Genetic Analysis of Novel Behaviour Traits in Pigs Derived from Social Network Analysis
Abstract
:1. Introduction
2. Materials and Methods
2.1. Animals
2.2. Skin Lesion Traits
2.3. Behavioural Traits
2.4. SNA Traits
2.5. Genetic Parameter Estimates
2.6. Estimating the Effects of Selection for SNA Traits on Individual and Pen-Level Skin Lesions
3. Results
3.1. Heritability
3.2. Genetic and Phenotypic Correlations
3.3. Estimating the Effects of Selection for SNA Traits on Individual and Pen-Level Lesions
4. Discussion
4.1. Heritability
4.2. Genetic and Phenotypic Correlations
4.3. Estimating the Effects of Selection for SNA Traits on Individual and Pen-Level Lesions
4.4. Future Prospects for Breeding against Aggressive Behaviour in Pigs
5. Conclusions
Supplementary Materials
Author Contributions
Funding
Institutional Review Board Statement
Data Availability Statement
Conflicts of Interest
References
- Meese, G.B.; Ewbank, R. The establishment and nature of the dominance hierarchy in the domesticated pig. Anim. Behav. 1973, 21, 326–334. [Google Scholar] [CrossRef]
- Boumans, I.J.M.M.; de Boer, I.J.M.; Hofstede, G.J.; Bokkers, E.A.M. How social factors and behavioural strategies affect feeding and social interaction patterns in pigs. Physiol. Behav. 2018, 194, 23–40. [Google Scholar] [CrossRef] [PubMed] [Green Version]
- Camerlink, I.; Bijma, P.; Kemp, B.; Bolhuis, J.E. Relationship between growth rate and oral manipulation, social nosing, and aggression in finishing pigs. Appl. Anim. Behav. Sci. 2012, 142, 11–17. [Google Scholar] [CrossRef]
- Peden, R.S.E.; Akaichi, F.; Camerlink, I.; Boyle, L.A.; Turner, S.P. Factors influencing farmer willingness to reduce aggression between pigs. Animals 2019, 9, 6. [Google Scholar] [CrossRef] [PubMed] [Green Version]
- Turner, S.P. Breeding against harmful social behaviours in pigs and chickens: State of the art and the way forward. Appl. Anim. Behav. Sci. 2011, 134, 1–9. [Google Scholar] [CrossRef]
- Kanis, E.; van den Belt, H.; Groen, A.F.; Schakel, J.; de Greef, K.H. Breeding for improved welfare in pigs: A conceptual framework and its use in practice. Anim. Sci. 2004, 78, 315–329. [Google Scholar] [CrossRef] [Green Version]
- Turner, S.P.; D’Eath, R.B.; Roehe, R.; Lawrence, A.B. Selection against aggressiveness in pigs at re-grouping: Practical application and implications for long-term behavioural patterns. Anim. Welf. 2010, 19, 123–132. [Google Scholar]
- Wurtz, K.E.; Siegford, J.M.; Bates, R.O.; Ernst, C.W.; Steibel, J.P. Estimation of genetic parameters for lesion scores and growth traits in group-housed pigs. J. Anim. Sci. 2017, 95, 4310–4317. [Google Scholar] [CrossRef] [Green Version]
- Parois, S.P.; Prunier, A.; Mercat, M.J.; Merlot, E.; Larzul, C. Genetic relationships between measures of sexual development, boar taint, health, and aggressiveness in pigs. J. Anim. Sci. 2015, 93, 3749–3758. [Google Scholar] [CrossRef]
- Liu, M.; Xu, Q.; Zhao, J.; Guo, Y.; Zhang, C.; Cheng, M.; Zhao, X.; Schinckel, A.P.; Zhou, B. Pigs’ skin lesions at weaning are primarily caused by standoff and being bullied instead of unilateral active attack at the individual level. Appl. Anim. Behav. Sci. 2022, 247, 105556. [Google Scholar] [CrossRef]
- Turner, S.P.; Roehe, R.; D’Eath, R.B.; Ison, S.H.; Farish, M.; Jack, M.C.; Lundeheim, N.; Rydhmer, L.; Lawrence, A.B. Genetic validation of postmixing skin injuries in pigs as an indicator of aggressiveness and the relationship with injuries under more stable social conditions. J. Anim. Sci. 2009, 87, 3076–3082. [Google Scholar] [CrossRef] [Green Version]
- Desire, S.; Turner, S.P.; Eath, R.B.D.; Lewis, C.R.G.; Roehe, R. Prediction of reduction in aggressive behaviour of growing pigs using skin lesion traits as selection criteria. Animal 2016, 10, 1243–1253. [Google Scholar] [CrossRef] [Green Version]
- Turner, S.P.; Nevison, I.M.; Desire, S.; Camerlink, I.; Roehe, R.; Ison, S.H.; Farish, M.; Jack, M.C.; D’Eath, R.B. Aggressive behaviour at regrouping is a poor predictor of chronic aggression in stable social groups. Appl. Anim. Behav. Sci. 2017, 191, 98–106. [Google Scholar] [CrossRef]
- Tong, X.; Shen, C.; Chen, R.; Gao, S.; Liu, X.; Schinckel, A.P.; Zhou, B. Reestablishment of Social Hierarchies in Weaned Pigs after Mixing. Animals 2019, 10, 36. [Google Scholar] [CrossRef] [Green Version]
- Webber, Q.M.R.; Wal, E.V. Trends and perspectives on the use of animal social network analysis in behavioural ecology: A bibliometric approach. Anim. Behav. 2019, 149, 77–87. [Google Scholar] [CrossRef]
- Makagon, M.M.; McCowan, B.; Mench, J.A. How can social network analysis contribute to social behavior research in applied ethology? Appl. Anim. Behav. Sci. 2012, 138, 152–161. [Google Scholar] [CrossRef] [Green Version]
- Büttner, K.; Czycholl, I.; Mees, K.; Krieter, J. Social network analysis in pigs: Impacts of significant dyads on general network and centrality parameters. Animal 2019, 14, 368–378. [Google Scholar] [CrossRef] [Green Version]
- Foister, S.; Doeschl-Wilson, A.; Roehe, R.; Arnott, G.; Boyle, L.; Turner, S. Social network properties predict chronic aggression in commercial pig systems. PLoS ONE 2018, 13, e0205122. [Google Scholar] [CrossRef] [Green Version]
- Agha, S.; Fàbrega, E.; Quintanilla, R.; Sánchez, J.P. Social Network Analysis of Agonistic Behaviour and Its Association with Economically Important Traits in Pigs. Animals 2020, 10, 2123. [Google Scholar] [CrossRef]
- Büttner, K.; Scheffler, K.; Czycholl, I.; Krieter, J. Social network analysis-centrality parameters and individual network positions of agonistic behavior in pigs over three different age levels. Springerplus 2015, 4, 185. [Google Scholar] [CrossRef] [Green Version]
- Foister, S.; Doeschl-Wilson, A.; Roehe, R.; Arnott, G.; Boyle, L.; Turner, S. Piggy in the middle: The cost-benefit trade-off of a central network position in regrouping aggression. In Proceedings of the 52nd Congress of the International Society for Applied Ethology, Charlottetown, PE, Canada, 30 July–3 August 2018; Wageningen Academic Publishers: Wageningen, The Netherlands, 2018. [Google Scholar]
- Brent, L.J.N.; Heilbronner, S.R.; Horvath, J.E.; Gonzalez-Martinez, J.; Ruiz-Lambides, A.; Robinson, A.G.; Pate Skene, J.H.; Platt, M.L. Genetic origins of social networks in rhesus macaques. Sci. Rep. 2013, 3, 1042. [Google Scholar] [CrossRef] [Green Version]
- Fowler, J.H.; Dawes, C.T.; Christakis, N.A. Model of genetic variation in human social networks. Proc. Natl. Acad. Sci. USA 2009, 106, 1720–1724. [Google Scholar] [CrossRef] [Green Version]
- Lea, A.J.; Blumstein, D.T.; Wey, T.W.; Martin, J.G.A. Heritable victimization and the benefits of agonistic relationships. Proc. Natl. Acad. Sci. USA 2010, 107, 21587–21592. [Google Scholar] [CrossRef] [Green Version]
- Radersma, R. Estimating heritability of social phenotypes from social networks. Methods Ecol. Evol. 2021, 12, 42–53. [Google Scholar] [CrossRef]
- Csárdi, G.; Nepusz, T.; Airoldi, E.M. Statistical Network Analysis with Igraph; Springer: Berlin/Heidelberg, Germany, 2016. [Google Scholar]
- Csardi, G.; Nepusz, T. The igraph software package for complex network research. InterJournal Complex Syst. 2006, 1695, 1–9. [Google Scholar]
- Farine, D.R.; Whitehead, H. Constructing, conducting and interpreting animal social network analysis. J. Anim. Ecol. 2015, 84, 1144–1163. [Google Scholar] [CrossRef] [Green Version]
- Wey, T.; Blumstein, D.T.; Shen, W.; Jordán, F. Social network analysis of animal behaviour: A promising tool for the study of sociality. Anim. Behav. 2008, 75, 333–344. [Google Scholar] [CrossRef]
- Falconer, D.S.; Mackay, T.F.C. Introduction to Quantitative Genetics; Longmann Co.: London, UK, 1996. [Google Scholar]
- Sorensen, D.A.; Andersen, S.; Gianola, D.; Korsgaard, I. Bayesian inference in threshold models using Gibbs sampling. Genet. Sel. Evol. 1995, 27, 229–249. [Google Scholar] [CrossRef]
- Misztal, I.; Tsuruta, D.A.L.S.; Lourenco, Y.; Masuda, I.; Aguilar, A.; Legarra, Z.V. BLUPF90 Family of Programs; The University of Georgia: Athens, GA, USA, 2018. [Google Scholar]
- Tsuruta, I.M.S. THRGIBBS1F90 for estimation of variance components with threshold linear models. In Proceedings of the 8th World Congress on Genetics Applied to Livestock Production, Belo Horizonte, Brazil, 13–18 August 2006. [Google Scholar]
- Raftery, A.E.; Lewis, S.M. How Many Iterations in the Gibbs Sampler? In 1 Introduction Bayesian Statistics, 4; Bernardo, J.M., Berger, J.O., Dawid, A.P., Smith, A.F.M., Eds.; Oxford University Press: Oxford, UK, 1992; pp. 763–773. [Google Scholar]
- Scheffler, K.; Stamer, E.; Traulsen, I.; Krieter, J. Estimation of genetic parameters for agonistic behaviour of pigs at different ages. J. Agric. Sci. 2016, 154, 732–741. [Google Scholar] [CrossRef]
- Turner, S.P.; Roehe, R.; Mekkawy, W.; Farnworth, M.J.; Knap, P.W.; Lawrence, A.B. Bayesian analysis of genetic associations of skin lesions and behavioural traits to identify genetic components of individual aggressiveness in pigs. Behav. Genet. 2008, 38, 67–75. [Google Scholar] [CrossRef]
- Turner, S.P.; White, I.M.S.; Brotherstone, S.; Farnworth, M.J.; Knap, P.W.; Penny, P.; Mendl, M.; Lawrence, A.B. Heritability of post-mixing aggressiveness in grower-stage pigs and its relationship with production traits. Anim. Sci. 2006, 82, 615–620. [Google Scholar] [CrossRef]
- Bijma, P.; Bastiaansen, J.W. Standard error of the genetic correlation: How much data do we need to estimate a purebred-crossbred genetic correlation? Genet. Sel. Evol. 2014, 46, 79. [Google Scholar] [CrossRef] [Green Version]
- Ellen, E.D.; Bas Rodenburg, T.; Albers, G.A.A.; Elizabeth Bolhuis, J.; Camerlink, I.; Duijvesteijn, N.; Knol, E.F.; Muir, W.M.; Peeters, K.; Reimert, I.; et al. The prospects of selection for social genetic effects to improve welfare and productivity in livestock. Front. Genet. 2014, 5, 377. [Google Scholar] [CrossRef] [PubMed] [Green Version]
- Riekert, M.; Klein, A.; Adrion, F.; Hoffmann, C.; Gallmann, E. Automatically detecting pig position and posture by 2D camera imaging and deep learning. Comput. Electron. Agric. 2020, 174, 105391. [Google Scholar] [CrossRef]
- Bijma, P.; Wade, M.J. The joint effects of kin, multilevel selection and indirect genetic effects on response to genetic selection. J. Evol. Biol. 2008, 21, 1175–1188. [Google Scholar] [CrossRef] [PubMed]
- Angarita, B.K.; Cantet, R.J.C.; Wurtz, K.E.; O’Malley, C.I.; Siegford, J.M.; Ernst, C.W.; Turner, S.P.; Steibel, J.P. Estimation of indirect social genetic effects for skin lesion count in group-housed pigs by quantifying behavioral interactions. J. Anim. Sci. 2019, 97, 3658–3668. [Google Scholar] [CrossRef]
- Alemu, S.; Bijma, P.; Møller, S.; Janss, L.; Berg, P. Indirect genetic effects contribute substantially to heritable variation in aggression-related traits in group-housed mink (Neovison vison). Genet. Sel. Evol. 2014, 46, 30. [Google Scholar] [CrossRef] [Green Version]
- Wilson, A.J.; Morrissey, M.B.; Adams, M.J.; Walling, C.A.; Guinness, F.E.; Pemberton, J.M.; Clutton-Brock, T.H.; Kruuk, L.E.B. Indirect genetics effects and evolutionary constraint: An analysis of social dominance in red deer, Cervus elaphus. J. Evol. Biol. 2011, 24, 772–783. [Google Scholar] [CrossRef]
- Bijma, P. Estimating Indirect Genetic Effects: Precision of Estimates and Optimum Designs. Genetics 2010, 186, 1013–1028. [Google Scholar] [CrossRef] [Green Version]




| Measures | Definition | Interpretation |
|---|---|---|
| All-degree centrality | The number of edges attached to a node. | The number of animals that a particular animal directly engaged with. |
| Betweenness centrality | The number of shortest paths that pass through the considered node. | Measures the importance of the animal in connecting different subgroups of the pen engaging in aggression. |
| Categorical betweenness | A transformation of the betweenness centrality to a binary trait that has two categories. | Individuals within the top quartile of the betweenness centrality are considered ‘high’, whereas individuals in the remaining 75% are considered as ‘low’. |
| Closeness centrality | The average of the shortest path length between that node and all other nodes in the network. | Measures how ‘close’ an animal is to all other animals in a pen in terms of engaging in aggression. Animals that engage in aggression directly with many of their pen mates have high closeness centrality. |
| Eigenvector centrality | The connectivity of a node within its network, according to the all-degree centrality of the node and the all-degree centrality of the nodes that it connects with. | Takes into consideration both the number of aggressive interactions of the focal individual and the number of aggressive interactions that its social partners have. |
| Clustering coefficient | The proportion of an individual node’s connections that are also connected with each other relative to the possible number of theoretically possible connections. | Quantifies what proportion of animals that the focal individual directly engages with also interact with each other, relative to the number of all possible aggressive interactions. |
| Clique membership | A categorical trait where individuals are categorized based on whether or not they are members of the largest clique(s) in the group (‘clique members’ or ‘non-clique members’). | A clique is a fully connected subgroup of animals in a pen, where each animal engages in aggressive interactions with every other animal in that sub-group. |
| Trait | Mean ± SD | Maximum | Minimum |
|---|---|---|---|
| Betweenness centrality | 0.04 ± 0.05 | 0.44 | 0 |
| Closeness centrality | 0.48 ± 0.09 | 0.69 | 0.06 |
| Degree centrality | 0.38 ± 0.15 | 0.69 | 0 |
| Eigenvector centrality | 0.21 ± 0.07 | 0.39 | 0 |
| Clustering coefficient | 0.46 ± 0.15 | 0.69 | 0 |
| Clique membership (size of large clique) | - | 8 | 4 |
| anterior SL24h | 2.57 ± 1.08 | 4.61 | 0 |
| central SL24h | 2.05 ± 1.10 | 4.62 | 0 |
| posterior SL24h | 1.36 ± 1.02 | 3.74 | 0 |
| anterior SL3wk | 2.30 ± 0.57 | 4.16 | 0 |
| central SL3wk | 2.27 ± 0.60 | 3.71 | 0 |
| posterior SL3wk | 1.48 ± 0.71 | 3.43 | 0 |
| Number of fights initiated | 4.1 ± 4.3 | 35 | 0 |
| Number of fights received | 4.2 ± 3.8 | 24 | 0 |
| Number of bullying initiated | 3.8 ± 5.8 | 66 | 0 |
| Number of bullying received | 3.7 ± 5.8 | 25 | 0 |
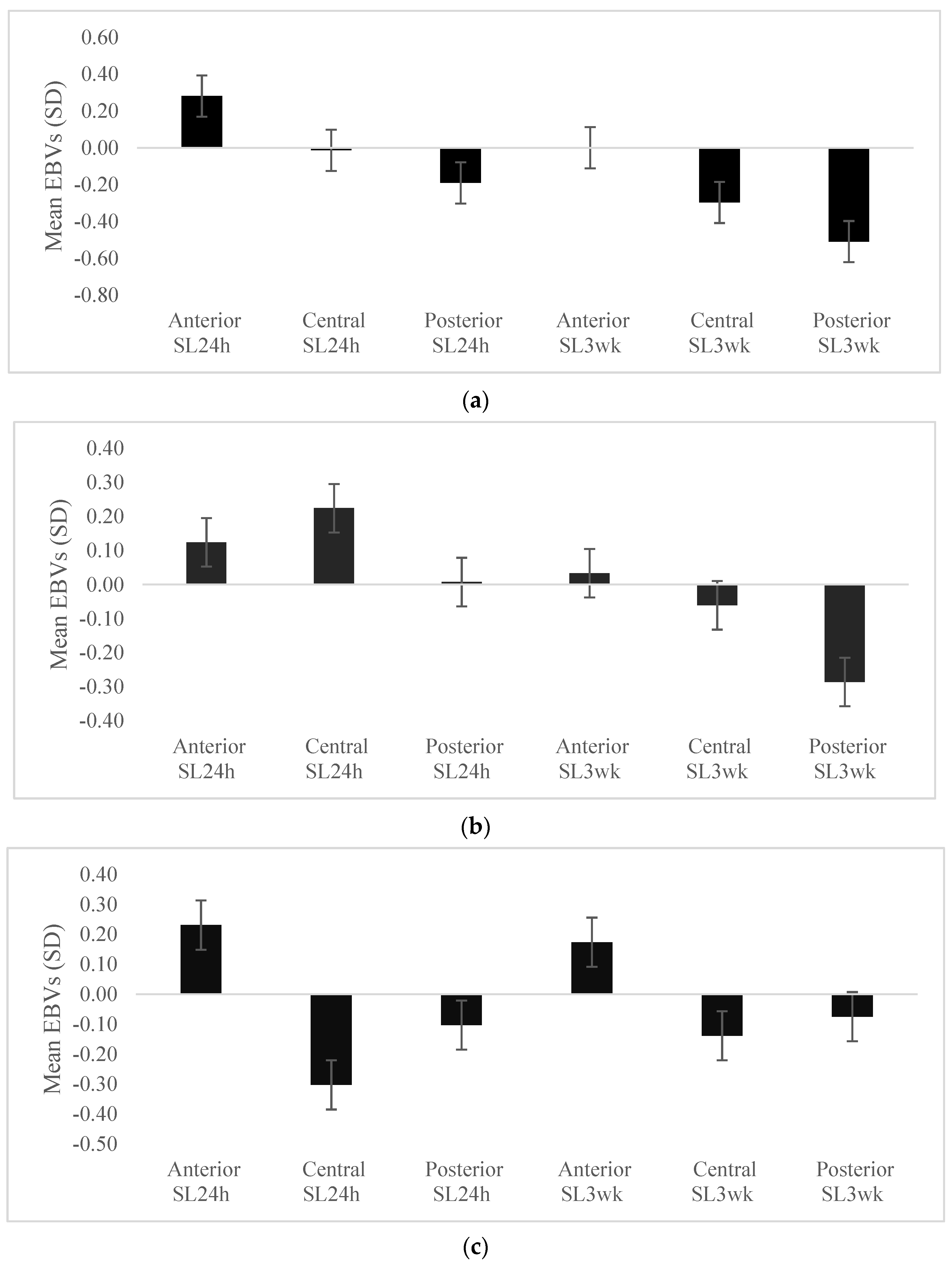
| Trait | h2 | HPD95% | c2 | HPD95% | Vp | HPD95% | |||
|---|---|---|---|---|---|---|---|---|---|
| Betweenness centrality | 0.26 | 0.11 | 0.40 | 0.02 | 0.003 | 0.03 | 0.015 | 0.014 | 0.017 |
| Categorical betweenness | 0.15 | 0.02 | 0.29 | 0.05 | 0.00 | 0.11 | 1.644 | 1.043 | 2.47 |
| Closeness centrality | 0.09 | 0.04 | 0.17 | 0.59 | 0.49 | 0.69 | 0.006 | 0.005 | 0.008 |
| Degree centrality | 0.26 | 0.12 | 0.41 | 0.14 | 0.08 | 0.21 | 0.010 | 0.009 | 0.011 |
| Eigenvector centrality | 0.22 | 0.11 | 0.36 | 0.01 | 0.001 | 0.02 | 0.006 | 0.006 | 0.007 |
| Clustering coefficient | 0.18 | 0.07 | 0.29 | 0.23 | 0.15 | 0.31 | 0.008 | 0.007 | 0.009 |
| Clique membership | 0.18 | 0.06 | 0.35 | 0.11 | 0.02 | 0.20 | 1.51 | 1.16 | 1.96 |
| Trait | Closeness Centrality | HPD95% | Degree Centrality | HPD95% | Eigenvector Centrality | HPD95% | Clustering Coefficient | HPD95% | ||||
|---|---|---|---|---|---|---|---|---|---|---|---|---|
| Betweenness centrality | 0.97 | 0.93 | 0.99 | 0.99 | 0.96 | 1 | 0.96 | 0.94 | 1 | −0.95 | −0.99 | −0.90 |
| Closeness centrality | 0.98 | 0.97 | 1 | 0.97 | 0.94 | 0.99 | −0.98 | −1 | −0.92 | |||
| Degree centrality | 0.98 | 0.96 | 0.99 | −0.88 | −0.99 | −0.72 | ||||||
| Eigenvector centrality | −0.95 | −0.99 | −0.85 | |||||||||
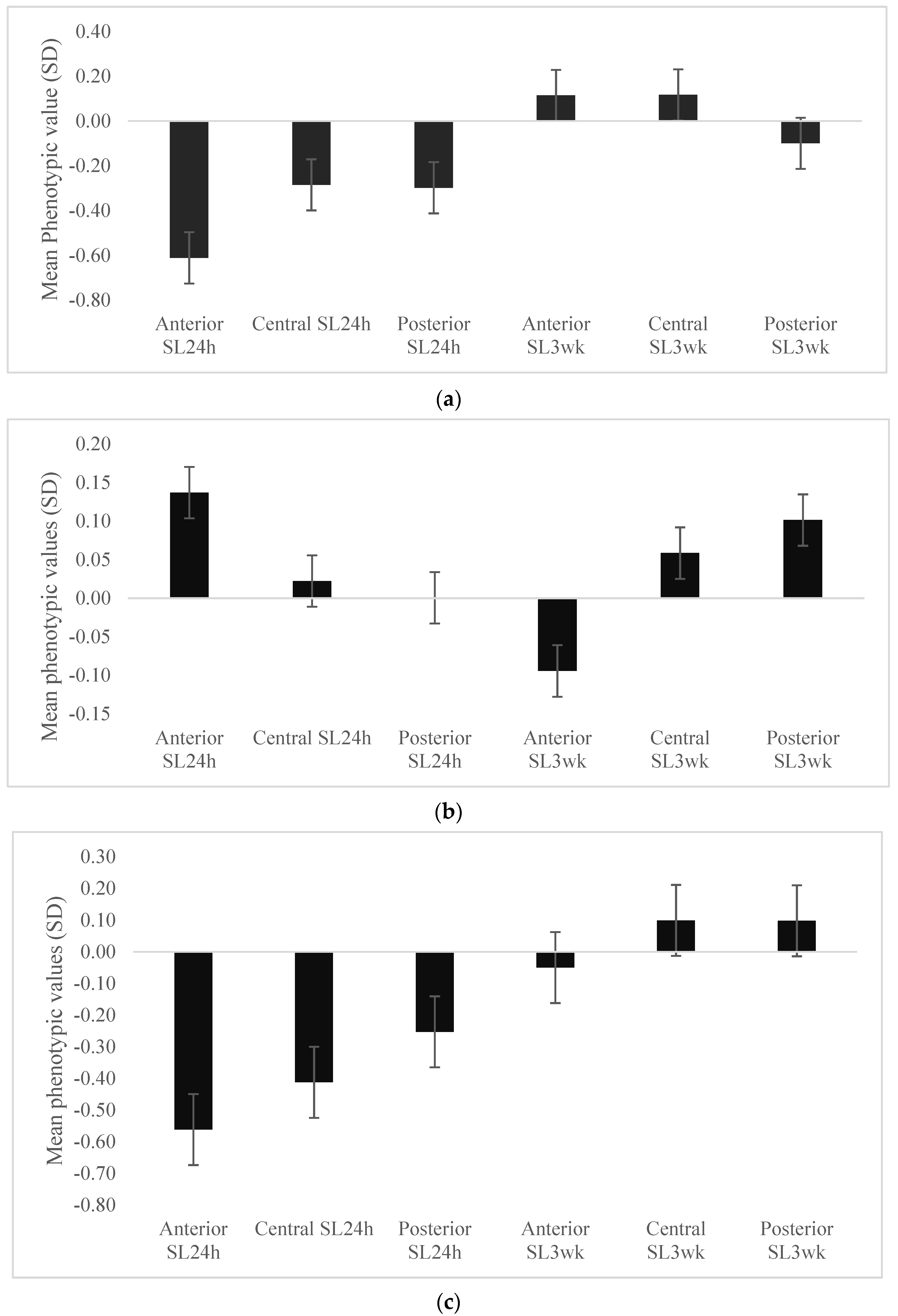
| Trait | Anterior SL24h | HPD95% | Central SL24h | HPD95% | Posterior SL24h | HPD95% | |||
|---|---|---|---|---|---|---|---|---|---|
| Betweenness centrality | 0.46 | −0.01 | 0.87 | −0.10 | −0.71 | 0.40 | −0.27 | −1.00 | 0.41 |
| Categorical betweenness | 0.38 | −0.07 | 0.89 | −0.27 | −1.00 | 0.53 | −0.11 | −0.97 | 0.49 |
| Closeness centrality | 0.49 | 0.13 | 0.82 | 0.10 | −0.46 | 0.50 | −0.23 | −0.99 | 0.40 |
| Degree centrality | 0.62 | 0.34 | 0.88 | 0.01 | −0.46 | 0.44 | −0.02 | −0.60 | 0.56 |
| Eigenvector centrality | 0.54 | 0.15 | 1.00 | −0.19 | −1.00 | 0.39 | −0.13 | −1.00 | 0.59 |
| Clustering coefficient | −0.14 | −0.56 | 0.34 | 0.63 | 0.08 | 1.00 | 0.73 | 0.24 | 1.00 |
| Clique membership | 0.96 | 0.84 | 1.00 | −0.57 | −1.00 | 0.93 | 0.36 | −0.23 | 0.95 |
| Trait | Anterior SL3wk | HPD95% | Central SL3wk | HPD95% | Posterior SL3wk | HPD95% | |||
|---|---|---|---|---|---|---|---|---|---|
| Betweenness centrality | −0.57 | −0.99 | −0.24 | −0.49 | −0.87 | −0.09 | −0.78 | −1.00 | 0.18 |
| Categorical betweenness | −0.37 | −0.86 | 0.06 | 0.01 | −0.71 | 0.59 | −0.20 | −0.85 | 0.51 |
| Closeness centrality | −0.33 | −0.67 | 0.01 | −0.28 | −0.61 | 0.09 | −0.06 | −0.96 | 0.72 |
| Degree centrality | −0.37 | −0.66 | −0.06 | −0.18 | −0.56 | 0.20 | 0.06 | −0.53 | 0.80 |
| Eigenvector centrality | −0.47 | −0.84 | −0.10 | −0.23 | −0.67 | 0.19 | −0.17 | −0.76 | 0.40 |
| Clustering coefficient | 0.68 | 0.28 | 1.00 | 0.62 | 0.26 | 0.97 | 0.40 | −0.22 | 0.98 |
| Clique membership | −0.84 | −1.00 | −0.40 | −0.57 | −1.00 | 0.15 | −0.46 | −0.99 | 0.46 |
Publisher’s Note: MDPI stays neutral with regard to jurisdictional claims in published maps and institutional affiliations. |
© 2022 by the authors. Licensee MDPI, Basel, Switzerland. This article is an open access article distributed under the terms and conditions of the Creative Commons Attribution (CC BY) license (https://creativecommons.org/licenses/by/4.0/).
Share and Cite
Agha, S.; Foister, S.; Roehe, R.; Turner, S.P.; Doeschl-Wilson, A. Genetic Analysis of Novel Behaviour Traits in Pigs Derived from Social Network Analysis. Genes 2022, 13, 561. https://doi.org/10.3390/genes13040561
Agha S, Foister S, Roehe R, Turner SP, Doeschl-Wilson A. Genetic Analysis of Novel Behaviour Traits in Pigs Derived from Social Network Analysis. Genes. 2022; 13(4):561. https://doi.org/10.3390/genes13040561
Chicago/Turabian StyleAgha, Saif, Simone Foister, Rainer Roehe, Simon P. Turner, and Andrea Doeschl-Wilson. 2022. "Genetic Analysis of Novel Behaviour Traits in Pigs Derived from Social Network Analysis" Genes 13, no. 4: 561. https://doi.org/10.3390/genes13040561
APA StyleAgha, S., Foister, S., Roehe, R., Turner, S. P., & Doeschl-Wilson, A. (2022). Genetic Analysis of Novel Behaviour Traits in Pigs Derived from Social Network Analysis. Genes, 13(4), 561. https://doi.org/10.3390/genes13040561

