Integrated Quantitative Neuro-Transcriptome Analysis of Several Brain Areas in Human Trisomy 21
Abstract
1. Introduction
2. Methodology
2.1. Data Mining
2.2. Differential Gene Expression Quantification
2.3. Statistical Analysis
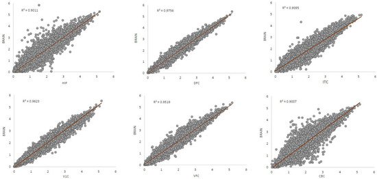
3. Results
3.1. Differences in the Global Gene Over-Expression in Brain in Chromosomes and Structures of Down Syndrome Individuals
3.2. Z-Ratio Correlations among Brain Structures and Age-Ranks
4. Discussion
5. Conclusions
Author Contributions
Funding
Institutional Review Board Statement
Informed Consent Statement
Data Availability Statement
Acknowledgments
Conflicts of Interest
Abbreviations
| SD | Down syndrome |
| CBC | Cerebellar cortex |
| DFC | Dorsolateral prefrontal cortex |
| HIP | Hippocampus |
| ID | Intellectual disability |
| SAGE | Serial analysis of gene expression |
| DNA | Deoxyribonucleic acid |
| RNA | ribonucleic acid |
| ATP | Adenosine triphosphate |
| ROS | Reactive Oxygen Species |
| OPC | Orbital prefrontal cortex |
| VFC | Ventrolateral prefrontal cortex |
| MFC | Medial prefrontal cortex |
| S1C | Primary somatosensory cortex |
| IPC | Inferior parietal cortex |
| V1C | Primary visual cortex |
| STC | Superior temporal cortex |
| ITC | Inferior temporal cortex |
References
- Epstein, C.J. From down syndrome to the “human” in “human genetics” **previously presented at the annual meeting of The American Society of Human Genetics, in San Diego, on October 15, 2001. Am. J. Hum. Genet. 2002, 70, 300–313. [Google Scholar] [CrossRef] [PubMed]
- Stoll, C.; Alembik, Y.; Dott, B.; Roth, M.P. Study of Down syndrome in 238,942 consecutive births. Ann. Genet. 1998, 41, 44–51. [Google Scholar] [PubMed]
- Sagi-Dain, L.; Peleg, A.; Sagi, S. First-trimester crown-rump length and risk of chromosomal aberrations—A systematic review and meta-analysis. Obstet. Gynecol. Surv. 2017, 72, 603–609. [Google Scholar] [CrossRef] [PubMed]
- Sparks, T.N.; Griffin, E.; Page, J.; Pilliod, R.; Shaffer, B.L.; Caughey, A.B. Down syndrome: Perinatal mortality risks with each additional week of expectant management. Prenat. Diagn. 2016, 36, 368–374. [Google Scholar] [CrossRef]
- Hassold, T.; Sherman, S. Down syndrome: Genetic recombination and the origin of the extra chromosome 21. Clin. Genet. 2000, 57, 95–100. [Google Scholar] [CrossRef]
- Ramírez, N.J.; Belalcázar, H.M.; Yunis, J.J.; Quintero, L.N.; Arboleda, G.H.; Arboleda, H. Parental origin, nondisjunction, and recom-bination of the extra chromosome 21 in Down syndrome: A study in a sample of the Colombian population. Biomedica 2007, 27, 141–148. [Google Scholar] [CrossRef][Green Version]
- Lott, I.T. Neurological phenotypes for Down syndrome across the life span. Prog. Brain Res. 2012, 197, 101–121. [Google Scholar] [CrossRef]
- Edgin, J.O.; Mason, G.M.; Allman, M.J.; Capone, G.T.; DeLeon, I.; Maslen, C.; Reeves, R.H.; Sherman, S.L.; Nadel, L. Development and validation of the Arizona Cognitive Test Battery for Down syndrome. J. Neurodev. Disord. 2010, 2, 149–164. [Google Scholar] [CrossRef]
- Roper, R.J.; Reeves, R.H. Understanding the Basis for Down Syndrome Phenotypes. PLoS Genet. 2006, 2, e50. [Google Scholar] [CrossRef]
- Gardiner, K.; Herault, Y.; Lott, I.T.; Antonarakis, S.E.; Reeves, R.H.; Dierssen, M. Down syndrome: From understanding the neurobiology to therapy. J. Neurosci. 2010, 30, 14943–14945. [Google Scholar] [CrossRef]
- Roizen, N.J.; Patterson, D. Down’s syndrome. Lancet 2003, 361, 1281–1289. [Google Scholar] [CrossRef]
- Pritchard, M.A.; Kola, I. The “gene dosage effect” hypothesis versus the “amplified developmental instability” hypothesis in Down syndrome. Mol. Biol. Down Syndr. 1999, 57, 293–303. [Google Scholar]
- Graison, E.A.Y.; Aubert, J.; Dauphinot, L.; Rivals, I.; Prieur, M.; Golfier, G.; Rossier, J.; Personnaz, L.; Créau, N.; Bléhaut, H.; et al. Classification of human chromosome 21 gene-expression variations in down syndrome: Impact on disease phenotypes. Am. J. Hum. Genet. 2007, 81, 475–491. [Google Scholar] [CrossRef] [PubMed]
- Saran, N.G.; Pletcher, M.T.; Natale, J.E.; Cheng, Y.; Reeves, R.H. Global disruption of the cerebellar transcriptome in a Down syndrome mouse model. Hum. Mol. Genet. 2003, 12, 2013–2019. [Google Scholar] [CrossRef] [PubMed]
- Vilardell, M.; Rasche, A.; Thormann, A.; Maschke-Dutz, E.; A Pérez-Jurado, L.; Lehrach, H.; Herwig, R. Meta-analysis of heterogeneous Down Syndrome data reveals consistent genome-wide dosage effects related to neurological processes. BMC Genom. 2011, 12, 229. [Google Scholar] [CrossRef]
- Kahlem, P. Gene-dosage effect on chromosome 21 transcriptome in trisomy 21: Implication in Down syndrome cognitive dis-orders. Behav. Genet. 2006, 36, 416–428. [Google Scholar] [CrossRef]
- Korenberg, J.R. Molecular mapping of the Down syndrome phenotype. Prog. Clin. Biol. Res. 1990, 360, 105–115. [Google Scholar]
- Lockstone, H.; Harris, L.; Swatton, J.; Wayland, M.; Holland, A.; Bahn, S. Gene expression profiling in the adult Down syndrome brain. Genomics 2007, 90, 647–660. [Google Scholar] [CrossRef]
- Prandini, P.; Deutsch, S.; Lyle, R.; Gagnebin, M.; Vivier, C.D.; Delorenzi, M.; Gehrig, C.; Descombes, P.; Sherman, S.; Bricarelli, F.D.; et al. Natural gene-expression variation in down syndrome modulates the outcome of gene-dosage imbalance. Am. J. Hum. Genet. 2007, 81, 252–263. [Google Scholar] [CrossRef]
- Volk, M.; Maver, A.; Lovrečić, L.; Juvan, P.; Peterlin, B. Expression signature as a biomarker for prenatal diagnosis of trisomy 21. PLoS ONE 2013, 8, e74184. [Google Scholar] [CrossRef]
- Kong, X.; Liu, N.; Xu, X. Bioinformatics analysis of biomarkers and transcriptional factor motifs in Down syndrome. Braz. J. Med. Biol. Res. 2014, 47, 834–841. [Google Scholar] [CrossRef] [PubMed]
- Zhao, J.; Zhang, Z.; Ren, S.; Zong, Y.; Kong, X. Co-expression network analysis of Down’s syndrome based on microarray data. Exp. Ther. Med. 2016, 12, 1503–1508. [Google Scholar] [CrossRef] [PubMed]
- Liu, Y.; Borel, C.; Li, L.; Müller, T.; Williams, E.; Germain, P.-L.; Buljan, M.; Sajic, T.; Boersema, P.J.; Shao, W.; et al. Systematic proteome and proteostasis profiling in human Trisomy 21 fibroblast cells. Nat. Commun. 2017, 8, 1–15. [Google Scholar] [CrossRef] [PubMed]
- Letourneau, A.; Santoni, F.A.; Bonilla, X.; Sailani, M.R.; Gonzalez, D.; Kind, J.; Chevalier, C.; Thurman, R.; Sandstrom, R.S.; Hibaoui, Y.; et al. Domains of genome-wide gene expression dysregulation in Down’s syndrome. Nature 2014, 508, 345–350. [Google Scholar] [CrossRef] [PubMed]
- Sullivan, K.D.; Lewis, H.C.; Hill, A.A.; Pandey, A.; Jackson, L.P.; Cabral, J.; Smith, K.P.; Liggett, L.A.; Gomez, E.B.; Galbraith, M.; et al. Trisomy 21 consistently activates the interferon response. eLife 2016, 5, e16220. [Google Scholar] [CrossRef] [PubMed]
- Antonarakis, S.E. Down syndrome and the complexity of genome dosage imbalance. Nat. Rev. Genet. 2017, 18, 147–163. [Google Scholar] [CrossRef]
- Olmos-Serrano, J.L.; Kang, H.J.; Tyler, W.A.; Silbereis, J.C.; Cheng, F.; Zhu, Y.; Pletikos, M.; Jankovic-Rapan, L.; Cramer, N.; Galdzicki, Z.; et al. Down Syndrome Developmental Brain Transcriptome Reveals Defective Oligodendrocyte Differentiation and Myelination. Neuron 2016, 89, 1208–1222. [Google Scholar] [CrossRef]
- Cheadle, C.; Vawter, M.P.; Freed, W.J.; Becker, K.G. Analysis of Microarray Data Using Z Score Transformation. J. Mol. Diagn. 2003, 5, 73–81. [Google Scholar] [CrossRef]
- Labbadia, J.; Morimoto, R.I. The Biology of Proteostasis in Aging and Disease. Annu. Rev. Biochem. 2015, 84, 435–464. [Google Scholar] [CrossRef]
- Kahlem, P.; Sultan, M.; Herwig, R.; Steinfath, M.; Balzereit, D.; Eppens, B.; Saran, N.G.; Pletcher, M.T.; South, S.T.; Stetten, G.; et al. Transcript Level Alterations Reflect Gene Dosage Effects Across Multiple Tissues in a Mouse Model of Down Syndrome. Genome Res. 2004, 14, 1258–1267. [Google Scholar] [CrossRef]
- Do, C.; Xing, Z.; Yu, Y.E.; Tycko, B. Trans-acting epigenetic effects of chromosomal aneuploidies: Lessons from Down syndrome and mouse models. Epigenomics 2017, 9, 189–207. [Google Scholar] [CrossRef] [PubMed]
- El Hajj, N.; Dittrich, M.; Böck, J.; Kraus, T.F.J.; Nanda, I.; Müller, T.; Seidmann, L.; Tralau, T.; Galetzka, D.; Schneider, E.; et al. Epigenetic dysregulation in the developing Down syndrome cortex. Epigenetics 2016, 11, 563–578. [Google Scholar] [CrossRef] [PubMed]
- Valenti, D.; Braidy, N.; De Rasmo, D.; Signorile, A.; Rossi, L.; Atanasov, A.; Volpicella, M.; Henrion-Caude, A.; Nabavi, S.; Vacca, R. Mitochondria as pharmacological targets in Down syndrome. Free Radic. Biol. Med. 2018, 114, 69–83. [Google Scholar] [CrossRef] [PubMed]
- Di Domenico, F.; Coccia, R.; Cocciolo, A.; Murphy, M.P.; Cenini, G.; Head, E.; Butterfield, D.A.; Giorgi, A.; Schinina, M.E.; Mancuso, C.; et al. Impairment of proteostasis network in Down syndrome prior to the development of Alzheimer’s disease neuropathology: Redox proteomics analysis of human brain. Biochim. Biophys. Acta (BBA)-Mol. Basis Dis. 2013, 1832, 1249–1259. [Google Scholar] [CrossRef]
- Aivazids, S.; Coughlan, C.M.; Rauniyar, A.K.; Jiang, H.; Liggett, L.A.; MacLean, K.N.; Roede, J.R. The burden of trisomy 21 disrupts the proteostasis network in Down syndrome. PLoS ONE 2017, 12, e0176307. [Google Scholar] [CrossRef] [PubMed]
- Li, C.M.; Guo, M.; Salas, M.; Schupf, N.; Silverman, W.; Zigman, W.B.; Husain, S.; Warburton, D.; Thaker, H.; Tycko, B. Cell type-specific over-expression of chromosome 21 genes in fibroblasts and fetal hearts with trisomy 21. BMC Med. Genet. 2006, 7, 24. [Google Scholar] [CrossRef] [PubMed]
- Pagano, G.; Castello, G. Oxidative Stress and Mitochondrial Dysfunction in Down Syndrome. Adv. Exp. Med. Biol. 2012, 724, 291–299. [Google Scholar] [CrossRef]
- Izzo, A.; Mollo, N.; Nitti, M.; Paladino, S.; Calì, G.; Genesio, R.; Bonfiglio, F.; Cicatiello, R.; Barbato, M.; Sarnataro, V.; et al. Mitochondrial dysfunction in down syndrome: Molecular mechanisms and therapeutic targets. Mol. Med. 2018, 24, 1–8. [Google Scholar] [CrossRef]
- Park, J.; Song, W.-J.; Chung, K.C. Function and regulation of Dyrk1A: Towards understanding down syndrome. Cell. Mol. Life Sci. 2009, 66, 3235–3240. [Google Scholar] [CrossRef]
- Wu, Y.; Song, W. Regulation of RCAN1 translation and its role in oxidative stress-induced apoptosis. FASEB J. 2013, 27, 208–221. [Google Scholar] [CrossRef]
- Piccoli, C.; Izzo, A.; Scrima, R.; Bonfiglio, F.; Manco, R.; Negri, R.; Quarato, G.; Cela, O.; Ripoli, M.; Prisco, M.; et al. Chronic pro-oxidative state and mitochondrial dysfunctions are more pronounced in fibroblasts from Down syndrome foeti with congenital heart defects. Hum. Mol. Genet. 2013, 22, 1218–1232. [Google Scholar] [CrossRef] [PubMed]
- Bartley, M.G.; Marquardt, K.; Kirchhof, D.; Wilkins, H.M.; Patterson, D.; Linseman, D.A. Overexpression of Amyloid-β Protein Precursor Induces Mitochondrial Oxidative Stress and Activates the Intrinsic Apoptotic Cascade. J. Alzheimer’s Dis. 2012, 28, 855–868. [Google Scholar] [CrossRef] [PubMed]


| Chromosome | Protein Coding Genes/Chromosome * | Protein Coding Genes Overexpressed in DS Brain/Chromosome | Percentage ** |
|---|---|---|---|
| 1 | 2058 | 46 | 2.24 |
| 2 | 1309 | 23 | 1.76 |
| 3 | 1078 | 22 | 2.04 |
| 4 | 752 | 19 | 2.53 |
| 5 | 876 | 12 | 1.37 |
| 6 | 1048 | 29 | 2.77 |
| 7 | 989 | 7 | 0.71 |
| 8 | 677 | 21 | 3.10 |
| 9 | 786 | 12 | 1.53 |
| 10 | 733 | 20 | 2.73 |
| 11 | 1298 | 29 | 2.23 |
| 12 | 1034 | 30 | 2.90 |
| 13 | 327 | 9 | 2.75 |
| 14 | 830 | 15 | 1.81 |
| 15 | 613 | 7 | 1.14 |
| 16 | 873 | 18 | 2.06 |
| 17 | 1197 | 25 | 2.09 |
| 18 | 270 | 10 | 3.70 |
| 19 | 1472 | 22 | 1.49 |
| 20 | 544 | 14 | 2.57 |
| 21 | 234 | 35 | 14.96 |
| 22 | 488 | 6 | 1.23 |
| X | 842 | 26 | 3.09 |
| Y | 71 | 1 | 1.41 |
| Structure | Number | Percentage |
|---|---|---|
| Brain * | 486 | 2.77 |
| DFC | 601 | 3.43 |
| OFC | 474 | 2.7 |
| VFC | 418 | 2.38 |
| ITC | 415 | 2.37 |
| HIP | 426 | 2.43 |
| CBC | 477 | 2.72 |
| GO_ID | Description | p-Value Bonferroni |
|---|---|---|
| 9987 | DNA demethylation | 1.72 × 10−19 |
| 43170 | histone deacetylation | 3.45 × 10−17 |
| 44260 | histone H3-K4 methylation | 6.94 × 10−16 |
| 19538 | protein phosphorylation | 3.03 × 10−13 |
| 44267 | protein polyubiquitination | 1.71 × 10−12 |
| 44237 | ATP synthesis coupled electron transport | 1.98 × 10−12 |
| 8152 | 5-methylcytosine catabolic process | 5.44 × 10−11 |
| 6464 | MAPK cascade | 2.69 × 10−10 |
| 43687 | post-translational protein acetylation | 4.42 × 10−10 |
| 43412 | histone H3-K9 deacetylation | 7.87 × 10−10 |
Publisher’s Note: MDPI stays neutral with regard to jurisdictional claims in published maps and institutional affiliations. |
© 2022 by the authors. Licensee MDPI, Basel, Switzerland. This article is an open access article distributed under the terms and conditions of the Creative Commons Attribution (CC BY) license (https://creativecommons.org/licenses/by/4.0/).
Share and Cite
Rodríguez-Ortiz, A.; Montoya-Villegas, J.C.; García-Vallejo, F.; Mina-Paz, Y. Integrated Quantitative Neuro-Transcriptome Analysis of Several Brain Areas in Human Trisomy 21. Genes 2022, 13, 628. https://doi.org/10.3390/genes13040628
Rodríguez-Ortiz A, Montoya-Villegas JC, García-Vallejo F, Mina-Paz Y. Integrated Quantitative Neuro-Transcriptome Analysis of Several Brain Areas in Human Trisomy 21. Genes. 2022; 13(4):628. https://doi.org/10.3390/genes13040628
Chicago/Turabian StyleRodríguez-Ortiz, Alejandra, Julio César Montoya-Villegas, Felipe García-Vallejo, and Yecid Mina-Paz. 2022. "Integrated Quantitative Neuro-Transcriptome Analysis of Several Brain Areas in Human Trisomy 21" Genes 13, no. 4: 628. https://doi.org/10.3390/genes13040628
APA StyleRodríguez-Ortiz, A., Montoya-Villegas, J. C., García-Vallejo, F., & Mina-Paz, Y. (2022). Integrated Quantitative Neuro-Transcriptome Analysis of Several Brain Areas in Human Trisomy 21. Genes, 13(4), 628. https://doi.org/10.3390/genes13040628

