Identification of Possible Risk Variants of Familial Strabismus Using Exome Sequencing Analysis
Abstract
1. Introduction
2. Methods
2.1. Sample Collection and Diagnostic Procedures
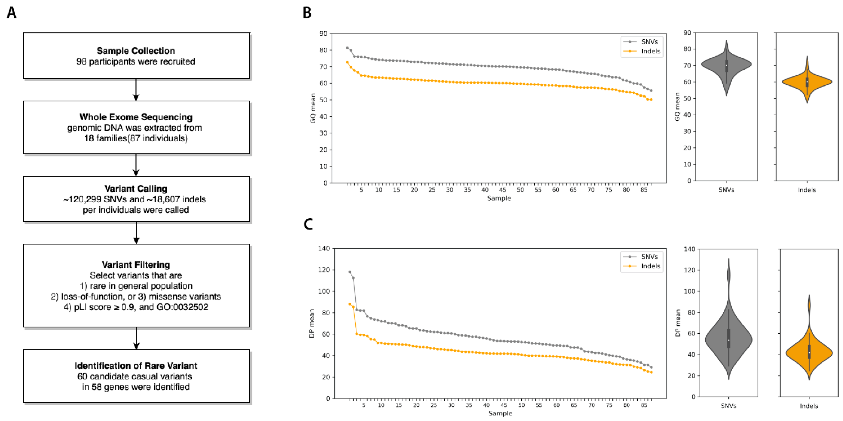
2.2. Whole Exome Sequencing
2.3. Variant Annotation
3. Results
3.1. Identification of Risk Genes from WES Data of Strabismus Families
3.2. Credible Risk Variants Associated with Familial Strabismus
3.3. Genetic Variants with Partial or Weak Evidence for Familial Strabismus
4. Discussion
5. Conclusions
Supplementary Materials
Author Contributions
Funding
Institutional Review Board Statement
Informed Consent Statement
Conflicts of Interest
References
- Govindan, M.; Mohney, B.G.; Diehl, N.N.; Burke, J.P. Incidence and types of childhood exotropia: A population-based study. Ophthalmology 2005, 112, 104–108. [Google Scholar] [CrossRef] [PubMed]
- Tollefson, M.M.; Mohney, B.G.; Diehl, N.N.; Burke, J.P. Incidence and Types of Childhood Hypertropia. A Population-Based Study. Ophthalmology 2006, 113, 1142–1145. [Google Scholar] [CrossRef] [PubMed]
- Greenberg, A.E.; Mohney, B.G.; Diehl, N.N.; Burke, J.P. Incidence and Types of Childhood Esotropia. A Population-Based Study. Ophthalmology 2007, 114, 170–174. [Google Scholar] [CrossRef] [PubMed]
- Martinez-Thompson, J.M.; Diehl, N.N.; Holmes, J.M.; Mohney, B.G. Incidence, types, and lifetime risk of adult-onset strabismus. Ophthalmology 2014, 121, 877–882. [Google Scholar] [CrossRef]
- Paul, T.O.; Hardage, L.K. The heritability of strabismus. Ophthalmic Genet. 1994, 15, 1–18. [Google Scholar] [CrossRef]
- Ye, X.C.; Pegado, V.; Patel, M.S.; Wasserman, W.W. Strabismus genetics across a spectrum of eye misalignment disorders. Clin. Genet. 2014, 86, 103–111. [Google Scholar] [CrossRef]
- Matsuo, T.; Hayashi, M.; Fujiwara, H.; Yamane, T.; Ohtsuki, H. Concordance of strabismic phenotypes in monozygotic versus multizygotic twins and other multiple births. Jpn. J. Ophthalmol. 2002, 46, 59–64. [Google Scholar] [CrossRef]
- Maconachie, G.D.E.; Gottlob, I.; McLean, R.J. Risk factors and genetics in common comitant strabismus: A systematic review of the literature. JAMA Ophthalmol. 2013, 131, 1179–1186. [Google Scholar] [CrossRef]
- Chen, D.; Li, R.; Li, X.; Huang, D.; Wang, Y.; Zhao, X.; Zhang, X.; Sun, Q.; Hao, Q.; Tong, H.; et al. Prevalence, incidence and risk factors of strabismus in a Chinese population-based cohort of preschool children: The Nanjing Eye Study. Br. J. Ophthalmol. 2020. [Google Scholar] [CrossRef]
- Podgor, M.J.; Remaley, N.A.; Chew, E. Associations between siblings for esotropia and exotropia. Arch. Ophthalmol. 1996, 114, 739–744. [Google Scholar] [CrossRef]
- Parikh, V.; Shugart, Y.Y.; Doheny, K.F.; Zhang, J.; Li, L.; Williams, J.; Hayden, D.; Craig, B.; Capo, H.; Chamblee, D.; et al. A strabismus susceptibility locus on chromosome 7p. Proc. Natl. Acad. Sci. USA 2003, 100, 12283–12288. [Google Scholar] [CrossRef] [PubMed]
- Fujiwara, H.; Matsuo, T.; Sato, M.; Yamane, T.; Kitada, M.; Hasebe, S.; Ohtsuki, H. Genome-Wide Search for Strabismus Susceptibility Loci. Acta Med. Okayama 2003. [Google Scholar] [CrossRef]
- Shaaban, S.; Matsuo, T.; Fujiwara, H.; Itoshima, E.; Furuse, T.; Hasebe, S.; Zhang, Q.; Ott, J.; Ohtsuki, H. Chromosomes 4q28.3 and 7q31.2 as new susceptibility loci for comitant strabismus. Investig. Ophthalmol. Vis. Sci. 2009, 50, 654–661. [Google Scholar] [CrossRef] [PubMed]
- Plotnikov, D.; Shah, R.L.; Rodrigues, J.N.; Cumberland, P.M.; Rahi, J.S.; Hysi, P.G.; Atan, D.; Williams, C.; Guggenheim, J.A.; UK Biobank Eye and Vision Consortium. A commonly occurring genetic variant within the NPLOC4–TSPAN10–PDE6G gene cluster is associated with the risk of strabismus. Hum. Genet. 2019, 138, 723–737. [Google Scholar] [CrossRef] [PubMed]
- Shaaban, S.; Mackinnon, S.; Andrews, C.; Staffieri, S.E.; Maconachie, G.D.E.; Chan, W.M.; Whitman, M.C.; Morton, S.U.; Yazar, S.; Macgregor, S.; et al. Genome-wide association study identifies a susceptibility locus for comitant esotropia and suggests a parent-of-origin effect. Investig. Ophthalmol. Vis. Sci. 2018. [Google Scholar] [CrossRef] [PubMed]
- Gong, H.M.; Wang, J.; Xu, J.; Zhou, Z.Y.; Li, J.W.; Chen, S.F. Identification of rare paired box 3 variant in strabismus by whole exome sequencing. Int. J. Ophthalmol. 2017. [Google Scholar] [CrossRef]
- Picher-Martel, V.; Labrie, Y.; Rivest, S.; Lace, B.; Chrestian, N. Whole-exome sequencing identifies homozygous mutation in TTI2 in a child with primary microcephaly: A case report. BMC Neurol. 2020. [Google Scholar] [CrossRef] [PubMed]
- Pedersen, B.S.; Quinlan, A.R. Who’s Who? Detecting and Resolving Sample Anomalies in Human DNA Sequencing Studies with Peddy. Am. J. Hum. Genet. 2017. [Google Scholar] [CrossRef]
- De Rubeis, S.; He, X.; Goldberg, A.P.; Poultney, C.S.; Samocha, K.; Cicek, A.E.; Kou, Y.; Liu, L.; Fromer, M.; Walker, S.; et al. Synaptic, transcriptional and chromatin genes disrupted in autism. Nature 2014, 515, 209–215. [Google Scholar] [CrossRef]
- Sanders, S.J.; He, X.; Willsey, A.J.; Ercan-Sencicek, A.G.; Samocha, K.E.; Cicek, A.E.; Murtha, M.T.; Bal, V.H.; Bishop, S.L.; Dong, S.; et al. Insights into Autism Spectrum Disorder Genomic Architecture and Biology from 71 Risk Loci. Neuron 2015, 87, 1215–1233. [Google Scholar] [CrossRef]
- Satterstrom, F.K.; Kosmicki, J.A.; Wang, J.; Breen, M.S.; De Rubeis, S.; An, J.-Y.; Peng, M.; Collins, R.L.; Grove, J.; Klei, L.; et al. Large-Scale Exome Sequencing Study Implicates Both Developmental and Functional Changes in the Neurobiology of Autism. SSRN Electron. J. 2019. [Google Scholar] [CrossRef]
- Huffaker, S.J.; Chen, J.; Nicodemus, K.K.; Sambataro, F.; Yang, F.; Mattay, V.; Lipska, B.K.; Hyde, T.M.; Song, J.; Rujescu, D.; et al. A primate-specific, brain isoform of KCNH2 affects cortical physiology, cognition, neuronal repolarization and risk of schizophrenia. Nat. Med. 2009, 15, 509–518. [Google Scholar] [CrossRef]
- Kim, J.; Han, D.; Byun, S.; Kwon, M.; Cho, J.Y.; Pleasure, S.J.; Yoon, K. Ttyh1 regulates embryonic neural stem cell properties by enhancing the Notch signaling pathway. EMBO Rep. 2018, 19. [Google Scholar] [CrossRef]
- Shima, Y.; Kawaguchi, S.Y.; Kosaka, K.; Nakayama, M.; Hoshino, M.; Nabeshima, Y.; Hirano, T.; Uemura, T. Opposing roles in neurite growth control by two seven-pass transmembrane cadherins. Nat. Neurosci. 2007, 10, 963–969. [Google Scholar] [CrossRef]
- Lewis, A.; Wilson, N.; Stearns, G.; Johnson, N.; Nelson, R.; Brockerhoff, S.E. Celsr3 is required for normal development of gaba circuits in the inner retina. PLoS Genet. 2011, 7. [Google Scholar] [CrossRef]
- Deans, M.R.; Krol, A.; Abraira, V.E.; Copley, C.O.; Tucker, A.F.; Goodrich, L.V. Control of neuronal morphology by the atypical cadherin fat3. Neuron 2011, 71, 820–832. [Google Scholar] [CrossRef]
- Krol, A.; Henle, S.J.; Goodrich, L.V. Fat3 and Ena/VASP proteins influence the emergence of asymmetric cell morphology in the developing retina. Development 2016, 143, 2172–2182. [Google Scholar] [CrossRef]
- Bögershausen, N.; Wollnik, B. Mutational Landscapes and Phenotypic Spectrum of SWI/SNF-Related Intellectual Disability Disorders. Front. Mol. Neurosci. 2018, 11, 252. [Google Scholar] [CrossRef]
- Wieczorek, D.; Bögershausen, N.; Beleggia, F.; Steiner-Haldenstätt, S.; Pohl, E.; Li, Y.; Milz, E.; Martin, M.; Thiele, H.; Altmüller, J.; et al. A comprehensive molecular study on coffin-siris and nicolaides-baraitser syndromes identifies a broad molecular and clinical spectrum converging on altered chromatin remodeling. Hum. Mol. Genet. 2013, 22, 5121–5135. [Google Scholar] [CrossRef]
- Hoyer, J.; Ekici, A.B.; Endele, S.; Popp, B.; Zweier, C.; Wiesener, A.; Wohlleber, E.; Dufke, A.; Rossier, E.; Petsch, C.; et al. Haploinsufficiency of ARID1B, a member of the SWI/SNF-A chromatin-remodeling complex, is a frequent cause of intellectual disability. Am. J. Hum. Genet. 2012, 90, 565–572. [Google Scholar] [CrossRef]
- Aitola, M.H.; Pelto-Huikko, M.T. Expression of Arnt and Arnt2 mRNA in developing murine tissues. J. Histochem. Cytochem. 2003, 51, 41–54. [Google Scholar] [CrossRef]
- Drutel, G. ARNT2, a transcription factor for brain neuron survival? Eur. J. Neurosci. 1999, 11, 1545–1553. [Google Scholar] [CrossRef]
- Webb, E.A.; Almutair, A.; Kelberman, D.; Bacchelli, C.; Chanudet, E.; Lescai, F.; Andoniadou, C.L.; Banyan, A.; Alsawaid, A.; Alrifai, M.T.; et al. ARNT2 mutation causes hypopituitarism, post-natal microcephaly, visual and renal anomalies. Brain 2013, 136, 3096–3105. [Google Scholar] [CrossRef]
- Labelle-Dumais, C.; Dilworth, D.J.; Harrington, E.P.; de Leau, M.; Lyons, D.; Kabaeva, Z.; Manzini, M.C.; Dobyns, W.B.; Walsh, C.A.; Michele, D.E.; et al. COL4A1 mutations cause ocular dysgenesis, neuronal localization defects, and myopathy in mice and walker-warburg syndrome in humans. PLoS Genet. 2011, 7. [Google Scholar] [CrossRef]
- Ben-Shalom, R.; Keeshen, C.M.; Berrios, K.N.; An, J.Y.; Sanders, S.J.; Bender, K.J. Opposing Effects on NaV1.2 Function Underlie Differences Between SCN2A Variants Observed in Individuals with Autism Spectrum Disorder or Infantile Seizures. Biol. Psychiatry 2017, 82, 224–232. [Google Scholar] [CrossRef]
- Engle, E.C. The genetic basis of complex strabismus. Pediatr. Res. 2006, 59, 343–348. [Google Scholar]
- Ye, X. (Cynthia); van der Lee, R.; Wasserman, W.W. Curation and bioinformatic analysis of strabismus genes supports functional heterogeneity and proposes candidate genes with connections to RASopathies. Gene 2019, 697, 213–226. [Google Scholar] [CrossRef]
- Davis, M.R.; Summers, K.M. Structure and function of the mammalian fibrillin gene family: Implications for human connective tissue diseases. Mol. Genet. Metab. 2012, 107, 635–647. [Google Scholar]
- Rainger, J.; Keighren, M.; Keene, D.R.; Charbonneau, N.L.; Rainger, J.K.; Fisher, M.; Mella, S.; Huang, J.T.J.; Rose, L.; van’t Hof, R.; et al. A Trans-Acting Protein Effect Causes Severe Eye Malformation in the Mp Mouse. PLoS Genet. 2013, 9. [Google Scholar] [CrossRef][Green Version]
- Monavarfeshani, A.; Stanton, G.; Van Name, J.; Su, K.; Mills, W.A.; Swilling, K.; Kerr, A.; Huebschman, N.A.; Su, J.; Fox, M.A. LRRTM1 underlies synaptic convergence in visual thalamus. eLife 2018, 7. [Google Scholar] [CrossRef]
- Lien, W.H.; Klezovitch, O.; Fernandez, T.E.; Delrow, J.; Vasioukhin, V. αE-catenin controls cerebral cortical size by regulating the hedgehog signaling pathway. Science (80-) 2006, 311, 1609–1612. [Google Scholar] [CrossRef] [PubMed]
- Stocker, A.M.; Chenn, A. Differential expression of alpha-E-catenin and alpha-N-catenin in the developing cerebral cortex. Brain Res. 2006, 1073–1074, 151–158. [Google Scholar] [CrossRef] [PubMed]
- Chen, S.; Lewis, B.; Moran, A.; Xie, T. Cadherin-Mediated Cell Adhesion Is Critical for the Closing of the Mouse Optic Fissure. PLoS ONE 2012, 7. [Google Scholar] [CrossRef] [PubMed][Green Version]
- Saksens, N.T.M.; Krebs, M.P.; Schoenmaker-Koller, F.E.; Hicks, W.; Yu, M.; Shi, L.; Rowe, L.; Collin, G.B.; Charette, J.R.; Letteboer, S.J.; et al. Mutations in CTNNA1 cause butterfly-shaped pigment dystrophy and perturbed retinal pigment epithelium integrity. Nat. Genet. 2016, 48, 144–151. [Google Scholar] [CrossRef]
- Jinda, W.; Taylor, T.D.; Suzuki, Y.; Thongnoppakhun, W.; Limwongse, C.; Lertrit, P.; Trinavarat, A.; Atchaneeyasakul, L.O. Whole exome sequencing in eight Thai patients with leber congenital amaurosis reveals mutations in the CTNNA1 and CYP4V2 genes. Investig. Ophthalmol. Vis. Sci. 2017, 58, 2413–2420. [Google Scholar] [CrossRef]
- Carss, K.; Arno, G.; Erwood, M.; Stephens, J.; Sanchis-Juan, A.; Hull, S.; Megy, K.; Grozeva, D.; Dewhurst, E.; Malka, S.; et al. Comprehensive Rare Variant Analysis via Whole-Genome Sequencing to Determine the Molecular Pathology of Inherited Retinal Disease. Am. J. Hum. Genet. 2017, 100, 75–90. [Google Scholar] [CrossRef]
- Bishop, S.L.; Farmer, C.; Bal, V.; Robinson, E.B.; Willsey, A.J.; Werling, D.M.; Havdahl, K.A.; Sanders, S.J.; Thurm, A. Identification of developmental and behavioral markers associated with genetic abnormalities in autism spectrum disorder. Am. J. Psychiatry 2017, 174, 576–585. [Google Scholar] [CrossRef]


| Gene | pLI Score | Variant | Consequence | Ancestry-Matched Allele Frequency | SIFT /PolyPhen2 |
|---|---|---|---|---|---|
| ARID1B | 0.999 | c.3152C>A (p.T1051N) | missense_variant | 8.804 × 10−6 (EUR) | D/B |
| ARNT2 | 0.959 | c.179C>A (p.P60H) | missense_variant | Not reported | D/D |
| COL4A1 | 0.999 | c.3712C>T (p.R1238C) | missense_variant | 4.20 × 10−5 (EUR) | D/D |
| FBN2 | 0.999 | c.7690C>G (p.Q2564E) | missense_variant | 7.926 × 10−5 (EUR) | D/D |
| LRRTM1 | 0.951 | c.914C>T (p.S305F) | missense_variant | 1.761 × 10−5 (EUR) | D/D |
| CTNNA1 | 0.970 | c.347G>A (p.C116Y) | missense_variant | 2.637 × 10−5 (EUR) | D/D |
| KCNH2 | 0.996 | c.526C>T (p.R176W) | missense_variant | 6.557 × 10−4 (EUR) | D/D |
| TTYH1 | 0.998 | c.1145G>C (p.R382P) | missense_variant | Not reported | B/D |
| ANO1 | 0.993 | c.1031C>T (p.P344L) | missense_variant | Not reported | D/D |
| CELSR1 | 0.999 | c.7312C>T (p.R2438W) | missense_variant | 6.408 × 10−5 (EUR) | D/D |
Publisher’s Note: MDPI stays neutral with regard to jurisdictional claims in published maps and institutional affiliations. |
© 2021 by the authors. Licensee MDPI, Basel, Switzerland. This article is an open access article distributed under the terms and conditions of the Creative Commons Attribution (CC BY) license (http://creativecommons.org/licenses/by/4.0/).
Share and Cite
An, J.-Y.; Jung, J.H.; Choi, L.; Wieben, E.D.; Mohney, B.G. Identification of Possible Risk Variants of Familial Strabismus Using Exome Sequencing Analysis. Genes 2021, 12, 75. https://doi.org/10.3390/genes12010075
An J-Y, Jung JH, Choi L, Wieben ED, Mohney BG. Identification of Possible Risk Variants of Familial Strabismus Using Exome Sequencing Analysis. Genes. 2021; 12(1):75. https://doi.org/10.3390/genes12010075
Chicago/Turabian StyleAn, Joon-Yong, Jae Ho Jung, Leejee Choi, Eric D. Wieben, and Brian G. Mohney. 2021. "Identification of Possible Risk Variants of Familial Strabismus Using Exome Sequencing Analysis" Genes 12, no. 1: 75. https://doi.org/10.3390/genes12010075
APA StyleAn, J.-Y., Jung, J. H., Choi, L., Wieben, E. D., & Mohney, B. G. (2021). Identification of Possible Risk Variants of Familial Strabismus Using Exome Sequencing Analysis. Genes, 12(1), 75. https://doi.org/10.3390/genes12010075

