Hypomethylation of AHRR (cg05575921) Is Related to Smoking Status in the Mexican Mestizo Population
Abstract
:1. Introduction
2. Materials and Methods
2.1. Study Population
2.2. Evaluation and Adjustment of the Concentration of Genomic DNA
2.3. Designing Primers against the Region Interest
2.4. Locus-Specific DNA Methylation
2.5. Data Analysis
3. Results
3.1. Subjects Included in the Study
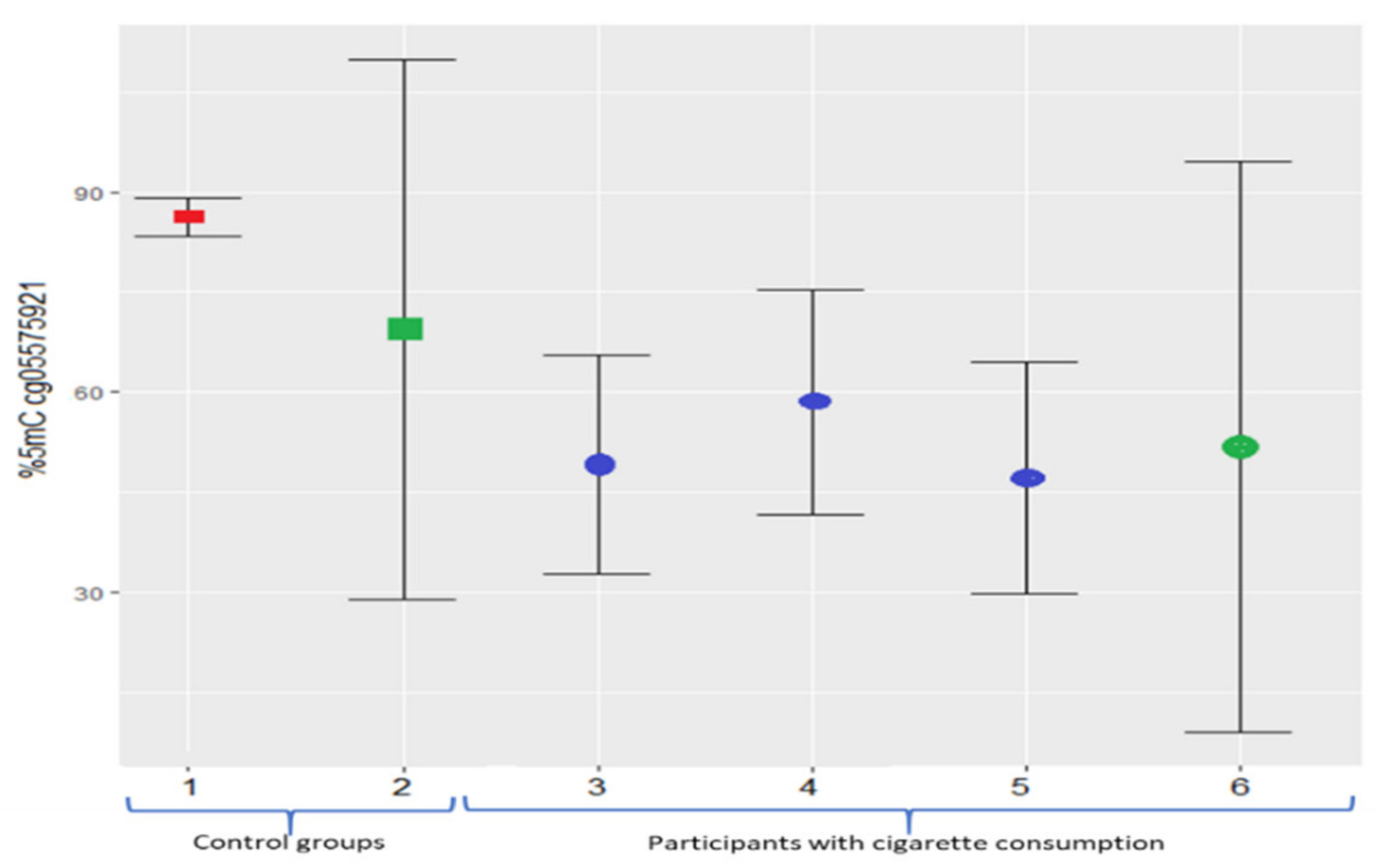
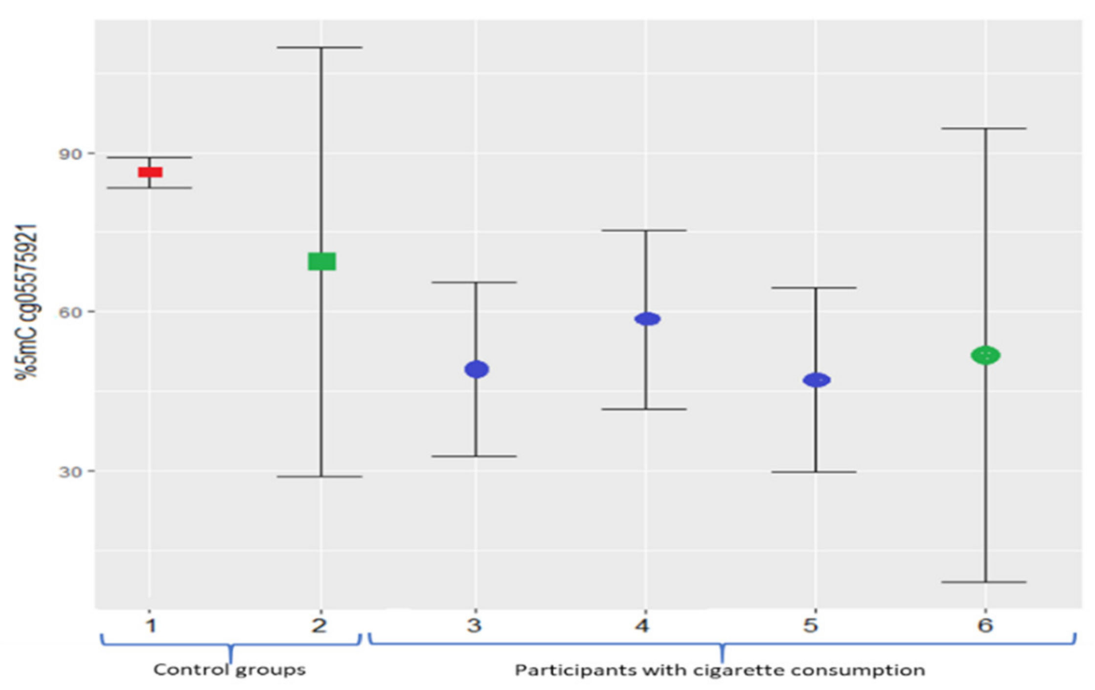
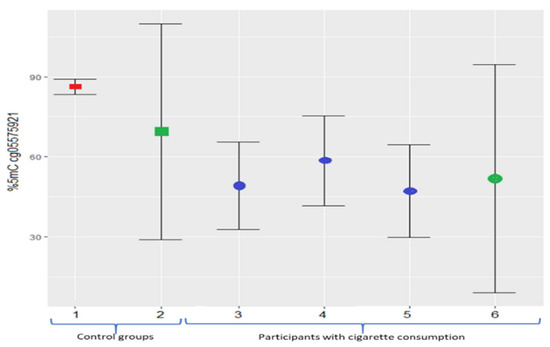
3.2. DNA Methylation Analysis
3.3. Correlation Analysis in Tobacco Smokers’ Group
4. Discussion
5. Conclusions
Supplementary Materials
Author Contributions
Funding
Institutional Review Board Statement
Informed Consent Statement
Data Availability Statement
Acknowledgments
Conflicts of Interest
References
- World Health Organization. Tobacco. Available online: https://www.who.int/news-room/fact-sheets/detail/tobacco (accessed on 14 May 2021).
- Shamah-Levy, T.; Vielma-Orozco, E.; Heredia-Hernández, O.; Romero-Martínez, M.; Mojica-Cuevas, J.; Cuevas-Nasu, L.; Santaella-Castell, J.; Rivera-Dommarco, J. Encuesta Nacional de Salud y Nutrición 2018-19. Resultados Nacionales; Instituto Nacional de Salud Pública: Cuernavaca, Mexico, 2020; ISBN 978-607-511-205-3. [Google Scholar]
- Ajab, H.; Yaqub, A.; Malik, S.A.; Junaid, M.; Yasmeen, S.; Abdullah, M.A. Characterization of toxic metals in tobacco, tobacco smoke, and cigarette ash from selected imported and local brands in Pakistan. Sci. World J. 2014, 2014, 1–5. [Google Scholar] [CrossRef] [PubMed]
- Wang, H.; Li, X.; Guo, J.; Peng, B.; Cui, H.; Liu, K.; Wang, S.; Qin, Y.; Sun, P.; Zhao, L.; et al. Distribution of toxic chemicals in particles of various sizes from mainstream cigarette smoke. Inhal. Toxicol. 2016, 28, 89–94. [Google Scholar] [CrossRef]
- Schnoll, R.A.; Johnson, T.A.; Lerman, C. Genetics and smoking behavior. Curr. Psychiatry Rep. 2007, 9, 349–357. [Google Scholar] [CrossRef]
- Pérez-Rubio, G.; Pérez-Rodríguez, M.E.; Fernández-López, J.C.; Ramírez-Venegas, A.; García-Colunga, J.; Ávila-Moreno, F.; Camarena, A.; Sansores, R.H.; Falfán-Valencia, R. SNPs in NRXN1 and CHRNA5 are associated to smoking and regulation of GABAergic and glutamatergic pathways. Pharmacogenomics 2016, 17, 1145–1158. [Google Scholar] [CrossRef] [PubMed] [Green Version]
- Pérez-Rubio, G.; López-Flores, L.A.; García-Carmona, S.; García-Gómez, L.; Noé-Díaz, V.; Ambrocio-Ortiz, E.; Nava-Quiroz, K.J.; Morales-González, F.; Del Angel-Pablo, A.D.; Ramírez-Venegas, A.; et al. Genetic variants as risk factors for cigarette smoking at an early age and relapse to smoking cessation treatment: A pilot study. Gene 2019, 694, 93–96. [Google Scholar] [CrossRef]
- Pérez-Rubio, G.; López-Flores, L.A.; Ramírez-Venegas, A.; Noé-Díaz, V.; García-Gómez, L.; Ambrocio-Ortiz, E.; Sánchez-Romero, C.; Hernández-Zenteno, R.D.J.; Sansores, R.H.; Falfán-Valencia, R. Genetic polymorphisms in CYP2A6 are associated with a risk of cigarette smoking and predispose to smoking at younger ages. Gene 2017, 628, 205–210. [Google Scholar] [CrossRef] [PubMed]
- Bell, J.T.; Tsai, P.C.; Yang, T.P.; Pidsley, R.; Nisbet, J.; Glass, D.; Mangino, M.; Zhai, G.; Zhang, F.; Valdes, A.; et al. Epigenome-wide scans identify differentially methylated regions for age and age-related phenotypes in a healthy ageing population. PLoS Genet. 2012, 8, e1002629. [Google Scholar] [CrossRef] [PubMed] [Green Version]
- Tsai, P.C.; Spector, T.D.; Bell, J.T. Using epigenome-wide association scans of DNA methylation in age-related complex human traits. Epigenomics 2012, 4, 511–526. [Google Scholar] [CrossRef] [Green Version]
- Al-Obaide, M.A.I.; Ibrahim, B.A.; Al-Humaish, S.; Abdel-Salam, A.S.G. Genomic and Bioinformatics Approaches for Analysis of Genes Associated With Cancer Risks Following Exposure to Tobacco Smoking. Front. Public Health 2018, 6, 84. [Google Scholar] [CrossRef] [Green Version]
- Berrandou, T.; Mulot, C.; Cordina-Duverger, E.; Arveux, P.; Laurent-Puig, P.; Truong, T.; Guénel, P. Association of breast cancer risk with polymorphisms in genes involved in the metabolism of xenobiotics and interaction with tobacco smoking: A gene-set analysis. Int. J. Cancer 2019, 144, 1896–1908. [Google Scholar] [CrossRef]
- Gao, X.; Jia, M.; Zhang, Y.; Breitling, L.P.; Brenner, H. DNA methylation changes of whole blood cells in response to active smoking exposure in adults: A systematic review of DNA methylation studies. Clin. Epigenet. 2015, 7, 113. [Google Scholar] [CrossRef] [PubMed] [Green Version]
- Zeilinger, S.; Kühnel, B.; Klopp, N.; Baurecht, H.; Kleinschmidt, A.; Gieger, C.; Weidinger, S.; Lattka, E.; Adamski, J.; Peters, A.; et al. Tobacco Smoking Leads to Extensive Genome-Wide Changes in DNA Methylation. PLoS ONE 2013, 8, e63812. [Google Scholar] [CrossRef]
- Park, S.L.; Patel, Y.M.; Loo, L.W.M.; Mullen, D.J.; Offringa, I.A.; Maunakea, A.; Stram, D.O.; Siegmund, K.; Murphy, S.E.; Tiirikainen, M.; et al. Association of internal smoking dose with blood DNA methylation in three racial/ethnic populations. Clin. Epigenet. 2018, 10, 110. [Google Scholar] [CrossRef]
- Dugué, P.A.; Jung, C.H.; Joo, J.E.; Wang, X.; Wong, E.M.; Makalic, E.; Schmidt, D.F.; Baglietto, L.; Severi, G.; Southey, M.C.; et al. Smoking and blood DNA methylation: An epigenome-wide association study and assessment of reversibility. Epigenetics 2020, 15, 358–368. [Google Scholar] [CrossRef] [PubMed] [Green Version]
- Tsaprouni, L.G.; Yang, T.-P.P.; Bell, J.; Dick, K.J.; Kanoni, S.; Nisbet, J.; Viñuela, A.; Grundberg, E.; Nelson, C.P.; Meduri, E.; et al. Cigarette smoking reduces DNA methylation levels at multiple genomic loci but the effect is partially reversible upon cessation. Epigenetics 2014, 9, 1382–1396. [Google Scholar] [CrossRef] [Green Version]
- Qin, S.; Li, B.; Li, R.; Cai, Y.; Zheng, K.; Huang, H.; Xiao, F.; Zeng, M.; Xu, X. Proteomic characteristics and identification of PM2.5-induced differentially expressed proteins in hepatocytes and c-Myc silenced hepatocytes. Ecotoxicol. Environ. Saf. 2021, 209, 111838. [Google Scholar] [CrossRef] [PubMed]
- Pérez-Padilla, J.; Regalado-Pineda, J.; Vázquez-García, J. Reproducibilidad de espirometrías en trabajadores mexicanos y valores de referencia internacionales [Reproducibility of spirometry in Mexican workers and international reference values]. Salud Publica Mex. 2001, 43, 113–121. [Google Scholar] [CrossRef] [Green Version]
- De Vries, M.; Van Der Plaat, D.A.; Nedeljkovic, I.; Verkaik-Schakel, R.N.; Kooistra, W.; Amin, N.; Van Duijn, C.M.; Brandsma, C.A.; Van Diemen, C.C.; Vonk, J.M.; et al. From blood to lung tissue: Effect of cigarette smoke on DNA methylation and lung function. Respir. Res. 2018, 19, 212. [Google Scholar] [CrossRef] [PubMed] [Green Version]
- Wan, M.; Bennett, B.D.; Pittman, G.S.; Campbell, M.R.; Reynolds, L.M.; Porter, D.K.; Crowl, C.L.; Wang, X.; Su, D.; Englert, N.A.; et al. Identification of smoking-associated differentially methylated regions using reduced representation bisulfite sequencing and cell type-specific enhancer activation and gene expression. Environ. Health Perspect. 2018, 126, 047015. [Google Scholar] [CrossRef] [Green Version]
- Jordahl, K.M.; Phipps, A.I.; Randolph, T.W.; Tindle, H.A.; Liu, S.; Tinker, L.F.; Kelsey, K.T.; White, E.; Bhatti, P. Differential DNA methylation in blood as a mediator of the association between cigarette smoking and bladder cancer risk among postmenopausal women. Epigenetics 2019, 14, 1065–1073. [Google Scholar] [CrossRef]
- Zhang, Y.; Elgizouli, M.; Schöttker, B.; Holleczek, B.; Nieters, A.; Brenner, H. Smoking-associated DNA methylation markers predict lung cancer incidence. Clin. Epigenet. 2016, 8, 127. [Google Scholar] [CrossRef] [PubMed] [Green Version]
- Neophytou, A.M.; Oh, S.S.; Hu, D.; Huntsman, S.; Eng, C.; Rodríguez-Santana, J.R.; Kumar, R.; Balmes, J.R.; Eisen, E.A.; Burchard, E.G. In utero tobacco smoke exposure, DNA methylation, and asthma in Latino children. Environ. Epidemiol. 2019, 3, e048. [Google Scholar] [CrossRef] [Green Version]
- Bojesen, S.E.; Timpson, N.; Relton, C.; Davey Smith, G.; Nordestgaard, B.G. AHRR (cg05575921) hypomethylation marks smoking behaviour, morbidity and mortality. Thorax 2017, 72, 646–653. [Google Scholar] [CrossRef] [PubMed] [Green Version]
- Terzikhan, N.; Xu, H.; Edris, A.; Bracke, K.R.; Verhamme, F.M.; Stricker, B.H.C.; Dupuis, J.; Lahousse, L.; O’Connor, G.T.; Brusselle, G.G. Epigenome-wide association study on diffusing capacity of the lung. ERJ Open Res. 2021, 7, 00567–02020. [Google Scholar] [CrossRef] [PubMed]
- Battram, T.; Richmond, R.C.; Baglietto, L.; Haycock, P.C.; Perduca, V.; Bojesen, S.E.; Gaunt, T.R.; Hemani, G.; Guida, F.; Carreras-Torres, R.; et al. Appraising the causal relevance of DNA methylation for risk of lung cancer. Int. J. Epidemiol. 2019, 48, 1493–1504. [Google Scholar] [CrossRef] [PubMed] [Green Version]
- Kircanski, K.; White, L.K.; Tseng, W.-L.; Wiggins, J.L.; Frank, H.R.; Sequeira, S.; Zhang, S.; Abend, R.; Towbin, K.E.; Stringaris, A.; et al. A Latent Variable Approach to Differentiating Neural Mechanisms of Irritability and Anxiety in Youth. JAMA Psychiatry 2018, 75, 631–639. [Google Scholar] [CrossRef] [PubMed]
- Fasanelli, F.; Baglietto, L.; Ponzi, E.; Guida, F.; Campanella, G.; Johansson, M.; Grankvist, K.; Johansson, M.; Assumma, M.B.; Naccarati, A.; et al. Hypomethylation of smoking-related genes is associated with future lung cancer in four prospective cohorts. Nat. Commun. 2015, 6, 10192. [Google Scholar] [CrossRef] [PubMed]
- Tantoh, D.M.; Wu, M.-C.; Chuang, C.-C.; Chen, P.-H.; Tyan, Y.S.; Nfor, O.N.; Lu, W.-Y.; Liaw, Y.-P. AHRR cg05575921 methylation in relation to smoking and PM2.5 exposure among Taiwanese men and women. Clin. Epigenet. 2020, 12, 117. [Google Scholar] [CrossRef]
- Tantoh, D.M.; Lee, K.-J.; Nfor, O.N.; Liaw, Y.-C.; Lin, C.; Chu, H.-W.; Chen, P.-H.; Hsu, S.-Y.; Liu, W.-H.; Ho, C.-C.; et al. Methylation at cg05575921 of a smoking-related gene (AHRR) in non-smoking Taiwanese adults residing in areas with different PM2.5 concentrations. Clin. Epigenet. 2019, 11, 69. [Google Scholar] [CrossRef]
- Philibert, R.; Dogan, M.; Beach, S.R.H.; Mills, J.A.; Long, J.D. AHRR methylation predicts smoking status and smoking intensity in both saliva and blood DNA. Am. J. Med. Genet. Part. B Neuropsychiatr. Genet. 2020, 183, 51–60. [Google Scholar] [CrossRef]
- Elliott, H.R.; Tillin, T.; McArdle, W.L.; Ho, K.; Duggirala, A.; Frayling, T.M.; Smith, G.D.; Hughes, A.D.; Chaturvedi, N.; Relton, C.L. Differences in smoking associated DNA methylation patterns in South Asians and Europeans. Clin. Epigenet. 2014, 6, 1–10. [Google Scholar] [CrossRef] [Green Version]
- Little, J.; Higgins, J.P.T.; Ioannidis, J.P.A.; Moher, D.; Gagnon, F.; von Elm, E.; Khoury, M.J.; Cohen, B.; Davey-Smith, G.; Grimshaw, J.; et al. Strengthening the reporting of genetic association studies (STREGA): An extension of the STROBE Statement. Hum. Genet. 2009, 125, 131–151. [Google Scholar] [CrossRef] [Green Version]
- Howe, K.L.; Achuthan, P.; Allen, J.; Allen, J.; Alvarez-Jarreta, J.; Ridwan Amode, M.; Armean, I.M.; Azov, A.G.; Bennett, R.; Bhai, J.; et al. Ensembl 2021. Nucleic Acids Res. 2021, 49, D884–D891. [Google Scholar] [CrossRef]
- Komaki, S.; Shiwa, Y.; Furukawa, R.; Hachiya, T.; Ohmomo, H.; Otomo, R.; Satoh, M.; Hitomi, J.; Sobue, K.; Sasaki, M.; et al. iMETHYL: An integrative database of human DNA methylation, gene expression, and genomic variation. Hum. Genome Var. 2018, 5, 1–4. [Google Scholar] [CrossRef] [Green Version]
- Affinito, O.; Palumbo, D.; Fierro, A.; Cuomo, M.; De Riso, G.; Monticelli, A.; Miele, G.; Chiariotti, L.; Cocozza, S. Nucleotide distance influences co-methylation between nearby CpG sites. Genomics 2020, 112, 144–150. [Google Scholar] [CrossRef] [PubMed]
- Kent, J. UCSC In-Silico PCR. Available online: https://genome.ucsc.edu/cgi-bin/hgPcr (accessed on 18 May 2021).
- R Studio Team. R Studio: Integrated Development Environment for R; R Studio, PBC: Boston, MA, USA, 2020; Available online: http://www.rstudio.com/ (accessed on 18 May 2021).
- Wickham, H.; Averick, M.; Bryan, J.; Chang, W.; McGowan, L.; François, R.; Grolemund, G.; Hayes, A.; Henry, L.; Hester, J.; et al. Welcome to the Tidyverse. J. Open Source Softw. 2019, 4, 1686. [Google Scholar] [CrossRef]
- Kassambara, A. “ggplot2” Based Publication Ready Plots [R Package ggpubr Version 0.4.0]; Free Software Foundation, Inc.: Boston, MA, USA, 2020. [Google Scholar]
- Kassambara, A. Pipe-Friendly Framework for Basic Statistical Tests [R Package Rstatix Version 0.7.0]; Free Software Foundation, Inc.: Boston, MA, USA, 2021. [Google Scholar]
- Gross, J. Tests for Normality [R Package Nortest Version 1.0-4]; Free Software Foundation, Inc.: Boston, MA, USA, 2015. [Google Scholar]
- Dean, A.G.; Arner, T.G.; Sunki, G.G.; Friedman, R.; Lantinga, M.; Sangam, S. Epi InfoTM, a Database and Statistics Program for Public Health Professionals; CDC: Atlanta, GA, USA, 2011.
- Wickham, H. ggplot2: Elegant Graphics for Data Analysis; Springer: New York, NY, USA, 2016; Available online: https://ggplot2.tidyverse.org/ (accessed on 13 August 2020).
- CRAN–Package Hmisc. Available online: https://cran.r-project.org/web/packages/Hmisc/ (accessed on 16 June 2021).
- CRAN–Package Corrplot. Available online: https://cran.r-project.org/web/packages/corrplot/index.html (accessed on 16 June 2021).
- Faul, F.; Erdfelder, E.; Buchner, A.; Lang, A.-G. Statistical power analyses using G*Power 3.1: Tests for correlation and regression analyses. Behav. Res. Methods 2009, 41, 1149–1160. [Google Scholar] [CrossRef] [Green Version]
- Ruijter, J.M.; Lefever, S.; Anckaert, J.; Hellemans, J.; Pfaffl, M.W.; Benes, V.; Bustin, S.A.; Vandesompele, J.; Untergasser, A. RDML-Ninja and RDMLdb for standardized exchange of qPCR data. BMC Bioinform. 2015, 16, 1–7. [Google Scholar] [CrossRef] [PubMed] [Green Version]
- Ruijter, J.M.; Ramakers, C.; Hoogaars, W.M.H.; Karlen, Y.; Bakker, O.; van den hoff, M.J.B.; Moorman, A.F.M. Amplification efficiency: Linking baseline and bias in the analysis of quantitative PCR data. Nucleic Acids Res. 2009, 37, e45. [Google Scholar] [CrossRef] [Green Version]
- Instituto Nacional de Psiquiatría Ramón de la Fuente Muñiz; Instituto Nacional de Salud Pública, Comisión Nacional Contra las Adicciones, Secretaría de Salud. Encuesta Nacional de Consumo de Drogas, Alcohol y Tabaco 2016-2017: Reporte de Tabaco, 1st ed.; Reynales-Shigematsu, L.M., Zavala-Arciniega, L., Paz-Ballesteros, W.C., Gutiérrez-Torres, D.S., García-Buendía, J.C., Rodriguez-Andrade, M.A., Gutiérrez-Reyes, J., Franco-Núñez, A., Romero-Martínez, M., Mendoza-Alvarado, L., Eds.; INPRFM: Ciudad de México, Mexico, 2017. [Google Scholar]
- Andersen, A.M.; Philibert, R.A.; Gibbons, F.X.; Simons, R.L.; Long, J. Accuracy and utility of an epigenetic biomarker for smoking in populations with varying rates of false self-report. Am. J. Med. Genet. B. Neuropsychiatr. Genet. 2017, 174, 641–650. [Google Scholar] [CrossRef] [PubMed]
- Koos, B.; Moderegger, E.L.; Rump, K.; Nowak, H.; Willemsen, K.; Holtkamp, C.; Thon, P.; Adamzik, M.; Rahmel, T. LPS-Induced Endotoxemia Evokes Epigenetic Alterations in Mitochondrial DNA That Impacts Inflammatory Response. Cells 2020, 9, 2282. [Google Scholar] [CrossRef]
- Philibert, R.; Hollenbeck, N.; Andersen, E.; Osborn, T.; Gerrard, M.; Gibbons, F.X.; Wang, K. A quantitative epigenetic approach for the assessment of cigarette consumption. Front. Psychol. 2015, 6, 656. [Google Scholar] [CrossRef] [PubMed] [Green Version]
- Dawes, K.; Andersen, A.; Vercande, K.; Papworth, E.; Philibert, W.; Beach, S.R.H.H.; Gibbons, F.X.; Gerrard, M.; Philibert, R. Saliva DNA Methylation Detects Nascent Smoking in Adolescents. J. Child. Adolesc. Psychopharmacol. 2019, 29, 535–544. [Google Scholar] [CrossRef]
- Philibert, R.; Hollenbeck, N.; Andersen, E.; McElroy, S.; Wilson, S.; Vercande, K.; Beach, S.R.H.; Osborn, T.; Gerrard, M.; Gibbons, F.X.; et al. Reversion of AHRR Demethylation Is a Quantitative Biomarker of Smoking Cessation. Front. Psychiatry 2016, 7, 55. [Google Scholar] [CrossRef] [PubMed] [Green Version]
- Gorber, S.C.; Schofield-Hurwitz, S.; Hardt, J.; Levasseur, G.; Tremblay, M. The accuracy of self-reported smoking: A systematic review of the relationship between self-reported and cotinine-assessed smoking status. Nicotine Tob. Res. 2009, 11, 12–24. [Google Scholar] [CrossRef]
- Philibert, R.A.; Beach, S.R.H.; Brody, G.H. Demethylation of the aryl hydrocarbon receptor repressor as a biomarker for nascent smokers. Epigenetics 2012, 7, 1331–1338. [Google Scholar] [CrossRef] [Green Version]
- Morrow, J.D.; Make, B.; Regan, E.; Han, M.; Hersh, C.P.; Tal-Singer, R.; Quackenbush, J.; Choi, A.M.K.; Silverman, E.K.; DeMeo, D.L. DNA Methylation Is Predictive of Mortality in Current and Former Smokers. Am. J. Respir. Crit. Care Med. 2020, 201, 1099–1109. [Google Scholar] [CrossRef] [PubMed]
- Mills, J.; Beach, S.; Dogan, M.; Simons, R.; Gibbons, F.; Long, J.; Philibert, R. A Direct Comparison of the Relationship of Epigenetic Aging and Epigenetic Substance Consumption Markers to Mortality in the Framingham Heart Study. Genes 2019, 10, 51. [Google Scholar] [CrossRef] [Green Version]
- Lei, M.-K.; Gibbons, F.X.; Simons, R.L.; Philibert, R.A.; Beach, S.R.H. The Effect of Tobacco Smoking Differs across Indices of DNA Methylation-Based Aging in an African American Sample: DNA Methylation-Based Indices of Smoking Capture These Effects. Genes 2020, 11, 311. [Google Scholar] [CrossRef] [Green Version]
- Dawes, K.; Andersen, A.; Papworth, E.; Hundley, B.; Hutchens, N.; El Manawy, H.; Becker, A.; Sampson, L.; Philibert, W.; Gibbons, F.X.; et al. Refinement of cg05575921 demethylation response in nascent smoking. Clin. Epigenet. 2020, 12, 92. [Google Scholar] [CrossRef]
- Kodal, J.B.; Kobylecki, C.J.; Vedel-Krogh, S.; Nordestgaard, B.G.; Bojesen, S.E. AHRR hypomethylation, lung function, lung function decline and respiratory symptoms. Eur. Respir. J. 2018, 51, 1701512. [Google Scholar] [CrossRef] [PubMed] [Green Version]
- Joehanes, R.; Just, A.C.; Marioni, R.E.; Pilling, L.C.; Reynolds, L.M.; Mandaviya, P.R.; Guan, W.; Xu, T.; Elks, C.E.; Aslibekyan, S.; et al. Epigenetic Signatures of Cigarette Smoking. Circ. Cardiovasc. Genet. 2016, 9, 436–447. [Google Scholar] [CrossRef] [PubMed] [Green Version]
- Jamieson, E.; Korologou-Linden, R.; Wootton, R.E.; Guyatt, A.L.; Battram, T.; Burrows, K.; Gaunt, T.R.; Tobin, M.D.; Munafò, M.; Davey Smith, G.; et al. Smoking, DNA Methylation, and Lung Function: A Mendelian Randomization Analysis to Investigate Causal Pathways. Am. J. Hum. Genet. 2020, 106, 315–326. [Google Scholar] [CrossRef] [PubMed] [Green Version]
- Roser, M. Smoking: How Large of a Global Problem Is It? And How Can We Make Progress against It? Available online: https://ourworldindata.org/smoking-big-problem-in-brief (accessed on 6 August 2021).





| Variable | Tobacco Smokers (n = 102) | Non-Smokers (n = 114) | p |
|---|---|---|---|
| Age (years) | 47 (39−56) | 50 (34−58) | 0.4200 |
| Sex (male %) | 44.1 | 20.1 | 0.0002 * |
| BMI (kg/m2) | 26.1 (23.9−28.9) | 28.09 (24.6−32.0) | 0.0030 |
| Lung function pre-bronchodilator | |||
| FVC (%) | 96.8 (88−106) | 91.0 (85−99) | 0.0100 |
| FEV1(%) | 97 (87−105) | 96 (86−105) | 0.6000 |
| FEV1/FVC (%) | 81.2 (77−85) | 85.0 (81−92) | 1.5 × 10−7 |
| Variable | Heavy Smokers (n = 53) | Light Smokers (n = 49) | p |
|---|---|---|---|
| Age (years) | 50 (42−56) | 43 (32−56) | 0.0300 |
| Sex (male %) | 58.4 | 28.5 | 0.0040 * |
| BMI (kg/m2) | 26.7 (24.5−28.9) | 25.8 (23.2−28.9) | 0.3100 |
| FTND | 6 (5−8) | 1 (0−3) | 1.1 × 10–10 |
| Tobacco index (packs/year) | 34 (26−45) | 5 (1−10) | 2.2 × 10–16 |
| Lung function pre-bronchodilator | |||
| FVC (%) | 96 (89−104) | 96 (88−107) | 0.9800 |
| FEV1 (%) | 97 (87−105) | 98 (89−97) | 0.9800 |
| FEV1/FVC (%) | 80.2 (76−85) | 82.0 (79−85) | 0.2300 |
Publisher’s Note: MDPI stays neutral with regard to jurisdictional claims in published maps and institutional affiliations. |
© 2021 by the authors. Licensee MDPI, Basel, Switzerland. This article is an open access article distributed under the terms and conditions of the Creative Commons Attribution (CC BY) license (https://creativecommons.org/licenses/by/4.0/).
Share and Cite
Bravo-Gutiérrez, O.A.; Falfán-Valencia, R.; Ramírez-Venegas, A.; Sansores, R.H.; Hernández-Zenteno, R.d.J.; Hernández-Pérez, A.; García-Gómez, L.; Osio-Echánove, J.; Abarca-Rojano, E.; Pérez-Rubio, G. Hypomethylation of AHRR (cg05575921) Is Related to Smoking Status in the Mexican Mestizo Population. Genes 2021, 12, 1276. https://doi.org/10.3390/genes12081276
Bravo-Gutiérrez OA, Falfán-Valencia R, Ramírez-Venegas A, Sansores RH, Hernández-Zenteno RdJ, Hernández-Pérez A, García-Gómez L, Osio-Echánove J, Abarca-Rojano E, Pérez-Rubio G. Hypomethylation of AHRR (cg05575921) Is Related to Smoking Status in the Mexican Mestizo Population. Genes. 2021; 12(8):1276. https://doi.org/10.3390/genes12081276
Chicago/Turabian StyleBravo-Gutiérrez, Omar Andrés, Ramcés Falfán-Valencia, Alejandra Ramírez-Venegas, Raúl H. Sansores, Rafael de Jesús Hernández-Zenteno, Andrea Hernández-Pérez, Leonor García-Gómez, Jennifer Osio-Echánove, Edgar Abarca-Rojano, and Gloria Pérez-Rubio. 2021. "Hypomethylation of AHRR (cg05575921) Is Related to Smoking Status in the Mexican Mestizo Population" Genes 12, no. 8: 1276. https://doi.org/10.3390/genes12081276
APA StyleBravo-Gutiérrez, O. A., Falfán-Valencia, R., Ramírez-Venegas, A., Sansores, R. H., Hernández-Zenteno, R. d. J., Hernández-Pérez, A., García-Gómez, L., Osio-Echánove, J., Abarca-Rojano, E., & Pérez-Rubio, G. (2021). Hypomethylation of AHRR (cg05575921) Is Related to Smoking Status in the Mexican Mestizo Population. Genes, 12(8), 1276. https://doi.org/10.3390/genes12081276

