Comprehensive In Silico Characterization and Expression Pro-Filing of DA1/DAR Family Genes in Brassica rapa
Abstract
:1. Introduction
2. Materials and Methods
2.1. Identification and Characterization of DA1&DARs in B. rapa
2.2. Analysis of Phylogenetic Trees and Syntenic Pairing BrDA1&DAR Family Proteins
2.3. Identification and Analysis Cis-Elements in the BrDA1&DAR Gene Promoters
2.4. Prophecy of Putative miRNA Targeting BrDA1&DAR Genes
2.5. Expression Profiling of BrDA1&DAR Genes in Various Tissues
2.6. Plant Material and Stress Conditions
2.7. RNA Extraction and qRT-PCR Analysis
3. Results
3.1. Identification of BrDA1&DAR Gene Family in B. rapa
3.2. Phylogenetic Relationships of BrDA1&DAR Genes
3.3. Synteny Analysis of BrDA1&DAR Genes
3.4. Gene Structure and Conserved Motifs Analysis of BrDA1&DAR Gene Family
3.5. Cis-Elements in Promoters of BrDA1&DAR Genes
3.6. Identification of miRNA Targeting Sites in BrDA1&DAR Genes
3.7. Expression Profiling of BrDA1&DAR Gene Family
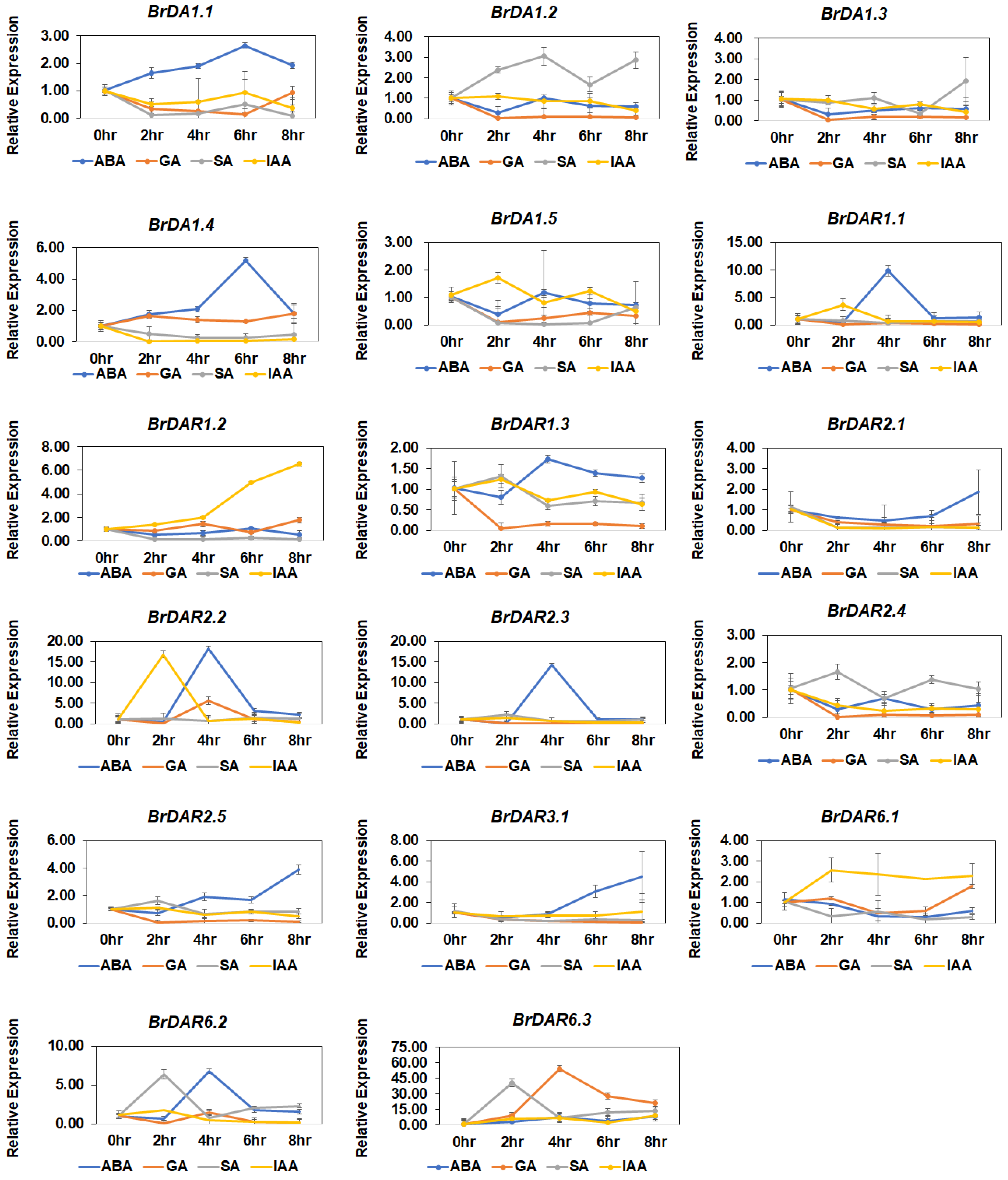
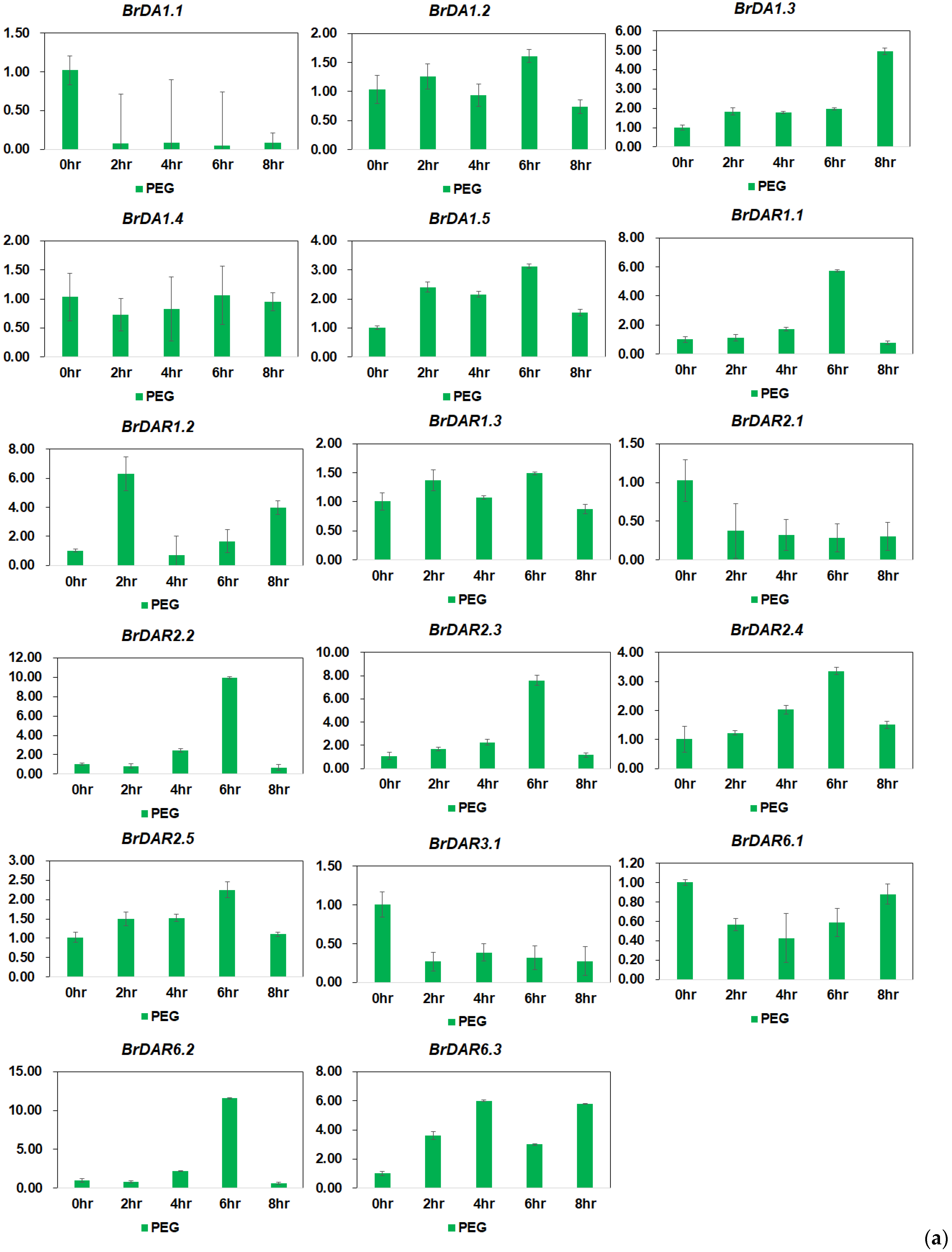
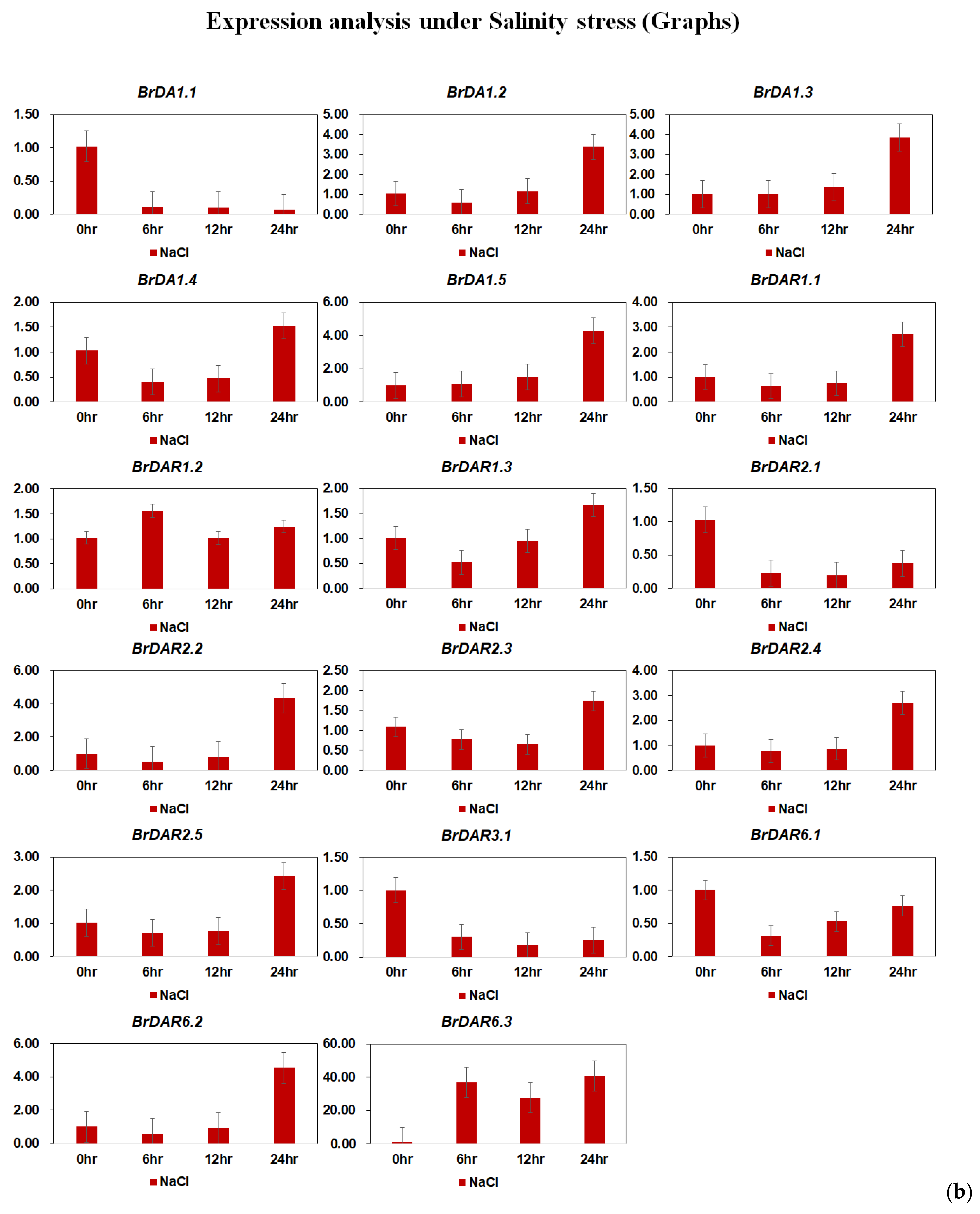
3.8. Expression Analysis of BrDA1&DAR Genes under Hormone Treatment and Abiotic Stresses
4. Discussion
Supplementary Materials
Author Contributions
Funding
Institutional Review Board Statement
Informed Consent Statement
Data Availability Statement
Conflicts of Interest
References
- Li, Y.; Zheng, L.; Corke, F.; Smith, C.; Bevan, M.W. Control of final seed and organ size by the DA1 gene family in Arabidopsis thaliana. Genes Dev. 2008, 22, 1331–1336. [Google Scholar] [CrossRef] [PubMed]
- Hicke, L.; Schubert, H.L.; Hill, C.P. Ubiquitin-binding domains. Nat. Rev. Mol. Cell Biol. 2005, 6, 610–621. [Google Scholar] [CrossRef] [PubMed]
- Dong, H.; Dumenil, J.; Lu, F.-H.; Na, L.; Vanhaeren, H.; Naumann, C.; Klecker, M.; Prior, R.; Smith, C.; McKenzie, N. Ubiquitylation activates a peptidase that promotes cleavage and destabilization of its activating E3 ligases and diverse growth regulatory proteins to limit cell proliferation in Arabidopsis. Genes Dev. 2017, 31, 197–208. [Google Scholar] [CrossRef] [PubMed]
- Peng, Y.; Chen, L.; Lu, Y.; Wu, Y.; Dumenil, J.; Zhu, Z.; Bevan, M.W.; Li, Y. The ubiquitin receptors DA1, DAR1, and DAR2 redundantly regulate endoreduplication by modulating the stability of TCP14/15 in Arabidopsis. Plant Cell 2015, 27, 649–662. [Google Scholar] [CrossRef]
- Xie, G.; Li, Z.; Ran, Q.; Wang, H.; Zhang, J. Over-expression of mutated Zm DA 1 or Zm DAR 1 gene improves maize kernel yield by enhancing starch synthesis. Plant Biotechnol. J. 2018, 16, 234–244. [Google Scholar] [CrossRef]
- Liu, H.; Li, H.; Hao, C.; Wang, K.; Wang, Y.; Qin, L.; An, D.; Li, T.; Zhang, X. TaDA1, a conserved negative regulator of kernel size, has an additive effect with TaGW2 in common wheat (Triticum aestivum L.). Plant Biotechnol. J. 2020, 18, 1330–1342. [Google Scholar] [CrossRef]
- Wang, J.L.; Tang, M.Q.; Chen, S.; Zheng, X.F.; Mo, H.X.; Li, S.J.; Wang, Z.; Zhu, K.M.; Ding, L.N.; Liu, S.Y. Down-regulation of BnDA1, whose gene locus is associated with the seeds weight, improves the seeds weight and organ size in Brassica napus. Plant Biotechnol. J. 2017, 15, 1024–1033. [Google Scholar] [CrossRef]
- El-Esawi, M.A. Taxonomic relationships and biochemical genetic characterization of Brassica resources: Towards a recent platform for germplasm improvement and utilization. Annu. Res. Rev. Biol. 2015, 8, 1–11. [Google Scholar] [CrossRef]
- Tong, C.; Wang, X.; Yu, J.; Wu, J.; Li, W.; Huang, J.; Dong, C.; Hua, W.; Liu, S. Comprehensive analysis of RNA-seq data reveals the complexity of the transcriptome in Brassica rapa. BMC Genom. 2013, 14, 689. [Google Scholar] [CrossRef]
- Freyd, G.; Kim, S.K.; Horvitz, H.R. Novel cysteine-rich motif and homeodomain in the product of the Caenorhabditis elegans cell lineage gene lin-II. Nature 1990, 344, 876–879. [Google Scholar] [CrossRef]
- Way, J.C.; Chalfie, M. mec-3, a homeobox-containing gene that specifies differentiation of the touch receptor neurons in C. elegans. Cell 1988, 54, 5–16. [Google Scholar] [CrossRef]
- Rodriguez, R.E.; Debernardi, J.M.; Palatnik, J.F. Morphogenesis of simple leaves: Regulation of leaf size and shape. Wiley Interdiscip. Rev. Dev. Biol. 2014, 3, 41–57. [Google Scholar] [CrossRef]
- Cai, X.; Chang, L.; Zhang, T.; Chen, H.; Zhang, L.; Lin, R.; Liang, J.; Wu, J.; Freeling, M.; Wang, X. Impacts of allopolyploidization and structural variation on intraspecific diversification in Brassica rapa. Genome Biol. 2021, 22, 166. [Google Scholar] [CrossRef]
- Yang, H.; Shi, Y.; Liu, J.; Guo, L.; Zhang, X.; Yang, S. A mutant CHS3 protein with TIR-NB-LRR-LIM domains modulates growth, cell death and freezing tolerance in a temperature-dependent manner in Arabidopsis. Plant J. 2010, 63, 283–296. [Google Scholar] [CrossRef]
- Zhao, M.; He, L.; Gu, Y.; Wang, Y.; Chen, Q.; He, C. Genome-wide analyses of a plant-specific LIM-domain gene family implicate its evolutionary role in plant diversification. Genome Biol. Evol. 2014, 6, 1000–1012. [Google Scholar] [CrossRef]
- Dhandapani, V.; Ramchiary, N.; Paul, P.; Kim, J.; Choi, S.H.; Lee, J.; Hur, Y.; Lim, Y.P. Identification of potential microRNAs and their targets in Brassica rapa L. Mol. Cells 2011, 32, 21–37. [Google Scholar] [CrossRef]
- Yu, X.; Wang, H.; Lu, Y.; de Ruiter, M.; Cariaso, M.; Prins, M.; van Tunen, A.; He, Y. Identification of conserved and novel microRNAs that are responsive to heat stress in Brassica rapa. J. Exp. Bot. 2012, 63, 1025–1038. [Google Scholar] [CrossRef]
- Wang, F.; Li, L.; Liu, L.; Li, H.; Zhang, Y.; Yao, Y.; Ni, Z.; Gao, J. High-throughput sequencing discovery of conserved and novel microRNAs in Chinese cabbage (Brassica rapa L. ssp. pekinensis). Mol. Genet. Genom. 2012, 287, 555–563. [Google Scholar] [CrossRef]
- Larkindale, J.; Hall, J.D.; Knight, M.R.; Vierling, E. Heat stress phenotypes of Arabidopsis mutants implicate multiple signaling pathways in the acquisition of thermotolerance. Plant Physiol. 2005, 138, 882–897. [Google Scholar] [CrossRef]
- Zhao, J.; He, Q.; Chen, G.; Wang, L.; Jin, B. Regulation of non-coding RNAs in heat stress responses of plants. Front. Plant Sci. 2016, 7, 1213. [Google Scholar] [CrossRef] [Green Version]
- Song, X.; Hu, J.; Wu, T.; Yang, Q.; Feng, X.; Lin, H.; Feng, S.; Cui, C.; Yu, Y.; Zhou, R. Comparative analysis of long noncoding RNAs in angiosperms and characterization of long noncoding RNAs in response to heat stress in Chinese cabbage. Hortic. Res. 2021, 8, 48. [Google Scholar] [CrossRef]











| Transcript ID | ID in AT | Name Found on Database | Given Name | Genomic Location | Gene/CDS Length (bp) | Protein Length (AA) | Protein Molecular Weight (kDa) | Isoelectric Point (pI) | No of Exon/intron | Predicted Sub-Cellular Localization |
|---|---|---|---|---|---|---|---|---|---|---|
| BraA06g014880.3C | AT1G19270 | DA1 | BrDA1.1 | A06:7,920,264−7,922,541+ | 2278/1584 | 528 | 59.68 | 5.89 | 9/8 | Nucleus |
| BraA06g015110.3.5C | AT1G19270 | DA1 | BrDA1.2 | A06:7,919,363−7,922,691+ | 3329/1593 | 531 | 59.93 | 5.89 | 9/8 | Nucleus |
| BraA06g015150.3.1C | AT1G19270 | DA1 | BrDA1.3 | A06:7,920,334−7,922,541+ | 2208/1428 | 476 | 53.67 | 6.38 | 9/8 | Nucleus |
| BraA08g028280.3C | AT1G19270 | DA1 | BrDA1.4 | A08:19,778,813−19,781,054− | 2242/1539 | 513 | 58.56 | 6.06 | 8/7 | Nucleus |
| BraA08g028910.3.5C | AT1G19270 | DA1 | BrDA1.5 | A08:19,778,513−19,781,625− | 3113/1536 | 512 | 58.6 | 6.06 | 8/7 | Nucleus |
| BraA01g001960.3.5C | AT4G36860 | DAR1 | BrDAR1.1 | A01:9,92,491−9,96,203+ | 3713/1704 | 568 | 64.53 | 4.99 | 22/21 | Nucleus |
| BraA01g001980.3C | AT4G36860 | DAR1 | BrDAR1.2 | A01:9,93,314−1,001,376+ | 8063/2929 | 976 | 110.31 | 5.22 | 11/10 | Nucleus |
| BraA01g001960.3.1C | AT4G36860 | DAR1 | BrDAR1.3 | A01:9,93,037−9,95,992+ | 2956/1662 | 554 | 62.89 | 5.62 | 12/11 | Cytoplasm |
| BraA05g006240.3C | AT2G39830 | DAR2 | BrDAR2.1 | A05:3,156,572−3,160,445+ | 3874/1545 | 515 | 58.24 | 8.55 | 8/7 | Nucleus |
| BraA03g021030.3.5C | AT2G39830 | DAR2 | BrDAR2.2 | A03:10,048,165−10,054,720− | 6556/1545 | 515 | 57.94 | 7.09 | 12/11 | Nucleus |
| BraA05g006190.3.1C | AT2G39830 | DAR2 | BrDAR2.3 | A05:3,157,807−3,160,445+ | 2639/1218 | 406 | 46.62 | 7.79 | 12/11 | Nucleus |
| BraA03g021060.3.1C | AT2G39830 | DAR2 | BrDAR2.4 | A03:10,048,359−10,051,673− | 3315/1338 | 446 | 50.69 | 6.05 | 10/9 | Endoplasmic reticulumn |
| BraA05g006160.3.5C | AT2G39830 | DAR2 | BrDAR2.5 | A05:3,156,521−3,160,636+ | 4116/1320 | 440 | 50.36 | 8.36 | 9/8 | Nucleus |
| BraA09g009490.3C | AT5G66640 | DAR3 | BrDAR3.1 | A09:5,407,581−5,409,900− | 2320/1551 | 517 | 59.32 | 6.1 | 9/8 | Peroxisome |
| BraA07g017320.3C | AT5G66620 | DAR6 | BrDAR6.1 | A07:14,995,298−14,998,531− | 3234/2520 | 840 | 95.28 | 5.04 | 10/9 | Nucleus |
| BraA09g009700.3.1C | AT5G66620 | DAR6 | BrDAR6.2 | A09:5,411,650−5,414,348− | 2699/1479 | 493 | 56.6 | 5.18 | 13/12 | Nucleus |
| BraA09g009770.3.5C | AT5G66620 | DAR6 | BrDAR6.3 | A09:5,411,699−5,414,567− | 2869/462 | 154 | 17.11 | 6.43 | 3/2 | Cytoplasm |
Publisher’s Note: MDPI stays neutral with regard to jurisdictional claims in published maps and institutional affiliations. |
© 2022 by the authors. Licensee MDPI, Basel, Switzerland. This article is an open access article distributed under the terms and conditions of the Creative Commons Attribution (CC BY) license (https://creativecommons.org/licenses/by/4.0/).
Share and Cite
Karamat, U.; Yang, R.; Ren, Y.; Lu, Y.; Li, N.; Zhao, J. Comprehensive In Silico Characterization and Expression Pro-Filing of DA1/DAR Family Genes in Brassica rapa. Genes 2022, 13, 1577. https://doi.org/10.3390/genes13091577
Karamat U, Yang R, Ren Y, Lu Y, Li N, Zhao J. Comprehensive In Silico Characterization and Expression Pro-Filing of DA1/DAR Family Genes in Brassica rapa. Genes. 2022; 13(9):1577. https://doi.org/10.3390/genes13091577
Chicago/Turabian StyleKaramat, Umer, Rui Yang, Yuhong Ren, Yin Lu, Na Li, and Jianjun Zhao. 2022. "Comprehensive In Silico Characterization and Expression Pro-Filing of DA1/DAR Family Genes in Brassica rapa" Genes 13, no. 9: 1577. https://doi.org/10.3390/genes13091577
APA StyleKaramat, U., Yang, R., Ren, Y., Lu, Y., Li, N., & Zhao, J. (2022). Comprehensive In Silico Characterization and Expression Pro-Filing of DA1/DAR Family Genes in Brassica rapa. Genes, 13(9), 1577. https://doi.org/10.3390/genes13091577

