Integrating Parental Phenotypic Data Enhances Prediction Accuracy of Hybrids in Wheat Traits
Abstract
1. Introduction
2. Materials and Methods
2.1. Phenotypic Data
2.2. Genotypic Data
2.3. Statistical Model
2.3.1. Model MB_AC
2.3.2. Model MA_AC
2.3.3. Model MD_AC
2.3.4. Model MC_AC
2.4. Evaluation of Prediction Performance
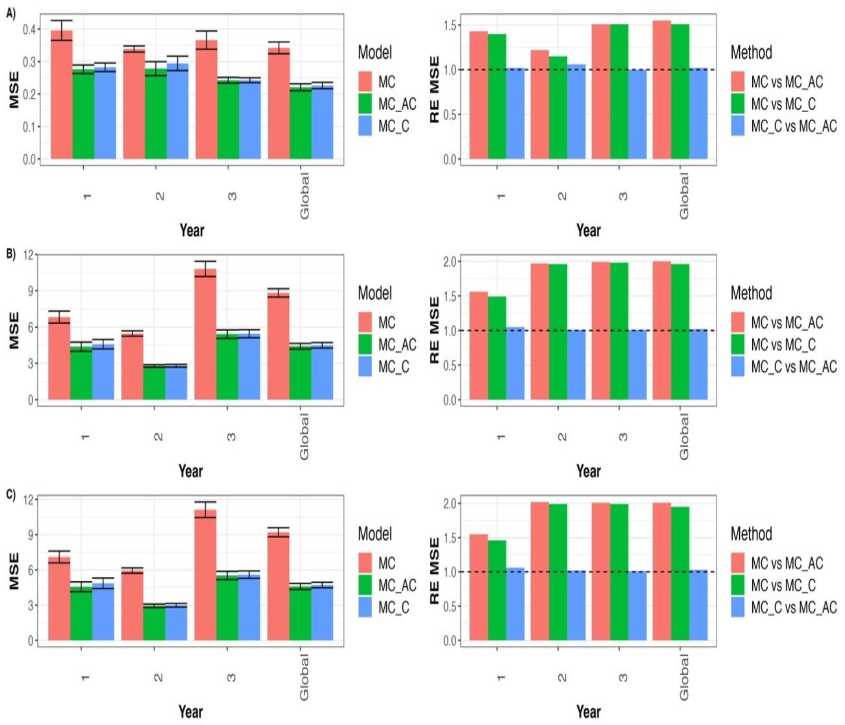
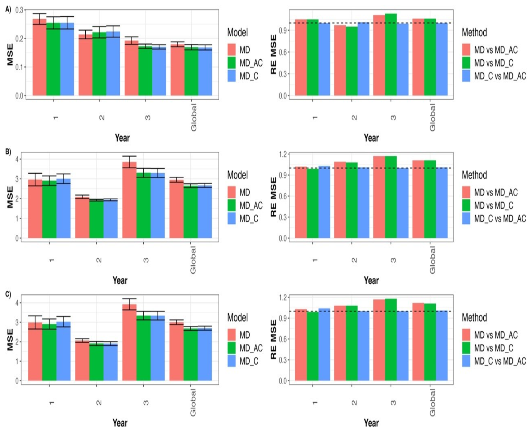
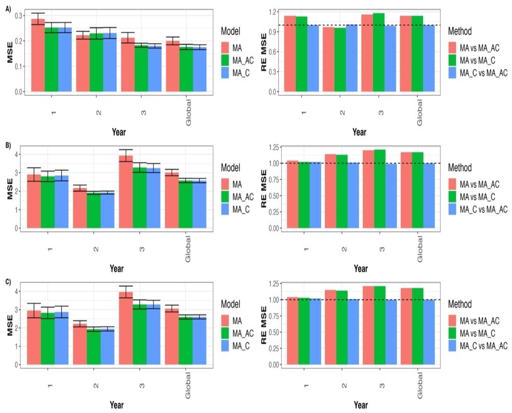
3. Results
3.1. Type A Models
3.2. Type B Models
3.3. Comparison across Years
4. Discussion
5. Conclusions
Supplementary Materials
Author Contributions
Funding
Informed Consent Statement
Data Availability Statement
Acknowledgments
Conflicts of Interest
Appendix A
Appendix A.1. Models of Type C

Appendix A.2. Models of Type D

References
- Flachowsky, G.; Meyer, U. Challenges for Plant Breeders from the View of Animal Nutrition. Agriculture 2015, 5, 1252–1276. [Google Scholar] [CrossRef]
- Meuwissen, T.H.E.; Hayes, B.J.; Goddard, M.E. Prediction of total genetic value using genome-wide dense marker map. Genetics 2001, 157, 1819–1829. [Google Scholar] [CrossRef] [PubMed]
- Desta, Z.A.; Ortiz, R. Genomic selection: Genome-wide prediction in plant improvement. Trends Plant Sci. 2014, 19, 592–601. [Google Scholar] [CrossRef] [PubMed]
- Roorkiwal, M.; Rathore, A.; Das, R.R.; Singh, M.K.; Jain, A.; Srinivasan, S.; Gaur, P.; Chellapilla, B.; Tripathi, S.; Li, Y.; et al. Genome-enabled prediction models for yield related traits in Chickpea. Front. Plant Sci. 2016, 7, 1666. [Google Scholar] [CrossRef] [PubMed]
- Crossa, J.; Pérez-Rodríguez, P.; Cuevas, J.; Montesinos-López, O.A.; Jarquín, D.; de Los Campos, G.; Burgueño, J.; González-Camacho, J.M.; Pérez-Elizalde, S.; Beyene, Y.; et al. Genomic Selection in Plant Breeding: Methods, Models, and Perspectives. Trends Plant Sci. 2017, 22, 961–975. [Google Scholar] [CrossRef]
- Wolfe, M.D.; Del Carpio, D.P.; Alabi, O.; Ezenwaka, L.C.; Ikeogu, U.N.; Kayondo, I.S.; Lozano, R.; Okeke, U.G.; Ozimati, A.A.; Williams, E.; et al. Prospects for Genomic Selection in Cassava Breeding. Plant Genome 2017, 10. [Google Scholar] [CrossRef]
- Huang, M.; Balimponya, E.G.; Mgonja, E.M.; McHale, L.K.; Luzi-Kihupi, A.; Wang, G.-L.; Sneller, C.H. Use of genomic selection in breeding rice (Oryza sativa L.) for resistance to rice blast (Magnaporthe oryzae). Mol. Breed. 2019, 39, 114. [Google Scholar] [CrossRef]
- Crossa, J.; Fritsche-Neto, R.; Montesinos-Lopez, O.A.; Costa-Neto, G.; Dreisigacker, S.; Montesinos-Lopez, A.; Bentley, A.R. The Modern Plant Breeding Triangle: Optimizing the Use of Genomics, Phenomics, and Enviromics Data. Front. Plant Sci. 2021, 12, 651480. [Google Scholar] [CrossRef]
- Jarquín, D.; Crossa, J.; Lacaze, X.; Du Cheyron, P.; Daucourt, J.; Lorgeou, J.; Piraux, F.; Guerreiro, L.; Pérez, P.; de los Campos, G. A reaction norm model for genomic selection using high-dimensional genomic and environmental data. Theor. Appl. Genet. 2014, 127, 595–607. [Google Scholar] [CrossRef]
- Montesinos-López, O.A.; Montesinos-López, A.; Pérez-Rodríguez, P.; de los Campos, G.; Eskridge, K.M.; Crossa, J. Threshold models for genome-enabled prediction of ordinal categorical traits in plant breeding. G3 Genes Genomes Genet. 2015, 5, 291–300. [Google Scholar] [CrossRef]
- Cuevas, J.; Crossa, J.; Soberanis, V.; Pérez-Elizalde, S.; Pérez-Rodríguez, P.; de los Campos, G.; Montesinos-López, O.A.; Burgueño, J. Genomic prediction of genotype × environment interaction kernel regression models. Plant Genome 2016, 9, 1–20. [Google Scholar] [CrossRef]
- Xu, S.; Zhu, D.; Zhang, Q. Predicting hybrid performance in rice using genomic best linear unbiased prediction. Proc. Natl. Acad. Sci. USA 2014, 111, 12456–12461. [Google Scholar] [CrossRef]
- Liang, Z.; Gupta, S.K.; Yeh, C.T.; Zhang, Y.; Ngu, D.W.; Kumar, R.; Patil, H.T.; Mungra, K.D.; Yadav, D.V.; Rathore, A.; et al. Phenotypic Data from Inbred Parents Can Improve Genomic Prediction in Pearl Millet Hybrids. G3 Genes Genomes Genet. 2018, 8, 2513–2522. [Google Scholar] [CrossRef]
- Xu, Y.; Zhao, Y.; Wang, X.; Ma, Y.; Li, P.; Yang, Z.; Zhang, X.; Xu, C.; Xu, S. Incorporation of parental phenotypic data into multi-omic models improves prediction of yield-related traits in hybrid rice. Plant Biotechnol. J. 2021, 19, 261–272. [Google Scholar] [CrossRef]
- Jarquin, D.; Howard, R.; Liang, Z.; Gupta, S.K.; Schnable, J.C.; Crossa, J. Enhancing Hybrid Prediction in Pearl Millet Using Genomic and/or Multi-Environment Phenotypic Information of Inbreds. Front. Genet. 2020, 10, 1294. [Google Scholar] [CrossRef]
- Basnet, B.R.; Crossa, J.; Dreisigacker, S.; Pérez-Rodríguez, P.; Manes, Y.; Singh, R.P.; Rosyara, U.R.; Camarillo-Castillo, F.; Murua, M. Hybrid Wheat Prediction Using Genomic, Pedigree, and Environmental Covariables Interaction Models. Plant Genome 2019, 12, 180051. [Google Scholar] [CrossRef]
- Alvarado, G.M.; Lopez-Cruz, M.; Vargas, A.; Pacheco, F.; Rodriguez, J.; Burgueñoo, J.; Crossa, J. META-R: Multi Environment Trial Analysis with R for Windows. Vers. 6.03. hdl:11529/10201, 2015, CIMMYT Research Data & Software Repository Network. Available online: https://excellenceinbreeding.org/toolbox/tools/multi-environment-trail-analysis-r-meta-r (accessed on 1 December 2022).
- Van Raden, P.M. Efficient methods to compute genomic predictions. J. Dairy Sci. 2008, 91, 4414–4423. [Google Scholar] [CrossRef]
- Technow, F.; Melchinger, A.E. Genomic prediction of dichotomous traits with Bayesian logistic models. Theor. Appl. Genet. 2013, 125, 1133–1143. [Google Scholar] [CrossRef]
- Lopez-Cruz, M.; Crossa, J.; Bonnet, D.; Dreisigacker, S.; Poland, J.; Jannink, L.L.; Singh, R.P.; Autrique, E.; de los Campos, G. Increased prediction accuracy in wheat breeding trials using a marker × environment interaction genomic selection model. G3 Genes Genomes Genet. 2015, 5, 569–582. [Google Scholar] [CrossRef]
- Pérez, P.; de los Campos, G. Genome-Wide Regression and Prediction with the BGLR Statistical Package. Genetics 2014, 198, 483–495. [Google Scholar] [CrossRef]
- Montesinos-López, O.A.; Montesinos-López, A.; Crossa, J. (Eds.) Multivariate Statistical Machine Learning Methods for Genomic Prediction; Springer International Publishing: Cham, Switzerland, 2022; ISBN 978-3-030-89010-0. [Google Scholar]
- Melandri, G.; Liana Monteverde, E.; Riewe, D.; Abdelgawad, H.; Mccouch, S.; Bouwmeester, H. Can biochemical traits bridge the gap between genomics and plant performance? A study in rice under drought. Plant Physiol. 2022, 189, 1139–1152. [Google Scholar] [CrossRef] [PubMed]
- Westhues, M.; Schrag, T.A.; Heuer, C.; Thaller, G.; Utz, H.F.; Schipprack, W.; Thiemann, A.; Seifert, F.; Ehret, A.; Schlereth, A.; et al. Omics-based hybrid prediction in maize. Theor. Appl. Genet. 2017, 130, 1927–1939. [Google Scholar] [CrossRef] [PubMed]



Disclaimer/Publisher’s Note: The statements, opinions and data contained in all publications are solely those of the individual author(s) and contributor(s) and not of MDPI and/or the editor(s). MDPI and/or the editor(s) disclaim responsibility for any injury to people or property resulting from any ideas, methods, instructions or products referred to in the content. |
© 2023 by the authors. Licensee MDPI, Basel, Switzerland. This article is an open access article distributed under the terms and conditions of the Creative Commons Attribution (CC BY) license (https://creativecommons.org/licenses/by/4.0/).
Share and Cite
Montesinos-López, O.A.; Bentley, A.R.; Saint Pierre, C.; Crespo-Herrera, L.; Salinas Ruiz, J.; Valladares-Celis, P.E.; Montesinos-López, A.; Crossa, J. Integrating Parental Phenotypic Data Enhances Prediction Accuracy of Hybrids in Wheat Traits. Genes 2023, 14, 395. https://doi.org/10.3390/genes14020395
Montesinos-López OA, Bentley AR, Saint Pierre C, Crespo-Herrera L, Salinas Ruiz J, Valladares-Celis PE, Montesinos-López A, Crossa J. Integrating Parental Phenotypic Data Enhances Prediction Accuracy of Hybrids in Wheat Traits. Genes. 2023; 14(2):395. https://doi.org/10.3390/genes14020395
Chicago/Turabian StyleMontesinos-López, Osval A., Alison R. Bentley, Carolina Saint Pierre, Leonardo Crespo-Herrera, Josafhat Salinas Ruiz, Patricia Edwigis Valladares-Celis, Abelardo Montesinos-López, and José Crossa. 2023. "Integrating Parental Phenotypic Data Enhances Prediction Accuracy of Hybrids in Wheat Traits" Genes 14, no. 2: 395. https://doi.org/10.3390/genes14020395
APA StyleMontesinos-López, O. A., Bentley, A. R., Saint Pierre, C., Crespo-Herrera, L., Salinas Ruiz, J., Valladares-Celis, P. E., Montesinos-López, A., & Crossa, J. (2023). Integrating Parental Phenotypic Data Enhances Prediction Accuracy of Hybrids in Wheat Traits. Genes, 14(2), 395. https://doi.org/10.3390/genes14020395

