Thousands of CpGs Show DNA Methylation Differences in ACPA-Positive Individuals
Highlights
- A replication study was conducted to validate 31 CpG sites previously identified as differentially methylated between anti-citrullinated protein antibody (ACPA)-positive and negative individuals. The replication included a new dataset with a similar design, while controlling for cis-genetic influences on methylation. Two cohorts of 121 and 112 individuals were analyzed, both sampled from the CARTaGENE population cohort and biobank in Quebec, Canada.
- Integrative analyses were performed to assess the overlap between ACPA-associated differentially methylated regions (DMRs), rheumatoid arthritis (RA)-associated DMRs, and RA-associated SNPs from the GWAS Catalog. Significant overlap was detected at the gene level, involving genes such as HLA-DRB1, KIF26B, ERICH1, SPAG1, TP73, and ZNF595. Further analysis of the protein-coding genes linked to these DMRs and SNPs indicated the enrichment of cell adhesion and several immune-related pathways.
- Several novel differentially methylated cytosines and DMRs were identified and validated, with consistent methylation patterns observed in relation to ACPA positivity and RA diagnosis.
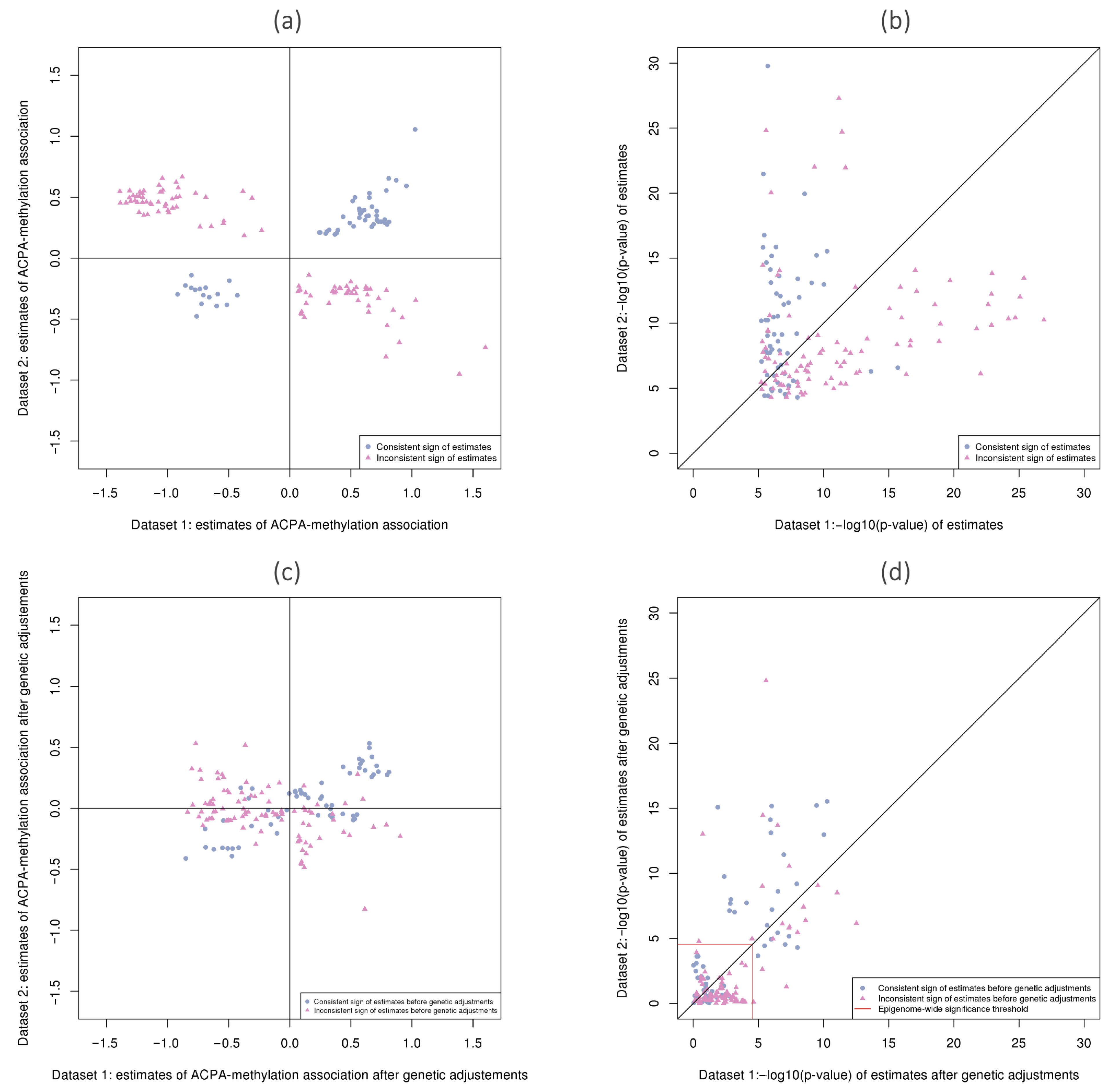
- The inclusion of genetic factors suggests that genotypes at specific loci may influence DNA methylation patterns, even in individuals with similar health conditions.
- Analyses that incorporate cis-genetic influences may provide more specificity when detecting relevant methylation regions.
- These findings relate to the candidate genes involved in ACPA positivity and RA, and highlight the role of cell adhesion in chronic inflammatory diseases such as RA. This provides potential directions for further research and drug development.
Abstract
1. Introduction
2. Results
2.1. Subjects in the Replication Dataset
2.2. Improvement in MCC-Seq Coverage
2.3. Epigenome-Wide Association Studies (EWAS)
2.4. Adjusting for Genetic Variants
2.4.1. Identification of Cis-Meqtls
2.4.2. Genetically Adjusted ACPA-Associated DMCs/DMRs
2.5. Agreement across Two Datasets
2.6. Replication of Results Found in the Initial Study
3. Integrating EWAS Findings with GWAS Catalog Loci
Integration with Published GWAS Knowledge
4. Discussion
5. Methods
5.1. CARTaGENE Subjects
5.2. Methylation Sequencing
5.3. Cleaning and Quality Control for MCC-Seq Data in Dataset 2
- Alignment: Stranded bisulfite treated sequences were aligned against reference genome hg19 using Novoalign, duplicate fragments were removed with samtools. Methylation status of aligned cytosines for each sample were called by Novomethyl. Details of alignment and data cleaning for Dataset 1 can be found in [9]; alignment was performed with Bismark and the methylation levels were calculated after combining forward and reverse strands.
- SNP calling and imputing: Genotyping data was fetched from CARTaGENE, the details of pipeline used for the quality control of CARTaGENE’s genotyping data can be found on their website (https://www.cartagene.qc.ca/en/researchers/catalogue/genetic-data (accessed on 31 March 2020)). Because the data was generated through 5 genotyping arrays: Axiom, Omni 2.5 M, GSA760, GSA4224, GSA5300, the genotyping data on the same samples were then imputed using the Sanger imputation service (https://www.sanger.ac.uk/tool/sanger-imputation-service/ (accessed on 7 April 2020)), and the guidelines listed on the website were followed.
- Filtering of CpG sites: Analyses were restricted to CpG sites on the autosomes. Any CpG site where all reads were either methylated or unmethylated across all samples (i.e., no variability exists) were eliminated from analyses. In Dataset 2, sites were retained for either ACPA or RA association studies if there were at least 30 samples (study participants) with read depth ≥15×. In re-analyses of Dataset 1, this read depth restriction was relaxed to ≥10× to reach a balance between quality and quantity.
5.4. Statistical Analysis
5.4.1. Testing for Differential Methylation with ACPA and RA Status
5.4.2. Differentially Methylated Regions (DMRs)
5.4.3. Genetic Effects on DNA Methylation and ACPA Status
5.5. Association Analysis of Genomic Regions Based on Permutation Tests
- Do the DMCs in one set overlap with those in another set more than expected by chance?
- Are the DMCs in one set significantly closer to those in the other set?
5.6. Integration Studies with Data from GWAS Catalog
5.6.1. Identifying SNPs in the GWAS Catalog Associated with RA
5.6.2. Linking DMRs and SNPs to Annotated Protein-Coding Genes
5.6.3. Gene Ontology Analysis and Canonical Pathway Information
Supplementary Materials
Author Contributions
Funding
Institutional Review Board Statement
Informed Consent Statement
Data Availability Statement
Conflicts of Interest
References
- Aletaha, D.; Smolen, J.S. Diagnosis and management of rheumatoid arthritis: A review. JAMA 2018, 320, 1360–1372. [Google Scholar] [CrossRef] [PubMed]
- Van der Helm-van, A.H.; Verpoort, K.N.; Breedveld, F.C.; Toes, R.E.; Huizinga, T.W. Antibodies to citrullinated proteins and differences in clinical progression of rheumatoid arthritis. Arthritis Res. Ther. 2005, 7, 1–10. [Google Scholar] [CrossRef]
- Deane, K.D.; Demoruelle, M.K.; Kelmenson, L.B.; Kuhn, K.A.; Norris, J.M.; Holers, V.M. Genetic and environmental risk factors for rheumatoid arthritis. Best Pract. Res. Clin. Rheumatol. 2017, 31, 3–18. [Google Scholar] [CrossRef]
- Lundberg, K.; Bengtsson, C.; Kharlamova, N.; Reed, E.; Jiang, X.; Kallberg, H.; Pollak-Dorocic, I.; Israelsson, L.; Kessel, C.; Padyukov, L.; et al. Genetic and environmental determinants for disease risk in subsets of rheumatoid arthritis defined by the anticitrullinated protein/peptide antibody fine specificity profile. Ann. Rheum. Dis. 2013, 72, 652–658. [Google Scholar] [CrossRef] [PubMed]
- Meng, W.; Zhu, Z.; Jiang, X.; Too, C.L.; Uebe, S.; Jagodic, M.; Kockum, I.; Murad, S.; Ferrucci, L.; Alfredsson, L.; et al. DNA methylation mediates genotype and smoking interaction in the development of anti-citrullinated peptide antibody-positive rheumatoid arthritis. Arthritis Res. Ther. 2017, 19, 1–10. [Google Scholar] [CrossRef]
- Glossop, J.R.; Emes, R.D.; Nixon, N.B.; Packham, J.C.; Fryer, A.A.; Mattey, D.L.; Farrell, W.E. Genome-wide profiling in treatment-naive early rheumatoid arthritis reveals DNA methylome changes in T and B lymphocytes. Epigenomics 2016, 8, 209–224. [Google Scholar] [CrossRef] [PubMed]
- Liu, Y.; Aryee, M.J.; Padyukov, L.; Fallin, M.D.; Hesselberg, E.; Runarsson, A.; Reinius, L.; Acevedo, N.; Taub, M.; Ronninger, M.; et al. Epigenome-wide association data implicate DNA methylation as an intermediary of genetic risk in rheumatoid arthritis. Nat. Biotechnol. 2013, 31, 142. [Google Scholar] [CrossRef] [PubMed]
- Ai, R.; Laragione, T.; Hammaker, D.; Boyle, D.L.; Wildberg, A.; Maeshima, K.; Palescandolo, E.; Krishna, V.; Pocalyko, D.; Whitaker, J.W.; et al. Comprehensive epigenetic landscape of rheumatoid arthritis fibroblast-like synoviocytes. Nat. Commun. 2018, 9, 1–11. [Google Scholar] [CrossRef] [PubMed]
- Shao, X.; Hudson, M.; Colmegna, I.; Greenwood, C.M.; Fritzler, M.J.; Awadalla, P.; Pastinen, T.; Bernatsky, S. Rheumatoid arthritis-relevant DNA methylation changes identified in ACPA-positive asymptomatic individuals using methylome capture sequencing. Clin. Epigenetics 2019, 11, 110. [Google Scholar] [CrossRef]
- Allum, F.; Shao, X.; Guénard, F.; Simon, M.M.; Busche, S.; Caron, M.; Lambourne, J.; Lessard, J.; Tandre, K.; Hedman, Å.K.; et al. Characterization of functional methylomes by next-generation capture sequencing identifies novel disease-associated variants. Nat. Commun. 2015, 6, 1–12. [Google Scholar]
- Cheung, W.A.; Shao, X.; Morin, A.; Siroux, V.; Kwan, T.; Ge, B.; Aïssi, D.; Chen, L.; Vasquez, L.; Allum, F.; et al. Functional variation in allelic methylomes underscores a strong genetic contribution and reveals novel epigenetic alterations in the human epigenome. Genome Biol. 2017, 18, 1–21. [Google Scholar] [CrossRef] [PubMed]
- Daha, N.A.; Toes, R.E. Are ACPA-positive and ACPA-negative RA the same disease? Nat. Rev. Rheumatol. 2011, 7, 202–203. [Google Scholar] [CrossRef] [PubMed]
- Zhao, K. Smooth Modelling of Covariate Effects in Bisulfite Sequencing-Derived Measures of DNA Methylation. Ph.D. Thesis, McGill University, Montreal, QC, Canada, 2021. [Google Scholar]
- Voisin, S.; Almén, M.S.; Zheleznyakova, G.Y.; Lundberg, L.; Zarei, S.; Castillo, S.; Eriksson, F.E.; Nilsson, E.K.; Blüher, M.; Böttcher, Y.; et al. Many obesity-associated SNPs strongly associate with DNA methylation changes at proximal promoters and enhancers. Genome Med. 2015, 7, 1–16. [Google Scholar] [CrossRef]
- Huan, T.; Joehanes, R.; Song, C.; Peng, F.; Guo, Y.; Mendelson, M.; Yao, C.; Liu, C.; Ma, J.; Richard, M.; et al. Genome-wide identification of DNA methylation QTLs in whole blood highlights pathways for cardiovascular disease. Nat. Commun. 2019, 10, 1–14. [Google Scholar] [CrossRef]
- Zou, H. The adaptive lasso and its oracle properties. J. Am. Stat. Assoc. 2006, 101, 1418–1429. [Google Scholar] [CrossRef]
- Raudvere, U.; Kolberg, L.; Kuzmin, I.; Arak, T.; Adler, P.; Peterson, H.; Vilo, J. g: Profiler: A web server for functional enrichment analysis and conversions of gene lists (2019 update). Nucleic Acids Res. 2019, 47, W191–W198. [Google Scholar] [CrossRef] [PubMed]
- Ganor, Y.; Levite, M. The neurotransmitter glutamate and human T cells: Glutamate receptors and glutamate-induced direct and potent effects on normal human T cells, cancerous human leukemia and lymphoma T cells, and autoimmune human T cells. J. Neural Transm. 2014, 121, 983–1006. [Google Scholar] [CrossRef] [PubMed]
- Hinoi, E.; Yoneda, Y. Possible involvement of glutamatergic signaling machineries in pathophysiology of rheumatoid arthritis. J. Pharmacol. Sci. 2011, 116, 248–256. [Google Scholar] [CrossRef]
- Qiu, J.; Wu, B.; Goodman, S.B.; Berry, G.J.; Goronzy, J.J.; Weyand, C.M. Metabolic Control of Autoimmunity and Tissue Inflammation in Rheumatoid Arthritis. Front. Immunol. 2021, 12, 1038. [Google Scholar] [CrossRef] [PubMed]
- Johnson, B.A.; Haines, G.K.; Harlow, L.A.; Koch, A.E. Adhesion molecule expression in human synovial tissue. Arthritis Rheum. 1993, 36, 137–146. [Google Scholar] [CrossRef]
- Mulherin, D.; Veale, D.; Belch, J.; Bresnihan, B.; Fitzgerald, O. Adhesion molecule in untreated inflammatory arthritis. QJM Int. J. Med. 1996, 89, 195–204. [Google Scholar] [CrossRef]
- Morel, J.C.; Park, C.C.; Zhu, K.; Kumar, P.; Ruth, J.H.; Koch, A.E. Signal transduction pathways involved in rheumatoid arthritis synovial fibroblast interleukin-18-induced vascular cell adhesion molecule-1 expression. J. Biol. Chem. 2002, 277, 34679–34691. [Google Scholar] [CrossRef] [PubMed]
- Kurowska, W.; Kuca-Warnawin, E.H.; Radzikowska, A.; Maśliński, W. The role of anti-citrullinated protein antibodies (ACPA) in the pathogenesis of rheumatoid arthritis. Cent. Eur. J. Immunol. 2017, 42, 390. [Google Scholar] [CrossRef] [PubMed]
- Van Drongelen, V.; Holoshitz, J. Human leukocyte antigen–disease associations in rheumatoid arthritis. Rheum. Dis. Clin. 2017, 43, 363–376. [Google Scholar] [CrossRef] [PubMed]
- Chen, Y.J.; Chang, W.A.; Hsu, Y.L.; Chen, C.H.; Kuo, P.L. Deduction of novel genes potentially involved in osteoblasts of rheumatoid arthritis using next-generation sequencing and bioinformatic approaches. Int. J. Mol. Sci. 2017, 18, 2396. [Google Scholar] [CrossRef]
- Kohmura, N.; Senzaki, K.; Hamada, S.; Kai, N.; Yasuda, R.; Watanabe, M.; Ishii, H.; Yasuda, M.; Mishina, M.; Yagi, T. Diversity revealed by a novel family of cadherins expressed in neurons at a synaptic complex. Neuron 1998, 20, 1137–1151. [Google Scholar] [CrossRef]
- Gomez-Cabrero, D.; Almgren, M.; Sjöholm, L.K.; Hensvold, A.H.; Ringh, M.V.; Tryggvadottir, R.; Kere, J.; Scheynius, A.; Acevedo, N.; Reinius, L.; et al. High-specificity bioinformatics framework for epigenomic profiling of discordant twins reveals specific and shared markers for ACPA and ACPA-positive rheumatoid arthritis. Genome Med. 2016, 8, 1–15. [Google Scholar] [CrossRef]
- Haas, C.S.; Creighton, C.J.; Pi, X.; Maine, I.; Koch, A.E.; Haines, G.K., III; Ling, S.; Chinnaiyan, A.M.; Holoshitz, J. Identification of genes modulated in rheumatoid arthritis using complementary DNA microarray analysis of lymphoblastoid B cell lines from disease-discordant monozygotic twins. Arthritis Rheum. Off. J. Am. Coll. Rheumatol. 2006, 54, 2047–2060. [Google Scholar] [CrossRef]
- Wang, X.; Su, H.; Bradley, A. Molecular mechanisms governing Pcdh-γ gene expression: Evidence for a multiple promoter and cis-alternative splicing model. Genes Dev. 2002, 16, 1890–1905. [Google Scholar] [CrossRef]
- Toyoda, S.; Kawaguchi, M.; Kobayashi, T.; Tarusawa, E.; Toyama, T.; Okano, M.; Oda, M.; Nakauchi, H.; Yoshimura, Y.; Sanbo, M.; et al. Developmental epigenetic modification regulates stochastic expression of clustered protocadherin genes, generating single neuron diversity. Neuron 2014, 82, 94–108. [Google Scholar] [CrossRef]
- Vazquez-Cintron, E.J.; Monu, N.R.; Burns, J.C.; Blum, R.; Chen, G.; Lopez, P.; Ma, J.; Radoja, S.; Frey, A.B. Protocadherin-18 is a novel differentiation marker and an inhibitory signaling receptor for CD8+ effector memory T cells. PLoS ONE 2012, 7, e36101. [Google Scholar] [CrossRef] [PubMed][Green Version]
- Muller, W.A. Leukocyte–endothelial-cell interactions in leukocyte transmigration and the inflammatory response. Trends Immunol. 2003, 24, 326–333. [Google Scholar] [CrossRef]
- Vestweber, D. Regulation of endothelial cell contacts during leukocyte extravasation. Curr. Opin. Cell Biol. 2002, 14, 587–593. [Google Scholar] [CrossRef]
- Arrate, M.P.; Rodriguez, J.M.; Tran, T.M.; Brock, T.A.; Cunningham, S.A. Cloning of human junctional adhesion molecule 3 (JAM3) and its identification as the JAM2 counter-receptor. J. Biol. Chem. 2001, 276, 45826–45832. [Google Scholar] [CrossRef] [PubMed]
- Reglero-Real, N.; Marcos-Ramiro, B.; Millán, J. Endothelial membrane reorganization during leukocyte extravasation. Cell. Mol. Life Sci. 2012, 69, 3079–3099. [Google Scholar] [CrossRef] [PubMed]
- Roman-Blas, J.; Jimenez, S. NF-κB as a potential therapeutic target in osteoarthritis and rheumatoid arthritis. Osteoarthr. Cartil. 2006, 14, 839–848. [Google Scholar] [CrossRef] [PubMed]
- Zhai, P.F.; Wang, F.; Su, R.; Lin, H.S.; Jiang, C.L.; Yang, G.H.; Yu, J.; Zhang, J.W. The regulatory roles of microRNA-146b-5p and its target platelet-derived growth factor receptor α (PDGFRA) in erythropoiesis and megakaryocytopoiesis. J. Biol. Chem. 2014, 289, 22600–22613. [Google Scholar] [CrossRef]
- Labbaye, C.; Testa, U. The emerging role of MIR-146A in the control of hematopoiesis, immune function and cancer. J. Hematol. Oncol. 2012, 5, 1–10. [Google Scholar] [CrossRef]
- Horwood, N.J.; Urbaniak, A.M.; Danks, L. Tec family kinases in inflammation and disease. Int. Rev. Immunol. 2012, 31, 87–103. [Google Scholar] [CrossRef] [PubMed]
- Qi, L.; Xian-Yang, Z.; Yu-Feng, X.; Yue, D.; Zhi-Feng, W. Tetrandrine inhibits migration and invasion of rheumatoid arthritis fibroblast-like synoviocytes through down-regulating the expressions of Rac1, Cdc42, and RhoA GTPases and activation of the PI3K/Akt and JNK signaling pathways. Chin. J. Nat. Med. 2015, 13, 831–841. [Google Scholar]
- Rudel, T.; Zenke, F.T.; Chuang, T.H.; Bokoch, G.M. Cutting edge: p21-activated kinase (PAK) is required for Fas-induced JNK activation in Jurkat cells. J. Immunol. 1998, 160, 7–11. [Google Scholar] [PubMed]
- Liu, F.; Feng, X.X.; Zhu, S.L.; Huang, H.Y.; Chen, Y.D.; Pan, Y.F.; June, R.R.; Zheng, S.G.; Huang, J.L. Sonic hedgehog signaling pathway mediates proliferation and migration of fibroblast-like synoviocytes in rheumatoid arthritis via MAPK/ERK signaling pathway. Front. Immunol. 2018, 9, 2847. [Google Scholar] [CrossRef] [PubMed]
- Chu, J.Y.; Dransfield, I.; Rossi, A.G.; Vermeren, S. Non-canonical PI3K-Cdc42-Pak-Mek-Erk signaling promotes immune-complex-induced apoptosis in human neutrophils. Cell Rep. 2016, 17, 374–386. [Google Scholar] [CrossRef]
- Nakano, K.; Whitaker, J.W.; Boyle, D.L.; Wang, W.; Firestein, G.S. DNA methylome signature in rheumatoid arthritis. Ann. Rheum. Dis. 2013, 72, 110–117. [Google Scholar] [CrossRef] [PubMed]
- De la Rica, L.; Urquiza, J.M.; Gómez-Cabrero, D.; Islam, A.B.; López-Bigas, N.; Tegnér, J.; Toes, R.E.; Ballestar, E. Identification of novel markers in rheumatoid arthritis through integrated analysis of DNA methylation and microRNA expression. J. Autoimmun. 2013, 41, 6–16. [Google Scholar] [CrossRef]
- Burgers, L.E.; van Steenbergen, H.W.; Ten Brinck, R.M.; Huizinga, T.W.; van der Helm-van, A.H. Differences in the symptomatic phase preceding ACPA-positive and ACPA-negative RA: A longitudinal study in arthralgia during progression to clinical arthritis. Ann. Rheum. Dis. 2017, 76, 1751–1754. [Google Scholar] [CrossRef]
- Yu, G. Variance stabilizing transformations of Poisson, binomial and negative binomial distributions. Stat. Probab. Lett. 2009, 79, 1621–1629. [Google Scholar] [CrossRef]
- Awadalla, P.; Boileau, C.; Payette, Y.; Idaghdour, Y.; Goulet, J.P.; Knoppers, B.; Hamet, P.; Laberge, C. Cohort profile of the CARTaGENE study: Quebec’s population-based biobank for public health and personalized genomics. Int. J. Epidemiol. 2013, 42, 1285–1299. [Google Scholar] [CrossRef]
- Benjamini, Y.; Hochberg, Y. Controlling the false discovery rate: A practical and powerful approach to multiple testing. J. R. Stat. Soc. Ser. B 1995, 57, 289–300. [Google Scholar] [CrossRef]
- Storey, J.D.; Bass, A.J.; Dabney, A.; Robinson, D. Qvalue: Q-Value Estimation for False Discovery Rate Control. R Package Version 2.14.1. 2019. Available online: http://github.com/jdstorey/qvalue (accessed on 31 March 2021).
- Shabalin, A.A. Matrix eQTL: Ultra fast eQTL analysis via large matrix operations. Bioinformatics 2012, 28, 1353–1358. [Google Scholar] [CrossRef] [PubMed]
- Tibshirani, R. Regression shrinkage and selection via the lasso. J. R. Stat. Soc. Ser. B 1996, 58, 267–288. [Google Scholar] [CrossRef]
- Friedman, J.; Hastie, T.; Tibshirani, R. Regularization paths for generalized linear models via coordinate descent. J. Stat. Softw. 2010, 33, 1. [Google Scholar] [CrossRef]
- Gel, B.; Díez-Villanueva, A.; Serra, E.; Buschbeck, M.; Peinado, M.A.; Malinverni, R. regioneR: An R/Bioconductor package for the association analysis of genomic regions based on permutation tests. Bioinformatics 2016, 32, 289–291. [Google Scholar] [CrossRef] [PubMed]
- Cavalcante, R.G.; Sartor, M.A. Annotatr: Genomic regions in context. R package version 1.16.0. Bioinformatics 2017, 33, 2381–2383. [Google Scholar] [CrossRef] [PubMed]
- Carlson, M. org.Hs.eg.db: Genome wide Annotation for Human. R Package Version 3.12.0. 2020. Available online: https://bioconductor.org/packages/org.Hs.eg.db (accessed on 31 March 2021).
- Carlson, M.; Maintainer, B.P. TxDb.Hsapiens.UCSC.hg19.knownGene: Annotation Package for TxDb Object(s). R Package Version 3.2.2. 2015. Available online: https://bioconductor.org/packages/TxDb.Hsapiens.UCSC.hg19.knownGene (accessed on 31 March 2021).










| Dataset 1 | Dataset 2 | |||||||
|---|---|---|---|---|---|---|---|---|
| All Subjects () | ACPA-Pos () | ACPA-Neg () | RA () | All Subjects () | ACPA-Pos () | ACPA-Neg () | RA () | |
| ACPA OD, mean (range) | 39.0 (2.8–228.5) | 65.0 (40.1–210.4) | 7.0 (2.8–19.0) | 133.5 (4.4–228.5) | 55.8 (3.5–191.6) | 98.3 (60.2–178.9) | 7.3 (3.5–18.8) | 117.0 (3.5–191.6) |
| Age, mean (sd) | 54.8 (7.7) | 54.8 (8.0) | 54.7 (7.5) | 55.3 (9.5) | 54.2 (7.9) | 54.4 (7.7) | 54.2 (8.1) | 53.0 (8.1) |
| Female, n (%) | 78 (64.5) | 33 (61.1) | 39 (63.9) | 6 (100) | 62 (55.4) | 29 (58) | 30 (55.6) | 3 (37.5) |
| Smoker, n (%) | ||||||||
| Current | 26 (21.5) | 12 (22.2) | 13 (21.3) | 1 (16.7) | 18 (16.1) | 6 (12) | 10 (18.5) | 2 (25) |
| Past | 47 (38.8) | 23 (42.6) | 22 (36.1) | 2 (33.3) | 48 (42.9) | 20 (40) | 24 (44.4) | 4 (50) |
| Never, | 4 (3.3) | 0 (0) | 4 (6.6) | 0 (0) | 4 (3.6) | 3 (6) | 1 (1.9) | 0 (0) |
| Missing | 44 (36.4) | 19 (35.2) | 22 (36.1) | 3 (50) | 42 (37.5) | 21 (42) | 19 (35.2) | 2 (25) |
| Blood cell proportions, | mean (range) | |||||||
| monocyte | 0.077 (0.022) | 0.077 (0.020) | 0.077 (0.023) | 0.079 (0.040) | 0.079 (0.019) | 0.079 (0.019) | 0.081 (0.019) | 0.075 (0.019) |
| lymphocyte | 0.280 (0.068) | 0.281 (0.072) | 0.280 (0.063) | 0.280 (0.096) | 0.286 (0.072) | 0.283 (0.069) | 0.299 (0.067) | 0.219 (0.093) |
| neutrophil | 0.613 (0.078) | 0.614 (0.079) | 0.612 (0.071) | 0.615 (0.140) | 0.604 (0.082) | 0.607 (0.082) | 0.590 (0.076) | 0.680 (0.093) |
| eosinophil | 0.023 (0.015) | 0.023 (0.017) | 0.024 (0.014) | 0.020 (0.008) | 0.025 (0.017) | 0.026 (0.016) | 0.025 (0.019) | 0.021 (0.012) |
| basophil | 0.007 (0.004) | 0.007 (0.005) | 0.006 (0.004) | 0.008 (0.004) | 0.006 (0.004) | 0.006 (0.004) | 0.005 (0.004) | 0.004 (0.003) |
| Dataset 1 | Dataset 2 | Overlaps | |
|---|---|---|---|
| # of CpGs covered in at least two samples with at least one read | 5,041,032 | 5,307,142 | 3,948,157 |
| # of CpGs covered after quality control | 1,305,080 | 4,259,820 | 1,095,002 |
| Models | #CpGs Tested | #DMCs (#DMRs) | #HyperDMCs (#HyperDMRs) | #HypoDMCs (#HypoDMRs) |
|---|---|---|---|---|
| I. ACPA-positive vs. ACPA-negative (Dataset 2) | 4,259,820 | 19,472 (814) | 8581 (334) | 10,891 (480) |
| II. ACPA-positive vs. ACPA-negative (Dataset 1) | 1,305,080 | 853 (44) | 569 (31) | 284 (13) |
| Overlaps by position | 1,095,002 | 157 (10) | 43 (3) | 16(1) |
| III. ACPA-positive vs. ACPA-negative with genetic effect adjustment (Dataset 2) | 19,472 * | 6314 (302) | 2415 (115) | 3899 (187) |
| IV. ACPA-positive vs. ACPA-negative with genetic effect adjustment (Dataset 1) | 853 † | 515 (28) | 371 (22) | 144 (6) |
| Overlaps by position | 157 | 31 (3) | 14 (1) | 1 (0) |
| V. Self-reported RA vs. Asymptomatic (Dataset 2) | 4,282,792 | 18,874 (843) | 10,909 (578) | 7965 (265) |
| VI. Self-reported RA vs. Asymptomatic (Dataset 1) | 1,295,623 | 258 (15) | 99 (5) | 159 (10) |
| Overlaps by position | 1,099,279 | 55 (4) | 15 (1) | 11 (1) |
| Initial Study (Dataset 1) | Replication Study (Dataset 2) | Overlaps | Overlaps (Consistent) | |
|---|---|---|---|---|
| ACPA-positive vs. ACPA-negative | ||||
| # of CpGs tested | 4,635,909 | 4,259,820 | ||
| # of DMCs(DMRs) identified | 1909 (509) | 19,472 (814) | 410 (23) | 230 (11) |
| Self-reported RA vs. ACPA asymptomatic | ||||
| # of CpGs tested | 4,109,916 | 4,282,792 | ||
| # of DMCs(DMRs) identified | 955 (249) | 18,874 (843) | 156 (9) | 110 (6) |
| Source | # of Mapped Genes | Overlap with GWAS Genes |
|---|---|---|
| 585 SNPs from GWAS Catalog | 295 | |
| 814 ACPA-associated DMRs | 403 | HLA-DRB1, HLA-DRB5 ERICH1, KIF26B, SPAG1 DUSP22, DOCK1, NTM DGKQ, PRDM16, RAD51B TP73, SLC9A9, ZNF595 |
| 843 RA-associated DMRs | 376 | ERICH1, ZNF595, SPAG1, TP73 PADI4, CARD9, CTIF |
| Source | Term ID | Term Name | p-Value (GWAS) | p-Value (ACPA-DMR) | p-Value (RA-DMR) |
|---|---|---|---|---|---|
| GO:BP | GO:0098609 | cell–cell adhesion | |||
| GO:BP | GO:0007155 | cell adhesion | |||
| GO:BP | GO:0022610 | biological adhesion | |||
| GO:CC | GO:0005886 | plasma membrane |
| Gene List | Genes Involved | #SNPs/DMRs Associated |
|---|---|---|
| GWAS Catalog | PTPN22, CYRIB, SRC, HLA-DQB1, ETS1, ZFP36L1, PTPN2 RUNX1, TNFSF4, IL2RA, PRKCQ, GATA3, SWAP70, BAD CD83, BLK, CTLA4, ICOS, CXCL13, SH2B3, CCR2, CD28 TNIP1, HLA-DRB1, CDH18, NOTCH4, PCDH15, PTPRM SFTPD, FCGR2B, IL2, IL21, TRAF6, DLG2, RASGRP1 HLA-DRA, PTPRC, CD200R1, KIF26B, DPP4, ICAM3 PTPN11, EMCN | 86 |
| ACPA-associated DMRs | HLA-DRB1, MDGA1, C1QTNF1, AP3D1, CLSTN1, CNTN4 CELSR3, ALOX12, SCRIB, CRB2, PKP3, MAG, PLPP3, KIF26B PDGFRA, MAD1L1, SDK1, CDHR3, DSCAML1, UBASH3B JAM3, SDK2, MBP, PCDHA8, PCDHB8, PCDHB16, PCDHB10 PCDHB13, PCDHB15, PCDHGB3, PCDHGA12, PCDHA13 PCDHA2, PCDHA7, PCDHB3, PCDHB4, PCDHB5, PCDHB6 PCDHB7, PCDHB11, PCDHB12, PCDHGA1, PCDHGA5 PCDHA1, PCDHA3, PCDHA4, PCDHA5, PCDHA6, PCDHA9 PCDHA10, PCDHA11, PCDHA12, PCDHGA2, PCDHGA3 PCDHGB1, PCDHGA4, PCDHGA7, PCDHGB4, PCDHGA8 PCDHGB5, PCDHGA6, PCDHGA9, PCDHGB6, PCDHGA10 PCDHGB2, PCDHGB7, PCDHGA11 | 55 |
| RA-associated DMRs | CD160, FGL1, RDX, PIEZO1, AP3D1, MEGF10, SCRIB, ITGA8 PKP3, LRRC32, MAG, CELSR1, PRKCZ, GLI2, NCK1, PDGFRA MAD1L1, SDK1, CDHR3, UBASH3B, GPC6, NTN1, MBP, PAK4 CDH4, RIPOR2, PCDHA3, PCDHB3, PCDHB8, PCDHB16 PCDHGA3, PCDHGB1, PCDHGB2, PCDHGB3, PCDHGA8 PCDHGB4, PCDHA2, PCDHA12, PCDHB7, PCDHB10, PCDHB11 PCDHB13, PCDHB14, PCDHGA1, PCDHGA2, PCDHGA4 PCDHGA6, PCDHGA7, PCDHA1, PCDHA4, PCDHA5, PCDHA6 PCDHA7, PCDHA8, PCDHA9, PCDHA10, PCDHA11, PCDHGA5 | 49 |
Publisher’s Note: MDPI stays neutral with regard to jurisdictional claims in published maps and institutional affiliations. |
© 2021 by the authors. Licensee MDPI, Basel, Switzerland. This article is an open access article distributed under the terms and conditions of the Creative Commons Attribution (CC BY) license (https://creativecommons.org/licenses/by/4.0/).
Share and Cite
Zeng, Y.; Zhao, K.; Oros Klein, K.; Shao, X.; Fritzler, M.J.; Hudson, M.; Colmegna, I.; Pastinen, T.; Bernatsky, S.; Greenwood, C.M.T. Thousands of CpGs Show DNA Methylation Differences in ACPA-Positive Individuals. Genes 2021, 12, 1349. https://doi.org/10.3390/genes12091349
Zeng Y, Zhao K, Oros Klein K, Shao X, Fritzler MJ, Hudson M, Colmegna I, Pastinen T, Bernatsky S, Greenwood CMT. Thousands of CpGs Show DNA Methylation Differences in ACPA-Positive Individuals. Genes. 2021; 12(9):1349. https://doi.org/10.3390/genes12091349
Chicago/Turabian StyleZeng, Yixiao, Kaiqiong Zhao, Kathleen Oros Klein, Xiaojian Shao, Marvin J. Fritzler, Marie Hudson, Inés Colmegna, Tomi Pastinen, Sasha Bernatsky, and Celia M. T. Greenwood. 2021. "Thousands of CpGs Show DNA Methylation Differences in ACPA-Positive Individuals" Genes 12, no. 9: 1349. https://doi.org/10.3390/genes12091349
APA StyleZeng, Y., Zhao, K., Oros Klein, K., Shao, X., Fritzler, M. J., Hudson, M., Colmegna, I., Pastinen, T., Bernatsky, S., & Greenwood, C. M. T. (2021). Thousands of CpGs Show DNA Methylation Differences in ACPA-Positive Individuals. Genes, 12(9), 1349. https://doi.org/10.3390/genes12091349

