Next Article in Journal
Association of the ACTN3 rs1815739 Polymorphism with Physical Performance and Injury Incidence in Professional Women Football Players
Previous Article in Journal
Biallelic Loss of Function Mutation in Sodium Channel Gene SCN10A in an Autism Spectrum Disorder Trio from Pakistan
 
 
Font Type:
Arial Georgia Verdana
Font Size:
Aa Aa Aa
Line Spacing:
Column Width:
Background:
Article

Enhanced Resolution of Evolution and Phylogeny of the Moths Inferred from Nineteen Mitochondrial Genomes

1
Key Laboratory of Bioresources and Ecoenvironment (Ministry of Education), College of Life Sciences, Sichuan University, Chengdu 610064, China
2
Institute of Qinghai-Tibetan Plateau, Southwest Minzu University, Chengdu 610064, China
3
Collaborative Innovation Center for Ecological Animal Husbandry of Qinghai-Tibetan Plateau, Southwest Minzu University, Chengdu 610064, China
*
Authors to whom correspondence should be addressed.
Genes 2022, 13(9), 1634; https://doi.org/10.3390/genes13091634
Submission received: 24 July 2022 / Revised: 3 September 2022 / Accepted: 6 September 2022 / Published: 12 September 2022
(This article belongs to the Section Animal Genetics and Genomics)

Abstract

:
The vast majority (approximately 90%) of Lepidoptera species belong to moths whose phylogeny has been widely discussed and highly controversial. For the further understanding of phylogenetic relationships of moths, nineteen nearly complete mitochondrial genomes (mitogenomes) of moths involved in six major lineages were sequenced and characterized. These mitogenomes ranged from 15,177 bp (Cyclidia fractifasciata) to 15,749 bp (Ophthalmitis albosignaria) in length, comprising of the core 37 mitochondrial genes (13 protein-coding genes (PCGs) + 22 tRNAs + two rRNAs) and an incomplete control region. The order and orientation of genes showed the same pattern and the gene order of trnM-trnI-trnQ showed a typical rearrangement of Lepidoptera compared with the ancestral order of trnI-trnQ-trnM. Among these 13 PCGs, ATP8 exhibited the fastest evolutionary rate, and Drepanidae showed the highest average evolutionary rate among six families involved in 66 species. The phylogenetic analyses based on the dataset of 13 PCGs suggested the relationship of (Notodontidae + (Noctuidae + Erebidae)) + (Geometridae + (Sphingidae + Drepanidae)), which suggested a slightly different pattern from previous studies. Most groups were well defined in the subfamily level except Erebidae, which was not fully consistent across bayesian and maximum likelihood methods. Several formerly unassigned tribes of Geometridae were suggested based on mitogenome sequences despite a not very strong support in partial nodes. The study of mitogenomes of these moths can provide fundamental information of mitogenome architecture, and the phylogenetic position of moths, and contributes to further phylogeographical studies and the biological control of pests.

1. Introduction

Lepidoptera (butterflies and moths) is the largest single radiation of plant-feeding insects, the diversification of which is presumed to be in synchrony with angiosperms insects [1,2]. Lepidoptera insects cover 133 families, 43 superfamilies and 157,424 extant species in the world, and moths are estimated to make up nearly 90% of the diversity of species [3]. Moths have a profound impact on human society whether acting as major pests in agriculture and forestry [4]; or working as pollinators and economic insects [5,6]; or undertaking as model systems for the studies of genetics, physiology, development, ecology, and evolutionary biology [7,8].
Researches on phylogenetic relationships of moths have been carried out extensively, especially on some large families like Erebidae [9,10], Noctuidae [11,12,13,14,15,16] and Geometridae [17,18,19,20], among which some remarkable and fundamental works were achieved by Kristensen et al. [21,22] and Minet et al. [23,24] initially with the studies of morphological and anatomical characteristics. As molecular markers widely applied to phylogenetic studies, new evidence has been consistently presented based on mitochondrial genes, nuclear ribosomal DNA, nuclear protein-coding genes or a combined method [25,26,27,28,29]. For Noctuoidea, the largest superfamily of moths, its monophyly was morphologically supported by the unique apomorphic character with a metathoracic tympanal organ, and also strongly confirmed by various molecular datasets [25,27,29]. On the other hand, the phylogenic conflicts within Noctuoidea between morphological and molecular results were often reported. Contrasting with the traditional ten-family or the later revised five-family classification system [13,30], recently, a new six-family classification system of Noctuoidea has been well accepted using one mitochondrial gene (COI) and seven nuclear genes (EF-1α, wingless, RpS5, IDH, MDH, GAPDH and CAD): Oenosandridae, Notodontidae, Erebidae, Euteliidae, Nolidae and Noctuida [29]. The Doidae showed a close relationship with groups of Drepanoidea based on molecular support [25,27] instead of an affiliation with Noctuoidea traditionally [22,31]. Noctuidae in the broad former sense was paraphyletic including Lymantriidae and Arctiidae [22], but recently these two have been subsumed into Erebidae as subfamily concepts [10,29]. Similarly, some members of Drepanidea were related with Geometroidea for mostly shared features of abdominal tympanal organs [24,32,33,34]. However, inferred from EF-1a and COI sequences, Drepanidea consisted of the sole family Drepanoidae (including four subfamilies: Drepaninae, Oretinae, Thyatirinae and Cyclidiinae) and the former Epicopeiidae was suggested to be excluded as a separate superfamily [34]. Although the majority of divergences within moths seem credibly established, there remains broadly weak support or unstable nodes among partial subordinate taxa because of deficient genetic information or sparse sampling, thus resulting in conflicting results [3]. Short internal branches resulting from rapid radiation also increase the difficulty of the phylogeny resolution [35].
The mitochondrial genome has been considered as an ideal tool in studies of comparative and evolutionary genomics, molecular evolution, phylogenetics and population genetics [36,37,38] regarding its simple structure, maternal inheritance and that it rarely undergoes recombination [39,40,41]. The insect mitogenomes are a compact circular molecule with a length of 15–18 kb consisting of 37 conserved genes (13 protein-coding genes (PCGs) + 22 tRNA + 2 rRNA), which have been extensively studied, involved in all orders [39]. Recently, multiple studies have used them to address phylogenetic questions about moths where multi-gene analyses have been either unresolved or poorly supported. Some novel findings are consistently proposed with mitogenome data such as the polyphyletic macrolepidopteran superfamilies [42,43,44], which have never been reported in morphological analyses [24,45] or in combined datasets of nucleotide sequences and morphological characteristics [46]. Given the rapid developing sequencing technique, fast accumulated mitogenome resources of moths would accelerate our understanding of the phylogeny, genetics and evolution of moths [47,48]. Though RNA-Seq [35] and whole-genome sequences [49] are also being used in phylogenetic studies of insects, they are limited to few taxa samplings and expensive bills.
In this study, we sequenced nearly complete mitochondrial genomes of nineteen moths across six major families of Lepidoptera (including two of Drepanidae, three of Erebidae, six of Geometridae, one of Noctuidae, four of Notodontidae and three of Sphingidae) based on next-generation sequencing. Comparative analyses on characteristics of mitochondrial genomes and phylogenetic investigations on these species were performed with extensive taxon sampling involved in 66 species in total, with an attempt to provide insight into the evolution of those major lineages of moths. Due to the small taxa sampling, we did not expect a robust phylogenetic tree, but focused more on the impact of newly sequenced species on the phylogenetic classifications compared with previous studies.

2. Materials and Methods

2.1. Taxon Sampling

All these 19 specimens were collected from Mount Qingcheng, Sichuan Province, China. The samples were initially placed in 100% ethyl alcohol under −20 °C in the lab until DNA extraction (College of Life Sciences, Sichuan University). We initially identified all the samples through traditional morphological keys [50,51]. For further verifying the morphological identification, we performed blast searches of the nucleotide collection (nr/nt) database of the NCBI based on cytochrome c oxidase I (COI) mitochondrial gene. Total genomic DNA was extracted by DNeasy Blood & Tissue kit following manufacturer instructions, and the quality of total DNA was checked with 1% agarose gels. The partial sequences of COI gene (~630 bp) for each species served as DNA barcode were amplified with the primers LC01490: 5′-GGTCAACAAATCATAAAGATATTGG-3′ and C02198: 5′-TAAACTTCAGGGTGACCAAAAAATCA-3′ [52], and were sequenced with Sanger sequencing method by Tsingke Biotech (Tsingke Biotechnology Co., Ltd., Chengdu, China). We acquired the best-fit and targeted mitochondrial scaffolds by BLAST searches above at least 98%.

2.2. Mitochondrial Genome Sequencing, Assembly, Annotation

The mitogenome sequences were obtained on the Illumina Hiseq 2500 platform with 150 bp paired-end reads at Novogene company, Chengdu, China. All the libraries were prepared with an average insert size of 350 bp. Each sample was generated about 10 Gb of raw data which was performed read quality control with FastQC [53] and filtered out low quality reads, adapter contamination and ambiguous bases with Trimmomatic [54]. The obtained clean data was used to assemble and annotate the mitochondrial genome through MitoZ [55]. Gene boundaries were further confirmed and aligned against the published mitogenome sequences of moths using MEGA X [56].

2.3. Comparative Analysis of Mitogenome

The overlapping regions and intergenic spacers between genes were counted manually. The base composition and the relative synonymous codon usage were obtained using PhyloSuite [57]. The nucleotide compositional differences between genes were calculated using the formula: AT-skew = (A − T)/(A + T) and GC-skew = (G − C)/(G + C) [58].

2.4. Phylogenetic Analysis

Mitochondrial genomes of 66 moths representing six families of Lepidoptera were selected for phylogeny reconstruction, including the nineteen newly sequenced mitogenomes (Table S1). Xanthochlorus tibetensis and Drosophila melanogaster of Diptera order were selected as outgroups. Thirteen protein-coding genes (PCGs) of these mitogenomes were used as the dataset to construct BI and ML phylogenetic trees by a set of softwares integrated in the PhyloSuite program [57]. Each gene was extracted in batches and then aligned individually by codon-based multiple alignments using the MAFFT algorithm [59] with the L-INS-i strategy and default setting. The conserved regions were identified and unreliably aligned sequences within the datasets were eliminated using Gblock [60]. Then the resulting alignments were concatenated into a single data matrix by PhyloSuite.
Potential substitution saturation was assessed by Xia’s test and index of substitution saturation (Iss) with a GTR model as implemented in DAMBE [61]. Evolutionary rate of PCGs aligned in advance and the ratio of Ka (nonsynonymous substitution rate) and Ks (synonymous substitution rate) were calculated by DnaSP [62].
Subsequently, PartitionFinder [63] was used to infer the optimal partitions and the Bayesian information criterion (BIC) was employed to select the best models under the ‘greedy’ search with linked branch lengths. Phylogenetic trees inferred were constructed using maximum likelihood (ML) with IQ-TREE [64] and Bayesian inference (BI) with MrBayes [65]. For ML analyses, the ultrafast 1000 replicate bootstrapping was conducted in IQ-TREE, and substitutional models were selected with the “Auto” option. BI analyses were executed with 10 million generations with 4 chains, sampling every 1000 generations with a burn in of 25% of sampled values.

3. Results and Discussion

3.1. Mitogenome Structure and Organization

The newly sequenced moths were involved in six families of Lepidoptera. All of them were assembled as a nearly complete mitogenome. These mitogenome sequences ranged from 15,177 bp (Cyc. fractifasciata) to 15,749 bp (Op. albosignaria) in length, and each of them included all core 37 mitochondrial genes (13 PCGs, 22 tRNAs genes and two rRNA genes) and the partial control region. Same as most insects, a total of 14 genes including four PCGs, eight tRNAs and two rRNAs were located on the light strand, and the other 23 genes including nine PCGs and 14 tRNAs were located on the height strand (Figure 1) [36,66,67]. The detailed gene information about the nineteen moths was listed in Table S2.
The overall nucleotide composition of all the nineteen months was biased toward A and T, as a common characteristic existing in Lepidoptera insects [48,68]. The total A + T content showed a highest level of 81.9% in Barsine fuscozonata, and Op. albosignaria while showed a lowest level of 78.1% in Kamalia tattakana based on the whole mitogenome sequence (Table 1). However, these values were probably underestimated because of partial AT rich region assembled.
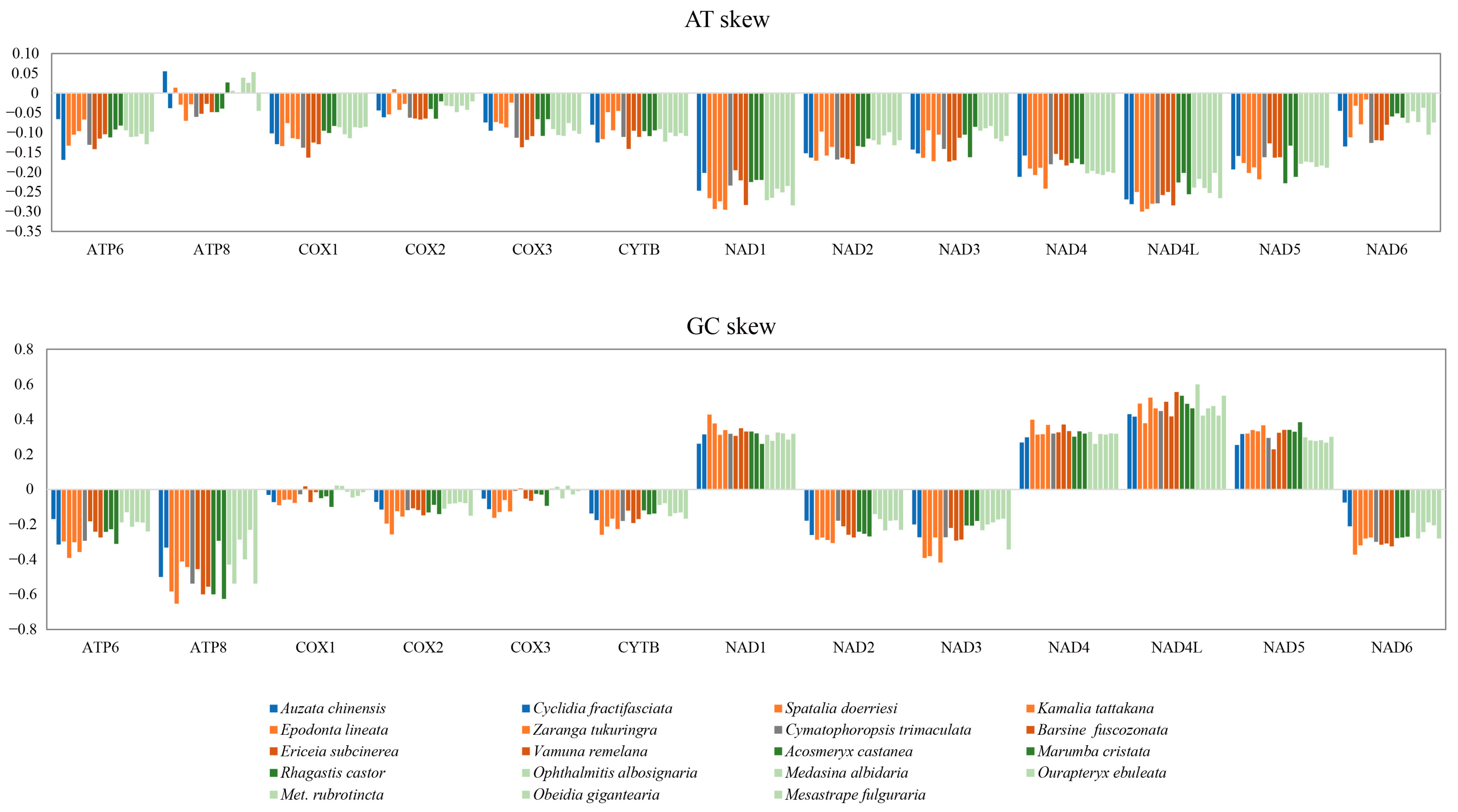
Considering the PCGs forming the most mitogenome sequences, we analyzed the strand bias of nucleotide composition of 13 PCGs that are routinely measured by AT skews and GC skews [58]. For all codon sites of the PCGs sequences, it appeared that these moths were almost characterized by significant negative values for AT skews, indicating a strand compositional bias characterized by an excess of A relative to T nucleotides (Table 2). The origin of the strand bias can be related to asymmetric mutational constraints involving deaminations of A and C nucleotides during the replication and/or transcription processes that would result in pairings with C and A, respectively [69]. However, the most taxa exhibited weakly positive GC skew values (<0.1) though the third position of codons showed high negative values. This result was not consistent with the previous view on three Lepidoptera insects [70]. Therefore, we performed a further analysis for each PCG individually to trace the source of an asymmetric base composition. As Figure 2 showed, the positive values of GC skew were mainly from ND1, ND4, ND4L and ND5, which was thought to be related to the direction of replication. The variation of GC skew pattern between various taxa still remains unknown. The newly sequenced moth mitogenomes would provide further insight for the evolution of the mitogenome and ecological adaption [71].

3.2. Overlapping Sequences and Intergenic Spacers

Gene arrangements in mitogenomes are important evolutionary events and provide valuable phylogenetic signals [72]. As shown in Figure 1, the same gene order of trnM-trnI-trnQ was observed among the nineteen mitogenomes of moths, which differed from those of ancestral insects trnI-trnQ-trnM [39]. The rearrangement of trnQ is considered as a Lepidoptera-specific pattern [70,73,74], which could be resulted from the tandem duplication-random loss (TDRL) [75]. This rearrangement is highly conversed in many taxonomic groups of Lepidoptera such as Erebidae [41,73,76], Notodontidae [74], Limacodidae [36] and so on. While two non-ditrysian species of Hepialoidea in Lepidoptera that had diverged at Early Cretaceous Epoch of the Mesozoic Era displayed an ancestral gene arrangement, evidencing that this gene arrangement likely occurred after that Hepialoidea diverged from other Lepidopteran lineages [77]. As more mitogenomes resources revealed, more gene arrangement-related variations were found in Lepidoptera [78] and other various insect orders [39], which would promote further understandings on the insect evolution, phylogeny and genetics.
The presence of the overlapping region represents a way to economize the design of the mitogenome [79]. For each mitogenome of these 19 moths there were 7 to 13 overlapping regions, and the total length of overlapping sequences ranged from 27 bp (Ou. ebuleata) to 72 bp (Ep. lineata). The longest overlap (25 bp) was located between trnL and rrnL, which was consistent with previous studies [80]. The overlaps between ATP6 and ATP8, and between trnC and trnW were detected in all the 19 moths, and they were reported conserved in Lepidoptera [36,41,67,73,76].
Various intergenic spacers occurred in moths such as regions between trnQ and NAD2, between CYTB and NAD6, and between trnS2 and NAD1, [36,41,67,73,76]. Minimizing intergenic spacers is another way to shorten the mitogenome [79]. The large intergenic spacer is little known in moths. To date, the longest intergenic regions (222 bp between trnE and trnF) have been found in the mitogenome of Adoxophyes honmai of Tortricidae [81]. Here, we found a region of 100 bp intergenic spacer between trnS and trnE in M. cristata.

3.3. Codon Usage and Contrasting Rates of Evolution

Apart from NAD1 and COX1, almost all genes of 19 mitogenomes were initiated with typical ATN codons. In three of six Geometridae species NAD1 started with TTG, which was reported to be conserved in beetles [82]. TTG was proposed as start codon for economic evolution by minimizing the intergenic space and avoiding overlap with the abutting tRNA [82]. COX1 possessed diverse starting codons including additional CGA, AAG and AAA and these codons scattered among families, which indicated no relation with lineages. For the stop codons, six PCGs (ATP6, ATP8, COX3, NAD2, NAD6 and CYTB) terminated with complete codon of TAA in all 19 mitogenomes, and three PCGs (NAD1, NAD3, NAD4L) also terminated with “TAG” in several species. Additionally, truncated termination codon “T” or “TA” is common in insects, which could be recognized by endonucleases during polycistronic pre-mRNA transcription [41].
The relative synonymous codon usage (RSCU) of 13 PCGs in the nineteen mitogenomes was calculated (Figure S1). The RSCU values of six species representing six families individually were presented in Figure 3. In general, RSCU showed a similar distribution among families/species. Most amino acids showed a bias on the usage of synonymous codons with a higher frequency of AT than GC, a conserved feature in an insect. The UUA presented significantly high RSCU values (about five) than other codon families (approximately two-fold higher than the second), which was consistent in the six lineages. Whereas, the Notodontidae species showed slightly lower RSCU values. All the 62 codons found were only present in K. tattakana. The number of lacked codons ranged from 1 to 6, and the codon AGG, CUG and ACG were absent in multiple species. Five codon families with most usage frequencies (>200) were observed in all nineteen mitogenomes including Leu 2 (UUA), Ile (AUU), Phe (UUU), Met (AUA), Asn (AAU). The distribution pattern of codon families was mostly in keep with previous reports of moths [36,73].
Amino acid sequences are less effected by random similarity and alignment ambiguity compared with nucleotide data [47]. An evolutionary pattern was analyzed among the aligned amino acids sequence of 13 PCGs in six families respectively (including extensively published 57 species) (Figure 4). Ks showed diversity among genes but exhibited similarity among families, with an exception of the Notodontidae family that showed higher Ks than other taxa across all 13 PCGs. Synonymous substitutions are often assumed to be free of selection at the protein level. Notodontidae exhibited relatively higher values than others, indicating an approximation of the neutral mutation rate. Meanwhile, the ratio of Ka/Ks, a typical indicator of evolutionary rate [83,84], did not show similarly elevated values as Ks between Notodontidae and other families. Notodontidae and other moths displayed low evolutionary rates (Ka/Ks < 1) in the 13 PCGs, suggesting that these genes experienced purifying selection. Among them, ATP8 showed the highest ratio of Ka/Ks, suggesting its least selection pressure and fastest evolution, and COX1 showed the lowest, suggesting the opposite pattern [66,83,84]. Drepanidae showed higher Ka/Ks values between ATP8 and NAD6 than other families, possibly indicating their important role in the evolution of mitogenome.
The saturation plots showed that there was no significant saturation in all codon positions including third codon positions with relatively ‘freely’ evolution, implying that the nucleotides for the phylogenetic reconstruction were qualified (Figure 5).

3.4. Phylogenetic Analysis

The phylogenetic analyses were performed based on concatenated 13 PCGs from 66 complete or near complete mitogenomes, representing six families of moths including Drepanidae, Erebidae, Geometridae, Noctuidae, Notodontidae and Sphingidae. Two mitogenomes from Dolichopodidae and Drosophilidae of Diptera, respectively, were used as outgroups. The phylogenetic results generated from Bayesian and ML inferences had mostly identical topologies in the subfamily level, with exceptions of unstable Erebinae and Lymantriinae (Figure 6 and Figure 7).
All species were divided into two major groups.
The first group was composed of noctuids, and the relationship of Notodontidae + (Erebidae + Noctuidae) was well defined with strong supports (PP:1.00; BS:99). They are members of well-accepted six families of Noctuoidea (a superfamily of noctuids) that includes the other three families (Oenosandridae, Euteliidae, Nolidae) unlisted in this study [29]. Noctuoidea shows highly apomorphic morphology and rapid radiation, resulting in a difficulty in addressing the phylogenetic relationship [10,16,29,85]. The phylogenetic results can be impacted bymolecular datasets, taxa samplings and analytical strategies. Zahiri et al. conducted a series of phylogenetic analyses within Noctuoidea using seven nuclear genes and one mitochondrial gene from different sampling sets, and observed different patterns among families [10,16,29,85]. Regier et al. [86] reconstructed a phylogenetic tree with 5–19 genes (6.7–18.6 kb) in 74 noctuoids, and proposed a novel relationship pattern: (Notodontidae + (Erebidae + (Noctuidae + (Euteliidae + Nolidae))). Yang et al. and Zhu et al. reached an agreement based on mitogenome datasets: Notodontidae + (Erebidae + Nolidae + (Euteliidae + Noctuidae)) [74,87]. Despite various patterns within Noctuoidea, our results had shared characteristics with those of studies that Notodontidae originated earlier than Noctuidae and Erebidae; Noctuidae remained diverged with Erebidae.
Within Notodontidae, the Notodontinae that was represented by the newly sequenced genus Kamalia clustered with Thaumetopoeinae. This clustering was similar to that of Regier et al., where the representatives of Notodontinae were Furcula and Cerura [86]. In our study, the sister Ptilodontinae and Dudusiane with representatives of Epodonta and Zaranga, respectively, were not recovered compared with that of Regier et al. [86], which possibly resulted from different target species. The two genera Clostera and Spatalia of Pygaerinae formed the basal group while they were separated by three nodes with high bootstrap supports. This finding indicated polyphyletic evolution of Pygaerinae in accordance with that of Schintlmeister [88] and of Regier et al. [86], and we have more reasonable grounds to suspect that Spatalia belongs to Pygaerinae. A polygenetic relationship increases the difficulty to understand actual phylogeny among these groups. To resolve this problem requires more sampling involved and wider coverage of taxa. Species of Cyclidia were firstly sequenced with mitogenome here. Cyclidia belonging to Cyclidiinae of Drepanidae was supported by morphological characters and several gene markers [34,89,90], which was unexpectedly placed in Notodontidae with a strong nodal support based on mitogenome data in our study. We treated it as Notodontid sp. herein, while more mitogenome information of relevant groups was required to resolve the uncertainty.
Within Noctuidae, the relationship of (Amphipyrinae + (Heliothinae + Noctuinae)) + (Plusiinae + Acronictinae) was strongly supported in our study. Previously, Plusiinae as one of the early diverging groups, was separated with these four subfamilies belonging to “higher noctuids”. Heliothinae, Noctuinae and related smaller subfamilies/tribes/unassociated genera formed the “pest clade” [13,14,15,16,27,86]. However, Acronictinae were grouped with Amphipyrinae, rather than Plusiinae in this study. The representative of Amphipyrinae here, Spodoptera (Pogue 2002), is unstable in the taxonomic positionthat is initially included in Acronictinae or sometimes in Noctuinae [1,13,91]. Spodoptera and allies diverged earlier than Heliothinae, a result identical with that of Regier et al. [86]. However, recent studies suggested the opposite conclusion using more related species within these two subfamilies based on mitogenome datasets [11,73,76,83]. Cymatophoropsis (Hampson, 1894), was considered to be one member of Acronictinae in Noctuidae [14] while is was assigned to Erebidae at some taxonomic websites such as NCBI and BOLD, and our result also strongly supportedthe former.
The Erebidae clade consisted of Arctiinae, Lymantriinae and partial concepts of quadrifine noctuoids (those with a strong vein MA2 in the hindwing) that included Herminiinae, Hypeninae and Erebinae [29]. The phylogenetic relationships of Erebidae and its concepts have undergone significant changes, such as these subfamilies in our study formerly as separated families of Noctuidea or as subfamilies of Noctuidae [13,30]. Here, the monophyly of Erebidae was recovered with strong support (PP:100; BS:1.00). The relationships of Hypeninae + ((Erebinae + Lymantriinae) + (Herminiinae + Arctiinae)) were supported by BI tree, by contrast, (Lymantriinae + Hypeninae) + (Arctiinae + (Erebinae + Herminiinae)) was supported by ML tree. Both the molecular and morphological evidences confirmed that Hypeninae was close to the basal lineage to branch off first compared with the other four subfamilies [29,30,41,86]. Previous studies [10,41,86] and our BI tree both supported (PP:1.00) the grouping of Herminiinae and Arctiinae. In trees of Regier et al. [86] and Zahiri et al. [10], these two subfamilies plus Aganainae and Pangraptina were termed as “Arctiine lineage”. The “Arctiine lineage” remained divergent with “Erebine lineage” including Erebinae and additional families such as Scolecocampinae, Boletobinae and Hypenodinae. Lymantriinae, for its unstable position, was included in neither “Arctiine lineage” or “Erebine lineage”. Thus, the topology based on the Bayesian analysis might be closer to the real phylogeny of the Erebinae family. Despite the differences shown in the two trees, the relationships within Arctiinae subfamily appeared to get resolved well. The divergence between Vamuna and the other clade (consisting of Amata, Callimorpha, Hydrillodes and Arctia) was stable, which was confirmed by Galarza et al. based on eleven mitochondrial genes (excluding ATP8 and ND6) [9].
The second group of Geometridae + (Sphingidae + Drepanidae) was recovered, which suggested that Geometroidea was close to the sister group of Bombycoidea and Drepanoidea, with Noctuoidea as the basal branch. Although increasing studies aimed to resolve the phylogeny of Lepidoptera among superfamilies, accumulated contradictories were observed. For example, a phylogenetic pattern of Lepidoptera was supported by Regier et al. (2013) [27] using 483 taxon for 19 protein-coding nuclear genes: ((Noctuoidea + Bombycoidea) + Geometroidea) + Drepanoidea; a different pattern was observed according to the partial results of Kawahara et al.’s study [1] using 186 species for 2098 orthologous protein-coding genes: ((Geometroidea + Bombycoidea) + Noctuoidea) + Drepanoidea; Heikkilä et al. [92] proposed another pattern combining morphological and molecular data covering 473 taxa and 6702 characters (530 morphological characters; 6172 bp): ((Noctuoidea + Bombycoidea) + Drepanoidea) + Geometroidea. However, our study showed a distinctive pattern with all mentioned above.
The clade of Auzata and Drepana as representatives of Drepanidae was sister to Sphingidae. Within Sphingidae, there were three subfamilies: Sphinginae, Smerinthinae and Macroglossinae. Each of these was recovered as monophyletic with very high support values (PP = 1.00, BS = 100), while monophyletic Sphinginae required further testing as it comprised only a single genus and species herein. As our topology showed, Sphinginae was sister to Smerinthinae and Macroglossinae was firstly branched off as the basal group, which accorded with the results of Kawahara et al. by five nuclear genes [1] and of Wang et al. by two datasets of PCG123R (including all codon positions) and PCG12R (removing the third codon positions) [93]. The intergroups of Smerinthinae were also well-defined with strong support, and three major groups were recovered herein corresponding to the tribe Leucophlebiini (Leucophlebia, Clanis), tribe Ambulycini (Orecta, Protambulyx, Adhemarius) and tribe Sichiini (Marumba), a result identical with that of Wang et al. [93].
Within Geometridae, two major clades were recovered by BI and ML trees (PP:1.00; BS:100). The first one included Sterrhinae and Larentiinae; the second one included Ennominae and Geometrinae. The sister relationship of Sterrhinae and Larentiinae has been confirmed by morphological evidences [94] and molecular analyses [95,96], but there existed some exceptions that some Larentiinae species were included in [97] or just next to Sterrhinae instead as sister group to Sterrhinae [17]. Ennominae is the largest subfamily of the Geometridae, highly diverse in the morphology [17]. Within Ennominae, many tribes and genera on phylogenetic status have been in dispute or have not been assigned. Ennominae formed the monophyletic group with strong support (PP:0.93; BS:94). To date, almost all molecular studies have reached agreement on the monophyly of Ennominae [17,96,98,99] except Young et al.’s study [100]. Despite weak support at some internal nodes, there were clearly observed two major subclades within Ennominae, corresponding to the two typical divisions of “ennomine” and “boarmiine” moths based on the structure of the cremaster in the pupal stage [101,102]. Two unassigned genera, Obeidia and Xanthabraxas, showed a close relationship with members of “ennomine” Phthonandria (tribe gnophini) and Ourapteryx (tribe ourapterygini). In the “boarmiine” subcalde, the sister Semiothisa and Abraxas, as representatives of tribe macariini and abraxini respectively, together were sisters to the rest of the taxa with strong supports. The rest of the taxa mostly belonged to Boarmiini tribe, with an exception of Metabraxas belonging to cystidiini tribe, which was not coincident with monophyletic Boarmiini [17,18]. Cystidiini is a Palaearctic tribe, first introduced by Stekolnikov and Kuznetzov [103] but not included in the Forum Herbulot list of the Geometridae tribes (2014) being little known [104] either morphologically or molecularly. It is the first time that species of cystidiini have been involvedin a molecular analysis based on a whole mitogenome sequence, although Metabraxas coryneta was previously reported for species identification with a COI gene sequence [52]. Metabraxas as the sister group of Ophthalmitis was supported by the BI tree (PP:0.88) in contrast with being the sister group of Mesastrape which was supported by ML tree (BS:65). Poorly nodal supports in resolving the relationships within Boarmiini may get improved when given good taxon sampling.

4. Conclusions

Our study determined nineteen nearly complete mitochondrial genomes across six families of Lepidoptera by next generation sequencing technologies including Drepanidae, Erebidae, Geometridae, Noctuidae, Notodontidae and Sphingidae. The comparative mitogenome analyses suggested conserved characteristics among these species such as being highly A + T-biased, having a rapidly evolved ATP8 gene, being a typical rearrangement of trnM-trnI-trnQ and having a weak strand bias based on GC skew of PCGs. Phylogenetic results supported the relationships at the superfamily level as follows: (Noctuoidea + (Geometroidea + (Bombycoidea + Drepanoidea))); a different pattern from previous reports. The relationships of most families among subordinated taxa were well defined with strong supports such as Drepanidae and Sphingidae, but partial clades within species-rich groups such as Ennominae were inadequate in support. Therefore, robust phylogeny needs further investigation with increased taxa sampling. With expanded comparative analyses on moths, our studies will throw greater light on the evolution and phylogeny of moths and the biological control of pests.

Supplementary Materials

The following supporting information can be downloaded at: https://www.mdpi.com/article/10.3390/genes13091634/s1, Figure S1: The relative synonymous codon usage (RSCU) of 13 PCGs in the nineteen mitogenomes. Table S1: Species information of mitochondrion genomes used in the study. Table S2: Details on the gene organization of the nineteen moth mitogenomes.

Author Contributions

Conceptualization and methodology, X.Z., R.Z., B.Y., Y.W., N.Y. and C.Z; Data software, validation, formal analysis, X.Z., R.Z. and C.Z.; investigation and resources; N.Y. and C.Z.; writing, X.Z. and C.Z.; funding acquisition, B.Y., Y.W. and N.Y. All authors have read and agreed to the published version of the manuscript.

Funding

This research received no external funding.

Institutional Review Board Statement

This study was supported by the Natural Science Foundation of Sichuan Province, grant number 2022NSFSC0130.

Informed Consent Statement

Not applicable.

Data Availability Statement

The data supporting the findings of this study are openly available from the NCBI (https://www.ncbi.nlm.nih.gov/). Accession numbers are listed in Table S1.

Acknowledgments

We are grateful to Wei Liu for the sample collection.

Conflicts of Interest

The authors declare no conflict of interest.

References

  1. Kawahara, A.Y.; Plotkin, D.; Espeland, M.; Meusemann, K.; Toussaint, E.F.; Donath, A.; Gimnich, F.; Frandsen, P.B.; Zwick, A.; Dos Reis, M. Phylogenomics reveals the evolutionary timing and pattern of butterflies and moths. Proc. Natl. Acad. Sci. USA 2019, 116, 22657–22663. [Google Scholar] [CrossRef] [PubMed]
  2. Wahlberg, N.; Wheat, C.W.; Peña, C. Timing and patterns in the taxonomic diversification of Lepidoptera (butterflies and moths). PLoS ONE 2013, 8, e80875. [Google Scholar] [CrossRef] [PubMed]
  3. Mitter, C.; Davis, D.R.; Cummings, M.P. Phylogeny and evolution of Lepidoptera. Annu. Rev. Entomol. 2017, 62, 265–283. [Google Scholar] [CrossRef]
  4. Huseth, A.S.; Koch, R.L.; Reisig, D.; Davis, J.A.; Paula-Moraes, S.V.; Hodgson, E.W. Current distribution and population persistence of five lepidopteran pests in US soybean. J. Integr. Pest Manag. 2021, 12, 11. [Google Scholar] [CrossRef]
  5. Arditti, J.; Elliott, J.; Kitching, I.J.; Wasserthal, L.T. ‘Good Heavens what insect can suck it’–Charles Darwin, Angraecum sesquipedale and Xanthopan morganii praedicta. Bot. J. Linn. Soc. 2012, 169, 403–432. [Google Scholar] [CrossRef]
  6. Meng, X.; Zhu, F.; Chen, K. Silkworm: A promising model organism in life science. J. Insect Sci. 2017, 17, 97. [Google Scholar]
  7. Brady, D.; Saviane, A.; Cappellozza, S.; Sandrelli, F. The Circadian Clock in Lepidoptera. Front. Physiol. 2021, 12, 2049. [Google Scholar] [CrossRef]
  8. Roe, A.; Weller, S.; Baixeras, J.; Brown, J.; Cummings, M.; Davis, D.; Kawahara, A.; Parr, C.; Regier, J.; Rubinoff, D. Evolutionary framework for Lepidoptera model systems. In Genetics and Molecular Biology of Lepidoptera; CRC Press: Boca Raton, FL, USA, 2009; pp. 1–24. [Google Scholar]
  9. Ghanavi, H.R.; Twort, V.; Hartman, T.J.; Zahiri, R.; Wahlberg, N. The (non) accuracy of mitochondrial genomes for family level phylogenetics: The case of erebid moths (Lepidoptera; Erebidae). bioRxiv 2021. [Google Scholar] [CrossRef]
  10. Zahiri, R.; Holloway, J.D.; Kitching, I.J.; Lafontaine, J.D.; Mutanen, M.; Wahlberg, N. Molecular phylogenetics of Erebidae (Lepidoptera, noctuoidea). Syst. Entomol. 2012, 37, 102–124. [Google Scholar] [CrossRef]
  11. Kergoat, G.J.; Goldstein, P.Z.; Le Ru, B.; Meagher Jr, R.L.; Zilli, A.; Mitchell, A.; Clamens, A.-L.; Gimenez, S.; Barbut, J.; Nègre, N. A novel reference dated phylogeny for the genus Spodoptera Guenée (Lepidoptera: Noctuidae: Noctuinae): New insights into the evolution of a pest-rich genus. Mol. Phylogenetics Evol. 2021, 161, 107161. [Google Scholar] [CrossRef]
  12. Li, Z.; Wang, W.; Zhang, L. Complete mitochondrial genome of Spodoptera littoralis (Lepidoptera: Noctuidae) from Egypt. Mitochondrial DNA Part B 2021, 6, 432–434. [Google Scholar] [CrossRef] [PubMed]
  13. Mitchell, A.; Mitter, C.; Regier, J.C. Systematics and evolution of the cutworm moths (Lepidoptera: Noctuidae): Evidence from two protein-coding nuclear genes. Syst. Entomol. 2006, 31, 21–46. [Google Scholar] [CrossRef]
  14. Rota, J.; Zacharczenko, B.V.; Wahlberg, N.; Zahiri, R.; Schmidt, B.; Wagner, D.L. Phylogenetic relationships of Acronictinae with discussion of the abdominal courtship brush in Noctuidae (Lepidoptera). Syst. Entomol. 2016, 41, 416–429. [Google Scholar] [CrossRef]
  15. Speidel, W.; Fänger, H.; Naumann, C. The phylogeny of the Noctuidae (Lepidoptera). Syst. Entomol. 1996, 21, 219–252. [Google Scholar] [CrossRef]
  16. Zahiri, R.; Lafontaine, D.; Schmidt, C.; Holloway, J.D.; Kitching, I.J.; Mutanen, M.; Wahlberg, N. Relationships among the basal lineages of Noctuidae (Lepidoptera, Noctuoidea) based on eight gene regions. Zool. Scr. 2013, 42, 488–507. [Google Scholar] [CrossRef]
  17. Murillo-Ramos, L.; Brehm, G.; Sihvonen, P.; Hausmann, A.; Holm, S.; Ghanavi, H.R.; Õunap, E.; Truuverk, A.; Staude, H.; Friedrich, E. A comprehensive molecular phylogeny of Geometridae (Lepidoptera) with a focus on enigmatic small subfamilies. PeerJ 2019, 7, e7386. [Google Scholar] [CrossRef]
  18. Murillo-Ramos, L.; Chazot, N.; Sihvonen, P.; Õunap, E.; Jiang, N.; Han, H.; Clarke, J.T.; Davis, R.B.; Tammaru, T.; Wahlberg, N. Molecular phylogeny, classification, biogeography and diversification patterns of a diverse group of moths (Geometridae: Boarmiini). Mol. Phylogenetics Evol. 2021, 162, 107198. [Google Scholar] [CrossRef]
  19. Pitkin, L.M. Neotropical ennomine moths: A review of the genera (Lepidoptera: Geometridae). Zool. J. Linn. Soc. 2002, 135, 121–401. [Google Scholar] [CrossRef]
  20. Sihvonen, P.; Mutanen, M.; Kaila, L.; Brehm, G.; Hausmann, A.; Staude, H.S. Comprehensive molecular sampling yields a robust phylogeny for geometrid moths (Lepidoptera: Geometridae). PLoS ONE 2011, 6, e20356. [Google Scholar] [CrossRef]
  21. Kristensen, N.P.; Scoble, M.J.; Karsholt, O. Lepidoptera phylogeny and systematics: The state of inventorying moth and butterfly diversity. Zootaxa 2007, 1668, 699–747. [Google Scholar] [CrossRef]
  22. Kristensen, N.P.; Skalski, A.W. 2. Phylogeny and Palaeontology. Lepid. Moths Butterflies 1998, 1, 7–25. [Google Scholar]
  23. Minet, J. Ébauche d’une classification modern de l’ordre des Lépidoptères. Alexanor 1986, 14, 291–313. [Google Scholar]
  24. Minet, J. Tentative reconstruction of the ditrysian phylogeny (Lepidoptera: Glossata). Insect Syst. Evol. 1991, 22, 69–95. [Google Scholar] [CrossRef]
  25. Mutanen, M.; Wahlberg, N.; Kaila, L. Comprehensive gene and taxon coverage elucidates radiation patterns in moths and butterflies. Proc. R. Soc. B Biol. Sci. 2010, 277, 2839–2848. [Google Scholar] [CrossRef] [PubMed]
  26. Regier, J.C.; Cook, C.P.; Mitter, C.; Hussey, A. A phylogenetic study of the ‘bombycoid complex’(Lepidoptera) using five protein-coding nuclear genes, with comments on the problem of macrolepidopteran phylogeny. Syst. Entomol. 2008, 33, 175–189. [Google Scholar] [CrossRef]
  27. Regier, J.C.; Mitter, C.; Zwick, A.; Bazinet, A.L.; Cummings, M.P.; Kawahara, A.Y.; Sohn, J.-C.; Zwickl, D.J.; Cho, S.; Davis, D.R. A large-scale, higher-level, molecular phylogenetic study of the insect order Lepidoptera (moths and butterflies). PLoS ONE 2013, 8, e58568. [Google Scholar] [CrossRef]
  28. Weller, S.; Friedlander, T.; Martin, J.; Pashley, D. Phylogenetic studies of ribosomal RNA variation in higher moths and butterflies (Lepidoptera: Ditrysia). Mol. Phylogenetics Evol. 1992, 1, 312–337. [Google Scholar] [CrossRef]
  29. Zahiri, R.; Kitching, I.J.; Lafontaine, J.D.; Mutanen, M.; Kaila, L.; Holloway, J.D.; Wahlberg, N. A new molecular phylogeny offers hope for a stable family level classification of the Noctuoidea (Lepidoptera). Zool. Scr. 2011, 40, 158–173. [Google Scholar] [CrossRef]
  30. Lafontaine, J.D.; Fibiger, M. Revised higher classification of the Noctuoidea (Lepidoptera). Can. Entomol. 2006, 138, 610–635. [Google Scholar] [CrossRef]
  31. Miller, J.S. Cladistics and Classification of the Notodontidae (Lepidoptera, Noctuoidea) Based on Larval and Adult Morphology. Bulletin of the AMNH; no. 204. 1991. Available online: https://digitallibrary.amnh.org/bitstream/handle/2246/897//v2/dspace/ingest/pdfSource/bul/B204a01.pdf?sequence=1&isAllowed=y (accessed on 30 August 2022).
  32. Chu, H.; Wang, L. Fauna Sinica. Insecta. Vol. 3. LepidopteraCyclidiidaeDrepanidae; Science Press: Beijing, China, 1991. [Google Scholar]
  33. Imms, A.D. A General Textbook of Entomology; Dutton: New York, NY, USA, 1934. [Google Scholar]
  34. Wu, C.; Han, H.; Xue, D. A pilot study on the molecular phylogeny of Drepanoidea (Insecta: Lepidoptera) inferred from the nuclear gene EF-1α and the mitochondrial gene COI. Bull. Entomol. Res. 2010, 100, 207–216. [Google Scholar] [CrossRef]
  35. Bazinet, A.L.; Cummings, M.P.; Mitter, K.T.; Mitter, C.W. Can RNA-Seq resolve the rapid radiation of advanced moths and butterflies (Hexapoda: Lepidoptera: Apoditrysia)? An exploratory study. PLoS ONE 2013, 8, e82615. [Google Scholar]
  36. Bian, D.; Ye, W.; Dai, M.; Lu, Z.; Li, M.; Fang, Y.; Qu, J.; Su, W.; Li, F.; Sun, H. Phylogenetic relationships of Limacodidae and insights into the higher phylogeny of Lepidoptera. Int. J. Biol. Macromol. 2020, 159, 356–363. [Google Scholar] [CrossRef]
  37. Jiang, Y.; Li, H.; Yu, X.; Yang, M. Characterization of two complete mitochondrial genomes of Atkinsoniella (Hemiptera: Cicadellidae: Cicadellinae) and the phylogenetic implications. Insects 2021, 12, 338. [Google Scholar] [CrossRef]
  38. Zhang, R.; Li, J.; Geng, S.; Yang, J.; Zhang, X.; An, Y.; Li, C.; Cui, H.; Li, X.; Wang, Y. The first mitochondrial genome for Phaudidae (Lepidoptera) with phylogenetic analyses of Zygaenoidea. Int. J. Biol. Macromol. 2020, 149, 951–961. [Google Scholar] [CrossRef] [PubMed]
  39. Cameron, S.L. Insect mitochondrial genomics: Implications for evolution and phylogeny. Annu. Rev. Entomol. 2014, 59, 95–117. [Google Scholar] [CrossRef]
  40. Lin, C.-P.; Danforth, B.N. How do insect nuclear and mitochondrial gene substitution patterns differ? Insights from Bayesian analyses of combined datasets. Mol. Phylogenetics Evol. 2004, 30, 686–702. [Google Scholar] [CrossRef]
  41. Sun, Y.; Huang, H.; Liu, Y.; Liu, S.; Xia, J.; Zhang, K.; Geng, J. Organization and phylogenetic relationships of the mitochondrial genomes of Speiredonia retorta and other lepidopteran insects. Sci. Rep. 2021, 11, 2957. [Google Scholar] [CrossRef]
  42. Kim, M.J.; Kang, A.R.; Jeong, H.C.; Kim, K.G.; Kim, I. Reconstructing intraordinal relationships in Lepidoptera using mitochondrial genome data with the description of two newly sequenced lycaenids, Spindasis takanonis and Protantigius superans (Lepidoptera: Lycaenidae). Mol. Phylogenetics Evol. 2011, 61, 436–445. [Google Scholar] [CrossRef]
  43. Tian, L.; Sun, X.; Chen, M.; Gai, Y.; Hao, J.; Yang, Q. Complete mitochondrial genome of the Five-dot Sergeant Parathyma sulpitia(Nymphalidae: Limenitidinae) and its phylogenetic implications. Zool. Res. 2012, 33, 133–143. [Google Scholar] [CrossRef]
  44. Yang, L.; Wei, Z.-J.; Hong, G.-Y.; Jiang, S.-T.; Wen, L.-P. The complete nucleotide sequence of the mitochondrial genome of Phthonandria atrilineata (Lepidoptera: Geometridae). Mol. Biol. Rep. 2009, 36, 1441–1449. [Google Scholar] [CrossRef]
  45. Nielsen, E. Phylogeny of Major Lepidopteran Groups. In The Hierarchy of Life; Elsevier: Amsterdam, The Netherlands, 1989; pp. 281–294. [Google Scholar]
  46. Weller, S.; Pashley, D. In search of butterfly origins. Mol. Phylogenetics Evol. 1995, 4, 235–246. [Google Scholar] [CrossRef] [PubMed]
  47. Song, N.; Zhang, H.; Zhao, T. Insights into the phylogeny of Hemiptera from increased mitogenomic taxon sampling. Mol. Phylogenetics Evol. 2019, 137, 236–249. [Google Scholar] [CrossRef] [PubMed]
  48. Yang, L.; Dai, J.; Gao, Q.; Yuan, G.; Liu, J.; Sun, Y.; Sun, Y.; Wang, L.; Qian, C.; Zhu, B. Characterization of the complete mitochondrial genome of Orthaga olivacea Warre (Lepidoptera Pyralidae) and comparison with other Lepidopteran insects. PLoS ONE 2020, 15, e0227831. [Google Scholar] [CrossRef] [PubMed]
  49. Allio, R.; Scornavacca, C.; Nabholz, B.; Clamens, A.L.; Sperling, F.A.; Condamine, F.L. Whole Genome Shotgun Phylogenomics Resolves the Pattern and Timing of Swallowtail Butterfly Evolution. Syst Biol 2020, 69, 38–60. [Google Scholar] [CrossRef]
  50. Xue, D. Fauna Sinica, Insecta XV. Lepidoptera; Institute of Zoology, Chinese Academy of Sciences: Beijing, China, 2000. [Google Scholar]
  51. Zhang, W. A Great Ecological Guide to Insects in China. Chongqing Municipality; Chongqing University Press Co., Ltd.: Chongqing, China, 2011. [Google Scholar]
  52. Wang, H.; Zhang, X.; Wang, L.; Yue, B.; Feng, S.; Chen, B.; Meng, Y. DNA Barcoding-Based Identification of Geometridae in the Laojunshan National Nature Reserve, Sichuan. Sichuan J. Zool. 2021, 40, 404–414. [Google Scholar]
  53. Andrews, S. FastQC: A Quality Control Tool for High Throughput Sequence Data. 2010. Available online: http://www.bioinformatics.babraham.ac.uk/projects/fastqc/ (accessed on 30 August 2022).
  54. Bolger, A.M.; Lohse, M.; Usadel, B. Trimmomatic: A flexible trimmer for Illumina sequence data. Bioinformatics 2014, 30, 2114–2120. [Google Scholar] [CrossRef]
  55. Meng, G.; Li, Y.; Yang, C.; Liu, S. MitoZ: A toolkit for animal mitochondrial genome assembly, annotation and visualization. Nucleic Acids Res. 2019, 47, e63. [Google Scholar] [CrossRef] [PubMed]
  56. Kumar, S.; Stecher, G.; Li, M.; Knyaz, C.; Tamura, K. MEGA X: Molecular evolutionary genetics analysis across computing platforms. Mol. Biol. Evol. 2018, 35, 1547. [Google Scholar] [CrossRef] [PubMed]
  57. Zhang, D.; Gao, F.; Jakovlić, I.; Zou, H.; Zhang, J.; Li, W.X.; Wang, G.T. PhyloSuite: An integrated and scalable desktop platform for streamlined molecular sequence data management and evolutionary phylogenetics studies. Mol. Ecol. Resour. 2020, 20, 348–355. [Google Scholar] [CrossRef]
  58. Perna, N.T.; Kocher, T.D. Patterns of nucleotide composition at fourfold degenerate sites of animal mitochondrial genomes. J. Mol. Evol. 1995, 41, 353–358. [Google Scholar] [CrossRef]
  59. Katoh, K.; Misawa, K.; Kuma, K.i.; Miyata, T. MAFFT: A novel method for rapid multiple sequence alignment based on fast Fourier transform. Nucleic Acids Res. 2002, 30, 3059–3066. [Google Scholar] [CrossRef] [PubMed]
  60. Talavera, G.; Castresana, J. Improvement of phylogenies after removing divergent and ambiguously aligned blocks from protein sequence alignments. Syst. Biol. 2007, 56, 564–577. [Google Scholar] [CrossRef] [PubMed]
  61. Xia, X. DAMBE6: New tools for microbial genomics, phylogenetics, and molecular evolution. J. Hered. 2017, 108, 431–437. [Google Scholar] [CrossRef]
  62. Rozas, J.; Ferrer-Mata, A.; Sánchez-DelBarrio, J.C.; Guirao-Rico, S.; Librado, P.; Ramos-Onsins, S.E.; Sánchez-Gracia, A. DnaSP 6: DNA sequence polymorphism analysis of large data sets. Mol. Biol. Evol. 2017, 34, 3299–3302. [Google Scholar] [CrossRef] [PubMed]
  63. Lanfear, R.; Frandsen, P.B.; Wright, A.M.; Senfeld, T.; Calcott, B. PartitionFinder 2: New methods for selecting partitioned models of evolution for molecular and morphological phylogenetic analyses. Mol. Biol. Evol. 2017, 34, 772–773. [Google Scholar] [CrossRef] [Green Version]
  64. Nguyen, L.-T.; Schmidt, H.A.; Von Haeseler, A.; Minh, B.Q. IQ-TREE: A fast and effective stochastic algorithm for estimating maximum-likelihood phylogenies. Mol. Biol. Evol. 2015, 32, 268–274. [Google Scholar] [CrossRef]
  65. Ronquist, F.; Teslenko, M.; Van Der Mark, P.; Ayres, D.L.; Darling, A.; Höhna, S.; Larget, B.; Liu, L.; Suchard, M.A.; Huelsenbeck, J.P. MrBayes 3.2: Efficient Bayesian phylogenetic inference and model choice across a large model space. Syst. Biol. 2012, 61, 539–542. [Google Scholar] [CrossRef]
  66. Yang, M.; Song, L.; Zhou, L.; Shi, Y.; Song, N.; Zhang, Y. Mitochondrial genomes of four satyrine butterflies and phylogenetic relationships of the family Nymphalidae (Lepidoptera: Papilionoidea). Int. J. Biol. Macromol. 2020, 145, 272–281. [Google Scholar] [CrossRef]
  67. Zhang, M.; Gao, Z.; Yin, J.; Zhang, T.; Zhang, X.; Yuan, D.; Li, T.; Zhong, Y.; Ma, E.; Ren, Z. Complete mitochondrial genome of two Thitarodes species (Lepidoptera, Hepialidae), the host moths of Ophiocordyceps sinensis and phylogenetic implications. Int. J. Biol. Macromol. 2019, 140, 794–807. [Google Scholar] [CrossRef]
  68. Chai, H.-N.; Du, Y.-Z.; Zhai, B.-P. Characterization of the complete mitochondrial genomes of Cnaphalocrocis medinalis and Chilo suppressalis (Lepidoptera: Pyralidae). Int. J. Biol. Sci. 2012, 8, 561. [Google Scholar] [CrossRef]
  69. Wei, S.-J.; Shi, M.; Chen, X.-X.; Sharkey, M.J.; van Achterberg, C.; Ye, G.-Y.; He, J.-H. New Views on Strand Asymmetry in Insect Mitochondrial Genomes. PLoS ONE 2010, 5, e12708. [Google Scholar] [CrossRef] [PubMed]
  70. Dai, L.; Kausar, S.; Abbas, M.N.; Wang, T. Complete sequence and characterization of the Ectropis oblique mitochondrial genome and its phylogenetic implications. Int. J. Biol. Macromol. 2018, 107, 1142–1150. [Google Scholar] [CrossRef]
  71. Hassanin, A.; Léger, N.; Deutsch, J. Evidence for Multiple Reversals of Asymmetric Mutational Constraints during the Evolution of the Mitochondrial Genome of Metazoa, and Consequences for Phylogenetic Inferences. Syst. Biol. 2005, 54, 277–298. [Google Scholar] [CrossRef] [PubMed]
  72. Boore, J.L.; Lavrov, D.V.; Brown, W.M. Gene translocation links insects and crustaceans. Nature 1998, 392, 667–668. [Google Scholar] [CrossRef] [PubMed]
  73. Huang, Y.; Liu, Y.; Zhu, X.; Xin, Z.; Zhang, H.; Zhang, D.; Wang, J.; Tang, B.; Zhou, C.; Liu, Q. Comparative mitochondrial genome analysis of Grammodes geometrica and other noctuid insects reveals conserved mitochondrial genome organization and phylogeny. Int. J. Biol. Macromol. 2019, 125, 1257–1265. [Google Scholar] [CrossRef] [PubMed]
  74. Zhu, X.; Xin, Z.; Liu, Y.; Wang, Y.; Huang, Y.; Yang, Z.; Chu, X.; Zhang, D.; Zhang, H.; Zhou, C. The complete mitochondrial genome of Clostera anastomosis (Lepidoptera: Notodontidae) and implication for the phylogenetic relationships of Noctuoidea species. Int. J. Biol. Macromol. 2018, 118, 1574–1583. [Google Scholar] [CrossRef]
  75. Boore, J.L. The Duplication/Random Loss Model for Gene Rearrangement Exemplified by Mitochondrial Genomes of Deuterostome Animals. In Comparative Genomics: Empirical and Analytical Approaches to Gene Order Dynamics, Map Alignment and the Evolution of Gene Families; Sankoff, D., Nadeau, J.H., Eds.; Springer: Dordrecht, The Netherlands, 2000; pp. 133–147. [Google Scholar]
  76. Riyaz, M.; Shah, R.A.; Savarimuthu, I.; Kuppusamy, S. Comparative mitochondrial genome analysis of Eudocima salaminia (Cramer, 1777)(Lepidoptera: Noctuoidea), novel gene rearrangement and phylogenetic relationship within the superfamily Noctuoidea. Mol. Biol. Rep. 2021, 48, 4449–4463. [Google Scholar] [CrossRef]
  77. Cao, Y.-Q.; Ma, C.; Chen, J.-Y.; Yang, D.-R. The complete mitochondrial genomes of two ghost moths, Thitarodes renzhiensis and Thitarodes yunnanensis: The ancestral gene arrangement in Lepidoptera. BMC Genom. 2012, 13, 276. [Google Scholar] [CrossRef]
  78. Wang, A.R.; Jeong, H.C.; Han, Y.S.; Kim, I. The complete mitochondrial genome of the mountainous duskywing, Erynnis montanus(Lepidoptera: Hesperiidae): A new gene arrangement in Lepidoptera. Mitochondrial DNA 2013, 25, 93–94. [Google Scholar] [CrossRef]
  79. Doublet, V.; Ubrig, E.; Alioua, A.; Bouchon, D.; Marcadé, I.; Maréchal-Drouard, L. Large gene overlaps and tRNA processing in the compact mitochondrial genome of the crustacean Armadillidium vulgare. RNA Biol. 2015, 12, 1159–1168. [Google Scholar] [CrossRef]
  80. Liu, S.Q.; Gu, X.S.; Wang, X. The complete mitochondrial genome of Bombyx lemeepauli (Lepidoptera: Bombycidae) and its phylogenetic relationship. Mitochondrial DNA. Part B Resour. 2017, 2, 518–519. [Google Scholar] [CrossRef] [PubMed]
  81. Lee, E.S.; Shin, K.S.; Kim, M.S.; Park, H.; Cho, S.; Kim, C.B. The mitochondrial genome of the smaller tea tortrix Adoxophyes honmai (Lepidoptera: Tortricidae). Gene 2006, 373, 52–57. [Google Scholar] [CrossRef] [PubMed]
  82. Sheffield, N.C.; Song, H.; Cameron, S.L.; Whiting, M.F. A comparative analysis of mitochondrial genomes in Coleoptera (Arthropoda: Insecta) and genome descriptions of six new beetles. Mol. Biol. Evol. 2008, 25, 2499–2509. [Google Scholar] [CrossRef] [PubMed]
  83. Li, X.; Yan, L.; Pape, T.; Gao, Y.; Zhang, D. Evolutionary insights into bot flies (Insecta: Diptera: Oestridae) from comparative analysis of the mitochondrial genomes. Int. J. Biol. Macromol. 2020, 149, 371–380. [Google Scholar] [CrossRef] [PubMed]
  84. Yan, L.; Xu, W.; Zhang, D.; Li, J. Comparative analysis of the mitochondrial genomes of flesh flies and their evolutionary implication. Int. J. Biol. Macromol. 2021, 174, 385–391. [Google Scholar] [CrossRef]
  85. Zahiri, R.; Lafontaine, J.D.; Holloway, J.D.; Kitching, I.J.; Schmidt, B.C.; Kaila, L.; Wahlberg, N. Major lineages of Nolidae (Lepidoptera, Noctuoidea) elucidated by molecular phylogenetics. Cladistics 2013, 29, 337–359. [Google Scholar] [CrossRef]
  86. Regier, J.C.; Mitter, C.; Mitter, K.; Cummings, M.P.; Bazinet, A.L.; Hallwachs, W.; Janzen, D.H.; Zwick, A. Further progress on the phylogeny of N octuoidea (I nsecta: L epidoptera) using an expanded gene sample. Syst. Entomol. 2017, 42, 82–93. [Google Scholar] [CrossRef]
  87. Yang, X.; Cameron, S.L.; Lees, D.C.; Xue, D.; Han, H. A mitochondrial genome phylogeny of owlet moths (Lepidoptera: Noctuoidea), and examination of the utility of mitochondrial genomes for lepidopteran phylogenetics. Mol. Phylogenetics Evol. 2015, 85, 230–237. [Google Scholar] [CrossRef]
  88. Schintlmeister, A. Palaearctic Macrolepidoptera, Volume 1: Notodontidae; Apollo Books: Stenstrup, Denmark, 2008. [Google Scholar]
  89. Chen, Y. Phylogenetic Reconstruction of Cyclidiinae (Lepidoptera: Drepanidae). Master’s Thesis, National Sun Yat-sen University, Kaohsiung, Taiwan, 2011. [Google Scholar]
  90. Jiang, N.; Liu, S.; Xue, D.; Han, H. A review of Cyclidiinae from China (Lepidoptera, Drepanidae). ZooKeys 2016, 119. [Google Scholar]
  91. Schmidt, B.C.; Lafontaine, J.D. Annotated check list of the Noctuoidea (Insecta, Lepidoptera) of North America North of Mexico; PenSoft Publishers LTD: SofiaBu, Bulgaria, 2010; Volume 40. [Google Scholar]
  92. Heikkilä, M.; Mutanen, M.; Wahlberg, N.; Sihvonen, P.; Kaila, L. Elusive ditrysian phylogeny: An account of combining systematized morphology with molecular data (Lepidoptera). BMC Evol. Biol. 2015, 15, 260. [Google Scholar] [CrossRef]
  93. Wang, X.; Zhang, H.; Kitching, I.; Xu, Z.-B.; Huang, Y.-X. First mitogenome of subfamily Langiinae (Lepidoptera: Sphingidae) with its phylogenetic implications. Gene 2021, 789, 145667. [Google Scholar] [CrossRef] [PubMed]
  94. Holloway, J. The moths ofBomeo: Family Geometridae: Subfamilies Sterrhinae, Larentiinae. Malay. Nat. J. 1997, 51, 1–242. [Google Scholar]
  95. Ounap, E.; Viidalepp, J.; Truuverk, A. Phylogeny of the subfamily L arentiinae (L epidoptera: G eometridae): Integrating molecular data and traditional classifications. Syst. Entomol. 2016, 41, 824–843. [Google Scholar] [CrossRef]
  96. Yamamoto, S.; Sota, T. Phylogeny of the Geometridae and the evolution of winter moths inferred from a simultaneous analysis of mitochondrial and nuclear genes. Mol. Phylogenetics Evol. 2007, 44, 711–723. [Google Scholar] [CrossRef]
  97. Sihvonen, P.; Kaila, L. Phylogeny and tribal classification of Sterrhinae with emphasis on delimiting Scopulini (Lepidoptera: Geometridae). Syst. Entomol. 2004, 29, 324–358. [Google Scholar] [CrossRef]
  98. Ounap, E.; JavoiŠ, J.; Viidalepp, J.; Tammaru, T. Phylogenetic relationships of selected European Ennominae (Lepidoptera: Geometridae). Eur. J. Entomol. 2011, 108, 267–273. [Google Scholar] [CrossRef]
  99. Wahlberg, N.; Snäll, N.; Viidalepp, J.; Ruohomäki, K.; Tammaru, T. The evolution of female flightlessness among Ennominae of the Holarctic forest zone (Lepidoptera, Geometridae). Mol. Phylogenetics Evol. 2010, 55, 929–938. [Google Scholar] [CrossRef]
  100. Young, C.J. Molecular relationships of the Australian Ennominae (Lepidoptera: Geometridae) and implications for the phylogeny of the Geometridae from molecular and morphological data. Zootaxa 2006, 1264, 1–147. [Google Scholar] [CrossRef]
  101. Holloway, J.D. The moths of Borneo: Family Geometridae, subfamily Ennominae. [=The Moths of Borneo, Part 11]. Malay. Nat. J. 1994, 47, 1–19. [Google Scholar]
  102. Viidalepp, J.; Tammaru, T.; Snäll, N.; Ruohomäki, K.; Wahlberg, N. Cleorodes Warren, 1894 does not belong in the tribe Boarmiini (Lepidoptera: Geometridae). Eur. J. Entomol. 2007, 104, 303. [Google Scholar] [CrossRef]
  103. Stekolnikov, A.; Kuznetzov, V. Functional morphology of the male genitalia and arrangement of new species of the geometrid moths: Subfamily Ennominae (Lepidoptera, Geometridae). Entomol. Obozr. 1982, 59, 344–374. [Google Scholar]
  104. Sihvonen, P.; Staude, H.S.; Mutanen, M. Systematic position of the enigmatic African cycad moths: An integrative approach to a nearly century old problem (Lepidoptera: Geometridae, Diptychini). Syst. Entomol. 2015, 40, 606–627. [Google Scholar] [CrossRef]
Figure 1. Organizational maps of the nineteen newly sequenced mitogenomes in this study. The genes and intergenic spacers are scaled to their length in the mitogenome. Abbreviations: COX1, COX2, COX3, cytochrome oxidase subunits I, II, III; CYTB, cytochrome b apoenzyme; ND 1–6, 4L, NADH dehydrogenase subunits 1–6, 4L; ATP6, ATP8, ATP synthase subunits 6, 8; l-rRNA, large ribosomal subunit; s-rRNA, small ribosomal subunit; CR, the putative control region; all transfer RNA genes and the corresponding codon are listed.
Figure 1. Organizational maps of the nineteen newly sequenced mitogenomes in this study. The genes and intergenic spacers are scaled to their length in the mitogenome. Abbreviations: COX1, COX2, COX3, cytochrome oxidase subunits I, II, III; CYTB, cytochrome b apoenzyme; ND 1–6, 4L, NADH dehydrogenase subunits 1–6, 4L; ATP6, ATP8, ATP synthase subunits 6, 8; l-rRNA, large ribosomal subunit; s-rRNA, small ribosomal subunit; CR, the putative control region; all transfer RNA genes and the corresponding codon are listed.
Genes 13 01634 g001aGenes 13 01634 g001b
Figure 2. AT and GC skew on individual PCG gene in 19 moth mitogenomes.
Figure 2. AT and GC skew on individual PCG gene in 19 moth mitogenomes.
Genes 13 01634 g002
Figure 3. Relative synonymous codon usage (RSCU) in protein-coding genes (PCGs) in the mitogenomes of the nineteen species. Codon families are indicated in boxes below the x-axis; the colors correspond to the stacked columns, and values on the top of the bars denote amino acid usage.
Figure 3. Relative synonymous codon usage (RSCU) in protein-coding genes (PCGs) in the mitogenomes of the nineteen species. Codon families are indicated in boxes below the x-axis; the colors correspond to the stacked columns, and values on the top of the bars denote amino acid usage.
Genes 13 01634 g003
Figure 4. Synonymous and non-synonymous substitutional rates and the ratios of Ka/Ks of protein coding genes. Ka, non-synonymous substitutional rate; Ks, synonymous substitutional rate.
Figure 4. Synonymous and non-synonymous substitutional rates and the ratios of Ka/Ks of protein coding genes. Ka, non-synonymous substitutional rate; Ks, synonymous substitutional rate.
Genes 13 01634 g004
Figure 5. Nucleotide substitution saturation plots of all 13 mitochondrial protein-coding genes. (A) The 1st codon positions; (B) The 2nd codon positions; (C) The 3rd codon positions. Plots in blue and green indicate transition and transversion, respectively.
Figure 5. Nucleotide substitution saturation plots of all 13 mitochondrial protein-coding genes. (A) The 1st codon positions; (B) The 2nd codon positions; (C) The 3rd codon positions. Plots in blue and green indicate transition and transversion, respectively.
Genes 13 01634 g005
Figure 6. Phylogenetic tree inferred from nucleotide sequences of 13 PCGs using the ML analysis. Numbers on the branches are ML bootstrap support.
Figure 6. Phylogenetic tree inferred from nucleotide sequences of 13 PCGs using the ML analysis. Numbers on the branches are ML bootstrap support.
Genes 13 01634 g006
Figure 7. Phylogenetic tree inferred from nucleotide sequences of 13 PCGs using the BI analysis. Numbers on the branches are BI posterior probability.
Figure 7. Phylogenetic tree inferred from nucleotide sequences of 13 PCGs using the BI analysis. Numbers on the branches are BI posterior probability.
Genes 13 01634 g007
Table 1. Nucleotide composition of the 19 mitochondrial genomes of moths.
Table 1. Nucleotide composition of the 19 mitochondrial genomes of moths.
FamilySpeciesMitogenome Length (bp)A%T (U)%C%G%AT (%)GC (%)
DrepanidaeAuzata chinensis15,24341.139.211.608.2080.3019.80
Cyc. fractifasciata15,17739.840.811.907.5080.6019.40
ErebidaeB. fuscozonata15,39140.241.710.707.4081.9018.10
Ericeia subcinerea15,58639.940.312.407.5080.2019.90
Vamuna remelana15,42440.240.212.107.5080.4019.60
GeometridaeMedasina albidaria15,50441.439.810.907.9081.2018.80
Mesastrape fulguraria15,56141.739.411.407.4081.1018.80
Metabraxas rubrotincta15,57741.939.511.207.5081.4018.70
Obeidia gigantearia15,42941.239.911.207.7081.1018.90
Op. albosignaria15,74942.139.810.707.4081.9018.10
Ourapteryx ebuleata15,6674139.511.707.8080.5019.50
NoctuidaeCymatophoropsis trimaculata15,36940.140.311.807.7080.4019.50
NotodontidaeEpodonta lineata15,35840.739.312.207.7080.0019.90
K. tattakana15,38140.737.413.808.1078.1021.90
Spatalia doerriesi15,47539.239.713.507.7078.9021.20
Zaranga tukuringra15,24941.137.513.607.9078.6021.50
SphingidaeAcosmeryx castanea15,2014139.611.807.6080.6019.40
Marumba cristata15,74440.541.111.107.3081.6018.40
Rhagastis castor15,26541.139.212.307.5080.3019.80
Table 2. AT and GC skew at different position of codon for 13 PCG genes in 19 moth mitogenomes.
Table 2. AT and GC skew at different position of codon for 13 PCG genes in 19 moth mitogenomes.
SpeciesAT SkewGC Skew
1st2nd3rd1231st2nd3rd123
Au. chinensis−0.0052−0.3718−0.0616−0.13730.2430−0.0965−0.18210.0303
Cyc. fractifasciata0.0023−0.3761−0.0902−0.14610.1934−0.0988−0.25550.0007
B. fuscozonata−0.0046−0.3766−0.0856−0.14660.2484−0.1102−0.23400.0376
Er. subcinerea−0.0054−0.3707−0.0822−0.14480.2408−0.1057−0.24930.0165
V. remelana−0.0095−0.3698−0.0949−0.14960.2451−0.1096−0.28530.0205
Med. albidaria−0.0126−0.3665−0.0660−0.13880.2639−0.0947−0.14650.0533
Met. rubrotincta0.0002−0.3622−0.0647−0.13310.2907−0.1043−0.22810.0447
Ma. cristata−0.0065−0.3652−0.0423−0.12680.2560−0.0925−0.29090.0351
Op. albosignaria−0.0053−0.3598−0.0636−0.13340.2933−0.0963−0.13170.0634
Ob. gigantearia−0.0224−0.3607−0.0606−0.13710.2772−0.0984−0.23330.0369
Ou. ebuleata−0.0078−0.3642−0.0642−0.13660.2732−0.0921−0.20590.0359
Cym. trimaculata−0.0155−0.3735−0.0901−0.15120.2457−0.0980−0.27760.0203
Ep. lineata−0.0125−0.3743−0.0825−0.14820.2350−0.1044−0.27570.0117
K. tattakana0.0122−0.3690−0.0577−0.13050.1908−0.1142−0.2283−0.0228
S. doerriesi−0.0014−0.3740−0.0994−0.15220.1919−0.0971−0.2088−0.0049
Mes. fulguraria−0.0078−0.3613−0.0792−0.14000.2594−0.1028−0.26160.0204
Z. tukuringra0.0062−0.3739−0.0776−0.14100.1906−0.1063−0.2044−0.0056
Ac. castanea−0.0215−0.3668−0.0582−0.13810.2508−0.1036−0.15890.0383
Ma. cristata−0.0065−0.3652−0.0423−0.12680.2560−0.0925−0.29090.0351
R. castor0.0174−0.3668−0.0550−0.12550.2039−0.1048−0.21250.0037
Publisher’s Note: MDPI stays neutral with regard to jurisdictional claims in published maps and institutional affiliations.

Share and Cite

MDPI and ACS Style

Zheng, X.; Zhang, R.; Yue, B.; Wu, Y.; Yang, N.; Zhou, C. Enhanced Resolution of Evolution and Phylogeny of the Moths Inferred from Nineteen Mitochondrial Genomes. Genes 2022, 13, 1634. https://doi.org/10.3390/genes13091634

AMA Style

Zheng X, Zhang R, Yue B, Wu Y, Yang N, Zhou C. Enhanced Resolution of Evolution and Phylogeny of the Moths Inferred from Nineteen Mitochondrial Genomes. Genes. 2022; 13(9):1634. https://doi.org/10.3390/genes13091634

Chicago/Turabian Style

Zheng, Xiaofeng, Rusong Zhang, Bisong Yue, Yongjie Wu, Nan Yang, and Chuang Zhou. 2022. "Enhanced Resolution of Evolution and Phylogeny of the Moths Inferred from Nineteen Mitochondrial Genomes" Genes 13, no. 9: 1634. https://doi.org/10.3390/genes13091634

APA Style

Zheng, X., Zhang, R., Yue, B., Wu, Y., Yang, N., & Zhou, C. (2022). Enhanced Resolution of Evolution and Phylogeny of the Moths Inferred from Nineteen Mitochondrial Genomes. Genes, 13(9), 1634. https://doi.org/10.3390/genes13091634

Note that from the first issue of 2016, this journal uses article numbers instead of page numbers. See further details here.

Article Metrics

Back to TopTop