The Ratio of cf-mtDNA vs. cf-nDNA in the Follicular Fluid of Women Undergoing IVF Is Positively Correlated with Age
Abstract
1. Introduction
1.1. Cell-Free DNA
1.2. Follicular Fluid
1.3. The Requirement for ART Procedure Indicators
2. Materials and Methods
2.1. Patients’ Characteristics and Follicular Fluid Collection
2.2. cfDNA Extraction and Quantification
2.3. Real-Time Quantitative-PCR (qPCR)
- (a)
- ΔCt for every sample as described above, by subtracting the average nuclear Ct value from the average mitochondrial Ct value: ∆Ct = (mtDNA Ct − nDNA Ct);
- (b)
- the mean ΔCt value for the control group, in our case, the control group consisted of reproductively younger women (≤35 years of age) who had a positive pregnancy outcome and without any reproductive disorders;
- (c)
- the ΔΔCt for each sample by subtracting the ΔCt of the control group from the mean ΔCt of the sample, that is ΔΔCt = ΔCt of a sample of interest − ΔCt of the control group [36];
- (d)
- the fold difference using the formula 2−ΔΔCt.
2.4. Statistical Analysis
3. Results
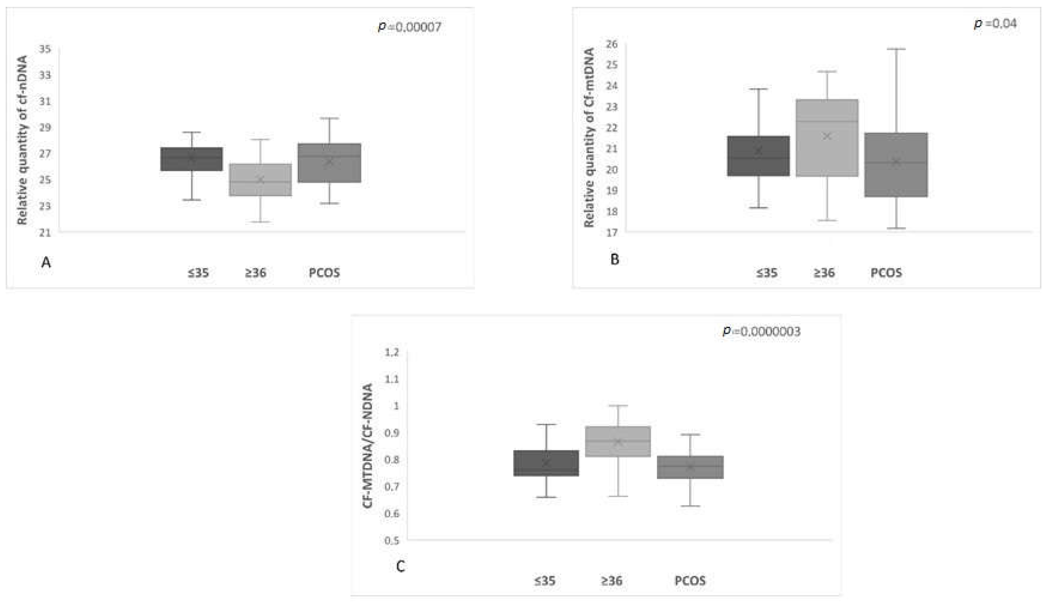
3.1. Assessment by Female Age
3.2. Assessments Based on Polycystic Ovary Syndrome and the Age of the Female
3.3. Comparison between Pregnant and Not Pregnant Women
3.4. Correlation of the mtDNA Relative Copy Number (RCN) in Individual Groups
4. Discussion
5. Conclusions
Author Contributions
Funding
Institutional Review Board Statement
Informed Consent Statement
Data Availability Statement
Conflicts of Interest
References
- Mandel, P.; Metais, P. Nuclear Acids In Human Blood Plasma. C. R. Seances Soc. Biol. Fil. 1948, 142, 241–243. [Google Scholar]
- Meddeb, R.; Dache, Z.A.A.; Thezenas, S.; Otandault, A.; Tanos, R.; Pastor, B.; Sanchez, C.; Azzi, J.; Tousch, G.; Azan, S.; et al. Quantifying circulating cell-free DNA in humans. Sci. Rep. 2019, 9, 5220. [Google Scholar] [CrossRef]
- Schwarzenbach, H.; Hoon, D.S.B.; Pantel, K. Cell-free nucleic acids as biomarkers in cancer patients. Nat. Rev. Cancer 2011, 11, 426–437. [Google Scholar] [CrossRef]
- Schwarzenbach, H.; Müller, V.; Milde-Langosch, K.; Steinbach, B.; Pantel, K. Evaluation of cell-free tumour DNA and RNA in patients with breast cancer and benign breast disease. Mol. Biosyst. 2011, 7, 2848. [Google Scholar] [CrossRef] [PubMed]
- Sun, Y.; An, K.; Yang, C. Circulating Cell-Free DNA. In Liquid Biopsy; Strumfa, I., Gardovskis, J., Eds.; IntechOpen: London, UK, 2019; Available online: https://www.intechopen.com/books/liquid-biopsy/circulating-cell-free-dna (accessed on 24 May 2023).
- Kustanovich, A.; Schwartz, R.; Peretz, T.; Grinshpun, A. Life and death of circulating cell-free DNA. Cancer Biol. Ther. 2019, 20, 1057–1067. [Google Scholar] [CrossRef]
- Henikoff, S.; Church, G.M. Simultaneous Discovery of Cell-Free DNA and the Nucleosome Ladder. Genetics 2018, 209, 27–29. [Google Scholar] [CrossRef] [PubMed]
- Thierry, A.R.; El Messaoudi, S.; Gahan, P.B.; Anker, P.; Stroun, M. Origins, structures, and functions of circulating DNA in oncology. Cancer Metastasis Rev. 2016, 35, 347–376. [Google Scholar] [CrossRef] [PubMed]
- Scalici, E.; Traver, S.; Molinari, N.; Mullet, T.; Monforte, M.; Vintejoux, E.; Hamamah, S. Cell-free DNA in human follicular fluid as a biomarker of embryo quality. Hum. Reprod. 2014, 29, 2661–2669. [Google Scholar] [CrossRef]
- Wang, Y.; Springer, S.; Zhang, M.; McMahon, K.W.; Kinde, I.; Dobbyn, L.; Ptak, J.; Brem, H.; Chaichana, K.; Gallia, G.L.; et al. Detection of tumor-derived DNA in cerebrospinal fluid of patients with primary tumors of the brain and spinal cord. Proc. Natl. Acad. Sci. USA 2015, 112, 9704–9709. [Google Scholar] [CrossRef]
- Cummins, J.M. Fertilization and elimination of the paternal mitochondrial genome. Hum. Reprod. 2000, 15 (Suppl. S2), 92–101. [Google Scholar] [CrossRef]
- Schatten, H.; Sun, Q.-Y.; Prather, R. The impact of mitochondrial function/dysfunction on IVF and new treatment possibilities for infertility. Reprod. Biol. Endocrinol. 2014, 12, 111. [Google Scholar] [CrossRef] [PubMed]
- Song, W.-H.; Ballard, J.W.O.; Yi, Y.-J.; Sutovsky, P. Regulation of Mitochondrial Genome Inheritance by Autophagy and Ubiquitin-Proteasome System: Implications for Health, Fitness, and Fertility. BioMed Res. Int. 2014, 2014, 981867. [Google Scholar] [CrossRef] [PubMed]
- Nicholls, T.J.; Gustafsson, C.M. Separating and Segregating the Human Mitochondrial Genome. Trends Biochem. Sci. 2018, 43, 869–881. [Google Scholar] [CrossRef]
- May-Panloup, P.; Chrétien, M.F.; Jacques, C.; Vasseur, C.; Malthièry, Y.; Reynier, P. Low oocyte mitochondrial DNA content in ovarian insufficiency. Hum. Reprod. 2005, 20, 593–597. [Google Scholar] [CrossRef] [PubMed]
- Motta, P.M.; Nottola, S.A.; Makabe, S.; Heyn, R. Mitochondrial morphology in human fetal and adult female germ cells. Hum. Reprod. 2000, 15 (Suppl. S2), 129–147. [Google Scholar] [CrossRef] [PubMed]
- Fragouli, E.; Spath, K.; Alfarawati, S.; Kaper, F.; Craig, A.; Michel, C.-E.; Kokocinski, F.; Cohen, J.; Munne, S.; Wells, D. Altered Levels of Mitochondrial DNA Are Associated with Female Age, Aneuploidy, and Provide an Independent Measure of Embryonic Implantation Potential. PLOS Genet. 2015, 11, e1005241. [Google Scholar] [CrossRef]
- Reynier, P.; May-Panloup, P.; Chretien, M.-F.; Morgan, C.J.; Jean, M.; Savagner, F.; Barriere, P.; Malthiery, Y. Mitochondrial DNA content affects the fertilizability of human oocytes. Mol. Hum. Reprod. 2001, 7, 425–429. [Google Scholar] [CrossRef]
- Kohler, C.; Radpour, R.; Barekati, Z.; Asadollahi, R.; Bitzer, J.; Wight, E.; Bürki, N.; Diesch, C.; Holzgreve, W.; Zhong, X.Y. Levels of plasma circulating cell free nuclear and mitochondrial DNA as potential biomarkers for breast tumors. Mol. Cancer 2009, 8, 105. [Google Scholar] [CrossRef]
- Ellinger, J.; Albers, P.; Müller, S.C.; Von Ruecker, A.; Bastian, P.J. Circulating mitochondrial DNA in the serum of patients with testicular germ cell cancer as a novel noninvasive diagnostic biomarker. BJU Int. 2009, 104, 48–52. [Google Scholar] [CrossRef]
- Rao, M.; Zhou, F.; Tang, L.; Zeng, Z.; Hu, S.; Wang, Y.; Ke, D.; Cheng, G.; Xia, W.; Zhang, L.; et al. Follicular fluid humanin concentration is related to ovarian reserve markers and clinical pregnancy after IVF–ICSI: A pilot study. Reprod. Biomed. Online 2019, 38, 108–117. [Google Scholar] [CrossRef]
- Dumesic, D.A.; Meldrum, D.R.; Katz-Jaffe, M.G.; Krisher, R.L.; Schoolcraft, W.B. Oocyte environment: Follicular fluid and cumulus cells are critical for oocyte health. Fertil. Steril. 2015, 103, 303–316. [Google Scholar] [CrossRef] [PubMed]
- Kansaku, K.; Munakata, Y.; Itami, N.; Shirasuna, K.; Kuwayama, T.; Iwata, H. Mitochondrial dysfunction in cumulus-oocyte complexes increases cell-free mitochondrial DNA. J. Reprod. Dev. 2018, 64, 261–266. [Google Scholar] [CrossRef] [PubMed]
- Liu, Y.; Shen, Q.; Zhao, X.; Zou, M.; Shao, S.; Li, J.; Ren, X.; Zhang, L. Cell-free mitochondrial DNA in human follicular fluid: A promising bio-marker of blastocyst developmental potential in women undergoing assisted reproductive technology. Reprod. Biol. Endocrinol. 2019, 17, 54. [Google Scholar] [CrossRef] [PubMed]
- Shen, M.; Jiang, Y.; Guan, Z.; Cao, Y.; Sun, S.; Liu, H. FSH protects mouse granulosa cells from oxidative damage by repressing mitophagy. Sci. Rep. 2016, 6, 38090. [Google Scholar] [CrossRef]
- Shen, Q.; Liu, Y.; Li, H.; Zhang, L. Effect of mitophagy in oocytes and granulosa cells on oocyte quality. Biol. Reprod. 2021, 104, 294–304. [Google Scholar] [CrossRef]
- Dietrich, D. DNA Methylation Analysis from Body Fluids. In Urothelial Carcinoma; Schulz, W.A., Hoffmann, M.J., Niegisch, G., Eds.; Methods in Molecular Biology; Springer: New York, NY, USA, 2018; Volume 1655, pp. 239–249. Available online: http://link.springer.com/10.1007/978-1-4939-7234-0_18 (accessed on 24 May 2023).
- Nabhan, A.; Salama, M.; Elsayed, M.; Nawara, M.; Kamel, M.; Abuelnaga, Y.; Ghonim, M.; Elshafeey, F.; Abdelhadi, R.; Gebril, S.; et al. Indicators of infertility and fertility care: A systematic scoping review. Hum. Reprod. Open 2022, 2022, hoac047. [Google Scholar] [CrossRef]
- Baka, S.; Malamitsi-Puchner, A. Novel follicular fluid factors influencing oocyte developmental potential in IVF: A review. Reprod. Biomed. Online 2006, 12, 500–506. [Google Scholar] [CrossRef]
- Traver, S.; Assou, S.; Scalici, E.; Haouzi, D.; Al-Edani, T.; Belloc, S.; Hamamah, S. Cell-free nucleic acids as non-invasive biomarkers of gynecological cancers, ovarian, endometrial and obstetric disorders and fetal aneuploidy. Hum. Reprod. Update 2014, 20, 905–923. [Google Scholar] [CrossRef]
- Dimopoulou, M.; Anifandis, G.; Messini, C.I.; Dafopoulos, K.; Kouris, S.; Sotiriou, S.; Satra, M.; Vamvakopoulos, N.; Messinis, I.E. Follicular Fluid Oocyte/Cumulus-Free DNA Concentrations as a Potential Biomolecular Marker of Embryo Quality and IVF Outcome. BioMed Res. Int. 2014, 2014, 289306. [Google Scholar] [CrossRef]
- Ichikawa, K.; Shibahara, H.; Shirasuna, K.; Kuwayama, T.; Iwata, H. Cell-free DNA content in follicular fluid: A marker for the developmental ability of porcine oocytes. Reprod. Med. Biol. 2020, 19, 95–103. [Google Scholar] [CrossRef]
- The Rotterdam ESHRE/ASRM-sponsored PCOS consensus workshop group. Revised 2003 consensus on diagnostic criteria and long-term health risks related to polycystic ovary syndrome (PCOS). Hum. Reprod. 2004, 19, 41–47. [Google Scholar] [CrossRef]
- Teede, H.J.; Misso, M.L.; Costello, M.F.; Dokras, A.; Laven, J.; Moran, L.; Piltonen, T.; Norman, R.J.; Andersen, M.; Azziz, R.; et al. Recommendations from the international evidence-based guideline for the assessment and management of polycystic ovary syndrome. Fertil. Steril. 2018, 110, 364–379. [Google Scholar] [CrossRef] [PubMed]
- Livak, K.J.; Schmittgen, T.D. Analysis of Relative Gene Expression Data Using Real-Time Quantitative PCR and the 2−ΔΔCT Method. Methods 2001, 25, 402–408. [Google Scholar] [CrossRef] [PubMed]
- Quiros, P.M.; Goyal, A.; Jha, P.; Auwerx, J. Analysis of mtDNA/nDNA Ratio in Mice. Curr. Protoc. Mouse Biol. 2017, 7, 47–54. [Google Scholar] [CrossRef] [PubMed]
- Qasemi, M.; Aleyasin, A.; Mahdian, R.; Ghanami Gashti, N.; Shabani Nashtaei, M.; Ashrafnezhad, Z.; Amidi, F. Cell-free mtDNA level and its biomarker potency for ART outcome are different in follicular fluid of PCOS and non-PCOS women. Mitochondrion 2021, 59, 30–36. [Google Scholar] [CrossRef]
- Agrawal, Y.; Seth, S.; Goyal, V.; Kumar, P.; Bala, J. Correlation between anti-Müllerian and follicle-stimulating hormone in female infertility. Int. J. Health Allied Sci. 2014, 3, 232. [Google Scholar] [CrossRef]
- Alizadegan, A.; Dianat-Moghadam, H.; Shadman, N.; Nouri, M.; Hamdi, K.; Ghasemzadeh, A.; Akbarzadeh, M.; Sarvarian, P.; Mehdizadeh, A.; Dolati, S.; et al. Application of cell free DNA in ART. Placenta 2022, 120, 18–24. [Google Scholar] [CrossRef]
- Zou, W.; Slone, J.; Cao, Y.; Huang, T. Mitochondria and Their Role in Human Reproduction. DNA Cell Biol. 2020, 39, 1370–1378. [Google Scholar] [CrossRef]
- Stojanovski, D.; Johnston, A.J.; Streimann, I.; Hoogenraad, N.J.; Ryan, M.T. Import of Nuclear-Encoded Proteins into Mitochondria. Exp. Physiol. 2003, 88, 57–64. [Google Scholar] [CrossRef]
- Kummer, E.; Ban, N. Mechanisms and regulation of protein synthesis in mitochondria. Nat. Rev. Mol. Cell Biol. 2021, 22, 307–325. [Google Scholar] [CrossRef]
- Ziada, A.S.; Smith, M.-S.R.; Côté, H.C.F. Updating the Free Radical Theory of Aging. Front. Cell Dev. Biol. 2020, 8, 575645. [Google Scholar] [CrossRef]
- Stewart, J.B.; Chinnery, P.F. The dynamics of mitochondrial DNA heteroplasmy: Implications for human health and disease. Nat. Rev. Genet. 2015, 16, 530–542. [Google Scholar] [CrossRef]
- Chistiakov, D.A.; Sobenin, I.A.; Revin, V.V.; Orekhov, A.N.; Bobryshev, Y.V. Mitochondrial Aging and Age-Related Dysfunction of Mitochondria. BioMed Res. Int. 2014, 2014, 238463. [Google Scholar] [CrossRef] [PubMed]
- Wanderoy, S.; Hees, J.T.; Klesse, R.; Edlich, F.; Harbauer, A.B. Kill one or kill the many: Interplay between mitophagy and apoptosis. Biol. Chem. 2020, 402, 73–88. [Google Scholar] [CrossRef]
- Bloemberg, D.; Quadrilatero, J. Autophagy, apoptosis, and mitochondria: Molecular integration and physiological relevance in skeletal muscle. Am. J. Physiol.-Cell Physiol. 2019, 317, C111–C130. [Google Scholar] [CrossRef] [PubMed]
- Markstrom, E.; Svensson, E.C.; Shao, R.; Svanberg, B.; Billig, H. Survival factors regulating ovarian apoptosis—Dependence on follicle differentiation. Reproduction 2002, 123, 23–30. [Google Scholar] [CrossRef] [PubMed]
- Fragouli, E.; McCaffrey, C.; Ravichandran, K.; Spath, K.; Grifo, J.A.; Munné, S.; Wells, D. Clinical implications of mitochondrial DNA quantification on pregnancy outcomes: A blinded prospective non-selection study. Hum. Reprod. 2017, 32, 2340–2347. [Google Scholar] [CrossRef]
- Stigliani, S.; Persico, L.; Lagazio, C.; Anserini, P.; Venturini, P.L.; Scaruffi, P. Mitochondrial DNA in Day 3 embryo culture medium is a novel, non-invasive biomarker of blastocyst potential and implantation outcome. MHR Basic Sci. Reprod. Med. 2014, 20, 1238–1246. [Google Scholar] [CrossRef] [PubMed]








| Group | No of Samples | Mean Age ± SD | Mean No of Oocytes ± SD | No of Granulosa Cells |
|---|---|---|---|---|
| ≤35 | 34 | 31.4 ± 3.5 | 10.7 ± 4.1 | 112.213 |
| ≥36 | 36 | 39.3 ± 2.1 | 10.1 ± 5.7 | 135.000 |
| PCOS | 31 | 32.0 ± 3.6 | 18.0 ± 8.1 | 199.298 |
| Group | AMH (ng/mL) ± SD | FSH ± SD | LH ± SD | Estr (pg/mL) |
|---|---|---|---|---|
| ≤35 | 3.58 ± 4.2 | 6.11 ± 1.5 | 7.98 ± 7.7 | 2398.73 |
| ≥36 | 4.56 ± 6.9 | 7.16 ± 2.7 | 6.45 ± 11.6 | 2226.96 |
| PCOS | 10.58 ± 18.3 | 6.45 ± 1.1 | 14.65 ± 14.6 | 2901.20 |
| Primer Name | Sequence (Forward/Reverse) | Amplicon bp | Tm |
|---|---|---|---|
| Nuclear gene (RPE) | 5′-ATAGGAAGCCAGAGAAGAGAGACT-3′ 5′-TCTATCTCTGCGGACTTTGAGCAT-3′ | 200 bp | 60 °C |
| Mitochondrial gene | 5′-TAGAGGAGCCTGTTCTGTAATCG-3′ 5′-TAAGGGCTATCGTAGTTTTCTGG-3′, | 205 bp | 59 °C |
| Group | No of Samples | Mean Age ± SD | Mean Cf-mtDNA/Cf-nDNA ± SD |
|---|---|---|---|
| Reproductively younger women | 57 | 31.0 ± 3.3 | 0.77 ± 0.06 |
| Reproductively older women | 44 | 38.8 ± 2.3 | 0.85 ± 0.08 |
| Group | No of Samples | Age ± SD | Cf-mtDNA/ Cf-nDNA ± SD |
|---|---|---|---|
| Reproductively younger women | 34 | 31.4 ± 3.5 | 0.78 ± 0.06 |
| Reproductively older women | 36 | 39.3 ± 2.1 | 0.86 ± 0.07 |
| PCOS women | 31 | 32.0 ± 3.6 | 0.77 ± 0.06 |
| Group | cfDNA (ng/μL) ± SD | Cf-nDNA (Ct Average) ± SD | Cf-mtDNA (Ct Average) ± SD | Cf-mtDNA/ Cf-nDNA ± SD | 2 × 2ΔCt (RCN) | 2−ΔΔCt |
|---|---|---|---|---|---|---|
| ≤35 | 10.38 ± 9.1 | 26.62 ± 1.2 | 20.88 ± 1.5 | 0.78 ± 0.06 | 207 | 2.28 |
| ≥36 | 7.68 ± 7.2 | 24.99 ± 1.7 | 21.59 ± 2.1 | 0.86 ± 0.07 | 76 | 9.26 |
| PCOS | 8.67 ± 5.9 | 26.37 ± 1.9 | 20.36 ± 2.3 | 0.77 ± 0.06 | 289 | 1.42 |
| Control group | 12.8 ± 6.2 | 26.3 ± 0.9 | 20.7 ± 1.4 | 0.79 ± 0.07 | 166 |
Disclaimer/Publisher’s Note: The statements, opinions and data contained in all publications are solely those of the individual author(s) and contributor(s) and not of MDPI and/or the editor(s). MDPI and/or the editor(s) disclaim responsibility for any injury to people or property resulting from any ideas, methods, instructions or products referred to in the content. |
© 2023 by the authors. Licensee MDPI, Basel, Switzerland. This article is an open access article distributed under the terms and conditions of the Creative Commons Attribution (CC BY) license (https://creativecommons.org/licenses/by/4.0/).
Share and Cite
Tsirka, G.; Zikopoulos, A.; Papageorgiou, K.; Kostoulas, C.; Tsigkas, I.; Moustakli, E.; Kaltsas, A.; Sarafi, E.; Michaelidis, T.M.; Georgiou, I. The Ratio of cf-mtDNA vs. cf-nDNA in the Follicular Fluid of Women Undergoing IVF Is Positively Correlated with Age. Genes 2023, 14, 1504. https://doi.org/10.3390/genes14071504
Tsirka G, Zikopoulos A, Papageorgiou K, Kostoulas C, Tsigkas I, Moustakli E, Kaltsas A, Sarafi E, Michaelidis TM, Georgiou I. The Ratio of cf-mtDNA vs. cf-nDNA in the Follicular Fluid of Women Undergoing IVF Is Positively Correlated with Age. Genes. 2023; 14(7):1504. https://doi.org/10.3390/genes14071504
Chicago/Turabian StyleTsirka, Georgia, Athanasios Zikopoulos, Kyriaki Papageorgiou, Charilaos Kostoulas, Ioannis Tsigkas, Efthalia Moustakli, Aris Kaltsas, Eleftheria Sarafi, Theologos M. Michaelidis, and Ioannis Georgiou. 2023. "The Ratio of cf-mtDNA vs. cf-nDNA in the Follicular Fluid of Women Undergoing IVF Is Positively Correlated with Age" Genes 14, no. 7: 1504. https://doi.org/10.3390/genes14071504
APA StyleTsirka, G., Zikopoulos, A., Papageorgiou, K., Kostoulas, C., Tsigkas, I., Moustakli, E., Kaltsas, A., Sarafi, E., Michaelidis, T. M., & Georgiou, I. (2023). The Ratio of cf-mtDNA vs. cf-nDNA in the Follicular Fluid of Women Undergoing IVF Is Positively Correlated with Age. Genes, 14(7), 1504. https://doi.org/10.3390/genes14071504

