The Dct−/− Mouse Model to Unravel Retinogenesis Misregulation in Patients with Albinism
Abstract
1. Introduction
2. Materials and Methods
2.1. Mice
2.2. Skin Flat mounts Analysis
2.3. RPE Flat mounts Staining
2.4. Transmission Electron Microscopy
2.5. Melanosome Quantification and Staging
2.6. L-Dopa Dosage
3. Results
3.1. Dct−/− Pups Are Born with Significant Cutaneous Hypopigmentation
3.2. RPE of Dct−/− Mice Is Severely Hypopigmented from Early Embryonic Stages
3.3. The RPE Cells of Dct−/− Neonates Show Increased Size and Junction Defects
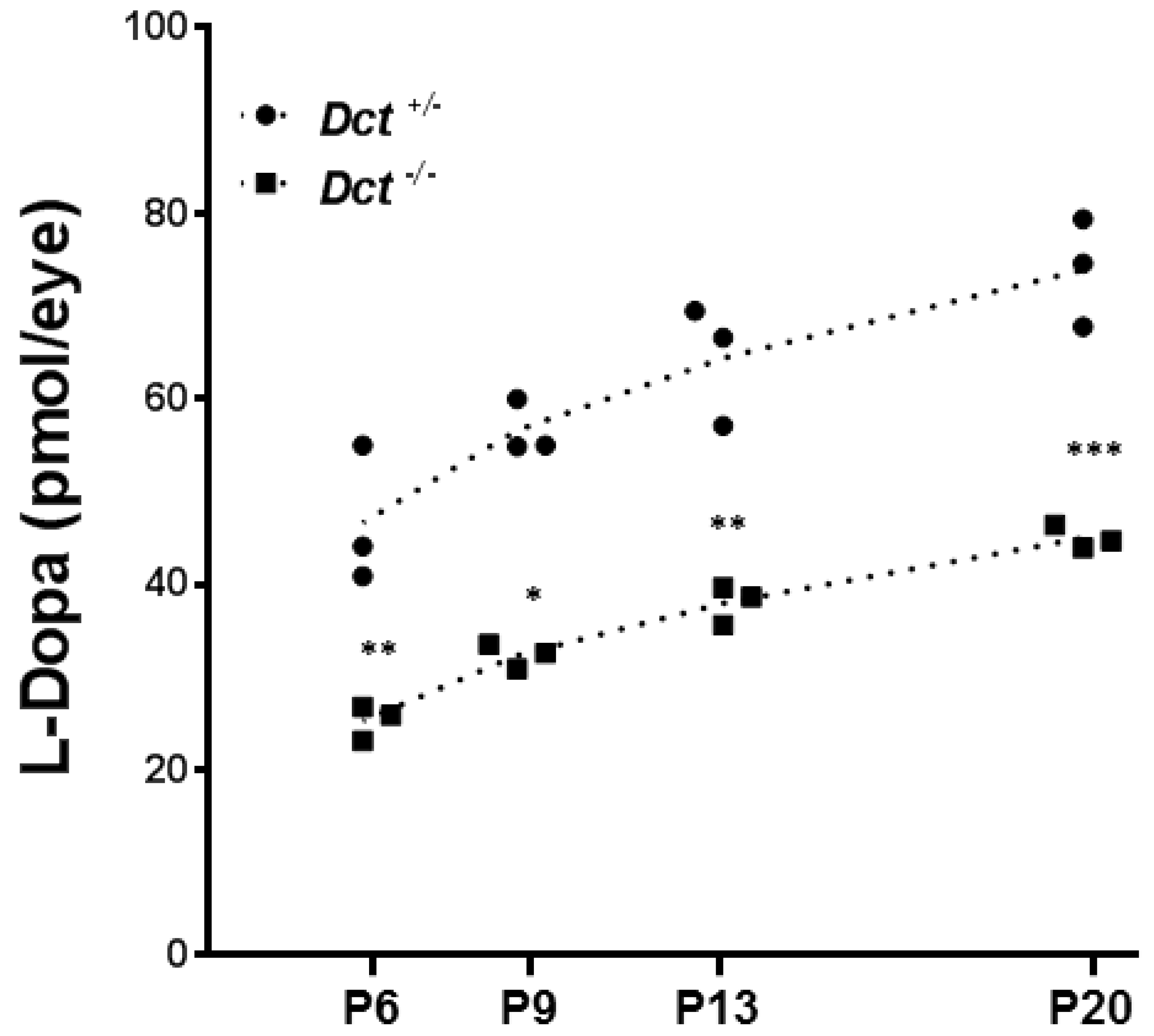
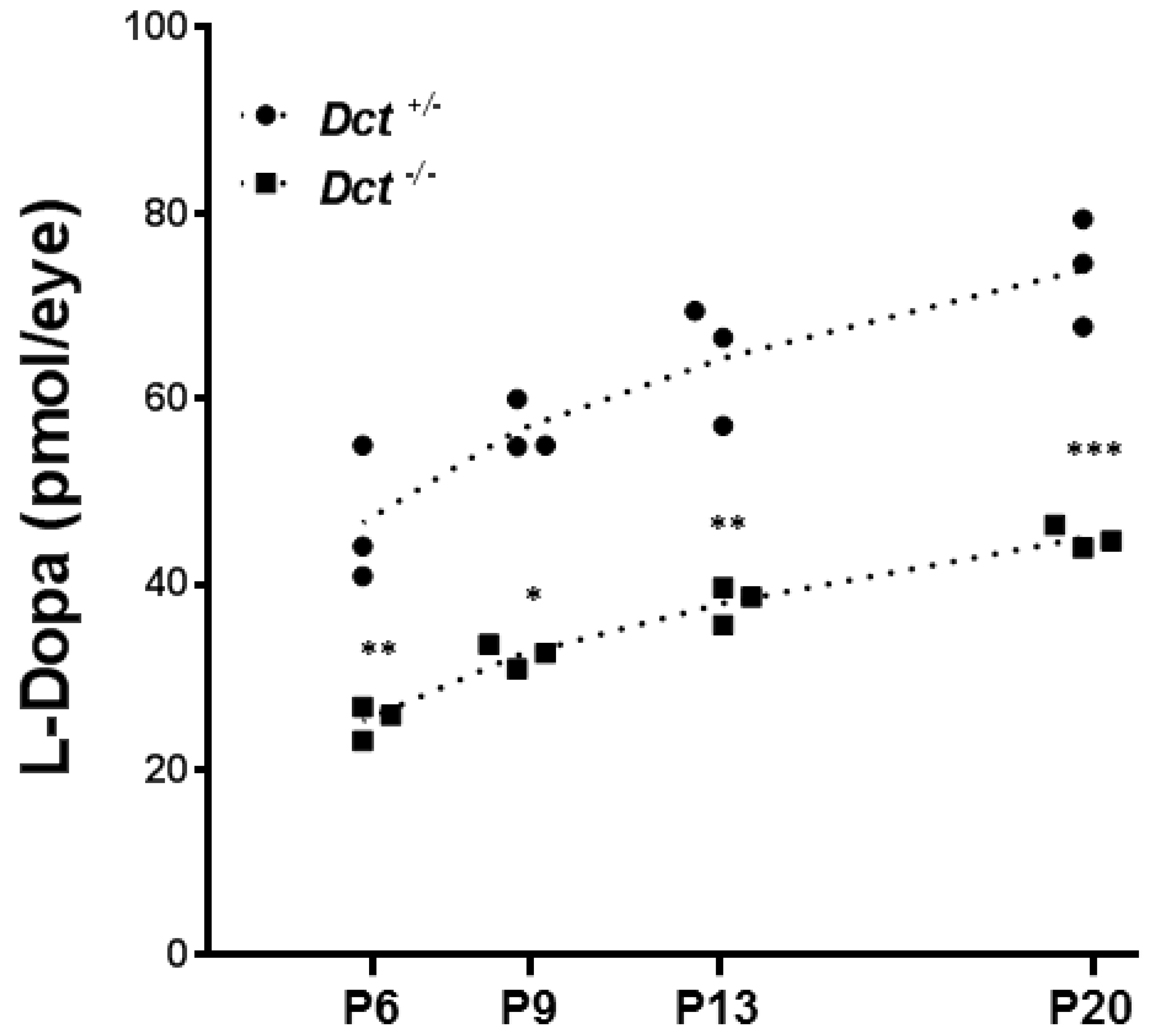
3.4. L-Dopa Concentration Is Reduced in Postnatal Eyecups of Dct−/− Mice
4. Discussion
4.1. The Identification of OCA8 Patients Gives Rise to a Renewed Interest for Dct−/− Animal Models
4.2. What Do We Learn from the Dct−/− Mouse and What More Do We Expect to Discover?
5. Conclusions
Supplementary Materials
Author Contributions
Funding
Institutional Review Board Statement
Informed Consent Statement
Data Availability Statement
Acknowledgments
Conflicts of Interest
References
- Lasseaux, E.; Plaisant, C.; Michaud, V.; Pennamen, P.; Trimouille, A.; Gaston, L.; Monfermé, S.; Lacombe, D.; Rooryck, C.; Morice-Picard, F.; et al. Molecular Characterization of a Series of 990 Index Patients with Albinism. Pigment Cell Melanoma Res. 2018, 31, 466–474. [Google Scholar] [CrossRef] [PubMed]
- Summers, C.G. Albinism: Classification, Clinical Characteristics, and Recent Findings. Optom. Vis. Sci. 2009, 86, 659–662. [Google Scholar] [CrossRef] [PubMed]
- Summers, C.G. Vision in Albinism. Trans. Am. Ophthalmol. Soc. 1996, 94, 1095–1155. [Google Scholar] [CrossRef]
- Kruijt, C.C.; de Wit, G.C.; Bergen, A.A.; Florijn, R.J.; Schalij-Delfos, N.E.; van Genderen, M.M. The Phenotypic Spectrum of Albinism. Ophthalmology 2018, 125, 1953–1960. [Google Scholar] [CrossRef]
- Raymond, S.M.; Jackson, I.J. The Retinal Pigmented Epithelium Is Required for Development and Maintenance of the Mouse Neural Retina. Curr. Biol. 1995, 5, 1286–1295. [Google Scholar] [CrossRef]
- Rebsam, A.; Bhansali, P.; Mason, C.A. Eye-Specific Projections of Retinogeniculate Axons Are Altered in Albino Mice. J. Neurosci. 2012, 32, 4821–4826. [Google Scholar] [CrossRef] [PubMed]
- Bhansali, P.; Rayport, I.; Rebsam, A.; Mason, C. Delayed Neurogenesis Leads to Altered Specification of Ventrotemporal Retinal Ganglion Cells in Albino Mice. Neural Dev. 2014, 9, 11. [Google Scholar] [CrossRef]
- Iwai-Takekoshi, L.; Ramos, A.; Schaler, A.; Weinreb, S.; Blazeski, R.; Mason, C. Retinal Pigment Epithelial Integrity Is Compromised in the Developing Albino Mouse Retina. J. Comp. Neurol. 2016, 524, 3696–3716. [Google Scholar] [CrossRef]
- Mason, C.; Guillery, R. Conversations with Ray Guillery on Albinism: Linking Siamese Cat Visual Pathway Connectivity to Mouse Retinal Development. Eur. J. Neurosci. 2019, 49, 913–927. [Google Scholar] [CrossRef]
- Lavado, A.; Jeffery, G.; Tovar, V.; de la Villa, P.; Montoliu, L. Ectopic Expression of Tyrosine Hydroxylase in the Pigmented Epithelium Rescues the Retinal Abnormalities and Visual Function Common in Albinos in the Absence of Melanin. J. Neurochem. 2006, 96, 1201–1211. [Google Scholar] [CrossRef]
- Roffler-Tarlov, S.; Liu, J.H.; Naumova, E.N.; Bernal-Ayala, M.M.; Mason, C.A. L-Dopa and the Albino Riddle: Content of L-Dopa in the Developing Retina of Pigmented and Albino Mice. PLoS ONE 2013, 8, e57184. [Google Scholar] [CrossRef]
- Pennamen, P.; Tingaud-Sequeira, A.; Gazova, I.; Keighren, M.; McKie, L.; Marlin, S.; Gherbi Halem, S.; Kaplan, J.; Delevoye, C.; Lacombe, D.; et al. Dopachrome Tautomerase Variants in Patients with Oculocutaneous Albinism. Genet. Med. 2020, 23, 479–487. [Google Scholar] [CrossRef] [PubMed]
- Fernández, A.; Hayashi, M.; Garrido, G.; Montero, A.; Guardia, A.; Suzuki, T.; Montoliu, L. Genetics of Non-Syndromic and Syndromic Oculocutaneous Albinism in Human and Mouse. Pigment Cell Melanoma Res. 2021, 34, 786–799. [Google Scholar] [CrossRef] [PubMed]
- Volk, A.E.; Hedergott, A.; Preising, M.; Rading, S.; Fricke, J.; Herkenrath, P.; Nürnberg, P.; Altmüller, J.; von Ameln, S.; Lorenz, B.; et al. Biallelic Mutations in L-Dopachrome Tautomerase (DCT) Cause Infantile Nystagmus and Oculocutaneous Albinism. Hum. Genet. 2021, 140, 1157–1168. [Google Scholar] [CrossRef]
- Tsukamoto, K.; Jackson, I.J.; Urabe, K.; Montague, P.M.; Hearing, V.J. A Second Tyrosinase-Related Protein, TRP-2, Is a Melanogenic Enzyme Termed DOPAchrome Tautomerase. EMBO J. 1992, 11, 519–526. [Google Scholar] [CrossRef]
- Budd, P.S.; Jackson, I.J. Structure of the Mouse Tyrosinase-Related Protein-2/Dopachrome Tautomerase (Tyrp2/Dct) Gene and Sequence of Two Novel Slaty Alleles. Genomics 1995, 29, 35–43. [Google Scholar] [CrossRef] [PubMed]
- Lavinda, O.; Manga, P.; Orlow, S.J.; Cardozo, T. Biophysical Compatibility of a Heterotrimeric Tyrosinase-TYRP1-TYRP2 Metalloenzyme Complex. Front. Pharmacol. 2021, 12, 602206. [Google Scholar] [CrossRef] [PubMed]
- Wiriyasermkul, P.; Moriyama, S.; Nagamori, S. Membrane Transport Proteins in Melanosomes: Regulation of Ions for Pigmentation. Biochim. Biophys. Acta Biomembr. 2020, 1862, 183318. [Google Scholar] [CrossRef]
- Panzella, L.; Ebato, A.; Napolitano, A.; Koike, K. The Late Stages of Melanogenesis: Exploring the Chemical Facets and the Application Opportunities. Int. J. Mol. Sci. 2018, 19, 1753. [Google Scholar] [CrossRef]
- Lai, X.; Wichers, H.J.; Soler-Lopez, M.; Dijkstra, B.W. Structure and Function of Human Tyrosinase and Tyrosinase-Related Proteins. Chemistry 2018, 24, 47–55. [Google Scholar] [CrossRef]
- Bennett, D.C.; Lamoreux, M.L. The Color Loci of Mice—A Genetic Century. Pigment Cell Res. 2003, 16, 333–344. [Google Scholar] [CrossRef] [PubMed]
- Seruggia, D.; Josa, S.; Fernández, A.; Montoliu, L. The Structure and Function of the Mouse Tyrosinase Locus. Pigment Cell Melanoma Res. 2021, 34, 212–221. [Google Scholar] [CrossRef] [PubMed]
- Guyonneau, L.; Murisier, F.; Rossier, A.; Moulin, A.; Beermann, F. Melanocytes and Pigmentation Are Affected in Dopachrome Tautomerase Knockout Mice. Mol. Cell. Biol. 2004, 24, 3396–3403. [Google Scholar] [CrossRef] [PubMed]
- Hearing, V.J. Biogenesis of Pigment Granules: A Sensitive Way to Regulate Melanocyte Function. J. Dermatol. Sci. 2005, 37, 3–14. [Google Scholar] [CrossRef]
- Benito-Martínez, S.; Zhu, Y.; Jani, R.A.; Harper, D.C.; Marks, M.S.; Delevoye, C. Research Techniques Made Simple: Cell Biology Methods for the Analysis of Pigmentation. J. Investig. Dermatol. 2020, 140, 257–268.e8. [Google Scholar] [CrossRef]
- Le, L.; Sirés-Campos, J.; Raposo, G.; Delevoye, C.; Marks, M.S. Melanosome Biogenesis in the Pigmentation of Mammalian Skin. Integr. Comp. Biol. 2021, 61, 1517–1545. [Google Scholar] [CrossRef]
- George, A.; Sharma, R.; Pfister, T.; Abu-Asab, M.; Hotaling, N.; Bose, D.; DeYoung, C.; Chang, J.; Adams, D.R.; Cogliati, T.; et al. In Vitro Disease Modeling of Oculocutaneous Albinism Type 1 and 2 Using Human Induced Pluripotent Stem Cell-Derived Retinal Pigment Epithelium. Stem Cell Rep. 2022, 17, 173–186. [Google Scholar] [CrossRef]
- Steel, K.P.; Davidson, D.R.; Jackson, I.J. TRP-2/DT, a New Early Melanoblast Marker, Shows That Steel Growth Factor (c-Kit Ligand) Is a Survival Factor. Development 1992, 115, 1111–1119. [Google Scholar] [CrossRef]
- Marcucci, F.; Murcia-Belmonte, V.; Wang, Q.; Coca, Y.; Ferreiro-Galve, S.; Kuwajima, T.; Khalid, S.; Ross, M.E.; Mason, C.; Herrera, E. The Ciliary Margin Zone of the Mammalian Retina Generates Retinal Ganglion Cells. Cell Rep. 2016, 17, 3153–3164. [Google Scholar] [CrossRef]
- Nguyen-Ba-Charvet, K.T.; Rebsam, A. Neurogenesis and Specification of Retinal Ganglion Cells. Int. J. Mol. Sci. 2020, 21, 451. [Google Scholar] [CrossRef]
- Adams, T.; Shahabi, G.; Hoh-Kam, J.; Jeffery, G. Held under Arrest: Many Mature Albino RPE Cells Display Polyploidal Features Consistent with Abnormal Cell Cycle Retention. Exp. Eye Res. 2010, 90, 368–372. [Google Scholar] [CrossRef] [PubMed]
- Ji, X.; Liu, Y.; Hurd, R.; Wang, J.; Fitzmaurice, B.; Nishina, P.M.; Chang, B. Retinal Pigment Epithelium Atrophy 1 (Rpea1): A New Mouse Model with Retinal Detachment Caused by a Disruption of Protein Kinase C, θ. Investig. Ophthalmol. Vis. Sci. 2016, 57, 877–888. [Google Scholar] [CrossRef] [PubMed][Green Version]
- Yang, X.; Chung, J.-Y.; Rai, U.; Esumi, N. Cadherins in the Retinal Pigment Epithelium (RPE) Revisited: P-Cadherin Is the Highly Dominant Cadherin Expressed in Human and Mouse RPE in Vivo. PLoS ONE 2018, 13, e0191279. [Google Scholar] [CrossRef] [PubMed]
- Kubrusly, R.C.C.; Guimarães, M.Z.P.; Vieira, A.P.B.; Hokoç, J.N.; Casarini, D.E.; de Mello, M.C.F.; de Mello, F.G. L-DOPA Supply to the Neuro Retina Activates Dopaminergic Communication at the Early Stages of Embryonic Development. J. Neurochem. 2003, 86, 45–54. [Google Scholar] [CrossRef]
- Kralj-Hans, I.; Tibber, M.; Jeffery, G.; Mobbs, P. Differential Effect of Dopamine on Mitosis in Early Postnatal Albino and Pigmented Rat Retinae. J. Neurobiol. 2006, 66, 47–55. [Google Scholar] [CrossRef]
- Jiang, S.; Liu, X.-M.; Dai, X.; Zhou, Q.; Lei, T.-C.; Beermann, F.; Wakamatsu, K.; Xu, S.-Z. Regulation of DHICA-Mediated Antioxidation by Dopachrome Tautomerase: Implication for Skin Photoprotection against UVA Radiation. Free Radic. Biol. Med. 2010, 48, 1144–1151. [Google Scholar] [CrossRef]
- Dolinska, M.B.; Woods, T.; Osuna, I.; Sergeev, Y.V. Protein Biochemistry and Molecular Modeling of the Intra-Melanosomal Domain of Human Recombinant Tyrp2 Protein and OCA8-Related Mutant Variants. Int. J. Mol. Sci. 2022, 23, 1305. [Google Scholar] [CrossRef]
- Hirobe, T.; Wakamatsu, K.; Ito, S. Excess Tyrosine Stimul.l.lates Eumelanin and Pheomelanin Synthesis in Cultured Slaty Melanocytes from Neonatal Mouse Epidermis. Zool. Sci. 2007, 24, 209–217. [Google Scholar] [CrossRef]
- Costin, G.-E.; Valencia, J.C.; Wakamatsu, K.; Ito, S.; Solano, F.; Milac, A.L.; Vieira, W.D.; Yamaguchi, Y.; Rouzaud, F.; Petrescu, A.-J.; et al. Mutations in Dopachrome Tautomerase (Dct) Affect Eumelanin/Pheomelanin Synthesis, but Do Not Affect Intracellular Trafficking of the Mutant Protein. Biochem. J. 2005, 391, 249–259. [Google Scholar] [CrossRef]
- Pierro, L.J.; Chase, H.B. Temporary Hair Loss Associated with the Slate Mutation of Coat Colour in the Mouse. Nature 1965, 205, 579–580. [Google Scholar] [CrossRef]
- Lakkaraju, A.; Umapathy, A.; Tan, L.X.; Daniele, L.; Philp, N.J.; Boesze-Battaglia, K.; Williams, D.S. The Cell Biology of the Retinal Pigment Epithelium. Prog. Retin. Eye Res. 2020, 78, 100846. [Google Scholar] [CrossRef] [PubMed]
- Lopes, V.S.; Wasmeier, C.; Seabra, M.C.; Futter, C.E. Melanosome Maturation Defect in Rab38-Deficient Retinal Pigment Epithelium Results in Instability of Immature Melanosomes during Transient Melanogenesis. Mol. Biol. Cell 2007, 18, 3914–3927. [Google Scholar] [CrossRef] [PubMed]
- Rachel, R.A.; Mason, C.A.; Beermann, F. Influence of Tyrosinase Levels on Pigment Accumulation in the Retinal Pigment Epithelium and on the Uncrossed Retinal Projection. Pigment Cell Res. 2002, 15, 273–281. [Google Scholar] [CrossRef]
- Lee, H.; Scott, J.; Griffiths, H.; Self, J.E.; Lotery, A. Oral Levodopa Rescues Retinal Morphology and Visual Function in a Murine Model of Human Albinism. Pigment Cell Melanoma Res. 2019, 32, 657–671. [Google Scholar] [CrossRef] [PubMed]
- Anderson, M.G.; Hawes, N.L.; Trantow, C.M.; Chang, B.; John, S.W.M. Iris Phenotypes and Pigment Dispersion Caused by Genes Influencing Pigmentation. Pigment Cell Melanoma Res. 2008, 21, 565–578. [Google Scholar] [CrossRef] [PubMed]






Publisher’s Note: MDPI stays neutral with regard to jurisdictional claims in published maps and institutional affiliations. |
© 2022 by the authors. Licensee MDPI, Basel, Switzerland. This article is an open access article distributed under the terms and conditions of the Creative Commons Attribution (CC BY) license (https://creativecommons.org/licenses/by/4.0/).
Share and Cite
Tingaud-Sequeira, A.; Mercier, E.; Michaud, V.; Pinson, B.; Gazova, I.; Gontier, E.; Decoeur, F.; McKie, L.; Jackson, I.J.; Arveiler, B.; et al. The Dct−/− Mouse Model to Unravel Retinogenesis Misregulation in Patients with Albinism. Genes 2022, 13, 1164. https://doi.org/10.3390/genes13071164
Tingaud-Sequeira A, Mercier E, Michaud V, Pinson B, Gazova I, Gontier E, Decoeur F, McKie L, Jackson IJ, Arveiler B, et al. The Dct−/− Mouse Model to Unravel Retinogenesis Misregulation in Patients with Albinism. Genes. 2022; 13(7):1164. https://doi.org/10.3390/genes13071164
Chicago/Turabian StyleTingaud-Sequeira, Angèle, Elina Mercier, Vincent Michaud, Benoît Pinson, Ivet Gazova, Etienne Gontier, Fanny Decoeur, Lisa McKie, Ian J. Jackson, Benoît Arveiler, and et al. 2022. "The Dct−/− Mouse Model to Unravel Retinogenesis Misregulation in Patients with Albinism" Genes 13, no. 7: 1164. https://doi.org/10.3390/genes13071164
APA StyleTingaud-Sequeira, A., Mercier, E., Michaud, V., Pinson, B., Gazova, I., Gontier, E., Decoeur, F., McKie, L., Jackson, I. J., Arveiler, B., & Javerzat, S. (2022). The Dct−/− Mouse Model to Unravel Retinogenesis Misregulation in Patients with Albinism. Genes, 13(7), 1164. https://doi.org/10.3390/genes13071164

