Long-Term LDL-Apheresis Treatment and Dynamics of Circulating miRNAs in Patients with Severe Familial Hypercholesterolemia
Abstract
1. Introduction
2. Materials and Methods
2.1. Design and Study Population
2.2. LDL-Apheresis
2.3. Rheohemapheresis
2.4. Plasma Samples
2.5. MiRNA Measurement
2.6. Statistical Analysis
3. Results
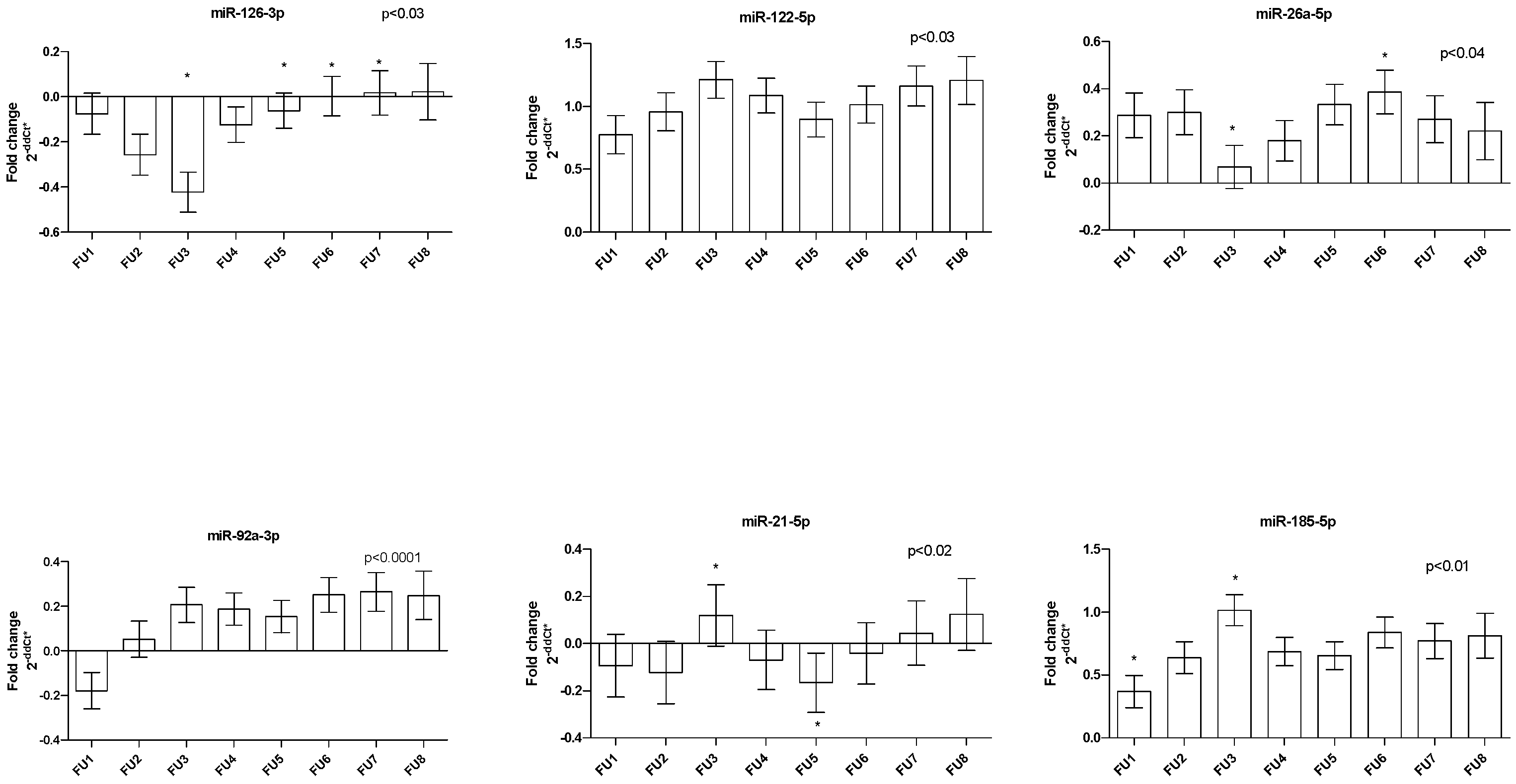
3.1. Dynamics of miRNA Quantity during FU
3.2. MiRNA Quantity and LDLR Mutation Genotype
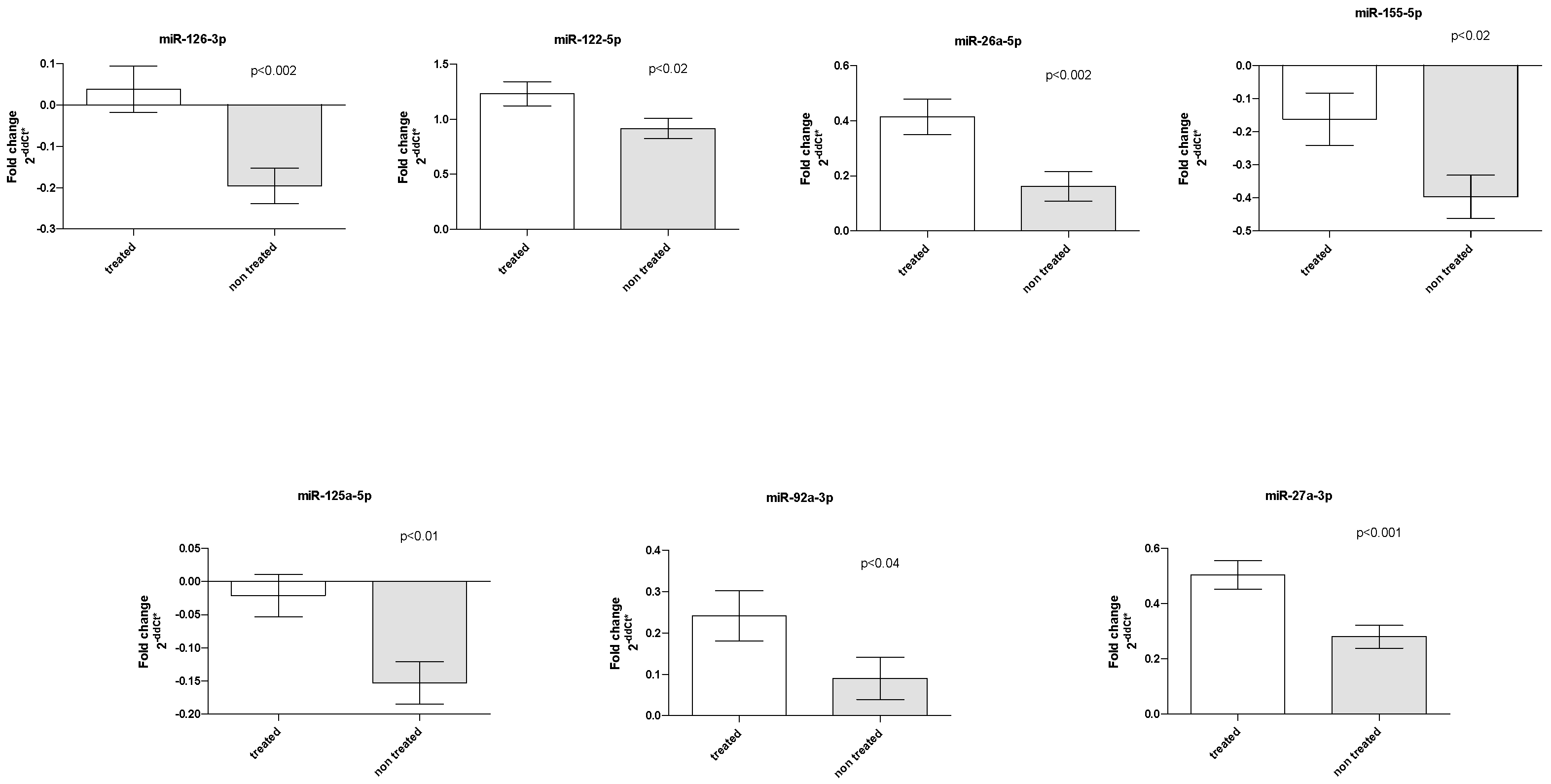
3.3. PCSK9 Inhibitor Treatment and miRNA Levels
3.4. Correlation between miRNAs and Biochemical Parameters
4. Discussion
4.1. Long-Term LA and Changes in miRNA Quantity
4.2. LDLR Mutation
4.3. PCSK9 Inhibitor Treatment
4.4. Biochemical Parameters
5. Conclusions
Supplementary Materials
Author Contributions
Funding
Institutional Review Board Statement
Informed Consent Statement
Data Availability Statement
Conflicts of Interest
References
- Rader, D.J.; Kathiresan, S. Disorders of lipoprotein metabolism. In Harrison’s Principles of Internal Medicine, 20th ed.; Jameson, J.L., Kasper, D.L., Longo, D.L., Fauci, A.S., Hauser, S.L., Loscalzo, J., Eds.; McGraw Hill Ed.: New York, NY, USA, 2018; pp. 2889–2902. [Google Scholar]
- Nordestgaard, B.G.; Chapman, M.J.; Humphries, S.E.; Ginsberg, H.N.; Masana, L.; Descamps, O.S.; Wiklund, O.; Hegele, R.A.; Raal, F.J.; Defesche, J.C.; et al. European Atherosclerosis Society Consensus Panel. Familial hypercholesterolaemia is underdiagnosed and undertreated in the general population: Guidance for clinicians to prevent coronary heart disease: Consensus statement of the European Atherosclerosis Society. Eur. Heart J. 2013, 34, 3478–3490. [Google Scholar] [CrossRef] [PubMed]
- Vrablik, M.; Tichý, L.; Freiberger, T.; Blaha, V.; Satny, M.; Hubacek, J.A. Genetics of Familial Hypercholesterolemia: New Insights. Front. Genet. 2020, 11, 574474. [Google Scholar] [CrossRef] [PubMed]
- Bambauer, R.; Bambauer, C.; Lehmann, B.; Latza, R.; Schiel, R. LDL-apheresis: Technical and clinical aspects. Sci. World J. 2012, 2012, 314283. [Google Scholar] [CrossRef] [PubMed][Green Version]
- Blaha, V.; Blaha, M.; Lanska, M.; Solichova, D.; Kujovska Krcmová, L.; Havel, E.; Vyroubal, P.; Zadak, Z.; Žák, P.; Sobotka, L. Lipoprotein apheresis in the treatment of dyslipidaemia—The Czech Republic experience. Physiol. Res. 2017, 66, S91–S100. [Google Scholar] [CrossRef]
- Stefanutti, C.; Zenti, M.G. Lipoprotein Apheresis and PCSK9-Inhibitors. Impact on Atherogenic Lipoproteins and Anti-Inflammatory Mediators in Familial Hypercholesterolaemia. Curr. Pharm. Des. 2018, 24, 3634–3637. [Google Scholar] [CrossRef]
- Bartel, D.P. MicroRNAs: Genomics, biogenesis, mechanism, and function. Cell 2004, 116, 281–297. [Google Scholar] [CrossRef]
- Dlouha, D.; Hubacek, J.A. Regulatory RNAs and cardiovascular disease—With a special focus on circulating microRNAs. Physiol. Res. 2017, 66 (Suppl. 1), S21–S38. [Google Scholar] [CrossRef]
- Fichtlscherer, S.; Zeiher, A.M.; Dimmeler, S. Circulating microRNAs: Biomarkers or mediators of cardiovascular diseases? Arterioscler. Thromb. Vasc. Biol. 2011, 11, 2383–2390. [Google Scholar] [CrossRef]
- Chang, Y.J.; Li, Y.S.; Wu, C.C.; Wang, K.C.; Huang, T.C.; Chen, Z.; Chien, S. Extracellular MicroRNA-92a Mediates Endothelial Cell-Macrophage Communication. Arterioscler. Thromb. Vasc. Biol. 2019, 12, 2492–2504. [Google Scholar] [CrossRef]
- Wiese, C.B.; Zhong, J.; Xu, Z.Q.; Zhang, Y.; Ramirez Solano, M.A.; Zhu, W.; Linton, M.F.; Sheng, Q.; Kon, V.; Vickers, K.C. Dual inhibition of endothelial miR-92a-3p and miR-489-3p reduces renal injury-associated atherosclerosis. Atherosclerosis 2019, 282, 121–131. [Google Scholar] [CrossRef]
- Dlouha, D.; Blaha, M.; Blaha, V.; Fatorova, I.; Hubacek, J.A.; Stavek, P.; Lanska, V.; Parikova, A.; Pitha, J. Analysis of circulating miRNAs in patients with familial hypercholesterolaemia treated by LDL/Lp(a) apheresis. Atheroscler. Suppl. 2017, 30, 128–134. [Google Scholar] [CrossRef]
- Visek, J.; Blaha, M.; Blaha, V.; Lasicova, M.; Lanska, M.; Andrýs, C.; Tebbens, J.D.; e Sá, I.C.I.; Tripská, K.; Vicen, M.; et al. Monitoring of up to 15 years effects of lipoprotein apheresis on lipids, biomarkers of inflammation, and soluble endoglin in familial hypercholesterolemia patients. Orphanet J. Rare Dis. 2021, 16, 110. [Google Scholar] [CrossRef] [PubMed]
- Dlouha, D.; Blaha, M.; Rohlova, E.; Hubacek, J.A.; Lanska, V.; Visek, J.; Blaha, V. Multiplex Protein Biomarker Profiling in Patients with Familial Hypercholesterolemia. Genes 2021, 12, 1599. [Google Scholar] [CrossRef] [PubMed]
- Blaha, V.; Blaha, M.; Solichová, D.; Krčmová, L.K.; Lánská, M.; Havel, E.; Vyroubal, P.; Zadák, Z.; Žák, P.; Sobotka, L. Antioxidant defense system in familial hypercholesterolemia and the effects of lipoprotein apheresis. Atheroscler. Suppl. 2017, 30, 159–165. [Google Scholar] [CrossRef] [PubMed]
- Borberg, H.; Tauchert, M. Rheohaemapheresis of ophthalmological diseases and diseases of the microcirculation. Transfus. Apher. Sci. 2006, 34, 41–49. [Google Scholar] [CrossRef]
- Solichova, D.; Melichar, B.; Blaha, V.; Klejna, M.; Vavrova, J.; Palicka, V.; Zadak, Z. Biochemical profile and survival in nonagenarians. Clin. Biochem. 2001, 34, 563–569. [Google Scholar] [CrossRef]
- Dlouha, D.; Ivak, P.; Netuka, I.; Novakova, S.; Konarik, M.; Tucanova, Z.; Lanska, V.; Hlavacek, D.; Wohlfahrt, P.; Hubacek, J.A.; et al. The effect of long-term left ventricular assist device support on flow-sensitive plasma microRNA levels. Int. J. Cardiol. 2021, 339, 138–143. [Google Scholar] [CrossRef]
- Bonauer, A.; Carmona, G.; Iwasaki, M.; Mione, M.; Koyanagi, M.; Fischer, A.; Burchfield, J.; Fox, H.; Doebele, C.; Ohtani, K.; et al. MicroRNA-92a Controls Angiogenesis and Functional Recovery of Ischemic Tissues in Mice. Science 2009, 324, 1710–1713. [Google Scholar] [CrossRef]
- Zhang, L.; Zhou, M.; Wang, Y.; Huang, W.; Qin, G.; Weintraub, N.L.; Tang, Y. miR-92a inhibits vascular smooth muscle cell apoptosis: Role of the MKK4-JNK pathway. Apoptosis 2014, 19, 975–983. [Google Scholar] [CrossRef]
- Daniel, J.M.; Penzkofer, D.; Teske, R.; Dutzmann, J.; Koch, A.; Bielenberg, W.; Bonauer, A.; Boon, R.A.; Fischer, A.; Bauersachs, J.; et al. Inhibition of miR-92a improves re-endothelialization and prevents neointima formation following vascular injury. Cardiovasc. Res. 2014, 103, 564–572. [Google Scholar] [CrossRef]
- Shang, F.; Wang, S.C.; Hsu, C.Y.; Miao, Y.; Martin, M.; Yin, Y.; Wu, C.-C.; Wang, Y.-T.; Wu, G.; Chien, S.; et al. MicroRNA-92a Mediates Endothelial Dysfunction in CKD. J. Am. Soc. Nephrol. 2017, 28, 3251–3261. [Google Scholar] [CrossRef] [PubMed]
- Ren, J.; Zhang, J.; Xu, N.; Han, G.; Geng, Q.; Song, J.; Li, S.; Zhao, J.; Chen, H. Signature of Circulating microRNAs as potential biomarkers in vulnerable coronary artery disease. PLoS ONE 2013, 8, e80738. [Google Scholar] [CrossRef] [PubMed]
- Jankauskas, S.S.; Gambardella, J.; Sardu, C.; Lombardi, A.; Santulli, G. Functional Role of miR-155 in the Pathogenesis of Diabetes Mellitus and Its Complications. Noncoding RNA 2021, 7, 39. [Google Scholar] [CrossRef]
- Weber, M.; Kim, S.; Patterson, N.; Rooney, K.; Searles, C.D. MiRNA-155 targets myosin light chain kinase and modulates actin cytoskeleton organization in endothelial cells. Am. J. Physiol. Heart Circ. Physiol. 2014, 306, H1192–H1203. [Google Scholar] [CrossRef]
- Virtue, A.; Johnson, C.; Lopez-Pastraña, J.; Shao, Y.; Fu, H.; Li, X.; Li, Y.-F.; Yin, Y.; Mai, J.; Rizzo, V.; et al. MicroRNA-155 deficiency leads to decreased atherosclerosis, increased white adipose tissue obesity, and non-alcoholic fatty liver disease a novel mouse model of obesity paradox. J. Biol. Chem. 2017, 292, 1267–1287. [Google Scholar] [CrossRef]
- Krishnan, R.; Nair, A.S.; Dhar, P.K. Computational study of ‘HUB’ microRNA in human cardiac diseases. Bioinformation 2017, 13, 17–20. [Google Scholar] [CrossRef] [PubMed]
- Li, X.; Kong, D.; Chen, H.; Liu, S.; Hu, H.; Wu, T.; Wang, J.; Chen, W.; Ning, Y.; Li, Y.; et al. miR-155 acts as an anti-inflammatory factor in atherosclerosis-associated foam cell formation by repressing calcium-regulated heat stable protein 1. Sci. Rep. 2016, 6, 21789. [Google Scholar] [CrossRef]
- Jennewein, C.; von Knethen, A.; Schmid, T.; Brüne, B. MicroRNA-27b contributes to lipopolysaccharide-mediated peroxisome proliferator-activated receptor γ (PPARgamma) mRNA destabilization. J. Biol. Chem. 2010, 285, 11846–11853. [Google Scholar] [CrossRef] [PubMed]
- Li, T.; Cao, H.; Zhuang, J.; Wan, J.; Guan, M.; Yu, B.; Li, X.; Zhang, W. Identification of miR-130a, miR-27b and miR-210 as serum biomarkers for atherosclerosis obliterans. Clin. Chimica Acta 2011, 412, 66–70. [Google Scholar] [CrossRef]
- Alvarez, M.L.; Khosroheidari, M.; Eddy, E.; Done, S.C. MicroRNA-27a decreases the level and efficiency of the LDL receptor and contributes to the dysregulation of cholesterol homeostasis. Atherosclerosis 2015, 242, 595–604. [Google Scholar] [CrossRef]
- Rafiei, A.; Ferns, G.A.; Ahmadi, R.; Khaledifar, A.; Rahimzadeh-Fallah, T.; Mohmmad-Rezaei, M.; Emami, S.; Bagheri, N. Expression levels of miR-27a, miR-329, ABCA1, and ABCG1 genes in peripheral blood mononuclear cells and their correlation with serum levels of oxidative stress and hs-CRP in the patients with coronary artery disease. IUBMB Life 2021, 73, 223–237. [Google Scholar] [CrossRef] [PubMed]
- Chen, G.; Li, X. The decreased SIRT1 level may account for the lipid profile in chronic kidney disease. J. Biol. Res. 2019, 26, 9. [Google Scholar] [CrossRef]
- Xu, Y.; Miao, C.; Cui, J.; Bian, X. miR-92a-3p promotes ox-LDL induced-apoptosis in HUVECs via targeting SIRT6 and activating MAPK signaling pathway. Braz. J. Med. Biol. Res. 2021, 54, e9386. [Google Scholar] [CrossRef] [PubMed]
- Yang, M.; Liu, W.; Pellicane, C.; Sahyoun, C.; Joseph, B.K.; Gallo-Ebert, C.; Donigan, M.; Pandya, D.; Giordano, C.; Bata, A.; et al. Identification of miR-185 as a regulator of de novo cholesterol biosynthesis and low density lipoprotein uptake. J. Lipid Res. 2014, 55, 226–238. [Google Scholar] [CrossRef] [PubMed]
- Jiang, H.; Zhang, J.; Du, Y.; Jia, X.; Yang, F.; Si, S.; Wang, L.; Hong, B. microRNA-185 modulates low density lipoprotein receptor expression as a key posttranscriptional regulator. Atherosclerosis 2015, 243, 523–532. [Google Scholar] [CrossRef]
- Yue, S.; Li, J.; Lee, S.Y.; Lee, H.J.; Shao, T.; Song, B.; Cheng, L.; Masterson, T.A.; Liu, X.; Ratliff, T.L.; et al. Cholesteryl ester accumulation induced by PTEN loss and PI3K/AKT activation underlies human prostate cancer aggressiveness. Cell Metab. 2014, 19, 393–406. [Google Scholar] [CrossRef]
- Jiang, Q.; Li, Y.; Wu, Q.; Huang, L.; Xu, J.; Zeng, Q. Pathogenic role of microRNAs in atherosclerotic ischemic stroke: Implications for diagnosis and therapy. Genes Dis. 2022, 9, 682–696. [Google Scholar] [CrossRef]
- Su, Y.; Yuan, J.; Zhang, F.; Lei, Q.; Zhang, T.; Li, K.; Guo, J.; Hong, Y.; Bu, G.; Lv, X.; et al. MicroRNA-181a-5p and microRNA-181a-3p cooperatively restrict vascular inflammation and atherosclerosis. Cell Death Dis. 2019, 10, 365. [Google Scholar] [CrossRef]
- Zhang, M.; Wu, J.F.; Chen, W.J.; Tang, S.L.; Mo, Z.C.; Tang, Y.-Y.; Li, Y.; Wang, J.-L.; Liu, X.-Y.; Peng, J.; et al. MicroRNA-27a/b regulates cellular cholesterol efflux, influx and esterification/hydrolysis in THP-1 macrophages. Atherosclerosis 2014, 234, 54–64. [Google Scholar] [CrossRef]
- Wang, L.; Zhang, N.; Wang, Z.; Ai, D.M.; Cao, Z.Y.; Pan, H.-P. Decreased MiR-155 Level in the Peripheral Blood of Non-Alcoholic Fatty Liver Disease Patients May Serve as a Biomarker and may Influence LXR Activity. Cell Physiol. Biochem. 2016, 39, 2239–2248. [Google Scholar] [CrossRef]
- Asgeirsdottir, S.A.; Van Solingen, C.; Murniati, N.F.; Zwiers, P.J.; Heeringa, P.; Van Meurs, M.; Satchell, S.C.; Saleem, M.A.; Mathieson, P.W.; Banas, B.; et al. Microrna-126 Contributes To Renal Macrovascular Heterogeneity Of Vcam-1 Protein Expression In Acute Inflammation. Am. J. Physiol. Renal. Physiol. 2012, 302, F1630–F1639. [Google Scholar] [CrossRef]
- Chen, T.; Huang, Z.; Wang, L.; Wang, Y.; Wu, F.; Meng, S.; Wang, C. MicroRNA-125a-5p partly regulates the inflammatory response, lipid uptake, and ORP9 expression in oxLDL-stimulated monocyte/macrophages. Cardiovasc. Res. 2009, 83, 131–139. [Google Scholar] [CrossRef]
- Dávalos, A.; Goedeke, L.; Smibert, P.; Ramírez, C.M.; Warrier, N.P.; Andreo, U.; Cirera-Salinas, D.; Rayner, K.; Suresh, U.; Pastor-Pareja, J.C.; et al. miR-33a/b contribute to the regulation of fatty acid metabolism and insulin signaling. Proc. Natl. Acad. Sci. USA 2011, 108, 9232–9237. [Google Scholar] [CrossRef]
- Esau, C.; Davis, S.; Murray, S.F.; Yu, X.X.; Pandey, S.K.; Pear, M.; Watts, L.; Booten, S.L.; Graham, M.; McKay, R.; et al. miR-122 regulation of lipid metabolism revealed by in vivo antisense targeting. Cell Metab. 2006, 3, 87–98. [Google Scholar] [CrossRef]
- Fang, Y.; Davies, P.F. Site-specific microRNA-92a regulation of Kruppel-like factors 4 and 2 in atherosusceptible endothelium. Arterioscler. Thromb. Vasc. Biol. 2012, 32, 979–987. [Google Scholar] [CrossRef] [PubMed]
- Feinberg, M.W.; Moore, K.J. Microrna Regulation Of Atherosclerosis. Circ. Res. 2016, 118, 703–720. [Google Scholar] [CrossRef]
- Guo, M.; Mao, X.; Ji, Q.; Lang, M.; Li, S.; Peng, Y.; Zhou, W.; Xiong, B.; Zeng, Q. miR-146a in PBMCs modulates Th1 function in patients with acute coronary syndrome. Immunol. Cell Biol. 2010, 88, 555–564. [Google Scholar] [CrossRef]
- Huang, R.S.; Hu, G.Q.; Lin, B.; Lin, Z.Y.; Sun, C.C. MicroRNA-155 silencing enhances inflammatory response and lipid uptake in oxidized low-density lipoprotein-stimulated human THP-1 macrophages. J. Investig. Med. 2010, 58, 961–967. [Google Scholar] [CrossRef]
- Iliopoulos, D.; Drosatos, K.; Hiyama, Y.; Goldberg, I.J.; Zannis, V.I. MicroRNA-370 controls the expression of microRNA-122 and Cpt1alpha and affects lipid metabolism. J. Lipid Res. 2010, 51, 1513–1523. [Google Scholar] [CrossRef] [PubMed]
- Ito, T.; Yagi, S.; Yamakuchi, M. Microrna-34a Regulation Of Endothelial Senescence. Biochem. Biophys. Res. Commun. 2010, 398, 735–740. [Google Scholar] [CrossRef] [PubMed]
- Leeper, N.J.; Raiesdana, A.; Kojima, Y.; Chun, H.J.; Azuma, J.; Maegdefessel, L.; Kundu, R.K.; Quertermous, T.; Tsao, P.S.; Spin, J.M. MicroRNA-26a is a novel regulator of vascular smooth muscle cell function. J. Cell Physiol. 2011, 226, 1035–1043. [Google Scholar] [CrossRef] [PubMed]
- Lin, Y.; Liu, X.; Cheng, Y.; Yang, J.; Huo, Y.; Zhang, C. Involvement of MicroRNAs in hydrogen peroxide-mediated gene regulation and cellular injury response in vascular smooth muscle cells. J. Biol. Chem. 2009, 284, 7903–7913. [Google Scholar] [CrossRef] [PubMed]
- Lovren, F.; Pan, Y.; Quan, A.; Singh, K.K.; Shukla, P.C.; Gupta, N.; Steer, B.M.; Ingram, A.J.; Gupta, M.; Al-Omran, M. MicroRNA-145 targeted therapy reduces atherosclerosis. Circulation 2012, 126, S81–S90. [Google Scholar] [CrossRef]
- Qin, B.; Xiao, B.; Liang, D.; Xia, J.; Li, Y.; Yang, H. MicroRNAs expression in ox-LDL treated HUVECs: MiR-365 modulates apoptosis and Bcl-2 expression. Biochem. Biophys. Res. Commun. 2011, 410, 127–133. [Google Scholar] [CrossRef] [PubMed]
- Ramirez, C.M.; Dávalos, A.; Goedeke, L.; Salerno, A.G.; Warrier, N.; Cirera-Salinas, D.; Suárez, Y.; Fernández-Hernando, C. MicroRNA-758 regulates cholesterol efflux through posttranscriptional repression of ATP-binding cassette transporter A1. Arterioscler. Thromb. Vasc. Biol. 2011, 31, 2707–2714. [Google Scholar] [CrossRef] [PubMed]
- Ramirez, C.M.; Rotllan, N.; Vlassov, A.V.; Davalos, A.; Li, M.; Goedeke, L.; Aranda, J.F.; Cirera-Salinas, D.; Araldi, E.; Salerno, A.; et al. Control of cholesterol metabolism and plasma high density lipoprotein levels by microRNA-144. Circ. Res. 2013, 112, 1592–1601. [Google Scholar] [CrossRef] [PubMed]
- Rayner, K.J.; Esau, C.C.; Hussain, F.N.; McDaniel, A.L.; Marshall, S.M.; van Gils, J.M.; Ray, T.D.; Sheedy, F.J.; Goedeke, L.; Liu, X.; et al. Inhibition of miR-33a/b in non-human primates raises plasma HDL and lowers VLDL triglycerides. Nature. 2011, 478, 404–407. [Google Scholar] [CrossRef]
- Rayner, K.J.; Sheedy, F.J.; Esau, C.C.; Hussain, F.N.; Temel, R.E.; Parathath, S.; Van Gils, J.M.; Rayner, A.J.; Chang, A.N.; Suarez, Y.; et al. Antagonism Of Mir-33 In Mice Promotes Reverse Cholesterol Transport And Regression Of Atherosclerosis. J. Clin. Investig. 2011, 121, 2921–2931. [Google Scholar] [CrossRef]
- Shirasaki, T.; Honda, M.; Shimakami, T.; Horii, R.; Yamashita, T.; Sakai, Y.; Sakai, A.; Okada, H.; Watanabe, R.; Murakami, S.; et al. MicroRNA-27a regulates lipid metabolism and inhibits hepatitis C virus replication in human hepatoma cells. J. Virol. 2013, 87, 5270–5286. [Google Scholar] [CrossRef]
- Suarez, Y.; Fernández-Hernando, C.; Yu, J.; Gerber, S.A.; Harrison, K.D.; Pober, J.S.; Iruela-Arispe, M.L.; Merkenschlager, M.; Sessa, W.C. Dicer-dependent endothelial microRNAs are necessary for postnatal angiogenesis. Proc. Natl. Acad. Sci. USA 2008, 105, 14082–14087. [Google Scholar] [CrossRef]
- Suárez, Y.; Wang, C.; Manes, T.D.; Pober, J.S. Cutting edge: TNF-induced microRNAs regulate TNF-induced expression of E-selectin and intercellular adhesion molecule-1 on human endothelial cells: Feedback control of inflammation. J. Immunol. 2010, 184, 21–25. [Google Scholar] [CrossRef]
- Sun, D.; Zhang, J.; Xie, J.; Wei, W.; Chen, M.; Zhao, X. MiR-26 controls LXR-dependent cholesterol efflux by targeting ABCA1 and ARL7. FEBS Lett. 2012, 586, 1472–1479. [Google Scholar] [CrossRef] [PubMed]
- Sun, H.X.; Zeng, D.X.; Li, R.T.; Pang, R.P.; Yang, H.; Hu, Y.L.; Zhang, Q.; Jiang, Y.; Huang, L.Y.; Tang, Y.B.; et al. Essential role of microRNA-155 in regulating endothelium dependent vasorelaxation by targeting endothelial nitric oxide synthase. Hypertension 2012, 60, 1407–1414. [Google Scholar] [CrossRef] [PubMed]
- Ulrich, V.; Rotllan, N.; Araldi, E.; Luciano, A.; Skroblin, P.; Abonnenc, M.; Perrotta, P.; Yin, X.; Bauer, A.; Leslie, K.L.; et al. Chronic miR-29 antagonism promotes favorable plaque remodeling in atherosclerotic mice. EMBO Mol. Med. 2016, 8, 643–653. [Google Scholar] [CrossRef] [PubMed]
- Urbich, C.; Kaluza, D.; Frömel, T.; Knau, A.; Bennewitz, K.; Boon, R.A.; Bonauer, A.; Doebele, C.; Boeckel, J.N.; Hergenreider, E.; et al. MicroRNA-27a/b controls endothelial cell repulsion and angiogenesis by targeting semaphorin 6A. Blood 2012, 119, 1607–1616. [Google Scholar] [CrossRef]
- Wang, L.; Jia, X.J.; Jiang, H.J.; Du, Y.; Yang, F.; Si, S.Y.; Hong, B. MicroRNAs 185, 96, and 223 repress selective high-density lipoprotein cholesterol uptake through posttranscriptional inhibition. Mol. Cell Biol. 2013, 33, 1956–1964. [Google Scholar] [CrossRef]



| Male/female (N) | 6/6 |
| Age (years) | 55.3 ± 12.2 |
| BMI (kg/m2) | 28.1 ± 4.3 |
| Current smokers and ex-smokers/non-smokers | 5/12 |
| Hypertension | 7 |
| Diabetes mellitus | 4 |
| LDLR mutations: (N) homozygotes/heterozygotes | 5/7 |
| Duration of apheresis treatment (years) | 13.1 ± 7.8 |
| Hypolipidemic treatment | >13 years |
| ACE-i/ARB | 5 |
| Beta-blockers | 8 |
| Antithrombotic drugs | 10 |
| PCSK9 inhibitors | 6 (2 patients: alirocumab, 150mg per 14 days; 4 patients: evolocumab; 2 subjects with starting dose of 420 mg per 14 days; then all: 140 mg per 14 days) |
| Statins | 12 (all: rosuvastatin 40 mg or 20 mg + ezetimibe 10 mg) |
| miR-181a | miR-17 | miR-122 | miR-126 | miR-144 | miR-26a | miR-155 | miR-125a | |||||||||
|---|---|---|---|---|---|---|---|---|---|---|---|---|---|---|---|---|
| ρ | p | ρ | p | ρ | p | ρ | p | ρ | p | ρ | p | ρ | p | ρ | p | |
| TC | 0.3615 | 0.0014 | −0.2123 | −0.0144 | −0.0749 | −0.1559 | −0.2071 | −0.2297 | 0.05 | −0.2443 | 0.03 | |||||
| LDL-C | −0.3736 | 0.0010 | −0.2577 | 0.03 | −0.0761 | −0.2639 | 0.02 | −0.2065 | −0.2802 | 0.01 | −0.2825 | 0.01 | −0.242 | 0.04 | ||
| HDL-C | −0.0045 | 0.0701 | 0.0244 | 0.329 | 0.004 | 0.1079 | 0.0237 | −0.0783 | −0.1706 | |||||||
| TAG | 0.1861 | 0.1213 | 0.207 | 0.2049 | 0.1503 | 0.279 | 0.02 | 0.4646 | <0.0001 | 0.2734 | 0.02 | |||||
| Glycemia | 0.2729 | 0.018 | 0.2476 | 0.03 | 0.1385 | 0.2329 | 0.04 | 0.0412 | 0.2614 | 0.02 | 0.3197 | 0.005 | 0.2397 | 0.04 | ||
| ApoB | −0.4345 | <0.0001 | −0.3899 | 0.0005 | −0.0483 | −0.0798 | −0.3069 | 0.007 | −0.2787 | 0.02 | −0.1699 | −0.2476 | 0.03 | |||
| Lp(a) | −0.1981 | −0.0329 | −0.0824 | −0.2521 | 0.03 | −0.1721 | −0.3757 | 0.0009 | −0.402 | 0.0004 | −0.3277 | 0.004 | ||||
| ALT | 0.0449 | −0.0837 | −0.6535 | <0.0001 | −0.0254 | 0.1982 | −0.1937 | −0.0994 | −0.1 | |||||||
| AST | 0.0704 | −0.0409 | −0.5947 | <0.0001 | −0.0547 | 0.1686 | −0.1758 | −0.1239 | −0.0631 | |||||||
| Creatinine | 0.08 | 0.0953 | −0.2559 | 0.03 | 0.0285 | 0.1406 | 0.021 | −0.0004 | −0.0532 | |||||||
| miR-29c | miR-143 | miR-92a | miR-27a | miR-146a | miR-365a | miR-21 | miR185 | |||||||||
| ρ | p | ρ | p | ρ | p | ρ | p | ρ | p | ρ | p | ρ | p | ρ | p | |
| TC | −0.2294 | 0.05 | −0.0456 | −0.2245 | −0.234 | 0.04 | −0.206 | −0.2236 | −0.1017 | −0.2411 | 0.04 | |||||
| LDL-C | 0.0743 | −0.0946 | −0.2737 | 0.02 | −0.3157 | 0.006 | −0.1969 | −0.2722 | 0.02 | −0.0617 | −0.2328 | 0.04 | ||||
| HDL-C | −0.0859 | 0.0522 | 0.0519 | −0.0085 | −0.0712 | 0.095 | −0.1597 | 0.0252 | ||||||||
| TAG | 0.1098 | 0.2533 | 0.03 | 0.1418 | 0.3316 | 0.004 | 0.207 | −0.0113 | 0.2645 | 0.02 | −0.021 | |||||
| Glycemia | −0.3146 | 0.006 | 0.2684 | 0.02 | 0.2539 | 0.03 | −0.3095 | 0.007 | 0.2016 | −0.1855 | 0.3846 | 0.0007 | 0.0454 | |||
| ApoB | −0.3138 | 0.006 | −0.1161 | −0.4947 | <0.0001 | −0.2815 | 0.01 | −0.3562 | 0.002 | −0.2685 | 0.02 | −0.0771 | −0.4029 | 0.0003 | ||
| Lp(a) | −0.072 | −0.1971 | −0.1433 | −0.4111 | 0.0002 | −0.1347 | 0.0959 | −0.1523 | 0.0754 | |||||||
| ALT | −0.0347 | 0.2013 | −0.1648 | −0.3581 | 0.002 | 0.0594 | −0.5398 | <0.0001 | 0.4497 | <0.0001 | 0.0673 | |||||
| AST | 0.0535 | 0.1607 | −0.1481 | −0.2794 | 0.02 | 0.0806 | −0.3046 | 0.008 | 0.2647 | 0.02 | 0.1144 | |||||
| Creatinine | 0.1344 | 0.2248 | 0.062 | −0.064 | −0.0518 | 0.0058 | −0.004 | 0.1229 | ||||||||
Disclaimer/Publisher’s Note: The statements, opinions and data contained in all publications are solely those of the individual author(s) and contributor(s) and not of MDPI and/or the editor(s). MDPI and/or the editor(s) disclaim responsibility for any injury to people or property resulting from any ideas, methods, instructions or products referred to in the content. |
© 2023 by the authors. Licensee MDPI, Basel, Switzerland. This article is an open access article distributed under the terms and conditions of the Creative Commons Attribution (CC BY) license (https://creativecommons.org/licenses/by/4.0/).
Share and Cite
Dlouha, D.; Blaha, M.; Huckova, P.; Lanska, V.; Hubacek, J.A.; Blaha, V. Long-Term LDL-Apheresis Treatment and Dynamics of Circulating miRNAs in Patients with Severe Familial Hypercholesterolemia. Genes 2023, 14, 1571. https://doi.org/10.3390/genes14081571
Dlouha D, Blaha M, Huckova P, Lanska V, Hubacek JA, Blaha V. Long-Term LDL-Apheresis Treatment and Dynamics of Circulating miRNAs in Patients with Severe Familial Hypercholesterolemia. Genes. 2023; 14(8):1571. https://doi.org/10.3390/genes14081571
Chicago/Turabian StyleDlouha, Dana, Milan Blaha, Pavlina Huckova, Vera Lanska, Jaroslav Alois Hubacek, and Vladimir Blaha. 2023. "Long-Term LDL-Apheresis Treatment and Dynamics of Circulating miRNAs in Patients with Severe Familial Hypercholesterolemia" Genes 14, no. 8: 1571. https://doi.org/10.3390/genes14081571
APA StyleDlouha, D., Blaha, M., Huckova, P., Lanska, V., Hubacek, J. A., & Blaha, V. (2023). Long-Term LDL-Apheresis Treatment and Dynamics of Circulating miRNAs in Patients with Severe Familial Hypercholesterolemia. Genes, 14(8), 1571. https://doi.org/10.3390/genes14081571

