The Genetic Effect on Muscular Changes in an Older Population: A Follow-Up Study after One-Year Cessation of Structured Training
Abstract
1. Introduction
2. Materials and Methods
2.1. Participants
2.2. Training Protocols
2.3. Genotyping
2.4. Parameter Measurements
2.5. Statistical Analyses
3. Results
3.1. Descriptive Data and Relative Changes at Post-Training and Follow-Up Tests
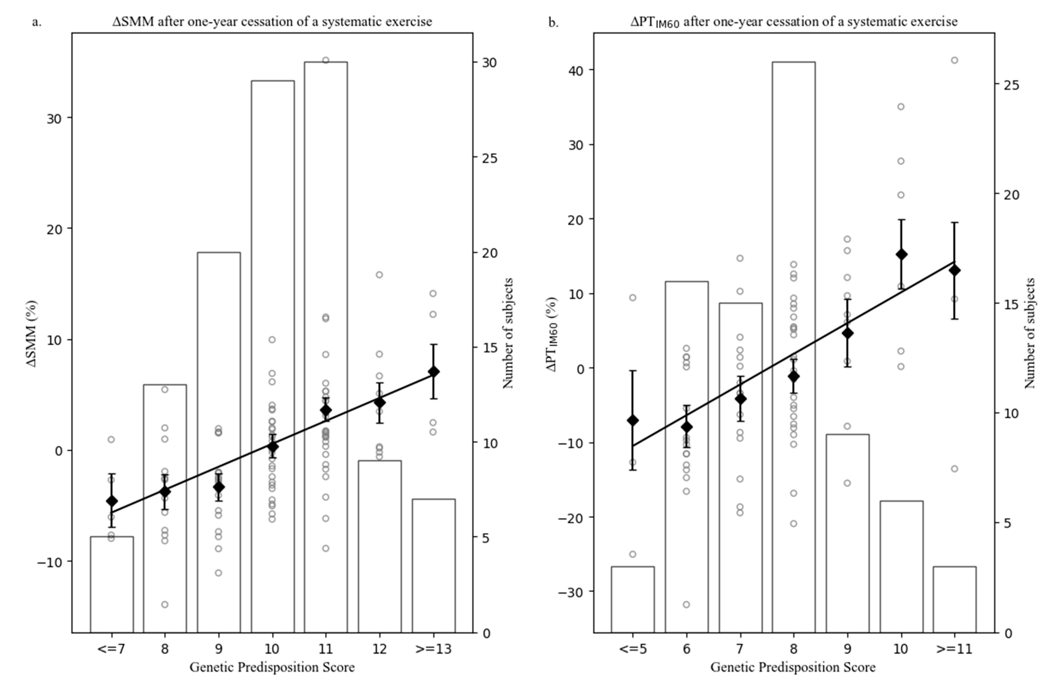
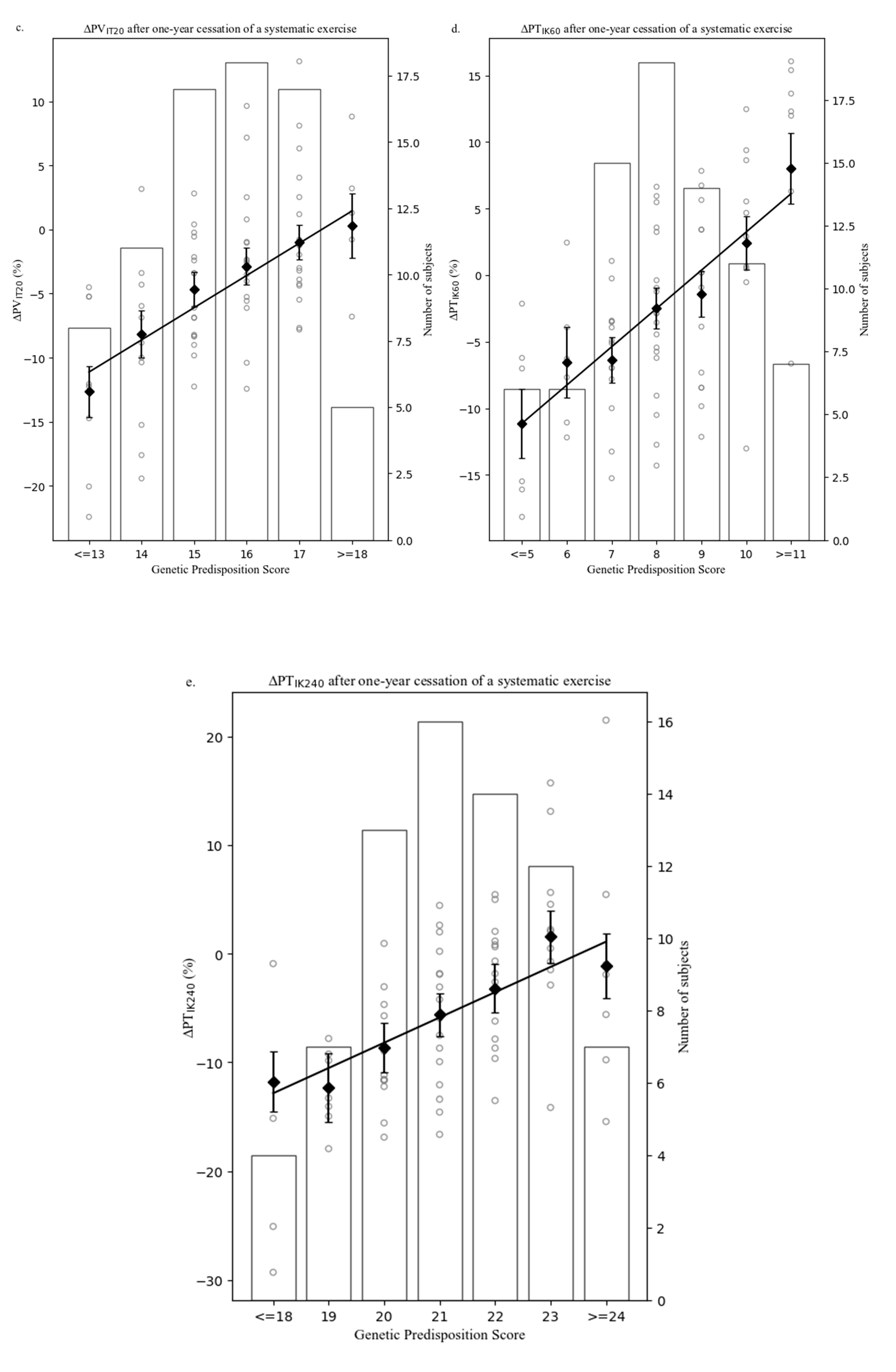
3.2. Associations of GPS with Relative Muscular Changes after One-Year Cessation of Structured Training
4. Discussion
4.1. Are Gene Variants Related to Muscular Changes after the Cessation of a Structured Training Intervention?
4.2. What Kind of Genes Are Related to Muscular Alterations after the Cessation of Exercise?
4.3. Comparisons with Previous Longitudinal SNP Studies on Ageing Muscle
4.4. Limitations
5. Conclusions
Supplementary Materials
Author Contributions
Funding
Conflicts of Interest
References
- Sayer, A.; Cooper, C. The Developmental Origins of Ageing. Pathy’s Princ. Pract. Geriatr. Med. 2012, 12, 81–91. [Google Scholar] [CrossRef]
- Goodpaster, B.H.; Park, S.W.; Harris, T.B.; Kritchevsky, S.B.; Nevitt, M.; Schwartz, A.V.; Simonsick, E.M.; Tylavsky, F.A.; Visser, M.; Newman, A.B.; et al. The Loss of Skeletal Muscle Strength, Mass, and Quality in Older Adults: The Health, Aging and Body Composition Study. J. Gerontol. Ser. A Biol. Sci. Med. Sci. 2006, 61, 1059–1064. [Google Scholar] [CrossRef] [PubMed]
- Visser, M.; Goodpaster, B.H.; Kritchevsky, S.B.; Newman, A.B.; Nevitt, M.; Rubin, S.M.; Simonsick, E.M.; Harris, T.B. Muscle Mass, Muscle Strength, and Muscle Fat Infiltration as Predictors of Incident Mobility Limitations in Well-Functioning Older Persons. J. Gerontol. Ser. A Biol. Sci. Med. Sci. 2005, 60, 324–333. [Google Scholar] [CrossRef] [PubMed]
- McLeod, M.; Breen, L.; Hamilton, D.L.; Philp, A. Live strong and prosper: The importance of skeletal muscle strength for healthy ageing. Biogerontology 2016, 17, 497–510. [Google Scholar] [CrossRef] [PubMed]
- Lopez, P.; Pinto, R.S.; Radaelli, R.; Rech, A.; Grazioli, R.; Izquierdo, M.; Cadore, E.L. Benefits of resistance training in physically frail elderly: A systematic review. Aging Clin. Exp. Res. 2018, 30, 889–899. [Google Scholar] [CrossRef]
- Guizelini, P.D.C.; De Aguiar, R.A.; Denadai, B.S.; Caputo, F.; Greco, C.C. Effect of resistance training on muscle strength and rate of force development in healthy older adults: A systematic review and meta-analysis. Exp. Gerontol. 2018, 102, 51–58. [Google Scholar] [CrossRef]
- Sitjà-Rabert, M.; Rigau, D.; Vanmeerghaeghe, A.F.; Romero-Rodríguez, D.; Subirana, M.B.; Bonfill, X. Efficacy of whole body vibration exercise in older people: A systematic review. Disabil. Rehabil. 2012, 34, 883–893. [Google Scholar] [CrossRef]
- Karavirta, L.; Häkkinen, K.; Sillanpää, E.; García-López, D.; Kauhanen, A.; Haapasaari, A.; Alen, M.; Pakarinen, A.; Kraemer, W.J.; Izquierdo, M.; et al. Effects of combined endurance and strength training on muscle strength, power and hypertrophy in 40–67-year-old men. Scand. J. Med. Sci. Sports 2009, 21, 402–411. [Google Scholar] [CrossRef]
- Fatouros, I.G.; Kambas, A.; Katrabasas, I.; Nikolaidis, K.; Chatzinikolaou, A.; Leontsini, D.; Taxildaris, K. Strength training and detraining effects on muscular strength, anaerobic power, and mobility of inactive older men are intensity dependent. Br. J. Sports Med. 2005, 39, 776–780. [Google Scholar] [CrossRef]
- Correa, C.; Baroni, B.M.; Radaelli, R.; Lanferdini, F.J.; Cunha, G.D.S.; Reischak-Oliveira, A.; Vaz, M.A.; Pinto, R.S. Effects of strength training and detraining on knee extensor strength, muscle volume and muscle quality in elderly women. AGE 2013, 35, 1899–1904. [Google Scholar] [CrossRef]
- Taaffe, D.R.; Henwood, T.R.; Nalls, M.A.; Walker, D.G.; Lang, T.; Harris, T.B. Alterations in muscle attenuation following detraining and retraining in resistance-trained older adults. Gerontology 2009, 55, 217–223. [Google Scholar] [CrossRef] [PubMed]
- Taaffe, D.R.; Marcus, R. Dynamic muscle strength alterations to detraining and retraining in elderly men. Clin. Physiol. 1997, 17, 311–324. [Google Scholar] [CrossRef] [PubMed]
- Blazevich, A.J. Effects of Physical Training and Detraining, Immobilisation, Growth and Aging on Human Fascile Geometry. Sports Med. 2006, 36, 1003–1017. [Google Scholar] [CrossRef] [PubMed]
- Andersen, L.L.; Andersen, J.L.; Magnusson, S.P.; Aagaard, P. Neuromuscular adaptations to detraining following resistance training in previously untrained subjects. Eur. J. Appl. Physiol. 2005, 93, 511–518. [Google Scholar] [CrossRef] [PubMed]
- Lovell, D.; Cuneo, R.; Wallace, J.; McLellan, C. The hormonal response of older men to sub-maximum aerobic exercise: The effect of training and detraining. Steroids 2012, 77, 413–418. [Google Scholar] [CrossRef] [PubMed]
- Rowan, S.L.; Rygiel, K.; Purves-Smith, F.M.; Solbak, N.M.; Turnbull, D.M.; Hepple, R.T. Denervation Causes Fiber Atrophy and Myosin Heavy Chain Co-Expression in Senescent Skeletal Muscle. PLoS ONE 2012, 7, e29082. [Google Scholar] [CrossRef] [PubMed]
- Miljkovic, N.; Lim, J.-Y.; Miljkovic, I.; Frontera, W.R. Aging of Skeletal Muscle Fibers. Ann. Rehabil. Med. 2015, 39, 155–162. [Google Scholar] [CrossRef] [PubMed]
- Rooyackers, O.E.; Adey, D.B.; Ades, P.A.; Nair, K.S. Effect of age on in vivo rates of mitochondrial protein synthesis in human skeletal muscle. Proc. Natl. Acad. Sci. USA 1996, 93, 15364–15369. [Google Scholar] [CrossRef]
- Proctor, D.N.; Balagopal, P.; Nair, K.S. Age-related sarcopenia in humans is associated with reduced synthetic rates of specific muscle proteins. J. Nutr. 1998, 128, 351S–355S. [Google Scholar] [CrossRef]
- Bray, M.S.; Hagberg, J.M.; Pérusse, L.; Rankinen, T.; Roth, S.M.; Wolfarth, B.; Bouchard, C. The Human Gene Map for Performance and Health-Related Fitness Phenotypes: The 2006–2007 update. Med. Sci. Sports Exerc. 2009, 41, 35–72. [Google Scholar] [CrossRef]
- Delmonico, M.J.; Kostek, M.C.; Doldo, N.A.; Hand, B.D.; Walsh, S.; Conway, J.M.; Carignan, C.R.; Roth, S.M.; Hurley, B.F. Alpha-actinin-3 (ACTN3) R577X polymorphism influences knee extensor peak power response to strength training in older men and women. J. Gerontol. Ser. A Biol. Sci. Med Sci. 2007, 62, 206–212. [Google Scholar] [CrossRef] [PubMed]
- Williams, A.; Folland, J.P. Similarity of polygenic profiles limits the potential for elite human physical performance. J. Physiol. 2008, 586, 113–121. [Google Scholar] [CrossRef] [PubMed]
- Thomaes, T.; Thomis, M.; Onkelinx, S.; Goetschalckx, K.; Fagard, R.; Lambrechts, D.; Vanhees, L. Genetic Predisposition Scores Associate with Muscular Strength, Size, and Trainability. Med. Sci. Sports Exerc. 2013, 45, 1451–1459. [Google Scholar] [CrossRef] [PubMed]
- He, L.; Van Roie, E.; Bogaerts, A.; Morse, C.I.; Delecluse, C.; Verschueren, S.; Thomis, M. Genetic predisposition score predicts the increases of knee strength and muscle mass after one-year exercise in healthy elderly. Exp. Gerontol. 2018, 111, 17–26. [Google Scholar] [CrossRef]
- Massidda, M.; Scorcu, M.; Calò, C.M. New Genetic Model for Predicting Phenotype Traits in Sports. Int. J. Sports Physiol. Perform. 2014, 9, 554–560. [Google Scholar] [CrossRef]
- Cordero, A.I.H.; Gonzales, N.M.; Parker, C.C.; Sokolof, G.; Vandenbergh, D.J.; Cheng, R.; Abney, M.; Sko, A.; Douglas, A.; Palmer, A.A.; et al. Genome-wide Associations Reveal Human-Mouse Genetic Convergence and Modifiers of Myogenesis, CPNE1 and STC2. Am. J. Hum. Genet. 2019, 105, 1222–1236. [Google Scholar] [CrossRef]
- Charlier, R.; Caspers, M.; Knaeps, S.; Mertens, E.; Lambrechts, D.; Lefevre, J.; Thomis, M. Limited potential of genetic predisposition scores to predict muscle mass and strength performance in Flemish Caucasians between 19 and 73 years of age. Physiol. Genom. 2017, 49, 160–166. [Google Scholar] [CrossRef][Green Version]
- Ruiz, J.R.; Gómez-Gallego, F.; Santiago, C.; González-Freire, M.; Verde, Z.; Foster, C.; Lucia, A. Is there an optimum endurance polygenic profile? J. Physiol. 2009, 587, 1527–1534. [Google Scholar] [CrossRef]
- Bogaerts, A.C.G.; Delecluse, C.; Claessens, A.L.; Troosters, T.; Boonen, S.; Verschueren, S. Effects of whole body vibration training on cardiorespiratory fitness and muscle strength in older individuals (a 1-year randomised controlled trial). Age Ageing 2009, 38, 448–454. [Google Scholar] [CrossRef]
- American College of Sports Medicine. ACSM’s Guidelines for Exercise Testing and Prescription, 6th ed.; Lippincott Williams and Wilkins: Philadelphia, PA, USA, 2000; ISBN 0-7817-2735-9. [Google Scholar]
- Illumina GoldenGate® Assay Workflow. Available online: https://www.illumina.com/Documents/products/workflows/workflow_goldengate_assay.pdf (accessed on 3 September 2014).
- Janssen, I.; Heymsfield, S.B.; Baumgartner, R.N.; Ross, R. Estimation of skeletal muscle mass by bioelectrical impedance analysis. J. Appl. Physiol. 2000, 89, 465–471. [Google Scholar] [CrossRef]
- Sarzynski, M.A.; Rankinen, T.; Sternfeld, B.; Grove, M.L.; Fornage, M.; Jacobs, D.R.; Sidney, S.; Bouchard, C. Association of single-nucleotide polymorphisms from 17 candidate genes with baseline symptom-limited exercise test duration and decrease in duration over 20 years: The Coronary Artery Risk Development in Young Adults (CARDIA) fitness study. Circ. Cardiovasc. Genet. 2010, 3, 531–538. [Google Scholar] [CrossRef] [PubMed]
- Wu, C.-T.; Morris, J.R. Genes, Genetics, and Epigenetics: A Correspondence. Science 2001, 293, 1103–1105. [Google Scholar] [CrossRef] [PubMed]
- Barrès, R.; Yan, J.; Egan, B.; Treebak, J.T.; Rasmussen, M.; Fritz, T.; Caidahl, K.; Krook, A.; O’Gorman, D.J.; Zierath, J.R. Acute Exercise Remodels Promoter Methylation in Human Skeletal Muscle. Cell Metab. 2012, 15, 405–411. [Google Scholar] [CrossRef] [PubMed]
- Seaborne, R.A.; Strauss, J.; Cocks, M.; Shepherd, S.; O’Brien, T.D.; Van Someren, K.A.; Bell, P.G.; Murgatroyd, C.; Morton, J.P.; Stewart, C.E.; et al. Human Skeletal Muscle Possesses an Epigenetic Memory of Hypertrophy. Sci. Rep. 2018, 8, 1898. [Google Scholar] [CrossRef]
- Liu, K.; Zhao, R.; Shen, M.; Ye, J.; Li, X.; Huang, Y.; Hua, L.; Wang, Z.; Li, J. Role of genetic mutations in folate-related enzyme genes on Male Infertility. Sci. Rep. 2015, 5, 15548. [Google Scholar] [CrossRef]
- Puthucheary, Z.A.; Skipworth, J.R.A.; Rawal, J.; Loosemore, M.; Van Someren, K.; Montgomery, H. Genetic Influences in Sport and Physical Performance. Sports Med. 2011, 41, 845–859. [Google Scholar] [CrossRef]
- Garatachea, N.; Lucia, A. Genes and the ageing muscle: A review on genetic association studies. AGE 2013, 35, 207–233. [Google Scholar] [CrossRef]
- Ahmetov, I.I.; Mozhayskaya, I.; Flavell, D.M.; Astratenkova, I.V.; Komkova, A.; Lyubaeva, E.V.; Tarakin, P.P.; Shenkman, B.S.; Vdovina, A.B.; Netreba, A.; et al. PPARα gene variation and physical performance in Russian athletes. Eur. J. Appl. Physiol. 2006, 97, 103–108. [Google Scholar] [CrossRef]
- Walsh, S.; Kelsey, B.K.; Angelopoulos, T.J.; Clarkson, P.M.; Gordon, P.M.; Moyna, N.M.; Visich, P.S.; Zoeller, R.F.; Seip, R.L.; Bilbie, S.; et al. CNTF 1357 G → A polymorphism and the muscle strength response to resistance training. J. Appl. Physiol. 2009, 107, 1235–1240. [Google Scholar] [CrossRef]
- De Mars, G.; Windelinckx, A.; Beunen, G.; Delecluse, C.; Lefevre, J.; Thomis, M.A.I. Polymorphisms in the CNTF and CNTF receptor genes are associated with muscle strength in men and women. J. Appl. Physiol. 2007, 102, 1824–1831. [Google Scholar] [CrossRef]
- Delmonico, M.J.; Zmuda, J.M.; Taylor, B.C.; Cauley, J.A.; Harris, T.B.; Manini, T.M.; Schwartz, A.; Li, R.; Roth, S.M.; Hurley, B.F.; et al. Association of the ACTN3 Genotype and Physical Functioning with Age in Older Adults. J. Gerontol. Ser. A Biol. Sci. Med Sci. 2008, 63, 1227–1234. [Google Scholar] [CrossRef] [PubMed]
- Schrager, M.A.; Roth, S.M.; Ferrell, R.E.; Metter, E.J.; Russek-Cohen, E.; Lynch, N.A.; Lindle, R.S.; Hurley, B.F. Insulin-like growth factor-2 genotype, fat-free mass, and muscle performance across the adult life span. J. Appl. Physiol. 2004, 97, 2176–2183. [Google Scholar] [CrossRef] [PubMed][Green Version]
- Van Roie, E.; Walker, S.; Van Driessche, S.; Baggen, R.; Coudyzer, W.; Bautmans, I.; Delecluse, C. Training load does not affect detraining’s effect on muscle volume, muscle strength and functional capacity among older adults. Exp. Gerontol. 2017, 98, 30–37. [Google Scholar] [CrossRef] [PubMed]
- Zillikens, M.C.; Demissie, S.; Hsu, Y.-H.; Yerges-Armstrong, L.M.; Chou, W.-C.; Stolk, L.; Livshits, G.; Broer, L.; Johnson, T.; Koller, D.L.; et al. Large meta-analysis of genome-wide association studies identifies five loci for lean body mass. Nat. Commun. 2017, 8, 80. [Google Scholar] [CrossRef] [PubMed]



| Parameters | Post-Training | Follow-Up | ∆Follow-Post (%) | p Values from Repeated Measures ANOVA | |||
|---|---|---|---|---|---|---|---|
| Time | Time × Sex | Time × Group | Time × Sex × Group | ||||
| AGE (year) | |||||||
| FIT | |||||||
| F | 66.4 ± 3.8 | - | - | - | - | - | - |
| M | 67.5 ± 4.0 | - | - | ||||
| WBV | |||||||
| F | 67.1 ± 5.2 | - | - | ||||
| M | 67.8 ± 4.5 | - | - | ||||
| p value at Group level | 0.55 | ||||||
| p value at Group × Sex level | 0.84 | ||||||
| Height (m) | |||||||
| FIT | |||||||
| F | 160.0 ± 7.9 | - | - | - | - | - | - |
| M | 174.3 ± 6.1 | - | - | ||||
| WBV | |||||||
| F | 161.2 ± 5.7 | - | - | ||||
| M | 173.1 ± 6.5 | - | - | ||||
| p value at Group level | 0.99 | ||||||
| p value at Group × Sex level | 0.28 | ||||||
| Body mass (kg) | |||||||
| FIT | |||||||
| F | 66.6 ± 9.4 | 66.3 ± 8.9 | −1.36 ± 2.80 | <0.01 ** | 0.19 | 0.84 | 0.49 |
| M | 82.0 ± 9.6 | 83.2 ± 9.5 | −0.09 ± 2.90 | ||||
| WBV | |||||||
| F | 68.7 ± 9.3 | 68.6 ± 8.9 | −0.17 ± 3.53 | ||||
| M | 79.0 ± 11.6 | 80.2 ± 12.8 | −0.44 ± 3.21 | ||||
| p value at Group level | 0.77 | 0.85 | 0.97 | ||||
| p value at Group × Sex level | 0.15 | 0.16 | 0.61 | ||||
| power at Group level | 0.06 | 0.05 | 0.05 | ||||
| power at Group × Sex level | 0.30 | 0.29 | 0.08 | ||||
| BMI (kg/m2) | |||||||
| FIT | |||||||
| F | 26.1 ± 3.9 | 26.2 ± 3.8 | −1.36 ± 2.80 | <0.01 ** | 0.28 | 0.90 | 0.47 |
| M | 27.1 ± 3.3 | 27.4 ± 3.4 | −0.09 ± 2.90 | ||||
| WBV | |||||||
| F | 26.4 ± 3.5 | 26.5 ± 3.4 | −0.17 ± 3.53 | ||||
| M | 26.4 ± 3.6 | 26.6 ± 3.6 | −0.44 ± 3.21 | ||||
| p value at Group level | 0.79 | 0.68 | 0.97 | ||||
| p value at Group × Sex level | 0.41 | 0.39 | 0.61 | ||||
| power at Group level | 0.06 | 0.07 | 0.05 | ||||
| power at Group × Sex level | 0.13 | 0.14 | 0.08 | ||||
| SMM (kg) | |||||||
| FIT | |||||||
| F | 18.0 ± 2.0 | 17.7 ± 2.3 | 1.40 ± 8.29 | 0.45 | 0.96 | 0.55 | 0.83 |
| M | 30.2 ± 3.0 | 30.0 ± 3.1 | 4.21 ± 6.28 | ||||
| WBV | |||||||
| F | 18.5 ± 2.2 | 18.5 ± 2.6 | 2.76 ± 9.52 | ||||
| M | 30.3 ± 3.2 | 30.8 ± 5.6 | 4.32 ± 17.25 | ||||
| p value at Group level | 0.58 | 0.29 | 0.53 | ||||
| p value at Group × Sex level | 0.76 | 0.97 | 0.95 | ||||
| power at Group level | 0.09 | 0.19 | 0.10 | ||||
| power at Group × Sex level | 0.06 | 0.05 | 0.05 | ||||
| PTIM60 (Nm) | |||||||
| FIT | |||||||
| F | 127.92 ± 18.18 | 127.79 ± 26.66 | 13.43 ± 17.70 | 0.43 | 0.93 | 0.64 | 0.64 |
| M | 186.32 ± 28.17 | 186.63 ± 32.58 | 16.50 ± 17.73 | ||||
| WBV | |||||||
| F | 123.05 ± 27.56 | 125.63 ± 24.80 | 15.32 ± 18.18 | ||||
| M | 181.48 ± 36.61 | 174.20 ± 37.29 | 6.79 ± 22.37 | ||||
| p value at Group level | 0.41 | 0.31 | 0.76 | ||||
| p value at Group × Sex level | 1.00 | 0.48 | 0.64 | ||||
| power at Group level | 0.13 | 0.17 | 0.06 | ||||
| power at Group × Sex level | 0.05 | 0.11 | 0.08 | ||||
| PVIT20 (°/s) | |||||||
| FIT | |||||||
| F | 330.17 ± 37.73 | 307.58 ± 58.96 | −1.63 ± 11.56 | <0.01 ** | 0.39 | 0.68 | 0.67 |
| M | 377.62 ± 34.91 | 353.95 ± 35.29 | −1.68 ± 9.37 | ||||
| WBV | |||||||
| F | 328.08 ± 31.45 | 321.75 ± 33.10 | 0.87 ± 12.18 | ||||
| M | 364.79 ± 36.99 | 345.05 ± 40.26 | −0.34 ± 15.02 | ||||
| p value at Group level | 0.29 | 0.78 | 0.65 | ||||
| p value at Group × Sex level | 0.45 | 0.22 | 0.85 | ||||
| power at Group level | 0.18 | 0.06 | 0.07 | ||||
| power at Group × Sex level | 0.12 | 0.24 | 0.05 | ||||
| PTIK60 (Nm) | |||||||
| FIT | |||||||
| F | 111.78 ± 17.98 | 102.65 ± 25.28 | 2.09 ± 6.79 | 0.02 * | 0.25 | 0.27 | 0.56 |
| M | 168.54 ± 29.57 | 164.18 ± 30.00 | 5.70 ± 13.44 | ||||
| WBV | |||||||
| F | 106.50 ± 18.50 | 107.98 ± 18.23 | 0.72 ± 8.9 | ||||
| M | 158.26 ± 28.67 | 156.29 ± 33.40 | 0.29 ± 17.16 | ||||
| p value at Group level | 0.12 | 0.84 | 0.14 | ||||
| p value at Group × Sex level | 0.61 | 0.30 | 0.71 | ||||
| power at Group level | 0.35 | 0.06 | 0.31 | ||||
| power at Group × Sex level | 0.08 | 0.18 | 0.07 | ||||
| PTIK240 (Nm) | |||||||
| FIT | |||||||
| F | 60.46 ± 10.26 | 53.11 ± 15.94 | −0.83 ± 8.22 | <0.01 ** | 0.97 | 0.50 | 0.85 |
| M | 93.58 ± 16.04 | 89.14 ± 14.63 | 3.76 ± 14.76 | ||||
| WBV | |||||||
| F | 57.54 ± 10.45 | 57.24 ± 10.06 | 3.17 ± 10.19 | ||||
| M | 85.64 ± 14.62 | 82.28 ± 14.52 | 0.54 ± 16.63 | ||||
| p value at Group level | 0.04 | 0.66 | 0.32 | ||||
| p value at Group × Sex level | 0.34 | 0.08 | 0.51 | ||||
| power at Group level | 0.53 | 0.07 | 0.17 | ||||
| power at Group × Sex level | 0.16 | 0.41 | 0.10 | ||||
| GPS | SEX (M = 1, F = 0) | AGE | BMI | Corresponding Post-Training Value | Intercept | Adj. r2 | NO. of SNPs | |
|---|---|---|---|---|---|---|---|---|
| ∆SMM (%) | ||||||||
| Estimate | 2.09 | −0.91 | 0.07 | 0.18 | - | −29.36 | 0.27 | 9 |
| β value | 0.52 | −0.07 | 0.05 | 0.09 | - | |||
| Partial r2 | 0.27 | 0.01 | <0.01 | 0.01 | - | |||
| p | <0.01 | 0.39 | 0.58 | 0.27 | - | |||
| ∆PTIM60 (%) | ||||||||
| Estimate | 4.53 | 3.02 | −0.02 | 0.50 | −0.06 | −38.69 | 0.32 | 7 |
| β value | 0.53 | 0.11 | −0.01 | 0.12 | −0.20 | |||
| Partial r2 | 0.27 | 0.01 | <0.01 | 0.02 | 0.03 | |||
| p | <0.01 | 0.45 | 0.96 | 0.22 | 0.18 | |||
| ∆PVIT20 (%) | ||||||||
| Estimate | 2.24 | 1.90 | −0.31 | −0.09 | −0.04 | −3.40 | 0.40 | 13 |
| β value | 0.59 | 0.14 | −0.18 | −0.04 | −0.22 | |||
| Partial r2 | 0.36 | 0.02 | 0.04 | <0.01 | 0.06 | |||
| p | <0.01 | 0.22 | 0.08 | 0.66 | 0.05 | |||
| ∆PTIK60 (%) | ||||||||
| Estimate | 2.74 | 2.39 | −0.16 | 0.23 | −0.01 | −19.44 | 0.37 | 9 |
| β value | 0.62 | 0.15 | −0.08 | 0.09 | −0.04 | |||
| Partial r2 | 0.37 | 0.01 | 0.01 | 0.01 | <0.01 | |||
| p | <0.01 | 0.31 | 0.42 | 0.33 | 0.76 | |||
| ∆PTIK240 (%) | ||||||||
| Estimate | 2.56 | 0.84 | −0.03 | 0.34 | 0.02 | −68.75 | 0.27 | 18 |
| β value | 0.52 | 0.05 | −0.01 | 0.12 | 0.04 | |||
| Partial r2 | 0.26 | <0.01 | <0.01 | 0.02 | <0.01 | |||
| p | <0.01 | 0.78 | 0.90 | 0.23 | 0.78 |
© 2020 by the authors. Licensee MDPI, Basel, Switzerland. This article is an open access article distributed under the terms and conditions of the Creative Commons Attribution (CC BY) license (http://creativecommons.org/licenses/by/4.0/).
Share and Cite
He, L.; Van Roie, E.; Bogaerts, A.; Verschueren, S.; Delecluse, C.; Morse, C.I.; Thomis, M. The Genetic Effect on Muscular Changes in an Older Population: A Follow-Up Study after One-Year Cessation of Structured Training. Genes 2020, 11, 968. https://doi.org/10.3390/genes11090968
He L, Van Roie E, Bogaerts A, Verschueren S, Delecluse C, Morse CI, Thomis M. The Genetic Effect on Muscular Changes in an Older Population: A Follow-Up Study after One-Year Cessation of Structured Training. Genes. 2020; 11(9):968. https://doi.org/10.3390/genes11090968
Chicago/Turabian StyleHe, Lingxiao, Evelien Van Roie, An Bogaerts, Sabine Verschueren, Christophe Delecluse, Christopher I. Morse, and Martine Thomis. 2020. "The Genetic Effect on Muscular Changes in an Older Population: A Follow-Up Study after One-Year Cessation of Structured Training" Genes 11, no. 9: 968. https://doi.org/10.3390/genes11090968
APA StyleHe, L., Van Roie, E., Bogaerts, A., Verschueren, S., Delecluse, C., Morse, C. I., & Thomis, M. (2020). The Genetic Effect on Muscular Changes in an Older Population: A Follow-Up Study after One-Year Cessation of Structured Training. Genes, 11(9), 968. https://doi.org/10.3390/genes11090968

