Exploring Optimal Tillage Improved Soil Characteristics and Productivity of Wheat Irrigated with Different Water Qualities
Abstract
1. Introduction
2. Materials and Methods
2.1. Experimental Design and Field Practices
2.2. Study Locations, Soil and Water Properties
2.3. Measurements
2.3.1. Soil Physical and Chemical Analysis
2.3.2. Wheat Yield, Phenology, Water Productivity and Root Weight Density
2.4. Statistical Analysis
3. Results
3.1. Suitable Moisture of Optimal and Wet Tillage in Soils Irrigated with Different Water Qualities
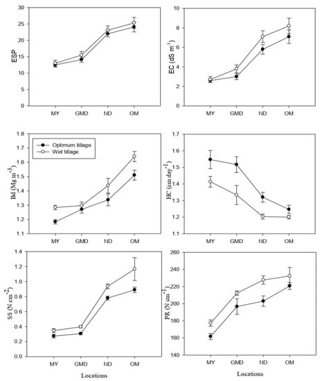
3.2. Effect of Wet and Optimal Tillage on Soil Chemical and Physical Characteristics Irrigated with Different Water Qualities
3.3. Growth and Yield Characteristics of Wheat Irrigated with Different Water Qualities
4. Discussion
5. Conclusion
Author Contributions
Funding
Acknowledgments
Conflicts of Interest
References
- Butcher, K.; Wick, A.F.; Desutter, T.; Chatterjee, A.; Harmon, J. Soil salinity: A threat to global food security. Agron. J. 2016, 108, 2189–2200. [Google Scholar] [CrossRef]
- Seleiman, M.F.; Kheir, A.M.S. Maize productivity, heavy metals uptake and their availability in contaminated clay and sandy alkaline soils as affected by inorganic and organic amendments. Chemosphere 2018, 204, 514–522. [Google Scholar] [CrossRef] [PubMed]
- Mohamed, N.N. Management of salt-affected soils in the Nile Delta. Nile Delta 2016, 55, 265–295. [Google Scholar] [CrossRef]
- Seleiman, M.F.; Kheir, A.M.S. Saline soil properties, quality and productivity of wheat grown with bagasse ash and thiourea in different climatic zones. Chemosphere 2018, 193, 538–546. [Google Scholar] [CrossRef] [PubMed]
- Coucheney, E.; Eckersten, H.; Hoffmann, H.; Jansson, P.E.; Gaiser, T.; Ewert, F.; Lewan, E. Key functional soil types explain data aggregation effects on simulated yield, soil carbon, drainage and nitrogen leaching at a regional scale. Geoderma 2018, 318, 167–181. [Google Scholar] [CrossRef]
- Dextera, A.R.; Bird, N.R.A. Methods for predicting the optimum and the range of soil water contents for tillage based on the water retention curve. Soil Tillage Res. 2001, 57, 302–312. [Google Scholar] [CrossRef]
- Atterberg, A. Über die physikalische Bodenuntersuchung und über die Plastizität der Tone [On the investigation of the physical properties of soils and on the plasticity of clays]. Internationale Mitteilungen für Bodenkunde 1911, 1, 10–43. [Google Scholar]
- Ajalloeian, R.; Mansouri, H.; Sadeghpour, A.H. Effect of saline water on geotechnical properties of fine-grained soil. Electron. J. Geotechn. Eng. 2013, 18, 1419–1435. [Google Scholar]
- Singh, A. Assessment of different strategies for managing the water resources problems of irrigated agriculture. Agric. Water Manag. 2018, 208, 187–192. [Google Scholar] [CrossRef]
- FAOSTAT. Wheat Sector Review-Egypt. Report 21; FAOSTAT: Rome, Italy, 2015. [Google Scholar]
- FAOSTAT. FAOSTAT Wheat Production Statistics. 2016. Available online: www.fao.org/faostat/en/#data/TP (accessed on 1 April 2019).
- Asseng, S.; Kheir, A.M.S.; Kassie, B.T.; Hoogenboom, G.; Abdelaal, A.I.N.; Haman, D.Z.; Ruane, A.C. Can Egypt become self-sufficient in wheat? Environ. Res. Lett. 2018, 13, 094012. [Google Scholar] [CrossRef]
- Meier, U. BBCH-Monograph: Growth Stages of Mono-and Dicotyledonous Plants, 2nd ed.; Federal Biological Research Centre for Agriculture and Forestry: Berlin, Germany, 2001. [Google Scholar]
- Ayers, R.S.; Westcot, D.W. Water Quality for Agriculture; FAO Irrigation and Drainage Paper 29; Food and Agriculture Organization of the United Nations: Rome, Italy, 1985; p. 174. [Google Scholar]
- Early, A.C. Irrigation Scheduling for Wheat in Punjab, Centasci Prog. Optimum Use of Water in Agriculture, Report 17, Layllpur, Pakistan, 1975; Volume 3–5, 115–127. [Google Scholar]
- Casagrande, A. Research on the Atterberg limits of soils. Public Roads 1932, 13, 121–130. [Google Scholar]
- Campbell, D.J. Liquid and plastic limits. In Soil and Environmental Analysis, Physical Methods; Smith, K.A., Mullins, C.E., Eds.; Dekker Inc.: New York, NY, USA, 2001; pp. 349–375. [Google Scholar]
- Cottenie, A.; Verloo, P.M.; Kiekens, L.; Velghe, G.; Camerlynck, R. Chemical Analysis of Plant and Soils; Lab Anal Agrochem, State Univ: Gent, Belgium, 1982. [Google Scholar]
- Burt, R. Soil Survey Laboratory Methods Manua; USDA—NRCS: Linoln, Nebraska, 2004. [Google Scholar]
- Nelson, D.W.; Sommers, L.E. Total carbon, organic carbon and organic matter. In Methods of Soil Analysis. Part 3. Chemical Methods; Spark, D.L., Page, A.L., Helmke, P.A., Loeppert, P.N., Soltanpour, P.N., Tabatabai, M.A., Johnson, C.T., Sumner, M.E., Eds.; ASA/SSSA: Madison, WI, USA, 1996; pp. 961–1010. [Google Scholar]
- Garcia, C. Soil Water Engineering Laboratory Manual; Department of Agricultural and Chemical Engineering, Colorado State University: Fort Collins, CO, USA, 1978. [Google Scholar]
- Klute, A. Methods of Soil Analysis. Part 1: Physical and Mineralogical Methods, 2nd ed.; ASA, SSSA, Inc, Publisher: Madison, WI, USA, 2002. [Google Scholar]
- Reynolds, W.D.; Elrick, D.E. Hydraulic Conductivity of Saturated Soils, Constant Head Method. In Methods of Soil Analyses, Part 4, Physical Methods; Book Series 5; Soil Science Society of America: Madison, WI, USA, 2002; pp. 694–700. [Google Scholar]
- Herrick, J.E.; Jones, T.L. A dynamic cone penetrometer for measuring soil penetration resistance. Soil Sci. Soc. Am. J. 2002, 66, 1320–1324. [Google Scholar] [CrossRef]
- ASTM. Sym.Van Shear Testing Soils; American Society for Testing Materials Spec Tech Publ: Philadelphia PA, USA, 1956; p. 193. [Google Scholar]
- Li, Q.Q.; Dong, B.D.; Qiao, Y.Z.; Liu, M.Y.; Zhang, J.W. Root growth, available soil water, and water-use efficiency of winter wheat under different irrigation regimes applied at different growth stages in North China. Agric. Water Manag. 2010, 97, 1676–1682. [Google Scholar] [CrossRef]
- Gregory, P.J. Root growth and activity. In Physiology and Determination of Crop Yield; Boote, K.J., Bennett, J.M., Sinclair, T.R., Paulsen, G.M., Eds.; American Society of Agronomy: Madison, WI, USA, 1994; pp. 65–93. [Google Scholar]
- Mahasneh, B.Z. Dead Sea water as a soil improvement agent. Electron. J. Geotech. Eng. 2004, 9. Available online: http://www.ejge.com/2004/Ppr0401/Ppr0401.htm (accessed on 1 April 2019).
- Mansour, Z.M.; Taha, M.R.; Chik, Z. Fresh-brine water effect on the basic engineering properties of lisan marl-Dead Sea- Jordan. J. Appl. Sci. 2008, 8, 3603–3611. [Google Scholar] [CrossRef]
- Gorakhki, M.R.H.; Bareither, C.A. Effects of Salinity on the Geotechnical Characterization of Fine-Grained Soils and Mine Tailings. Geotech. Test. J. 2016, 39, 1–14. [Google Scholar] [CrossRef]
- FAOSTAT. Water Quality for Agriculture. Irrigation and Drainage Paper 29; FAOSTAT: Rome, Italy, 1985. [Google Scholar]
- Hillel, D.; Braimoh, A.K.; Vlek, P.L.G. Soil degradation under irrigation. In Land Use and Soil Resources; Braimoh, A.K., Vlek, P.L.G., Eds.; Springer: Dordrecht, The Netherlands, 2008. [Google Scholar] [CrossRef]
- Maharjana, G.R.; Prescherb, A.; Nendel, C.; Ewerta, F.; Mboha, C.M.; Gaisera, T.; Seidel, S.J. Approaches to model the impact of tillage implements on soil physical and nutrient properties in different agro-ecosystem models. Soil Tillage Res. 2018, 180, 210–221. [Google Scholar] [CrossRef]
- Nayanaka, V.G.D.; Mapa, R.B. Use of atterberg limits for structure and tillage management of five great soil groups of Sri Lanka. In Proceedings of the Peradeniya Univ International Research Sessions, Balangoda, Sri Lanka, 4–5 July 2014; p. 430. [Google Scholar]
- Qiu, R.; Liu, C.; Wang, Z.; Yang, Z.; Jing, Y. Efects of irrigation water salinity on evapotranspiration modifed by leaching fractions in hot pepper plants. Sci. Rep. 2017, 7, 7231. [Google Scholar] [CrossRef][Green Version]
- Tripler, E.; Shani, U.; Mualem, Y.; Ben-Gal, A. Long-term growth, water consumption and yield of date palm as a function of salinity. Agric. Water Manag. 2011, 99, 128–134. [Google Scholar] [CrossRef]




| A | ||||||||
| Location | Sand | Silt | Clay | Texture | ||||
| MY | 15 | 32 | 53 | Clay | ||||
| GMD | 17 | 33 | 50 | Clay | ||||
| ND | 9.0 | 36 | 55 | Clay | ||||
| OD | 7.0 | 37 | 56 | Clay | ||||
| B | ||||||||
| Location | FC (%) | WP (%) | AW (%) | Bd (mg m−3) | HC (cm d−1) | SS (N cm−2) | PR (N cm−1) | |
| MY | 43 | 22 | 21 | 1.12 | 1.55 | 0.26 | 165 | |
| GMD | 44 | 22 | 22 | 1.25 | 1.56 | 0.29 | 190 | |
| ND | 40 | 20 | 20 | 1.35 | 1.29 | 0.65 | 205 | |
| OD | 38 | 18 | 20 | 1.55 | 1.25 | 0.78 | 226 | |
| C | ||||||||
| Location | Available N (mg kg−1) | Available P (mg kg−1) | Available K (mg kg−1) | OM (%) | EC (dS m−1) | ESP | pH | |
| MY | 68.5 | 11.5 | 255.5 | 1.5 | 2.5 | 12.7 | 7.8 | |
| GMD | 75.5 | 13.3 | 268.4 | 1.6 | 3.6 | 14.4 | 8.1 | |
| ND | 55.7 | 10.2 | 245.3 | 1.4 | 6.7 | 22.5 | 8.0 | |
| OD | 50.2 | 9.0 | 233.8 | 1.1 | 7.9 | 24.8 | 8.2 | |
| Treatments | Yield (kg ha−1) | Days after Sowing Till | Applied Irrigation Water (m3 ha−1) | Water Productivity (kg m−3) | Roots Weight (mg cm−3) at | ||||
|---|---|---|---|---|---|---|---|---|---|
| Grain | Biological | Heading | Maturity | Tillering | Heading | Maturity | |||
| Tillage (T) | |||||||||
| Optimal tillage | 6983.4 | 20950.2 | 99.8 | 154.1 | 4139.2 | 1.70 | 0.88 | 1.43 | 1.22 |
| Wet tillage | 5761.7 | 17285.2 | 96.0 | 147.4 | 3960.4 | 1.47 | 0.76 | 1.15 | 0.94 |
| S.E.M | 77.9 | 233.8 | 0.51 | 0.45 | 23.3 | 0.02 | 0.02 | 0.02 | 0.024 |
| Water Sources (WS) | |||||||||
| Fresh Water | 8121.0 | 24363.0 | 103.5 | 157.0 | 3789.2 | 2.14 | 1.02 | 1.63 | 1.30 |
| Waste Water | 6975.3 | 20926.0 | 100.5 | 152.3 | 4008.5 | 1.73 | 0.83 | 1.43 | 1.17 |
| Saline Water | 5920.6 | 17762.0 | 96.0 | 148.1 | 4130.4 | 1.42 | 0.76 | 1.15 | 0.99 |
| High SalineWater | 4473.3 | 13420.0 | 91.6 | 145.6 | 4271.1 | 1.04 | 0.67 | 0.95 | 0.87 |
| S.E.M | 110.2 | 330.7 | 0.72 | 0.6 | 32.9 | 0.03 | 0.02 | 0.038 | 0.03 |
| ANOVA | |||||||||
| T | ** | ** | ** | ** | ** | ** | ** | ** | ** |
| WS | ** | ** | ** | ** | ** | ** | ** | ** | ** |
| T × WS | NS | NS | NS | NS | NS | NS | NS | NS | * |
© 2019 by the authors. Licensee MDPI, Basel, Switzerland. This article is an open access article distributed under the terms and conditions of the Creative Commons Attribution (CC BY) license (http://creativecommons.org/licenses/by/4.0/).
Share and Cite
Seleiman, M.F.; Kheir, A.M.S.; Al-Dhumri, S.; Alghamdi, A.G.; Omar, E.-S.H.; Aboelsoud, H.M.; Abdella, K.A.; Abou El Hassan, W.H. Exploring Optimal Tillage Improved Soil Characteristics and Productivity of Wheat Irrigated with Different Water Qualities. Agronomy 2019, 9, 233. https://doi.org/10.3390/agronomy9050233
Seleiman MF, Kheir AMS, Al-Dhumri S, Alghamdi AG, Omar E-SH, Aboelsoud HM, Abdella KA, Abou El Hassan WH. Exploring Optimal Tillage Improved Soil Characteristics and Productivity of Wheat Irrigated with Different Water Qualities. Agronomy. 2019; 9(5):233. https://doi.org/10.3390/agronomy9050233
Chicago/Turabian StyleSeleiman, Mahmoud F., Ahmed M. S. Kheir, Sami Al-Dhumri, Abdulaziz G. Alghamdi, El-Said H. Omar, Hesham M. Aboelsoud, Kamel A. Abdella, and Waleed H. Abou El Hassan. 2019. "Exploring Optimal Tillage Improved Soil Characteristics and Productivity of Wheat Irrigated with Different Water Qualities" Agronomy 9, no. 5: 233. https://doi.org/10.3390/agronomy9050233
APA StyleSeleiman, M. F., Kheir, A. M. S., Al-Dhumri, S., Alghamdi, A. G., Omar, E.-S. H., Aboelsoud, H. M., Abdella, K. A., & Abou El Hassan, W. H. (2019). Exploring Optimal Tillage Improved Soil Characteristics and Productivity of Wheat Irrigated with Different Water Qualities. Agronomy, 9(5), 233. https://doi.org/10.3390/agronomy9050233

