neotropical Tapirs
3.2. Genetic Diversity in the Neotropical Tapirs
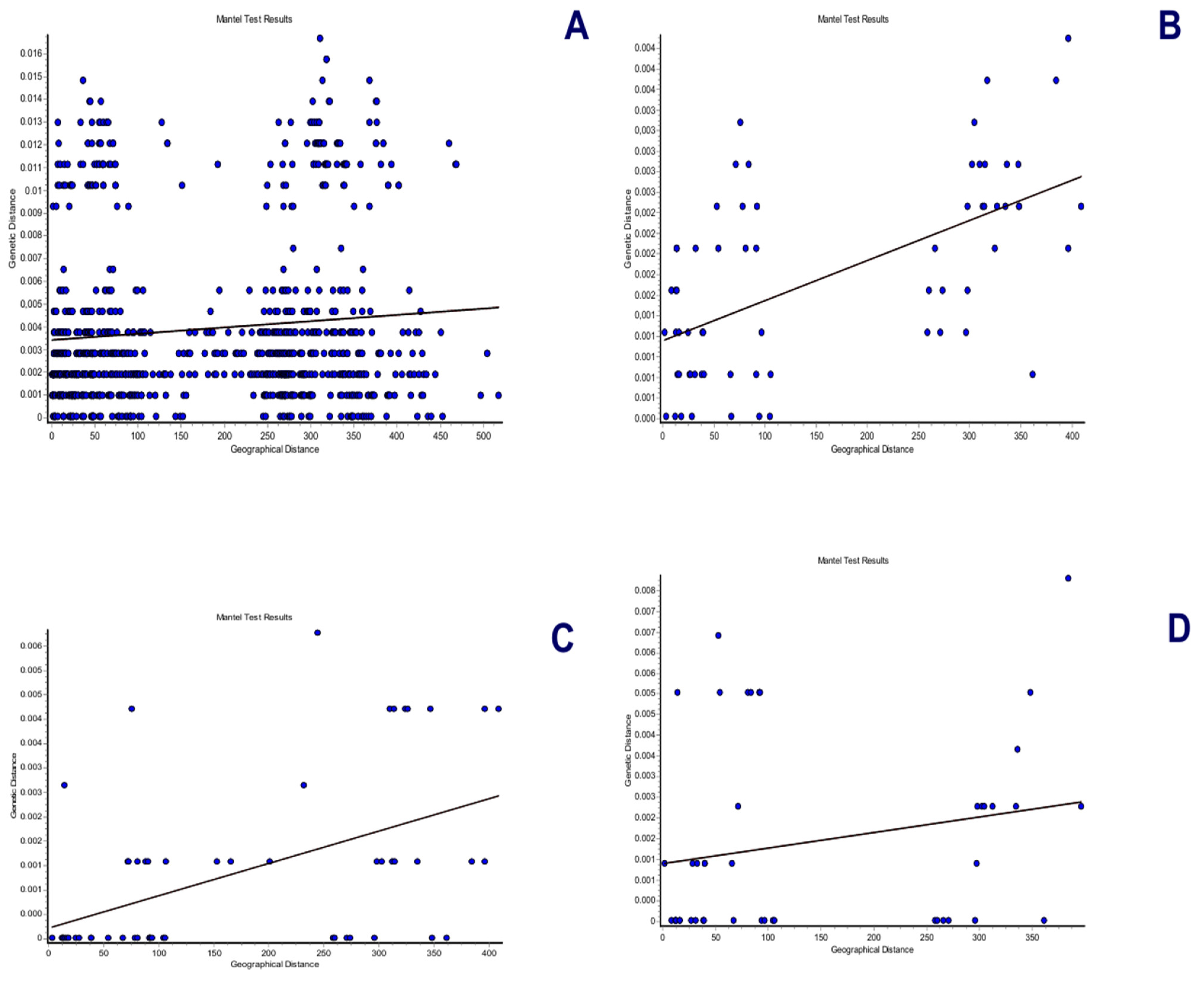
3.3. Spatial Genetic Patterns in T. pinchaque
3.4. Possible Demographic Changes in T. pinchaque
4. Discussion
4.1. Some Phylogenetic Inferences of the Neotropical Tapirs
4.2. The Inexistence of T. kabomani as a Full Species
4.3. Genetic Diversity and Spatial Structure in T. pinchaque
4.4. Demographic Changes
Author Contributions
Funding
Institutional Review Board Statement
Informed Consent Statement
Data Availability Statement
Acknowledgments
Conflicts of Interest
References
- Meffe, G.K.; Carroll, C.R. Principles of Conservation Biology, 2nd ed.; Sinauer Associates, INC. Publishers: Sunderland, MA, USA, 1997. [Google Scholar]
- Pimm, S.L. The Balance of Nature? Ecological Issues in the Conservation of Species and Communities; University of Chicago Press: Chicago, IL, USA, 1991. [Google Scholar]
- Brooks, D.M.; Bodmer, R.E.; Matola, S. Tapir-Status Survey and Conservation Action Plan. IUCN/SSC Tapir Specialist Group, IUCN: Gland, Switzerland, 1997. [Google Scholar]
- Cozzuol, M.A.; Clozato, C.L.; Holanda, E.C.; Rodrigues, F.H.G.; Nienow, S.; Thoisy, B.; Redondo, R.A.F.; Santos, F.R. A new species of tapir from the Amazon. J. Mammal. 2013, 94, 1331–1345. [Google Scholar] [CrossRef]
- Cozzuol, M.A.; de Thoisy, B.; Fernandes-Ferreira, H.; Rodrigues, F.H.G.; Santos, F.R. How much evidence is enough evidence for a new species? J. Mammal. 2014, 95, 899–905. [Google Scholar] [CrossRef]
- Voss, R.S.; Helgen, K.M.; Jansa, S.A. Extraordinary claims require extraordinary evidence: A comment on Cozzuol et al. (2013). J. Mammal. 2014, 95, 893–898. [Google Scholar] [CrossRef]
- Ruiz-García, M.; Castellanos, A.; Bernal, L.A.; Navas, D.; Pinedo-Castro, M.; Shostell, J.M. Mitochondrial gene diversity of the mega-herbivorous species of the genus Tapirus (Tapiridae, Perissodactyla) in South America and some insights on their genetics conservation, systematics and the Pleistocene influence on their genetic characteristics. Adv. Genet. Res. 2015, 14, 1–51. [Google Scholar]
- Ruiz-García, M.; Castellanos, A.; Bernal, L.A.; Pinedo-Castro, M.; Kaston, F.; Shostell, J.M. Mitogenomics of the mountain tapir (Tapirus pinchaque, Tapiridae, Perissodactyla, Mammalia) in Colombia and Ecuador: Phylogeography and insights into the origin and systematics of the South American tapirs. Mammal. Biol. 2016, 81, 163–175. [Google Scholar] [CrossRef]
- Ruiz-García, M.; Vásquez, C.; Sandoval, S.; Kaston, F.; Luengas-Villamil, K.; Shostell, J.M. Phylogeography and spatial structure of the lowland tapir (Tapirus terrestris, Perissodactyla: Tapiridae) in South America. Mitochondrial DNA Part A 2016, 27, 2334–2342. [Google Scholar] [CrossRef]
- Cuvier, M. Le Baron. Rapport sur un memoire de M. Roulin, ayant pour objet la decouverte d’une nouvelle espece de tapir dans l’Amerique du Sud, fait a l’Academie Royal des Sciences. Ann. Des. Sci. Nat. Paris 1829, 17, 107–112. [Google Scholar]
- Downer, C.C. Observations on the diet and habitat of the mountain tapir (Tapirus pinchaque). J. Zool. 2001, 254, 279–291. [Google Scholar] [CrossRef]
- Cavelier, J.; Lizcano, D.; Yerena, E.; Downer, C. The mountain tapir (Tapirus pin chaque) and Andean bear (Tremarctos ornatus): Two charismatic, large mammals in South American tropical montane cloud forests. In Tropical Montane Cloud Forests: Science for Conservation and Management; Bouijnacel, L.A., Scabena, F.N., Hamilton, L.S., Eds.; Cambridge University Press: Cambridge, MA, USA, 1997; pp. 172–181. [Google Scholar]
- Lizcano, D.J.V.; Pizarro, J.; Cavelier, J.; Carmona, J. Geographic distribution and population size of the mountain tapir (Tapirus pinchaque) in Colombia. J. Biogeogr. 2002, 28, 1–9. [Google Scholar] [CrossRef]
- Grimwood, I.R. Notes on the Distribution and Status of Some Peruvian Mammals; American Committee for International Wildlife Protection and New York Zoological Society, New York, Special Publication: New York, NY, USA, 1969; Volume 21, pp. 1–86. [Google Scholar]
- Mittermeier, R.A.; Macedo Ruiz, H.; Luscombe, A. A wooly monkey rediscovered in Peru. Oryx 1975, 13, 41–46. [Google Scholar] [CrossRef]
- Lizcano, D.J.; Guarnizo, A.; Suárez, J.; Flores, F.K.; Montenegro, O. Danta de páramo Tapirus pinchaque. In Libro Rojo de los Mamíferos de Colombia. Serie Libros Rojos de Especies Amenazadas de Colombia; Rodríguez-M, J.V., Alberico, M., Trujillo, F., Jorgenson, J., Eds.; Conservación Internacional Colombia, Ministerio de Ambiente, Vivienda y Desarrollo Territorial: Bogotá, Colombia, 2006; 173p. [Google Scholar]
- Tirira, D. Libro Rojo de los Mamíferos del Ecuador. Publicación Especial de los Mamíferos del Ecuador No. 8; Pontificia Universidad Católica del Ecuador and Ministerio de Medio Ambiente: Quito, Ecuador, 2011.
- Hershkovitz, P. Mammals of Northern Colombia. Preliminary Report no. 7. Tapirs (genus Tapirus), with a systematic review of American species. Proc. United States Natl. Mus. 1954, 103, 465–496. [Google Scholar] [CrossRef][Green Version]
- Hershkovitz, P. Mice, land bridges and Latin American faunal interchange. In Ectoparasites of Panama; Wenzel, R.L., Tipton, V.J., Eds.; Field Museum of Natural History: Chicago, IL, USA, 1966; pp. 725–751. [Google Scholar]
- Haffer, J. Geologic-climatic history and zoogeographic significance of the Urabá region in northwestern Colombia. Caldasia 1970, 10, 603–636. [Google Scholar]
- Hatcher, J.B. Recent and fossil tapirs. Am. J. Sci. 1896, 1, 161–168. [Google Scholar] [CrossRef]
- Simpson, G.G. Notes on Pleistocene and recent tapirs. Bull. Amer. Mus. Nat. Hist. 1945, 86, 39–81. [Google Scholar]
- Ashley, M.V.; Norman, J.E.; Stross, L. Phylogenetic analysis of the periossodactylan family Tapiridae using mitochondrial cytochrome c oxidase (COII) sequences. J. Mammal. Evol. 1996, 3, 315–326. [Google Scholar] [CrossRef]
- Norman, J.; Ashley, M. Phylogenetics of Peryssodactyla and tests of the molecular clock. J. Mol. Evol. 2000, 50, 11–21. [Google Scholar] [CrossRef]
- Ruiz-García, M.; Vásquez, C.; Pinedo-Castro, M.; Sandoval, S.; Kaston, F.; Thoisy, B.; Shostell, J.M. Phylogeography of the mountain tapir (Tapirus pinchaque) and the Central American tapir (Tapirus bairdii) and the molecular origins of the three South American tapirs. In Current Topics in Phylogenetics and Phylogeography of Terrestrial and Aquatic Systems; Anamthawat-Jónsson, K., Ed.; InTech: Rijeka, Croatia, 2012; pp. 83–116. [Google Scholar]
- Steiner, C.C.; Ryder, O.A. Molecular phylogeny and evolution of Perissodactyla. Zool. J. Linnean Soc. 2011, 163, 1289–1303. [Google Scholar] [CrossRef]
- Willet, C.E.; Cherry, J.J.; Steiner, L.A. Characterization and expression of the recombination activating genes (rag1 and rag2) of zebrafish. Inmunogenetics 1997, 45, 394–404. [Google Scholar] [CrossRef]
- Hansen, J.D.; Kaattari, S.L. The recombination activating gene 2 (RAG2) of the rainbow trout Oncorhynchus mykiss. Immunogenetics 1996, 44, 203–211. [Google Scholar] [CrossRef]
- Chiari, Y.; van der Meijden, A.; Madsen, O.; Vences, M.; Meyer, A. Base composition, selection, and phylogenetic significance of indels in the recombination activating gene-1 in vertebrates. Front. Zool. 2009, 6, 32. [Google Scholar] [CrossRef]
- Baker, M.; Wares, J.P.; Harrison, G.A.; Miller, R.D. Relationships Among the Families and Orders of Marsupials and the Major Mammalian Lineages Based on Recombination Activating Gene-1. J. Mammal. Evol. 2004, 11, 1–16. [Google Scholar] [CrossRef]
- Sullivan, J.P.; Lundberg, J.G.; Hardman, M. A phylogenetic analysis of the major groups of catfishes (Teleostei: Siluriformes) using rag1 and rag2 nuclear gene sequences. Mol. Phylogenet. Evol. 2006, 41, 636–662. [Google Scholar] [CrossRef] [PubMed]
- DeBry, R.W.; Sagel, R.M. Phylogeny of Rodentia (Mammalia) Inferred from the Nuclear-Encoded Gene IRBP. Mol. Phylogenet. Evol. 2001, 19, 290–301. [Google Scholar] [CrossRef] [PubMed]
- Stanhope, M.J.; Czelusniak, J.; Si, J.-S.; Nickerson, J.; Goodman, M. A molecular perspective on mammalian evolution from the gene encoding interphotoreceptor retinoid binding protein, with convincing evidence for bat monophyly. Mol. Phylogenet. Evol. 1992, 1, 148–160. [Google Scholar] [CrossRef] [PubMed]
- Stanhope, M.J.; Smith, M.R.; Waddell, V.G.; Porter, C.A.; Shivji, M.S.; Goodman, M. Mammalian evolution and the interphotoreceptor retinoid binding protein (IRBP) gene: Convincing evidence for several superordinal clades. J. Mol. Evol. 1996, 43, 83–92. [Google Scholar] [CrossRef]
- Springer, M.S.; Burk, A.; Kavanagh, J.R.; Waddell, V.G.; Stanhope, M.J. The interphotoreceptor retinoid binding protein gene in therian mammals: Implications for higher level relationships and evidence for loss of function in the marsupial mole. Proc. Natl. Acad. Sci. USA 1997, 94, 13754–13759. [Google Scholar] [CrossRef]
- Jansa, S.A.; Weksler, M. Phylogeny of muroid rodents: Relationships within and among major lineages as determined by IRBP gene sequences. Mol. Phylogenet. Evol. 2004, 31, 256–276. [Google Scholar] [CrossRef]
- Huttley, G.A. Modeling the Impact of DNA Methylation on the Evolution of BRCA1 in Mammals. Mol. Biol. Evol. 2004, 21, 1760–1768. [Google Scholar] [CrossRef][Green Version]
- Mullen, P.; Miller, W.R.; Mackay, J.; Fitzpatrick, D.R.; Langdon, S.P.; Warner, J.P. BRCA1 5382insC mutation in sporadic and familial breast and ovarian carcinoma in Scotland. Br. J. Cancer. 1997, 75, 1377–1380. [Google Scholar] [CrossRef] [PubMed][Green Version]
- Adkins, R.M.; Walton, A.H.; Honeycutt, R.L. Higher-level systematics of rodents and divergence time estimates based on two congruent nuclear genes. Mol. Phylogenet. Evol. 2003, 26, 409–420. [Google Scholar] [CrossRef]
- O’Connell, M.J. Selection and the Cell Cycle: Positive Darwinian Selection in a Well-Known DNA Damage Response Pathway. J. Mol. Evol. 2010, 71, 444–457. [Google Scholar] [CrossRef] [PubMed]
- Lou, D.I.; McBee, R.M.; Le, U.Q.; Stone, A.C.; Wilkerson, G.K.; Demogines, A.M.; Sawyer, S.L. Rapid evolution of BRCA1 and BRCA2 in humans and other primates. BMC Evol. Biol. 2014, 14, 155. [Google Scholar] [CrossRef] [PubMed]
- Madsen, O.; Scally, M.; Douady, C.J.; Kao, D.J.; Debry, R.W.; Adkins, R.; Amrine, H.M.; Stanhope, M.J.; de Jong, W.W.; Springer, M.S. Parallel adaptative radiations in two major clades of placental mammals. Nature 2001, 409, 610–614. [Google Scholar] [CrossRef] [PubMed]
- Delsuc, F.; Scally, M.; Madsen, O.; Stanhope, M.J.; de Jong, W.W.; Catzeflis, F.M.; Springer, M.S.; Douzery, E.J.P. Molecular Phylogeny of Living Xenarthrans and the Impact of Character and Taxon Sampling on the Placental Tree Rooting. Mol. Biol. Evol. 2002, 19, 1656–1671. [Google Scholar] [CrossRef] [PubMed][Green Version]
- Voss, R.S.; Jansa, S.A. Phylogenetic Relationships and Classification of Didelphid Marsupials, an Extant Radiation of New World Metatherian Mammals. Bull. Amer. Museum Nat. Hist. 2009, 322, 1–177. [Google Scholar] [CrossRef]
- Voss, R.S.; Gutiérrez, E.E.; Solari, S.; Rossi, R.V.; Jansa, S.A. Phylogenetic Relationships of Mouse Opossums (Didelphidae, Marmosa) with a Revised Subgeneric Classification and Notes on Sympatric Diversity. Amer. Mus. Novitates 2014, 3817, 1–27. [Google Scholar] [CrossRef]
- Bensasson, D.; Zhang, D.-X.; Hartl, D.L.; Hewitt, G.M. Mitochondrial pseudo genes: Evolution’s misplaced witnesses. Trends Ecol. Evol. 2001, 16, 314–321. [Google Scholar] [CrossRef] [PubMed]
- Thalmann, O.; Hebler, J.; Poinar, H.N.; Paabo, S.; Vigilant, L. Unreliable mtDNA data due to nuclear insertions: A cautionary tale from analysis of humans and other apes. Mol. Ecol. 2004, 13, 321–335. [Google Scholar] [CrossRef] [PubMed]
- Teeling, E.C.; Scally, M.; Kao, D.J.; Romagnoli, M.L.; Springer, M.S.; Stanhope, M.J. Molecular evidence regarding the origin of echolocation and flight in bats. Nature 2000, 403, 188–192. [Google Scholar] [CrossRef]
- Lovejoy, N.R.; Collette, B.B. Phylogenetic Relationships of New World Needlefishes (Teleostei: Belonidae) and the Biogeography of Transitions between Marine and Freshwater Habitats. Copeia 2001, 2, 324–338. [Google Scholar] [CrossRef]
- Raterman, D.; Meredith, R.W.; Ruedas, L.A.; Springer, M.S. Phylogenetic relationships of the cuscuses and brushtail possums (Marsupialia: Phalangeridae) using the nuclear gene BRCA1. Austral. J. Zool. 2006, 54, 353–361. [Google Scholar] [CrossRef]
- Darriba, D.; Taboada, G.L.; Doallo, R.; Posada, D. jModelTest2: More models, new heuristics and parallel computing. Nat. Methods 2012, 9, 772. [Google Scholar] [CrossRef] [PubMed]
- Akaike, H. A new look at the statistical model identification. IEEE Trans. Autom. Control. 1974, 19, 716–723. [Google Scholar] [CrossRef]
- Schwarz, G.E. Estimating the dimension of a model. Ann. Stat. 1978, 6, 461–464. [Google Scholar] [CrossRef]
- Stamatakis, A. RAxML version 8: A tool for phylogenetic analysis and post-analysis of large phylogenies. Bioinformatics 2014, 30, 1312–1313. [Google Scholar] [CrossRef] [PubMed]
- Miller, M.A.; Pfeiffer, W.; Schwartz, T. Creating the CIPRES Science Gateway for inference of large phylogenetic trees. In Proceedings of the Gateway Computing Environments Workshop, New Orleans, LA, USA, 14 November 2010; pp. 1–8. [Google Scholar] [CrossRef]
- Stamatakis, A.; Hoover, P.; Rougemont, J. A rapid bootstrap algorithm for the RAxML Web servers. Syst. Biol. 2008, 57, 758–771. [Google Scholar] [CrossRef]
- Bandelt, H.-J.; Forster, P.; Rohl, A. Median-joining networks for inferring intraspecific phylogenies. Mol. Biol. Evol. 1999, 16, 37–48. [Google Scholar] [CrossRef]
- Morral, N.; Bertrantpetit, J.; Estivill, X.; Nunes, V.; Casals, T.; Giménez, J.; Reis, A.; Varon-Mateeva, R.; Macek, M., Jr.; Kalaydjieva, L.; et al. The origin of the major cystic fibrosis mutation (delta F508) in European populations. Nat. Genet. 1994, 7, 169–175. [Google Scholar] [CrossRef]
- Saillard, J.; Forster, P.; Lynnerup, N.; Bandelt, H.-J.; Norby, S. mtDNA variation among Greenland Eskimos: The edge of the Beringian expansion. Amer. J. Hum. Genet. 2000, 67, 718–726. [Google Scholar] [CrossRef]
- Pennington, R.T.; Dick, C.W. Diversification of the Amazonian flora and its relation to key geological and environmental events: A molecular perspective. In Amazonia, Landscape and Species Evolution: A Look into the Past; Hoorn, C., Wesselingh, F., Eds.; Wiley-Blackwell: Oxford, UK, 2010; pp. 373–385. [Google Scholar]
- Nabholz, B.; Glemin, S.; Galtier, N. Strong variations of mitochondrial mutation rate across mammals—The longevity hypothesis. Mol. Biol. Evol. 2008, 25, 120–130. [Google Scholar] [CrossRef]
- Gruber, K.F.; Voss, R.S.; Jansa, S.A. Base-Compositional Heterogeneity in the RAG1 Locus among Didelphid Marsupials: Implications for Phylogenetic Inference and the Evolution of GC Content. Syst. Biol. 2007, 56, 83–96. [Google Scholar] [CrossRef] [PubMed]
- Pavlicek, A.; Noskov, V.N.; Kouprina, N.; Barrett, J.C.; Jurka, J.; Larionov, V. Evolution of the tumor suppressor BRCA1 locus in primates: Implications for cancer predisposition. Hum. Mol. Genet. 2004, 13, 2737–2751. [Google Scholar] [CrossRef] [PubMed]
- Librado, P.; Rozas, J. DnaSP v5: A software for comprehensive analysis of DNA polymorphism data. Bioinformatics 2009, 25, 1451–1452. [Google Scholar] [CrossRef] [PubMed]
- Excoffier, L.; Lischer, H.E. Arlequin suite ver 3.5: A new series of programs to perform population genetics analyses under Linux and Windows. Mol. Ecol. Res. 2010, 10, 564–567. [Google Scholar] [CrossRef] [PubMed]
- Mantel, N.A. The detection of disease clustering and a generalized regression approach. Cancer Res. 1967, 27, 209–220. [Google Scholar] [PubMed]
- Smouse, P.E.; Long, J.C.; Sokal, R.R. Multiple regression and correlation extension of the mantel test of matrix correspondence. Syst. Zool. 1986, 35, 627–632. [Google Scholar] [CrossRef]
- Miller, M.P. Alleles in space: Computer software for the joint analysis of interindividual spatial and genetic information. J. Hered. 2005, 96, 722–724. [Google Scholar] [CrossRef]
- Corander, J.; Marttinen, P.; Sirén, J.; Tang, J. BAPS: Bayesian Analysis of Population Structure. Department of Mathematics. Åbo Akademi University: Helsinki, Finland. 2013. Available online: http://www.abo.fi/mnf/mate/jc/smack_index_eng.html (accessed on 18 December 2023).
- Fu, Y.; Li, W. Statistical Tests of Neutrality of Mutations. Genetics 1993, 133, 693–709. [Google Scholar] [CrossRef]
- Fu, Y.-X. Statistical tests of neutrality against population growth, hitchhiking and background selection. Genetics 1997, 147, 915–925. [Google Scholar] [CrossRef]
- Tajima, F. Statistical method for testing the neutral mutation hypothesis by DNA polymorphism. Genetics 1989, 123, 585–595. [Google Scholar] [CrossRef]
- Ramos-Onsins, S.E.; Rozas, J. Statistical properties of new neutrality tests against population growth. Mol. Biol. Evol. 2002, 19, 2092–2100. [Google Scholar] [CrossRef] [PubMed]
- Rogers, A.R.; Harpending, H.C. Population growth makes waves in the distribution of pairwise genetic differences. Mol. Biol. Evol. 1992, 9, 552–569. [Google Scholar]
- Rogers, A.R.; Fraley, A.E.; Bamshad, M.J.; Watkins, W.S.; Jorde, L.B. Mitochondrial mismatch analysis is insensitive to the mutational process. Mol. Biol. Evol. 1996, 13, 895–902. [Google Scholar] [CrossRef]
- Bouckaert, R.; Heled, J.; Kühnert, D.; Vaughan, T.; Wu, C.-H.; Xie, D.; Suchard, M.A.; Rambaut, A.; Drummond, A.J.; Prlic, A. BEAST 2: A software platform for Bayesian Evolutionary Analysis. PLoS Comp. Biol. 2014, 10, e1003537. [Google Scholar] [CrossRef] [PubMed]
- Drummond, A.J.; Suchard, M.A.; Xie, D.; Rambaut, A. Bayesian phylogenetics with BEAUti and the BEAST 1.7. Mol. Biol. Evol. 2012, 29, 1969–1973. [Google Scholar] [CrossRef]
- Schrider, D.R.; Shanku, A.G.; Kern, A.D. Effects of linked selective sweeps on demographic inference and model selection. Genetics 2016, 204, 1207–1223. [Google Scholar] [CrossRef]
- Sheehan, S.; Harris, K.; Song, Y.S. Estimating variable effective population sizes from multiple genomes: A sequentially Markov conditional sampling distribution approach. Genetics 2013, 194, 647–662. [Google Scholar] [CrossRef] [PubMed]
- Müller, N.F.; du Plessis, L. Tutorial Using BEAST v2.5.x. Skyline Plots. Inference of Past Population Dynamics Using Bayesian Coalescent Skyline and Birth-Death Skyline Plots. BEAST 2 Website and Documentation. 2022. Available online: http://www.beast2.org/ (accessed on 13 December 2021).
- Thoisy, B.; Goncalves da Silva, A.; Ruiz-García, M.; Tapia, A.; Ramirez, O.; Arana, M.; Quse, V.; Paz-y-Mino, C.; Tobler, M.; Pedraza, C.; et al. Population history, phylogeography, and conservation genetics of the last Neotropical mega-herbivore, the Lowland tapir (Tapirus terrestris). BMC Evol. Biol. 2010, 10, 278–295. [Google Scholar] [CrossRef]
- Trifonov, V.A.; Stanyon, R.; Nesterenko, A.I.; Fu, B.; Perelman, P.L.; O’Brien, P.C.; Stone, G.; Rubtsova, N.V.; Houck, M.L.; Robinson, T.J.; et al. Multidirectional cross-species painting illuminates the history of karyotypic evolution in Perissodactyla. Chromosome Res. 2008, 16, 89–107. [Google Scholar] [CrossRef] [PubMed]
- Holanda, E.C.; Ferrero, B.C. Reappraisal of the genus Tapirus (Perissodactyla, Tapiridae): Systematics and phylogenetic affinities of the South American tapirs. J. Mammal. Evol. 2013, 20, 33–44. [Google Scholar] [CrossRef]
- Dumbá, C.C.S.L.; Dutra, R.P.; Cozzuol, M.A. Cranial geometric morphometric analysis of the genus Tapirus (Mammalia, Perissodactyla). J. Mammal. Evol. 2019, 26, 545–555. [Google Scholar] [CrossRef]
- Hulbert, R.C. A new early Pleistocene tapir (Mammalia: Perissodactyla) from Florida, with a review of Blancan tapirs from the state. Bull. Florida Museum Nat. Hist. 2010, 49, 67–126. [Google Scholar] [CrossRef]
- Hulbert, R.C.; Wallace, S.C.; Klippel, W.E.; Parmalee, P.W. Cranial morphology and systematics of an extraordinary sample of the late Neogene Dwarf Tapir, Tapirus polkensis (Olsen). J. Paleontol. 2009, 83, 238–262. [Google Scholar] [CrossRef]
- Patterson, B.D. On the nature and significance of variability in lions (Panthera leo). Evol. Biol. 2007, 34, 55–60. [Google Scholar] [CrossRef]
- Terada, C.; Tatsuzawa, S.; Saitoh, T. Ecological correlates and determinants in the geographical variation of deer morphology. Oecologia 2012, 169, 981–994. [Google Scholar] [CrossRef]
- Barongi, R.A. Husbandry and conservation of tapirs Tapirus spp. Int. Zoo Yearb. 1993, 32, 7–15. [Google Scholar] [CrossRef]
- Houck, M.L.; Kingswood, S.C.; Kumamoto, A.T. Comparative cytogenetics of tapirs, genus Tapirus (Perissodactyla, Tapiridae). Cytogenet. Cell Genet. 2000, 89, 110–115. [Google Scholar] [CrossRef]
- Mayr, E. Systematics and the Origin of Species; Harvard University Press: Cambridge, MA, USA, 1942. [Google Scholar]
- Mayr, E. Animal Species and Evolution; Harvard University Press: Cambridge, MA, USA, 1963. [Google Scholar]
- Simpson, G.G. History of the fauna of Latin America. Amer. Scien. 1950, 38, 361–389. [Google Scholar]
- Rojas, R.R.; Mora, W.V.; Lozano, E.P.; Herrera, E.R.T.; Heymann, E.W.; Bodmer, R. Ontogenetic skull variation in an Amazonian population of lowland tapir, Tapirus terrestris (Mammalia: Perissodactyla) in the department of Loreto, Peru. Acta Amaz. 2021, 51, 311–322. [Google Scholar] [CrossRef]
- Moyano, S.R.; Giannini, N.P. Comparative cranial ontogeny of Tapirus (Mammalia: Perissodactyla: Tapiridae). J. Anat. 2017, 231, 665–682. [Google Scholar] [CrossRef]
- Cardini, A.; Polly, D. Larger mammals have longer faces because of size-related constraints on skull form. Nat. Commun. 2013, 4, 2458. [Google Scholar] [CrossRef] [PubMed]
- DeSantis, L.R.G.; Sharp, A.C.; Schubert, B.W.; Colbert, M.W.; Wallace, S.C.; Grine, F.E. Clarifying relationships between cranial form and function in tapirs, with implications for the dietary ecology of early hominins. Sci. Rep. 2020, 10, 8809. [Google Scholar] [CrossRef] [PubMed]
- Breno, M.; Leirs, H.; Van Dongen, S. Traditional and geometric morphometrics for studying skull morphology during growth in Mastomys natalensis (Rodentia: Muridae). J. Mammal. 2011, 92, 1395–1406. [Google Scholar] [CrossRef]
- Baker, R.J.; Bradley, R.D. Speciation in mammals and the genetic species concept. J. Mammal. 2006, 87, 643–662. [Google Scholar] [CrossRef]
- Kosowska, B.; Strzala, T.; Moska, M.; Ratajszczak, R.; Dobosz, T. Cytogenetic examination of South American tapirs, Tapirus terrestris (Perissodactyla, Tapiridae), from the Wroclaw zoological garden. Vestkik Zool. 2015, 49, 529–536. [Google Scholar] [CrossRef]
- Aguilera, M.; Expósito, A. Cariotipos de Tapirus terrestris (Perissodactyla, Tapiridae) y Pecari tajacu (Artiodactyla, Tayassuidae) presentes en Venezuela. Mem. Fund. Salle Cienc. Nat. 2009, 69, 7–18. [Google Scholar]
- Aguilera, M.; Expósito, A.; Caldera, T. Cytogenetics of Hunting Mammals of Venezuela. In IV Simposio Investigación y Manejo de Fauna Silvestre en Venezuela, en Homenaje al Dr. Juan Ojasti; Fundación Jardín Botánico de Caracas: Caracas, Venezuela, 2008; pp. 65–78. [Google Scholar]
- Sarriá-Perea, J.A.; Jiménez, L.M.; Sánchez-Isaza, C.A. Citogenética del tapir de selva Tapirus terrestris en algunos zoológicos de Colombia: Descripciones preliminares. Rev. Colomb. Cienc. Pec. 1999, 12, 245–255. [Google Scholar]
- Haffer, J. Speciation in Amazonian forest birds. Science 1969, 165, 131–137. [Google Scholar] [CrossRef]
- Haffer, J. Alternative models of vertebrate speciation in Amazonia: An overview. Biodivers. Evol. 1997, 6, 451–476. [Google Scholar]
- Haffer, J. Hypotheses to explain the origin of species in Amazonia. Braz. J. Biol. 2008, 68, 917–947. [Google Scholar] [CrossRef]
- Costa, L.P. The historical bridge between the Amazon and the Atlantic Forest of Brazil: A study of molecular phylogeography with small mammals. J. Biogeogr. 2003, 30, 71–86. [Google Scholar] [CrossRef]
- Cossíos, E.D.; Lucherini, M.; Ruiz-García, M.; Angers, B. Influence of ancient glacial periods on the Andean fauna: The case of the Pampas cat (Leopardus colocolo). BMC Evol. Biol. 2009, 9, 68–79. [Google Scholar] [CrossRef] [PubMed]
- Coyne, J.A.; Orr, H.A. Speciation; Sinauer Associates, Inc.: Sunderland, MA, USA, 2004. [Google Scholar]
- Cracraft, J. Speciation and its ontology: The empirical consequences of alternative species concepts for understanding patterns and processes of differentiation. In Speciation and Its Consequences; Otte, D., Endler, J.A., Eds.; Sinauer Associates, Inc.: Sunderland, MA, USA, 1989; pp. 28–59. [Google Scholar]
- Mallet, J. A species definition for the Modern Synthesis. Trends Ecol. Evol. 1995, 10, 294–299. [Google Scholar] [CrossRef] [PubMed]
- Paterson, H.E.H. The recognition concept of species. In Species and Speciation; Vrba, E.S., Ed.; Transvaal Museum Monograph No 4: Pretoria, South Africa, 1985; pp. 21–29. [Google Scholar]
- Wiley, E.O. The evolutionary species concept reconsidered. Syst. Zool. 1978, 27, 17–26. [Google Scholar] [CrossRef]
- Van Valen, L. Ecological species, multispecies, and oaks. Taxon 1976, 7, 233–239. [Google Scholar] [CrossRef]
- Downer, C.C. The mountain tapir, endangered ‘flagship’ species of the high Andes. Oryx 1996, 30, 45–58. [Google Scholar] [CrossRef]
- Acosta, H.; Cavelier, J.; Londoño, S. Aportes al conocimiento de la biología de la danta de montaña, Tapirus pinchaque en los Andes Centrales de Colombia. Biotropica 1996, 28, 258–266. [Google Scholar] [CrossRef]
- Lizcano, D.J.; Cavelier, J. Densidad poblacional y disponibilidad de habitat de la danta de montaña (Tapirus pinchaque) en los andes centrales de Colombia. Biotropica 2000, 31, 165–173. [Google Scholar]
- Suárez, J.A.; Lizcano, D.J. Conflict between mountain tapirs and farmers in the Colombian Central Andes. Tapir Conserv. 2002, 11, 18–20. [Google Scholar]
- Pinho, G.M.; Goncalves da Silva, A.; Hrbeck, T.; Farias, I.P. Comportamento Social de antas (Tapirus terrestris): Relacoes de parentesco em uma paisagem fragmentada, Amazonia Central, Brasil. In I Congreso Latinoamericano de Tapires; Ed. Murciélago Blanco: Puyo-Pastaza, Ecuador, 2013. [Google Scholar]
- Lizcano, D.J.; Cavelier, J. Características químicas de salados y hábitos alimenticios de la danta de montaña (Tapirus pinchaque Roulin, 1829) en los Andes centrales de Colombia. Mastozoología Neotrop. 2004, 11, 193–201. [Google Scholar]
- Van Der Hammen, T.; Barelds, J.; De Jong, H.; De Veer, A.A. Glacial sequence and environmental history in the Sierra Nevada del Cocuy (Colombia). Palaeogeo. Palaeoclimat. Palaeoecol. 1981, 32, 247–340. [Google Scholar] [CrossRef]
- Flórez, A Los nevados de Colombia: Glaciales y glaciaciones. Análisis Geográficos IGAC 1992, 22, 1–95.
- Herd, D.G. Glacial and volcanic geology of the Ruiz-Tolima volcanic complex, cordillera Central, Colombia. Publicaciones Geol. 1982, 8, 1–48. [Google Scholar]
- Wijmstra, T.A.; Van Der Hammen, T. The last interglacial cycle: State of affairs of correlation between data obtained from the land and from the ocean. Geol. Mijnb. 1974, 53, 386–392. [Google Scholar]
- Ruiz-García, M.; Pinedo-Castro, M.; Shostell, J.M. How many genera and species of woolly monkeys (Atelidae, Platyrrhine, Primates) are? First molecular analysis of Lagothrix flavicauda, an endemic Peruvian primate species. Mol. Phylogenet. Evol. 2014, 79, 179–198. [Google Scholar] [CrossRef]
- Ruiz-García, M.; Chacón, D.; Plese, T.; Shostell, J.M. Molecular Phylogenetics of Bradypus (Three-Toed Sloth, Pilosa: Bradypodidae, Mammalia) and Phylogeography of Bradypus variegatus (Brown-Throated Three-Toed Sloth) with Mitochondrial Gene Sequences. J. Mammal. Evol. 2020, 27, 461–482. [Google Scholar] [CrossRef]
- Byrne, M.S.; Ruiz-García, M.; Túnez, J.I. Phylogeography of the capybara, Hydrochoerus hydrochaeris, in a large portion of its distribution area in South America. J. Mammal. Evol. 2022, 29, 191–206. [Google Scholar] [CrossRef]
- Van Der Hammen, T. The Plio-Pleistocene climatic record of the Tropical Andes. J. Geol. Soc. London 1985, 142, 561–580. [Google Scholar] [CrossRef]
- Dollfus, O. Bases ecológicas y paleoambientales de América Latina. In Historia General de América Latina. Las Sociedades Originarias; Murra, J.V., Rojas Rabiela, T., Eds.; Editorial Trotta, Ediciones UNESCO: Madrid, España, 1999; Volume 1, pp. 29–40. [Google Scholar]
- Clapperton, C. Quaternary Geology and Geomorphology of South America; Elsevier: Amsterdam, The Nederlands, 1993; pp. 1–489. [Google Scholar]
- Rothlisberger, F. 10,000 Jahre Gletschergeschichte der Erde; Verlag Sauerlan der: Aarau, Switzerland, 1987; pp. 1–225. [Google Scholar]
- Thompson, L.G.; Mosley, E.; Davies, M.E.; Lin, P.N.; Henderson, K.A.; Coledal, J.; Bolzan, J.F.; Liu, K.B. Huascarán, Perú. Science 1995, 269, 46–50. [Google Scholar] [CrossRef]
- Van der Hammen, T.; Cleff, A.M. Holocene changes of rainfall and river discharge in northern South America and the El Niño phenomenon. Erdkunde 1992, 46, 252–256. [Google Scholar] [CrossRef]
- Van der Hammen, T. Paleoecology of Amazonia. In Diversidade Biológica e Cultural da Amazonia; Guimaraes Vieira, I.C., Silva, J.M.C., Oren, D.C., D’Incao, M.A.D., Eds.; Museu Paraense Emilio Goeldi: Belem, Brazil, 2001; pp. 19–44. [Google Scholar]
- Moritz, C. Defining “evolutionarily significant units” for conservation. Trends Ecol. Evol. 1994, 9, 373–375. [Google Scholar] [CrossRef] [PubMed]














| T. pinchaque | Country | Department or Province | Locality | Number of Specimens | 
|---|---|---|---|---|
| Colombia | Caldas (3) | Los Nevados National Park | 3 | |
| Risaralda (5) | El Bosque/Los Nevados National Park | 5 | ||
| Tolima (9) | Hereje River | 1 | ||
| Gaitana | 3 | |||
| Saldaña River | 1 | |||
| Marquetalia | 1 | |||
| Peñas Blancas | 1 | |||
| La Planada | 1 | |||
| La Azulena | 1 | |||
| Huila (2) | Puracé National Park | 1 | ||
| Nevado del Huila National Park | 1 | |||
| Ecuador | Sucumbios (1) | La Bonita | 1 | |
| Napo (20) | Chaco/Sarañán | 3 | ||
| Cosanga | 2 | |||
| Cuyuja | 6 | |||
| Cayambe-Coca National Park | 5 | |||
| Papallacta | 4 | |||
| Morona-Santiago (3) | Sangay National Park | 3 | ||
| Loja (1) | Podocarpus NP | 1 | 
| Study | Marker | Split Between T. bairdii/T. terrestris–T. pinchaque | Split Between T. terrestris and T. pinchaque | 
|---|---|---|---|
| [23] | mt COII | 20–18 mya | 2.7–2.5 mya | 
| [24] | mt 12S rRNA | 16.5–15 mya | 1.6–1.5 mya | 
| [82] | Chromosomal rearrangements | 19–18 mya | 4.8–3.9 mya | 
| [25] | mt Cyt-b | 10–9 mya | 3.8–1.6 mya | 
| [4] | mt Cyt-b | 7.5–3.1 mya | <0.13 mya | 
| [8] | 15 mt genes | 8.1 mya | 3.7 mya | 
| Current work | Mitogenomes and three nuclear genes | 6.2 mya | 1.9 mya | 
| Disclaimer/Publisher’s Note: The statements, opinions and data contained in all publications are solely those of the individual author(s) and contributor(s) and not of MDPI and/or the editor(s). MDPI and/or the editor(s) disclaim responsibility for any injury to people or property resulting from any ideas, methods, instructions or products referred to in the content. | 
© 2024 by the authors. Licensee MDPI, Basel, Switzerland. This article is an open access article distributed under the terms and conditions of the Creative Commons Attribution (CC BY) license (https://creativecommons.org/licenses/by/4.0/).
Share and Cite
Ruiz-García, M.; Castellanos, A.; Kaston, F.; Pinedo-Castro, M.; Shostell, J.M. New Insights into the Molecular Evolution of Tapirus pinchaque (Tapiridae, Perissodactyla) and the Rise and Fall of Tapirus kabomani as a Full Species. Genes 2024, 15, 1537. https://doi.org/10.3390/genes15121537
Ruiz-García M, Castellanos A, Kaston F, Pinedo-Castro M, Shostell JM. New Insights into the Molecular Evolution of Tapirus pinchaque (Tapiridae, Perissodactyla) and the Rise and Fall of Tapirus kabomani as a Full Species. Genes. 2024; 15(12):1537. https://doi.org/10.3390/genes15121537
Chicago/Turabian StyleRuiz-García, Manuel, Armando Castellanos, Franz Kaston, Myreya Pinedo-Castro, and Joseph Mark Shostell. 2024. "New Insights into the Molecular Evolution of Tapirus pinchaque (Tapiridae, Perissodactyla) and the Rise and Fall of Tapirus kabomani as a Full Species" Genes 15, no. 12: 1537. https://doi.org/10.3390/genes15121537
APA StyleRuiz-García, M., Castellanos, A., Kaston, F., Pinedo-Castro, M., & Shostell, J. M. (2024). New Insights into the Molecular Evolution of Tapirus pinchaque (Tapiridae, Perissodactyla) and the Rise and Fall of Tapirus kabomani as a Full Species. Genes, 15(12), 1537. https://doi.org/10.3390/genes15121537
 
        

 
       