Who Packed the Drugs? Application of Bayesian Networks to Address Questions of DNA Transfer, Persistence, and Recovery from Plastic Bags and Tape
Abstract
:1. Introduction
2. Materials and Methods
2.1. Direct and Indirect Transfer to Zip-Lock Drugs Bags
2.1.1. Direct Transfer
2.1.2. Indirect Transfer
2.2. Persistence and Detection of DNA from a Previous User of a Tape Roll
2.3. Shedder Status
2.4. Sample Processing
2.5. Data Analysis
2.5.1. List of Variables
- t is the probability of direct transfer, persistence and recovery of DNA from the POI (under Hp only).
- t’ is the probability of direct transfer, persistence and recovery of DNA from an unknown contributor (under Hd only).
- b is the probability of background DNA, based on observations, and is applied under both Hp and Hd. Background DNA is present from unknown sources and unknown activities. It can be described as “foreign” (non-self). For further details we refer to Section 3.2 in [6].
- s is the probability of transfer, persistence and recovery; in experiment 1, this is indirect transfer under Hp and Hd, and in experiment 2, it is direct transfer under Hd only.
- Suffixes are applied to described probabilities of an event given a particular contributor, e.g., tA refers to the probability of direct transfer, persistence and recovery of DNA from contributor A.
2.5.2. Notation Relating to the Experiments
2.5.3. Distribution Fitting
3. Results
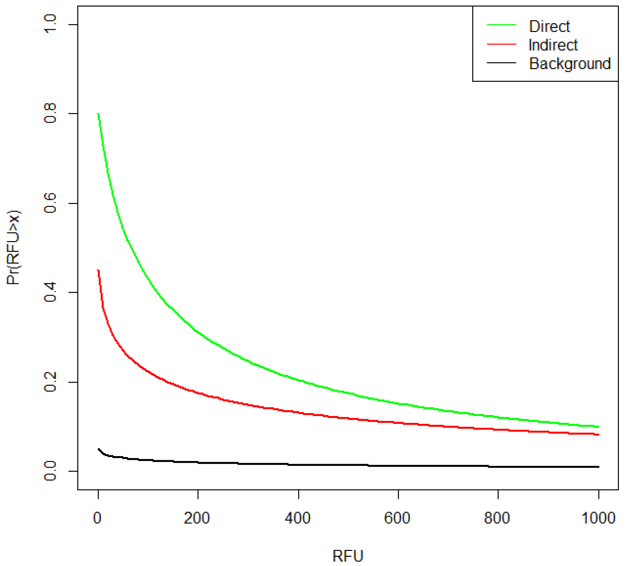
3.1. Direct and Secondary Transfer to Zip-Lock Drugs Bags
3.2. Persistence and Detection of DNA from a Previous User of a Tape Roll Used to Wrap Drugs
3.3. Shedder Status
3.4. Transfer in Relation to Shedder Status
3.5. Case Examples
3.5.1. Potential DNA Transfer from Storage in a Personal Bag
Case Circumstances
- A large depot of drugs was found at a hideout;
- The drugs were packed in zip-lock bags and placed in a black gym bag;
- Upon questioning, person A claims to have no knowledge of the drugs. However, he recognizes a gym bag that the drugs had been stored in and claims that it used to belong to him but it was lost or stolen two weeks previously.
DNA Analysis
- 4.
- Example 1: Result is a full DNA profile of a single individual. There is a candidate in the national DNA database who is identified as person A;
- 5.
- Example 2: Result is a mixture of two individuals. There is a candidate in the national DNA database who is identified as person A but there is no candidate for the second individual.
Propositions
- (a)
- Only the POI (A) is observed
- (b)
- POI (A) and unknown is observed
- (c)
- Probability of recovery of DNA from an unknown contributor
Contributor A Recovered Alone
Unknown and Contributor A Recovered
3.5.2. Cardboard Drug Wrap Experiment
Case Circumstances
DNA Analysis
Propositions
Statistical Analysis
- (a)
- A DNA is recovered:
- (b)
- B DNA is recovered:
- (c)
- A and B DNA are recovered:
- (d)
- no DNA is recovered:
Results of Analysis
4. Discussion
4.1. Zip-Lock Drugs Bag Experiment
4.2. Cardboard Drug Wrap Experiment
4.3. Shedder Status and Transfer Probabilities
4.4. Detection of Unknown DNA
5. Conclusions
Supplementary Materials
Author Contributions
Funding
Institutional Review Board Statement
Informed Consent Statement
Data Availability Statement
Acknowledgments
Conflicts of Interest
References
- Cook, R.; Evett, I.; Jackson, G.; Jones, P.; Lambert, J. A Hierarchy of Propositions: Deciding Which Level to Address in Casework. Sci. Justice 1998, 38, 231–239. [Google Scholar] [CrossRef]
- Gill, P.; Hicks, T.; Butler, J.M.; Connolly, E.; Gusmão, L.; Kokshoorn, B.; Morling, N.; van Oorschot, R.A.; Parson, W.; Prinz, M.; et al. DNA commission of the International society for forensic genetics: Assessing the value of forensic biological evidence—Guidelines highlighting the importance of propositions. Part II: Evaluation of biological traces considering activity level propositions. Forensic Sci. Int. Genet. 2020, 44, 102186. [Google Scholar] [CrossRef] [Green Version]
- Taylor, D.; Kokshoorn, B.; Biedermann, A. Evaluation of forensic genetics findings given activity level propositions: A review. Forensic Sci. Int. Genet. 2018, 36, 34–49. [Google Scholar] [CrossRef] [PubMed] [Green Version]
- Biedermann, A.; Taroni, F. Bayesian networks for evaluating forensic DNA profiling evidence: A review and guide to literature. Forensic Sci. Int. Genet. 2012, 6, 147–157. [Google Scholar] [CrossRef] [PubMed]
- Taylor, D.; Biedermann, A.; Hicks, T.; Champod, C. A template for constructing Bayesian networks in forensic biology cases when considering activity level propositions. Forensic Sci. Int. Genet. 2018, 33, 136–146. [Google Scholar] [CrossRef] [Green Version]
- Gill, P.; Bleka, Ø.; Roseth, A.; Fonneløp, A.E. An LR framework incorporating sensitivity analysis to model multiple direct and secondary transfer events on skin surface. Forensic Sci. Int. Genet. 2021, 53, 102509. [Google Scholar] [CrossRef] [PubMed]
- Van Oorschot, R.A.; Szkuta, B.; Meakin, G.E.; Kokshoorn, B.; Goray, M. DNA transfer in forensic science: A review. Forensic Sci. Int. Genet. 2019, 38, 140–166. [Google Scholar] [CrossRef]
- Goray, M.; Mitchell, R.J.; van Oorschot, R.A. Investigation of secondary DNA transfer of skin cells under controlled test conditions. Leg. Med. 2010, 12, 117–120. [Google Scholar] [CrossRef]
- Daly, D.J.; Murphy, C.; McDermott, S.D. The transfer of touch DNA from hands to glass, fabric and wood. Forensic Sci. Int. Genet. 2012, 6, 41–46. [Google Scholar] [CrossRef]
- Fonneløp, A.; Johannessen, H.; Gill, P. Persistence and secondary transfer of DNA from previous users of equipment. Forensic Sci. Int. Genet. Suppl. Ser. 2015, 5, e191–e192. [Google Scholar] [CrossRef]
- Raymond, J.; Van Oorschot, R.A.; Walsh, S.J.; Roux, C.; Gunn, P.R. Trace DNA and street robbery: A criminalistic approach to DNA evidence. Forensic Sci. Int. Genet. Suppl. Ser. 2009, 2, 544–546. [Google Scholar] [CrossRef]
- Van Oorschot, R.A.; Glavich, G.; Mitchell, R.J. Persistence of DNA deposited by the original user on objects after subsequent use by a second person. Forensic Sci. Int. Genet. 2014, 8, 219–225. [Google Scholar] [CrossRef]
- Mayuoni-Kirshenbaum, L.; Waiskopf, O.; Finkelstein, N.; Pasternak, Z. How did the DNA of a suspect get to the crime scene? A practical study in DNA transfer during lock-picking. Aust. J. Forensic Sci. 2020, 1–11. [Google Scholar] [CrossRef]
- Fonnelop, A.E.; Ramse, M.; Egeland, T.; Gill, P. The implications of shedder status and background DNA on direct and secondary transfer in an attack scenario. Forensic Sci. Int. Genet. 2017, 29, 48–60. [Google Scholar] [CrossRef] [PubMed]
- Johannessen, H.; Gill, P.; Roseth, A.; Fonneløp, A.E. Determination of shedder status: A comparison of two methods involving cell counting in fingerprints and the DNA analysis of handheld tubes. Forensic Sci. Int. Genet. 2021, 53, 102541. [Google Scholar] [CrossRef]
- Goray, M.; van Oorschot, R. Shedder status: Exploring means of determination. Sci. Justice 2021, 61, 391–400. [Google Scholar] [CrossRef]
- Schmidt, M.; Bamberg, M.; Dierig, L.; Kunz, S.N.; Wiegand, P. The diversity of shedder tests and a novel factor that affects DNA transfer. Int. J. Leg. Med. 2021, 135, 1267–1280. [Google Scholar] [CrossRef]
- Gill, P.; Bleka, Ø.; Fonneløp, A.E. RFU derived LRs for activity level assignments using Bayesian Networks. Forensic Sci. Int. Genet. 2021, 56, 102608. [Google Scholar] [CrossRef]
- Gill, P.; Benschop, C.; Buckleton, J.; Bleka, Ø.; Taylor, D. A Review of Probabilistic Genotyping Systems: EuroForMix, DNAStatistX and STRmix. Genes 2021, 12, 1559. [Google Scholar] [CrossRef]
- Butler, J.M. Forensic DNA Typing: Biology, Technology, and Genetics of STR Markers; Academic Press: Cambridge, MA, USA, 2005. [Google Scholar] [CrossRef] [Green Version]
- Bleka, Ø.; Storvik, G.O.; Gill, P. EuroForMix: An open source software based on a continuous model to evaluate STR DNA profiles from a mixture of contributors with artefacts. Forensic Sci. Int. Genet. 2016, 21, 35–44. [Google Scholar] [CrossRef] [Green Version]
- European Network of Forensic Science Institutions “ENFSI” Guideline for Evaluative Reporting in Forensic Science [Online]. Available online: http://enfsi.eu/wp-content/uploads/2016/09/m1_guideline.pdf (accessed on 1 November 2021).
- Fonneløp, A.E.; Egeland, T.; Gill, P. Secondary and subsequent DNA transfer during criminal investigation. Forensic Sci. Int. Genet. 2015, 17, 155–162. [Google Scholar] [CrossRef]
- Otten, L.; Banken, S.; Schürenkamp, M.; Schulze-Johann, K.; Sibbing, U.; Pfeiffer, H.; Vennemann, M. Secondary DNA transfer by working gloves. Forensic Sci. Int. Genet. 2019, 43, 102126. [Google Scholar] [CrossRef] [PubMed]
- Szkuta, B.; Ballantyne, K.N.; Kokshoorn, B.; van Oorschot, R.A. Transfer and persistence of non-self DNA on hands over time: Using empirical data to evaluate DNA evidence given activity level propositions. Forensic Sci. Int. Genet. 2018, 33, 84–97. [Google Scholar] [CrossRef] [PubMed]
- Goray, M.; Fowler, S.; Szkuta, B.; van Oorschot, R. Shedder status—An analysis of self and non-self DNA in multiple handprints deposited by the same individuals over time. Forensic Sci. Int. Genet. 2016, 23, 190–196. [Google Scholar] [CrossRef] [PubMed]











| Number of Samples | Average Mx Unknown Contrib. | |
|---|---|---|
| High | 4/12 (33%) | 7.1 |
| Medium | 19/33 (58%) | 8.5 |
| Low | 7/15 (47%) | 52.0 |
| Probability | Description | Contributor | Data used to Inform Probability Distribution | BN Nodes |
|---|---|---|---|---|
| tA | Packing transfer | A | RFUE1dbag | A DNA transferred during packing |
| t’ | Packing transfer | U | RFUE1dbag | DNA from unknown transferred during packing |
| s | Bag transfer | A | RFUE2pbag | A DNA transferred from bag |
| b | Background | U | RFUE2pbag | Background DNA |
| RFUA > x | 2.50% | 5% | 10% | 25% | 50% | 75% | 90% | 95% | 97.50% |
|---|---|---|---|---|---|---|---|---|---|
| 0 | 5 | 5 | 6 | 8 | 11 | 17 | 27 | 39 | 6 × 101 |
| 200 | 5 | 5 | 7 | 9 | 14 | 23 | 47 | 82 | 2 × 103 |
| 400 | 4 | 5 | 6 | 9 | 13 | 24 | 52 | 122 | 1 × 104 |
| 600 | 4 | 5 | 6 | 8 | 12 | 24 | 52 | 153 | 4 × 104 |
| 800 | 4 | 5 | 6 | 8 | 12 | 24 | 53 | 196 | 9 × 104 |
| 1000 | 4 | 4 | 5 | 8 | 12 | 24 | 54 | 218 | 2 × 105 |
| 2000 | 4 | 4 | 5 | 7 | 11 | 24 | 63 | 448 | 3 × 106 |
| 4000 | 3 | 4 | 4 | 6 | 10 | 23 | 77 | 1016 | 6 × 107 |
| 6000 | 3 | 4 | 4 | 6 | 9 | 21 | 87 | 1752 | 4 × 108 |
| RFUA > x | RFUUnknown > x | 2.50% | 5% | 10% | 25% | 50% | 75% | 90% | 95% | 97.50% |
|---|---|---|---|---|---|---|---|---|---|---|
| 0 | 0 | 0.1 | 0.1 | 0.1 | 0.1 | 0.1 | 0.1 | 0.2 | 0.2 | 0.2 |
| 100 | 2000 | 0.1 | 0.1 | 0.1 | 0.2 | 0.3 | 0.6 | 1.1 | 1.5 | 2 |
| 100 | 7000 | 0.1 | 0.2 | 0.2 | 0.3 | 0.6 | 1.1 | 1.8 | 2.4 | 4 |
| 2000 | 100 | 0.1 | 0.1 | 0.1 | 0.1 | 0.1 | 0.2 | 0.5 | 1.4 | 24 |
| 7000 | 100 | 0.1 | 0.1 | 0.1 | 0.1 | 0.1 | 0.1 | 0.6 | 3.6 | 307 |
| 1000 | 2000 | 0.1 | 0.1 | 0.2 | 0.2 | 0.3 | 0.5 | 0.9 | 1.5 | 20 |
| 1000 | 7000 | 0.2 | 0.2 | 0.2 | 0.3 | 0.5 | 0.9 | 1.3 | 2.7 | 35 |
| 2000 | 1000 | 0.1 | 0.1 | 0.1 | 0.1 | 0.2 | 0.3 | 0.7 | 1.8 | 45 |
| 7000 | 1000 | 0.1 | 0.1 | 0.1 | 0.1 | 0.2 | 0.3 | 1.0 | 4.2 | 717 |
| Probability | Description | Contributor | Data Used to Inform Probability Distribution | BN Nodes |
|---|---|---|---|---|
| tA | Packing transfer | A | RFUC1pack | (solo) A DNA transferred during packing (joint) A DNA transferred during packing |
| tB | Packing transfer | B | RFUC1pack | (joint) B DNA transferred during packing |
| s | Tape transfer | B | RFUC2tape | B DNA transferred when handling tape |
| RFUB > x | 1% | 2.50% | 5% | 10% | 25% | 50% | 75% | 90% | 95% | 97.50% | 99% |
|---|---|---|---|---|---|---|---|---|---|---|---|
| 0 | 0.8 | 0.8 | 0.9 | 1.0 | 1.2 | 1.4 | 1.7 | 2.0 | 2.3 | 2.6 | 3.0 |
| 100 | 1.2 | 1.4 | 1.5 | 1.7 | 2.1 | 2.7 | 3.9 | 5.6 | 7.3 | 10.0 | 16.2 |
| 200 | 1.3 | 1.5 | 1.7 | 2.0 | 2.6 | 3.7 | 6.6 | 12.9 | 20.5 | 34.0 | 90.5 |
| 300 | 1.3 | 1.5 | 1.7 | 2.1 | 2.8 | 4.5 | 10 | 23 | 43 | 93 | 282 |
| 400 | 1.3 | 1.5 | 1.7 | 2.0 | 3.0 | 5.1 | 13 | 39 | 78 | 190 | 953 |
| 500 | 1.2 | 1.4 | 1.6 | 2.0 | 3.1 | 5.5 | 17 | 65 | 147 | 371 | 2152 |
| 600 | 1.1 | 1.3 | 1.5 | 1.9 | 3.0 | 5.9 | 20 | 97 | 238 | 603 | 4441 |
| 700 | 1.0 | 1.2 | 1.4 | 1.8 | 3.0 | 6.1 | 24 | 133 | 360 | 1157 | 8454 |
| 800 | 0.8 | 1.1 | 1.3 | 1.7 | 3.0 | 6.4 | 29 | 179 | 563 | 1872 | 15,118 |
| 900 | 0.7 | 1.0 | 1.3 | 1.6 | 3.0 | 6.7 | 35 | 227 | 833 | 2951 | 27,012 |
| 1000 | 0.6 | 1.0 | 1.2 | 1.6 | 2.9 | 6.9 | 40 | 291 | 1176 | 5202 | 52,019 |
Publisher’s Note: MDPI stays neutral with regard to jurisdictional claims in published maps and institutional affiliations. |
© 2021 by the authors. Licensee MDPI, Basel, Switzerland. This article is an open access article distributed under the terms and conditions of the Creative Commons Attribution (CC BY) license (https://creativecommons.org/licenses/by/4.0/).
Share and Cite
Fonneløp, A.E.; Faria, S.; Shanthan, G.; Gill, P. Who Packed the Drugs? Application of Bayesian Networks to Address Questions of DNA Transfer, Persistence, and Recovery from Plastic Bags and Tape. Genes 2022, 13, 18. https://doi.org/10.3390/genes13010018
Fonneløp AE, Faria S, Shanthan G, Gill P. Who Packed the Drugs? Application of Bayesian Networks to Address Questions of DNA Transfer, Persistence, and Recovery from Plastic Bags and Tape. Genes. 2022; 13(1):18. https://doi.org/10.3390/genes13010018
Chicago/Turabian StyleFonneløp, Ane Elida, Sara Faria, Gnanagowry Shanthan, and Peter Gill. 2022. "Who Packed the Drugs? Application of Bayesian Networks to Address Questions of DNA Transfer, Persistence, and Recovery from Plastic Bags and Tape" Genes 13, no. 1: 18. https://doi.org/10.3390/genes13010018
APA StyleFonneløp, A. E., Faria, S., Shanthan, G., & Gill, P. (2022). Who Packed the Drugs? Application of Bayesian Networks to Address Questions of DNA Transfer, Persistence, and Recovery from Plastic Bags and Tape. Genes, 13(1), 18. https://doi.org/10.3390/genes13010018
