Alternative Splicing Events as Indicators for the Prognosis of Uveal Melanoma
Abstract
1. Introduction
2. Material and Methods
2.1. Raw Data Process
2.2. Identification of Survival-Related Alternative Splicing Events
2.3. Construction of the Spliced Gene Correlation Network
2.4. LASSO Multivariate Cox Analysis
2.5. Construction of Splicing Factor Correlation Network
2.6. Statistical Analysis
3. Results
3.1. Alternative Splicing Events in UM
3.2. Identification of Survival-Related Alternative Splicing Events
3.3. Construction of Spliced Gene Correlation Network
3.4. LASSO Analysis Based on Selected Splicing Events
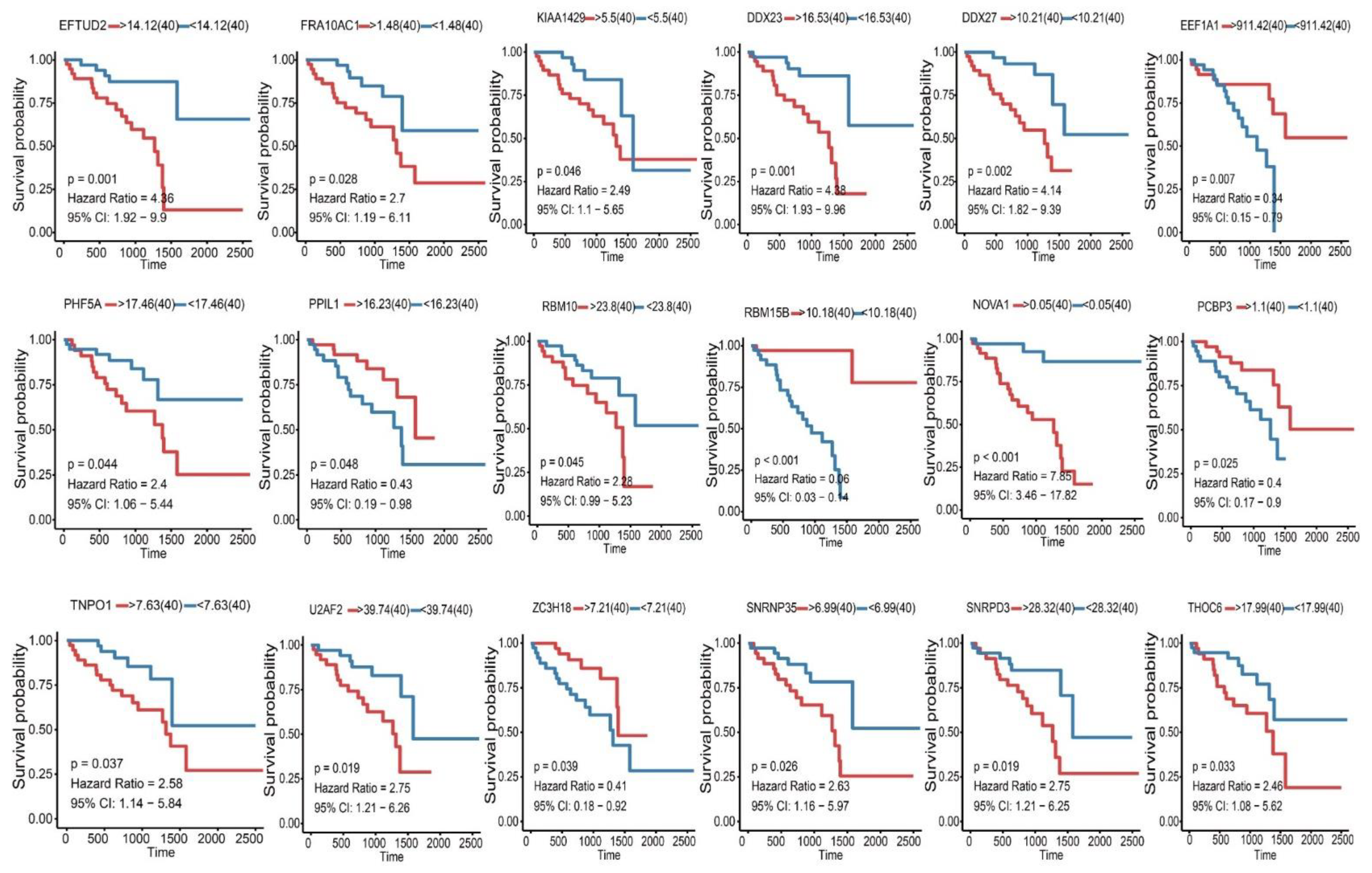
3.5. Construction of Splicing Factor Correlation Network
4. Discussion
Supplementary Materials
Author Contributions
Funding
Conflicts of Interest
References
- Amaro, A.; Gangemi, R.; Piaggio, F.; Angelini, G.; Barisione, G.; Ferrini, S.; Pfeffer, U. The biology of uveal melanoma. Cancer Metastasis Rev. 2017, 36, 109–140. [Google Scholar] [CrossRef] [PubMed]
- Kaliki, S.; Shields, C.L. Uveal melanoma: Relatively rare but deadly cancer. Eye 2017, 31, 241–257. [Google Scholar] [CrossRef] [PubMed]
- Kashyap, S.; Meel, R.; Singh, L.; Singh, M. Uveal melanoma. Semin. Diagn. Pathol. 2016, 33, 141–147. [Google Scholar] [CrossRef] [PubMed]
- Singh, A.D.; Turell, M.E.; Topham, A.K. Uveal melanoma: Trends in incidence, treatment, and survival. Ophthalmology 2011, 118, 1881–1885. [Google Scholar] [CrossRef]
- Jager, M.J.; Dogrusoz, M.; Woodman, S.E. Uveal Melanoma: Identifying Immunological and Chemotherapeutic Targets to Treat Metastases. Asia Pac. J. Ophthalmol. 2017, 6, 179–185. [Google Scholar]
- Zhang, Y.; Yang, Y.; Chen, L.; Zhang, J. Expression analysis of genes and pathways associated with liver metastases of the uveal melanoma. BMC Med. Genet. 2014, 15, 29. [Google Scholar] [CrossRef]
- Ryan, M.C.; Cleland, J.; Kim, R.; Wong, W.C.; Weinstein, J.N. SpliceSeq: A resource for analysis and visualization of RNA-Seq data on alternative splicing and its functional impacts. Bioinformatics 2012, 28, 2385–2387. [Google Scholar] [CrossRef]
- Li, Y.; Sun, N.; Lu, Z.; Sun, S.; Huang, J.; Chen, Z.; He, J. Prognostic alternative mRNA splicing signature in non-small cell lung cancer. Cancer Lett. 2017, 393, 40–51. [Google Scholar] [CrossRef]
- Zong, Z.; Li, H.; Yi, C.; Ying, H.; Zhu, Z.; Wang, H. Genome-Wide Profiling of Prognostic Alternative Splicing Signature in Colorectal Cancer. Front. Oncol. 2018, 8, 537. [Google Scholar] [CrossRef]
- Liu, J.; Li, H.; Shen, S.; Sun, L.; Yuan, Y.; Xing, C. Alternative splicing events implicated in carcinogenesis and prognosis of colorectal cancer. J. Cancer 2018, 9, 1754–1764. [Google Scholar] [CrossRef]
- Lin, P.; He, R.Q.; Huang, Z.G.; Zhang, R.; Wu, H.Y.; Shi, L.; Li, X.J.; Li, Q.; Chen, G.; Yang, H.; et al. Role of global aberrant alternative splicing events in papillary thyroid cancer prognosis. Aging 2019, 11, 2082–2097. [Google Scholar] [CrossRef]
- Xiong, Y.; Deng, Y.; Wang, K.; Zhou, H.; Zheng, X.; Si, L.; Fu, Z. Profiles of alternative splicing in colorectal cancer and their clinical significance: A study based on large-scale sequencing data. EBioMedicine 2018, 36, 183–195. [Google Scholar] [CrossRef] [PubMed]
- Dorman, S.N.; Viner, C.; Rogan, P.K. Splicing mutation analysis reveals previously unrecognized pathways in lymph node-invasive breast cancer. Sci. Rep. 2014, 4, 7063. [Google Scholar] [CrossRef] [PubMed]
- Zhu, J.; Chen, Z.; Yong, L. Systematic profiling of alternative splicing signature reveals prognostic predictor for ovarian cancer. Gynecol. Oncol. 2018, 148, 368–374. [Google Scholar] [CrossRef] [PubMed]
- Suo, C.; Hrydziuszko, O.; Lee, D.; Pramana, S.; Saputra, D.; Joshi, H.; Calza, S.; Pawitan, Y. Integration of somatic mutation, expression and functional data reveals potential driver genes predictive of breast cancer survival. Bioinformatics 2015, 31, 2607–2613. [Google Scholar] [CrossRef] [PubMed]
- Jager, M.J.; Brouwer, N.J.; Esmaeli, B. The Cancer Genome Atlas Project: An Integrated Molecular View of Uveal Melanoma. Ophthalmology 2018, 125, 1139–1142. [Google Scholar] [CrossRef]
- Ryan, M.; Wong, W.C.; Brown, R.; Akbani, R.; Su, X.; Broom, B.; Melott, J.; Weinstein, J. TCGASpliceSeq a compendium of alternative mRNA splicing in cancer. Nucleic Acids Res. 2016, 44, D1018–D1022. [Google Scholar] [CrossRef]
- Seiler, M.; Peng, S.; Agrawal, A.A.; Palacino, J.; Teng, T.; Zhu, P.; Smith, P.G.; Cancer Genome Atlas Research Network; Buonamici, S.; Yu, L. Somatic Mutational Landscape of Splicing Factor Genes and Their Functional Consequences across 33 Cancer Types. Cell Rep. 2018, 23, 282–296. [Google Scholar] [CrossRef]
- Pal, S.; Bi, Y.; Macyszyn, L.; Showe, L.C.; O’Rourke, D.M.; Davuluri, R.V. Isoform-level gene signature improves prognostic stratification and accurately classifies glioblastoma subtypes. Nucleic Acids Res. 2014, 42, e64. [Google Scholar] [CrossRef][Green Version]
- Mao, S.; Li, Y.; Lu, Z.; Che, Y.; Sun, S.; Huang, J.; Lei, Y.; Wang, X.; Liu, C.; Zheng, S.; et al. Survival-associated alternative splicing signatures in esophageal carcinoma. Carcinogenesis 2019, 40, 121–130. [Google Scholar] [CrossRef]
- Zhang, P.; Feng, S.; Liu, G.; Wang, H.; Fu, A.; Zhu, H.; Ren, Q.; Wang, B.; Xu, X.; Bai, H.; et al. CD82 suppresses CD44 alternative splicing-dependent melanoma metastasis by mediating U2AF2 ubiquitination and degradation. Oncogene 2016, 35, 5056–5069. [Google Scholar] [CrossRef] [PubMed]
- Raso-Barnett, L.; Banky, B.; Barbai, T.; Becsagh, P.; Timar, J.; Raso, E. Demonstration of a melanoma-specific CD44 alternative splicing pattern that remains qualitatively stable, but shows quantitative changes during tumour progression. PLoS ONE 2013, 8, e53883. [Google Scholar] [CrossRef] [PubMed]
- Danen, E.H.; ten Berge, P.J.; van Muijen, G.N.; Jager, M.J.; Ruiter, D.J. Expression of CD44 and the pattern of CD44 alternative splicing in uveal melanoma. Melanoma Res. 1996, 6, 31–35. [Google Scholar] [CrossRef]
- Furney, S.J.; Pedersen, M.; Gentien, D.; Dumont, A.G.; Rapinat, A.; Desjardins, L.; Turajlic, S.; Piperno-Neumann, S.; de la Grange, P.; Roman-Roman, S.; et al. SF3B1 mutations are associated with alternative splicing in uveal melanoma. Cancer Discov. 2013, 3, 1122–1129. [Google Scholar] [CrossRef] [PubMed]
- Doherty, L.; Sheen, M.R.; Vlachos, A.; Choesmel, V.; O’Donohue, M.F.; Clinton, C.; Schneider, H.E.; Sieff, C.A.; Newburger, P.E.; Ball, S.E.; et al. Ribosomal protein genes RPS10 and RPS26 are commonly mutated in Diamond-Blackfan anemia. Am. J. Hum. Genet. 2010, 86, 222–228. [Google Scholar] [CrossRef]
- Hoang, V.L.T.; Tom, L.N.; Quek, X.C.; Tan, J.M.; Payne, E.J.; Lin, L.L.; Sinnya, S.; Raphael, A.P.; Lambie, D.; Frazer, I.H.; et al. RNA-seq reveals more consistent reference genes for gene expression studies in human non-melanoma skin cancers. PeerJ 2017, 5, e3631. [Google Scholar] [CrossRef]
- Kahles, A.; Lehmann, K.V.; Toussaint, N.C.; Huser, M.; Stark, S.G.; Sachsenberg, T.; Stegle, O.; Kohlbacher, O.; Sander, C.; Cancer Genome Atlas Research Network; et al. Comprehensive Analysis of Alternative Splicing Across Tumors from 8,705 Patients. Cancer Cell 2018, 34, 211–224. [Google Scholar] [CrossRef]
- Liu, X.; Si, W.; Liu, X.; He, L.; Ren, J.; Yang, Z.; Yang, J.; Li, W.; Liu, S.; Pei, F.; et al. JMJD6 promotes melanoma carcinogenesis through regulation of the alternative splicing of PAK1, a key MAPK signaling component. Mol. Cancer 2017, 16, 175. [Google Scholar] [CrossRef]
- Loiselle, J.J.; Sutherland, L.C. RBM10: Harmful or helpful-many factors to consider. J. Cell Biochem. 2018, 119, 3809–3818. [Google Scholar] [CrossRef]
- Sun, X.; Jia, M.; Sun, W.; Feng, L.; Gu, C.; Wu, T. Functional role of RBM10 in lung adenocarcinoma proliferation. Int. J. Oncol. 2019, 54, 467–478. [Google Scholar] [CrossRef]
- Kito, Y.; Bai, J.; Goto, N.; Okubo, H.; Adachi, Y.; Nagayama, T.; Takeuchi, T. Pathobiological properties of the ubiquitin ligase Nedd4L in melanoma. Int. J. Exp. Pathol. 2014, 95, 24–28. [Google Scholar] [CrossRef] [PubMed]
- Wang, C.L.; Lin, M.J.; Hsu, C.Y.; Lin, H.Y.; Tsai, H.P.; Long, C.Y.; Tsai, E.M.; Hsieh, T.H.; Wu, C.H. CD47 promotes cell growth and motility in epithelial ovarian cancer. Biomed. Pharm. 2019, 119, 109105. [Google Scholar] [CrossRef] [PubMed]
- Yuan, J.; Shi, X.; Chen, C.; He, H.; Liu, L.; Wu, J.; Yan, H. High expression of CD47 in triple negative breast cancer is associated with epithelial-mesenchymal transition and poor prognosis. Oncol. Lett. 2019, 18, 3249–3255. [Google Scholar] [CrossRef] [PubMed]
- Li, Y.; Lu, S.; Xu, Y.; Qiu, C.; Jin, C.; Wang, Y.; Liu, Z.; Kong, B. Overexpression of CD47 predicts poor prognosis and promotes cancer cell invasion in high-grade serous ovarian carcinoma. Am. J. Transl. Res. 2017, 9, 2901–2910. [Google Scholar] [PubMed]









| Actual Long-Term Survival | Actual Short-Term Survival | |
|---|---|---|
| Predicted long-term survival | 38 | 0 |
| Predicted short-term survival | 2 | 40 |
| Sensitivity: 0.950 | Specificity: 1 | Accuracy: 0.975 |
| High-Risk | Low-Risk | p | |
|---|---|---|---|
| n | 40 | 40 | |
| vital_status = DEAD (%) | 21 (52.5) | 2 (5.0) | <0.001 |
| Race = white (%) | 25 (100.0) | 30 (100.0) | NA |
| Age (mean(SD)) | 67.26 (14.10) | 60.30 (13.91) | 0.029 |
| Gender = MALE (%) | 26 (65.0) | 19 (47.5) | 0.176 |
| Stage (%) | 0.148 | ||
| 1 (2.5) | 0 (0.0) | ||
| StageII | 18 (45.0) | 21 (52.5) | |
| StageIII | 17 (42.5) | 19 (47.5) | |
| StageIV | 4 (10.0) | 0 (0.0) | |
| m (%) | 0.22 | ||
| m0 | 25 (64.1) | 26 (66.7) | |
| m1 | 2 (5.1) | 0 (0.0) | |
| m1b | 2 (5.1) | 0 (0.0) | |
| mx | 10 (25.6) | 13 (33.3) | |
| n = nx (%) | 13 (33.3) | 14 (35.0) | 1 |
| t (%) | 0.4 | ||
| t2a | 3 (7.5) | 9 (22.5) | |
| t2b | 1 (2.5) | 1 (2.5) | |
| t3 | 1 (2.5) | 0 (0.0) | |
| t3a | 14 (35.0) | 11 (27.5) | |
| t3b | 1 (2.5) | 4 (10.0) | |
| t3c | 1 (2.5) | 0 (0.0) | |
| t4a | 11 (27.5) | 9 (22.5) | |
| t4b | 4 (10.0) | 5 (12.5) | |
| t4c | 1 (2.5) | 1 (2.5) | |
| t4d | 2 (5.0) | 0 (0.0) | |
| t4e | 1 (2.5) | 0 (0.0) | |
| histological_type (%) | 0.003 | ||
| EpithelioidCell | 10 (25.0) | 3 (7.5) | |
| SpindleCell | 8 (20.0) | 22 (55.0) | |
| SpindleCell|EpithelioidCell | 22 (55.0) | 15 (37.5) | |
| age_group = younger (%) | 17 (42.5) | 23 (57.5) | 0.264 |
| time (mean (SD)) | 11.83 (9.94) | 18.58 (17.40) | 0.036 |
| AGE => 60 (%) | 28 (70.0) | 19 (47.5) | 0.069 |
© 2020 by the authors. Licensee MDPI, Basel, Switzerland. This article is an open access article distributed under the terms and conditions of the Creative Commons Attribution (CC BY) license (http://creativecommons.org/licenses/by/4.0/).
Share and Cite
Wan, Q.; Sang, X.; Jin, L.; Wang, Z. Alternative Splicing Events as Indicators for the Prognosis of Uveal Melanoma. Genes 2020, 11, 227. https://doi.org/10.3390/genes11020227
Wan Q, Sang X, Jin L, Wang Z. Alternative Splicing Events as Indicators for the Prognosis of Uveal Melanoma. Genes. 2020; 11(2):227. https://doi.org/10.3390/genes11020227
Chicago/Turabian StyleWan, Qi, Xuan Sang, Lin Jin, and Zhichong Wang. 2020. "Alternative Splicing Events as Indicators for the Prognosis of Uveal Melanoma" Genes 11, no. 2: 227. https://doi.org/10.3390/genes11020227
APA StyleWan, Q., Sang, X., Jin, L., & Wang, Z. (2020). Alternative Splicing Events as Indicators for the Prognosis of Uveal Melanoma. Genes, 11(2), 227. https://doi.org/10.3390/genes11020227

