Assessing Spatial and Temporal Variability for Some Edaphic Characteristics of Mediterranean Rainfed and Irrigated Soils
Abstract
:1. Introduction
2. Materials and Methods
2.1. Study Area and Sampling
2.2. Soils of the Study Area
2.2.1. Fluvisols
2.2.2. Luvisols
2.2.3. Calcisols
2.2.4. Cambisols
2.3. Analytical Methods
2.4. Statistical and Geostatistical Analyses
3. Results and Discussion
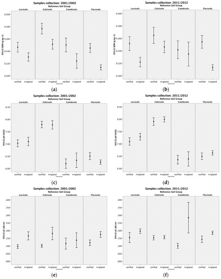
3.1. Soil Organic Matter
3.2. pH
3.3. Electrical Conductivity
3.4. Predictive Maps
4. Conclusions
Author Contributions
Funding
Acknowledgments
Conflicts of Interest
References
- Yaalon, D.H. Soils in the Mediterranean region: What makes them different? Catena 1997, 28, 157–169. [Google Scholar] [CrossRef]
- Foley, J.A.; DeFries, R.; Asner, G.P.; Barford, C.; Bonan, G.; Carpenter, S.R.; Chapin, F.S.; Coe, M.T.; Daily, G.C.; Gibbs, H.K.; et al. Global consequences of land use. Science 2005, 309, 570–574. [Google Scholar] [CrossRef] [PubMed]
- McCarl, B.; Fernandez, M.; Jones, J.; Wlodarz, M. Climate Change and Food Security. Curr. Hist. 2013, 112, 33. [Google Scholar]
- Herzig, A.; Dymond, J.; Ausseil, A.G. Exploring limits and trade-offs of irrigation and agricultural intensification in the Ruamahanga catchment, New Zealand. N. Z. J. Agric. Res. 2016, 59, 216–234. [Google Scholar] [CrossRef]
- Sojka, R.E.; Bjorneberg, D.L. JA irrigation: An historical perspective soil scientist, irrigation engineer, and soil microbiologist, Kimberly, Idaho; Marcel Dekker, Inc.: New York, NY, USA, 2002; pp. 745–749. [Google Scholar]
- Vengosh, A. Salinization and saline environments. In Treatise on Geochemistry; Elsevier Science: Amsterdam, The Netherlands, 2003; Volume 9, 612p. [Google Scholar]
- Aldakheel, Y.Y. Assessing NDVI spatial pattern as related to irrigation and soil salinity management in Al-Hassa Oasis, Saudi Arabia. J. Indian Soc. Remote Sens. 2011, 39, 171–180. [Google Scholar] [CrossRef]
- Wolschick, N.H.; Barbosa, F.T.; Bertol, I.; Bagio, B.; Kaufmann, D.S. Long-Term Effect of Soil Use and Management on Organic Carbon and Aggregate Stability. Revista Brasileira de Ciência Do Solo 2018, 42. [Google Scholar] [CrossRef]
- Siebert, S.F. Traditional agriculture and the conservation of biological diversity in Crete, Greece. Int. J. Agric. Sustain. 2004, 2, 109–117. [Google Scholar] [CrossRef]
- Calvo-Polanco, M.; Sánchez-Romera, B.; Aroca, R. Mild salt stress conditions induce different responses in root hydraulic conductivity of Phaseolus vulgaris over-time. PLoS ONE 2014, 9, e90631. [Google Scholar] [CrossRef] [PubMed]
- Shrivastava, P.; Kumar, R. Soil salinity: A serious environmental issue and plant growth promoting bacteria as one of the tools for its alleviation. Saudi J. Biol. Sci. 2015, 22, 123–131. [Google Scholar] [CrossRef] [PubMed]
- Loures, L.; Gama, J.; Nunes, J.R.; Lopez-Piñeiro, A. Assessing the Sodium Exchange Capacity in Rainfed and Irrigated Soils in the Mediterranean Basin Using GIS. Sustainability 2017, 9, 405. [Google Scholar] [CrossRef]
- Jaremko, D.; Kalembasa, D. A comparison of methods for the determination of cation exchange capacity of soils/Porównanie metod oznaczania pojemności wymiany kationów i sumy kationów wymiennych w glebach. Ecol. Chem. Eng. S 2014, 21, 487–498. [Google Scholar] [CrossRef]
- Magdoff, F.R.; Bartlett, R.J. Soil pH buffering revisited. Soil Sci. Soc. Am. J. 1985, 49, 145–148. [Google Scholar] [CrossRef]
- Nunes, J.M.; López-Piñeiro, A.; Albarrán, A.; Muñoz, A.; Coelho, J. Changes in selected soil properties caused by 30 years of continuous irrigation under Mediterranean conditions. Geoderma 2007, 139, 321–328. [Google Scholar] [CrossRef]
- de Andrade Bonetti, J.; Anghinoni, I.; de Moraes, M.T.; Fink, J.R. Resilience of soils with different texture, mineralogy and organic matter under long-term conservation systems. Soil Tillage Res. 2017, 174, 104–112. [Google Scholar] [CrossRef]
- Sollins, P.; Gregg, J.W. Soil organic matter accumulation in relation to changing soil volume, mass, and structure: Concepts and calculations. Geoderma 2017, 301, 60–71. [Google Scholar] [CrossRef]
- Francaviglia, R.; Ledda, L.; Farina, R. Organic Carbon and Ecosystem Services in Agricultural Soils of the Mediterranean Basin. In Sustainable Agriculture Reviews; Gaba, S., Smith, B., Lichtfouse, E., Eds.; Springer International Publishing: Cham, Switzerland, 2018; Volume 28, pp. 183–210. [Google Scholar]
- Bedbabis, S.; Rouina, B.B.; Boukhris, M.; Ferrara, G. Effect of irrigation with treated wastewater on soil chemical properties and infiltration rate. J. Environ. Manag. 2014, 133, 45–50. [Google Scholar] [CrossRef] [PubMed]
- Pardini, G.; Gispert, M.; Dunjo, G. Runoff erosion and nutrient depletion in five Mediterranean soils of NE Spain under different land use. Sci. Total Environ. 2003, 309, 213–224. [Google Scholar] [CrossRef]
- Evrendilek, F.; Celik, I.; Kilic, S. Changes in soil organic carbon and other physical soil properties along adjacent Mediterranean forest, grassland, and cropland ecosystems in Turkey. J. Arid Environ. 2004, 59, 743–752. [Google Scholar] [CrossRef]
- Celik, I. Land-use effects on organic matter and physical properties of soil in a southern Mediterranean highland of Turkey. Soil Tillage Res. 2005, 83, 270–277. [Google Scholar] [CrossRef]
- Singh, B. Are Nitrogen Fertilizers Deleterious to Soil Health? Agronomy 2018, 8, 48. [Google Scholar] [CrossRef]
- Pilatti, R.; Buyatti, M. El agua de riego bicarbonatada y su efecto sobre el cultivo de pimiento. FAVE 1997, 11, 28–34. [Google Scholar] [CrossRef]
- Nunes, J. Los Suelos del Perímetro Regable del Caia (Portugal): Tipos, Fertilidade, e Impacto del Riego en sus Propriedades Químicas. Doctoral Thesis, Faculdad de Ciencias, Universidad de Extremadura, Badajoz, Spain, 2003. [Google Scholar]
- Zamora, F.; Rodríguez, N.; Torres, D.; Yendis, H. Efecto del riego con aguas residuales sobre propiedades químicas de suelos de la planicie de Coro, Estado Falcón. Bioagro 2008, 20, 193–199. [Google Scholar]
- Mancino, C.F.; Pepper, I.L. Irrigation of turfgrass with secondary sewage effluent: Soil quality. Agron. J. 1992, 84, 650–654. [Google Scholar] [CrossRef]
- Rusan, M.J.M.; Hinnawi, S.; Rousan, L. Long term effect of wastewater irrigation of forage crops on soil and plant quality parameters. Desalination 2007, 215, 143–152. [Google Scholar] [CrossRef]
- dos Reis, E.F.; Maia, L.R.; Araujo, G.L.; Garcia, G.O.; Passo, R.R. Alterações no ph, matéria orgânica e ctc efetiva do solo, mediante a aplicação elevadas doses de lodo de esgoto em diferentes intervalos de irrigação. Revista Verde de Agroecologia e Desenvolvimento Sustentável 2009, 4, 31–38. [Google Scholar]
- Ayoub, S.; Al-Shdiefat, S.; Rawashdeh, H.; Bashabsheh, I. Utilization of reclaimed wastewater for olive irrigation: Effect on soil properties, tree growth, yield and oil content. Agric. Water Manag. 2016, 176, 163–169. [Google Scholar] [CrossRef]
- Franzluebbers, A.J.; Hons, F.M. Soil-profile distribution of primary and secondary plant-available nutrients under conventional and no tillage. Soil Tillage Res. 1996, 39, 229–239. [Google Scholar] [CrossRef]
- Muñoz, A.; López-Piñeiro, A.; Ramírez, M. Soil quality attributes of conservation management regimes in a semi-arid region of south western Spain. Soil Tillage Res. 2007, 95, 255–265. [Google Scholar] [CrossRef]
- López-Piñeiro, A.; Sánchez-Llerena, J.; Peña, D.; Albarrán, Á.; Ramírez, M. Transition from flooding to sprinkler irrigation in Mediterranean rice growing ecosystems: Effect on behaviour of bispyribac sodium. Agric. Ecosyst. Environ. 2016, 223, 99–107. [Google Scholar] [CrossRef]
- Sanchez-Llerena, J.; Lopez-Pineiro, A.; Albarran, A.; Peña, D.; Becerra, D.; Rato-Nunes, J.M. Short and long-term effects of different irrigation and tillage systems on soil properties and rice productivity under Mediterranean conditions. Eur. J. Agron. 2016, 77, 101–110. [Google Scholar] [CrossRef]
- Thomas, G.W. Soil pH and soil acidity. In Methods of Soil Analysis Part 3—Chemical Methods, (methodsofsoilan3); American Society of Agronomy: Madison, WI, USA, 1996; pp. 475–490. [Google Scholar]
- Ramírez, M.; López-Piñeiro, A.; Peña, D.; Rato Nunes, J.; Albarrán, Á.; Muñoz, A.; Gama, J.; Loures, L. Seasonal and interannual fluctuation of the microbial soil community in a maize field under long-term conservation agriculture management. Sustainability 2017, 9, 778. [Google Scholar] [CrossRef]
- FAO. World Reference Base for Soil Resources 2014: International Soil Classification System for Naming Soils and Creating Legends for Soil Maps; FAO: Rome, Italy, 2014. [Google Scholar]
- Zdruli, P.; Kapur, S.; Çelik, I. Soils of the Mediterranean Region, Their Characteristics, Management and Sustainable Use. In Sustainable Land Management; Kapur, S., Eswaran, H., Blum, W.E.H., Eds.; Springer: Berlin/Heidelberg, Germany, 2010; pp. 125–142. [Google Scholar]
- FAO. Guidelines for Soil Profile Description, 3rd rev. ed.; Soil Resources Management and Conservation Service, Land and Water Development Division, FAO: Rome, Italy, 1990. [Google Scholar]
- Munsell Soil Color Charts. Mcbeth Division of Kollmorgen Instruments Corporation Eds. In Agriculture Handbook 18—Soil Servey Manual; United States Department of State: Washington, DC, USA, 1994. [Google Scholar]
- ISRIC. Fluvisols Characterization. 24 May 2018. Available online: https://www.isric.org/sites/default/files/major_soils_of_the_world/set4/fl/fluvisol.pdf (accessed on 22 February 2019).
- ISRIC. Luvisols Characterization. 24 May 2018. Available online: https://www.isric.org/sites/default/files/major_soils_of_the_world/set9/lv/luvisol.pdf (accessed on 22 February 2019).
- ISRIC. Calcisols Characterization. 24 May 2018. Available online: https://www.isric.org/sites/default/files/major_soils_of_the_world/set7/cl/calcisol.pdf (accessed on 22 February 2019).
- ISRIC. Cambisols Characterization. 24 May 2018. Available online: https://www.isric.org/sites/default/files/major_soils_of_the_world/set5/cm/cambisol.pdf (accessed on 22 February 2019).
- Nelson, D.W.; Sommers, L. Total carbon, organic carbon, and organic matter. In Methods of Soil Analysis. Part 2. Chemical and Microbiological Properties, (methodsofsoilan2); American Society of Agronomy: Madison, WI, USA, 1982; pp. 539–579. [Google Scholar]
- Nelson, D.W.; Sommers, L.E. Total carbon, organic carbon, and organic matter. In Methods of Soil Analysis Part 3—Chemical Methods, (methodsofsoilan3); American Society of Agronomy: Madison, WI, USA, 1996; pp. 96–1010. [Google Scholar]
- Buurman, P.; Van Lagen, B.; Velthorst, E.J. Manual for Soil and Water Analysis; Backhuys: Kerkwerve, The Netherlands, 1996; p. 314. [Google Scholar]
- Rhoades, J.D. Cation exchange capacity. In Methods of Soil Analysis. Part 2. Chemical and Microbiological Properties, (methodsofsoilan2); American Society of Agronomy: Madison, WI, USA, 1982; pp. 149–157. [Google Scholar]
- Shapiro, S.S.; Wilk, M.B. An analysis of variance test for normality (complete samples). Biometrika 1965, 52, 591–611. [Google Scholar] [CrossRef]
- Razali, N.M.; Wah, Y.B. Power comparisons of shapiro-wilk, kolmogorov-smirnov, lilliefors and anderson-darling tests. J. Stat. Model. Anal. 2011, 2, 21–33. [Google Scholar]
- Cramer, D. Fundamental Statistics for Social Research: Step-by-Step Calculations and Computer Techniques Using SPSS for Windows; Psychology Press: London, UK, 1998. [Google Scholar]
- Cramer, D.; Howitt, D.L. The Sage Dictionary of Statistics: A Practical Resource for Students in the Social Sciences; Sage: Thousand Oaks, CA, USA, 2004. [Google Scholar]
- Doane, D.P.; Seward, L.E. Measuring skewness: A forgotten statistic. J. Stat. Educ. 2011, 19, 1–18. [Google Scholar] [CrossRef]
- Nordstokke, D.W.; Zumbo, B.D. A new nonparametric Levene test for equal variances. Psicol. Int. J. Methodol. Exp. Psychol. 2010, 31, 401–430. [Google Scholar]
- Nordstokke, D.W.; Zumbo, B.D.; Cairns, S.L.; Saklofske, D.H. The operating characteristics of the nonparametric Levene test for equal variances with assessment and evaluation data. Pract. Assess. Res. Eval. 2011, 16, 1–8. [Google Scholar]
- Behera, S.K.; Shukla, A.K. Spatial Distribution of Surface Soil Acidity, Electrical Conductivity, Soil Organic Carbon Content and Exchangeable Potassium, Calcium and Magnesium in Some Cropped Acid Soils of India. Land Degrad. Dev. 2015, 26, 71–79. [Google Scholar] [CrossRef]
- Esri. ArcMap | ArcGIS Desktop. July 2018. Available online: http://desktop.arcgis.com/en/arcmap/ (accessed on 23 February 2019).
- Condron, L.M.; Hopkins, D.W.; Gregorich, E.G.; Black, A.; Wakelin, S.A. Long-term irrigation effects on soil organic matter under temperate grazed pasture. Eur. J. Soil Sci. 2014, 65, 741–750. [Google Scholar] [CrossRef]
- Laudicina, V.A.; Novara, A.; Barbera, V.; Egli, M.; Badalucco, L. Long-term Tillage and Cropping System Effects on Chemical and Biochemical Characteristics of Soil Organic Matter in a Mediterranean Semiarid Environment. Land Degrad. Dev. 2015, 26, 45–53. [Google Scholar] [CrossRef]
- Mudge, P.L.; Kelliher, F.M.; Knight, T.L.; O’connell, D.; Fraser, S.; Schipper, L.A. Irrigating grazed pasture decreases soil carbon and nitrogen stocks. Glob. Chang. Biol. 2017, 23, 945–954. [Google Scholar] [CrossRef]
- Nunes, J.M.; López-Piñeiro, A.; Coelho, J.P.; Dias, S.; Silva, C.; Trigueros, J.P.; Muñoz, A. Efeito da prática continuada do regadio sobre o complexo de troca do solo. Revista de Ciências Agrárias 2009, 32, 370–383. [Google Scholar]
- Heitkamp, F.; Raupp, J.; Ludwig, B. Impact of fertilizer type and rate on carbon and nitrogen pools in a sandy Cambisol. Plant Soil 2009, 319, 259–275. [Google Scholar] [CrossRef]
- Teixeira, R.F.M.; Domingos, T.; Costa, A.P.S.V.; Oliveira, R.; Farropas, L.; Calouro, F.; Barradas, A.M.; Carneiro, J.P.B.G. Soil organic matter dynamics in Portuguese natural and sown rainfed grasslands. Ecol. Model. 2011, 222, 993–1001. [Google Scholar] [CrossRef]
- Francaviglia, R.; Di Bene, C.; Farina, R.; Salvati, L. Soil organic carbon sequestration and tillage systems in the Mediterranean Basin: A data mining approach. Nutr. Cycl. Agroecosyst. 2017, 107, 125–137. [Google Scholar] [CrossRef]
- Weil, R.R.; Brady, N.C. The Nature and Properties of Soils (Fifteenth Edition, Global Edition); Pearson Prentice Hall: Harlow, UK; London, UK; New York, NY, USA, 2017. [Google Scholar]
- Solomon, D.; Lehmann, J.; Zech, W. Land use effects on soil organic matter properties of chromic luvisols in semi-arid northern Tanzania: Carbon, nitrogen, lignin and carbohydrates. Agric. Ecosyst. Environ. 2000, 78, 203–213. [Google Scholar] [CrossRef]
- Saggar, S. Cultivation effects on soil biological properties, microfauna and organic matter dynamics in Eutric Gleysol and Gleyic Luvisol soils in New Zealand. Soil Tillage Res. 2001, 58, 55–68. [Google Scholar] [CrossRef]
- Giorgi, F.; Lionello, P. Climate change projections for the Mediterranean region. Glob. Planet. Chang. 2008, 63, 90–104. [Google Scholar] [CrossRef]
- Altava-Ortiz, V.; Llasat, M.C.; Ferrari, E.; Atencia, A.; Sirangelo, B. Monthly rainfall changes in Central and Western Mediterranean basins, at the end of the 20th and beginning of the 21st centuries. Int. J. Climatol. 2011, 31, 1943–1958. [Google Scholar] [CrossRef]
- Mariotti, A.; Pan, Y.; Zeng, N.; Alessandri, A. Climate change projections for the Mediterranean region. AGU Fall Meeting Abstracts, San Francisco, CA, USA, 3–7 December 2012. [Google Scholar]
- Vozinaki, A.E.; Tapoglou, E.; Tsanis, I.K. Hydrometeorological impact of climate change in two Mediterranean basins. Int. J. River Basin Manag. 2018, 16, 245–257. [Google Scholar] [CrossRef]
- Verheye, W.; de la Rosa, D. Mediterranean soils. In Land Use and Land Cover, from Encyclopedia of Life Support Systems (EOLSS), Developed under the Auspices of the UNESCO; Eolss Publishers: Oxford, UK, 2005. Available online: http://www.eolss.net (accessed on 21 December 2005).
- Corwin, D.L.; Lesch, S.M. Application of soil electrical conductivity to precision agriculture. Agron. J. 2003, 95, 455–471. [Google Scholar] [CrossRef]
- Güler, M.; Arslan, H.; Cemek, B.; Erşahin, S. Long-term changes in spatial variation of soil electrical conductivity and exchangeable sodium percentage in irrigated mesic Ustifluvents. Agric. Water Manag. 2014, 135, 1–8. [Google Scholar] [CrossRef]
- Giannakopoulos, C.; Le Sager, P.; Bindi, M.; Moriondo, M.; Kostopoulou, E.; Goodess, C.M. Climatic changes and associated impacts in the Mediterranean resulting from a 2 °C global warming. Glob. Planet. Chang. 2009, 68, 209–224. [Google Scholar] [CrossRef]
- Falkiner, R.A.; Smith, C.J. Changes in soil chemistry in efluent-irrigated Pinus radiata and Eucalyptus grandis plantations. Soil Res. 1997, 35, 131–148. [Google Scholar] [CrossRef]
- Kiriiwa, Y.; Ozawa, K.; Yokota, H.; Zaitsu, Y.; Miyoshi, H.; Oishi, A. Effect of irrigation water quality on salt accumulation in soil and mineral contents of alfalfa in the United Arab Emirates. Jpn. J. Soil Sci. Plant Nutr. 1998, 69, 348–354. [Google Scholar]
- Fitzpatrick, R.W.; Boucher, S.C.; Naidu, R.; Fritsch, E. Environmental consequences of soil sodicity. Soil Res. 1994, 32, 1069–1093. [Google Scholar] [CrossRef]
- Roncagliolo, M. Efecto de dos Sistemas de riego Presurizado, goteo y Microchorro, Sobre el Lavado de Sales, Crecimiento Vegetativo y Reproductivo del palto (Persea Americana Mill) cv. Hass, en la zona de Mallarauco; Taller de Licenciatura Agr. Quillota, Universidad Católica de Valparaíso, Facultad de Agronomía: Quillota, Chile, 2001. [Google Scholar]
- Manitoba Agriculture, Food and Rural Initiatives; Soil Management Guide; 2008. Available online: https://www.gov.mb.ca/agriculture/environment/soil-management/soil-management-guide/pubs/soil-management-guide.pdf (accessed on 11 March 2019).





| pH | SOM | EC | C/N | CaCO3 | Sand | Silt | Clay | Ca | Mg | K | Na | CEC | BSP | ||
|---|---|---|---|---|---|---|---|---|---|---|---|---|---|---|---|
| Depth | (water) | (g kg−1) | (dS m−1) | (%) | (%) | (cmol(+) Kg−1) | |||||||||
| Fluvisols | 0–20 | 5.78 | 0.118 | 0.208 | 7.86 | 0.00 | 72 | 13 | 15 | 4.48 | 1.60 | 0.21 | 0.49 | 10.92 | 59.7 |
| 20–40 | 6.26 | 0.102 | 0.06 | 6.34 | 0.00 | 76 | 11 | 13 | 2.24 | 0.84 | 0.06 | 0.50 | 7.46 | 48.6 | |
| 40–90 | 6.93 | 0.041 | 0.087 | 7.26 | 0.26 | 75 | 8 | 17 | 2.63 | 1.31 | 0.05 | 0.50 | 8.15 | 54.3 | |
| >90 | 7.41 | 0.023 | 0.086 | 3.46 | 0.77 | 62 | 9 | 29 | 3.83 | 1.24 | 0.12 | 0.57 | 9.59 | 59.8 | |
| Luvisols | 0–20 | 6.80 | 0.159 | 0.05 | 10.93 | 0.57 | 70 | 12 | 18 | 6.41 | 3.00 | 0.20 | 0.40 | 14.33 | 68.76 |
| 20–40 | 6.69 | 0.093 | 0.03 | 9.16 | 0.43 | 67 | 12 | 21 | 7.04 | 3.00 | 0.07 | 0.71 | 15.54 | 66.16 | |
| 40–70 | 7.07 | 0.059 | 0.05 | 7.26 | 0.49 | 60 | 14 | 26 | 7.9 | 4.20 | 0.08 | 0.60 | 16.24 | 74.71 | |
| 70–110 | 7.6 | 0.033 | 0.04 | 6.07 | 0.62 | 67 | 12 | 21 | 7.67 | 4.81 | 0.10 | 0.53 | 15.35 | 69.00 | |
| >110 | 7.61 | 0.024 | 0.05 | 2.69 | 0.91 | 70 | 13 | 17 | 6.81 | 4.51 | 0.05 | 0.38 | 13.67 | 82.26 | |
| Calcisols | 0–20 | 7.44 | 0.204 | 0.170 | 6.94 | 15.14 | 50 | 21 | 29 | 11.68 | 1.18 | 0.57 | 0.34 | 14.82 | 73.14 |
| 20–50 | 7.74 | 0.120 | 0.122 | 7.21 | 15.04 | 54 | 20 | 26 | 12.90 | 1.45 | 0.45 | 0.40 | 14.82 | 78.15 | |
| >50 | 8.15 | 0.036 | 0.112 | 8.53 | 24.58 | 66 | 18 | 16 | 10.76 | 1.28 | 0.10 | 0.45 | 10.32 | 78.90 | |
| Cambisols | 0–20 | 6.03 | 0.133 | 0.195 | 11.83 | 0.20 | 71 | 13 | 16 | 5.83 | 2.25 | 0.08 | 0.47 | 11.98 | 68.7 |
| 20–40 | 6.57 | 0.070 | 0.093 | 8.70 | 0.13 | 71 | 12 | 17 | 4.4 | 2.18 | 0.08 | 1.31 | 9.86 | 70.3 | |
| >40 | 8.38 | 0.030 | 0.295 | 7.33 | 2.05 | 71 | 11 | 18 | 4.03 | 4.20 | 0.08 | 3.81 | 12.82 | 78.5 | |
| Parameter | Year | RSG | CS | Mean | N | Test | p | |
|---|---|---|---|---|---|---|---|---|
| (a) | SOM (g kg−1) | 2001/2002 | n.a. | all | 0.134 | 1276 | U: 776,612.500 | 0.019 |
| 2011/2012 | 0.131 | 1286 | ||||||
| pH (water) | 2001/2002 | 6.8 | 1276 | U: 734,670.000 | 0.000 | |||
| 2011/2012 | 7.0 | 1285 | ||||||
| EC (dS m−1) | 2001/2002 | 0.118 | 1276 | U: 552,106.000 | 0.000 | |||
| 2011/2012 | 0.154 | 1285 | ||||||
| (b) | SOM (g kg−1) | 2011/2012 | n.a. | rainfed | 0.150 | 499 | U: 136,561.000 | 0.000 |
| irrigated | 0.120 | 787 | ||||||
| pH (water) | rainfed | 6.93 | 499 | T (1283): −1.217 | 0.224 | |||
| irrigated | 7.00 | 786 | ||||||
| EC (dS m−1) | rainfed | 0.124 | 499 | U: 131,754.000 | 0.000 | |||
| irrigated | 0.174 | 786 | ||||||
| (c) | SOM (g kg−1) | 2011/2012 | Fluvisols | rainfed | 0.148 | 221 | U: 26,038.500 | 0.000 |
| irrigated | 0.111 | 196 | ||||||
| Luvisols | rainfed | 0.152 | 191 | T (332): 4.465 | 0.000 | |||
| irrigated | 0.122 | 189 | ||||||
| Calcisols | rainfed | 0.165 | 99 | T (229): 2.382 | 0.000 | |||
| irrigated | 0.146 | 132 | ||||||
| Cambisols | rainfed | 0.142 | 59 | T (93): 0.589 | 0.557 | |||
| irrigated | 0.135 | 36 | ||||||
| pH (water) | 2011/2012 | Fluvisols | rainfed | 6.50 | 196 | T (624): −1.654 | 0.099 | |
| irrigated | 6.63 | 430 | ||||||
| Luvisols | rainfed | 7.10 | 145 | T (332): −1.871 | 0.062 | |||
| irrigated | 7.29 | 189 | ||||||
| Calcisols | rainfed | 7.97 | 99 | U: 6193.000 | 0.560 | |||
| irrigated | 8.06 | 131 | ||||||
| Cambisols | rainfed | 6.36 | 59 | T (93): −0.185 | 0.854 | |||
| irrigated | 6.39 | 36 | ||||||
| EC (dS m−1) | 2011/2012 | Fluvisols | rainfed | 0.143 | 196 | T (624): −3.805 | 0.000 | |
| irrigated | 0.185 | 430 | ||||||
| Luvisols | rainfed | 0.154 | 145 | T (332): −2.445 | 0.015 | |||
| irrigated | 0.195 | 189 | ||||||
| Calcisols | rainfed | 0.153 | 99 | T (228): −0.386 | 0.700 | |||
| irrigated | 0.157 | 131 | ||||||
| Cambisols | rainfed | 0.095 | 59 | U: 462.000 | 0.000 | |||
| irrigated | 0.263 | 36 |
| Parameter | RSG | Year | Rainfed | Irrigated | |||||||
|---|---|---|---|---|---|---|---|---|---|---|---|
| Mean | N | Test | p | Mean | N | Test | p | ||||
| (a) | SOM (g kg−1) | n.a. | 2001/2002 | 0.150 | 607 | U: 149,224.000 | 0.674 | 0.121 | 669 | U: 254,066.000 | 0.250 |
| 2011/2012 | 0.150 | 499 | 0.120 | 787 | |||||||
| pH (water) | 2001/2002 | 6.96 | 620 | U: 157,962.000 | 0.846 | 6.66 | 675 | T (1457): −6.115 | 0.000 | ||
| 2011/2012 | 6.93 | 513 | 7.00 | 784 | |||||||
| EC (dS m−1) | 2001/2002 | 0.108 | 619 | T (933.472): −4.471 | 0.000 | 0.144 | 675 | U: 195,618.000 | 0.000 | ||
| 2011/2012 | 0.143 | 513 | 0.173 | 784 | |||||||
| (b) | SOM (g kg−1) | Fluvisols | 2001/2002 | 0.145 | 222 | U: 20,595.000 | 0.265 | 0.114 | 222 | T (821): 0.130 | 0.897 |
| 2011/2012 | 0.155 | 198 | 0.114 | 198 | |||||||
| Luvisols | 2001/2002 | 0.147 | 194 | U: 13,755.000 | 0.284 | 0.131 | 160 | U: 12,697.000 | 0.012 | ||
| 2011/2012 | 0.151 | 152 | 0.122 | 188 | |||||||
| Calcisols | 2001/2002 | 0.176 | 143 | U: 6109.000 | 0.091 | 0.151 | 85 | U: 5270.000 | 0.567 | ||
| 2011/2012 | 0.167 | 98 | 0.147 | 130 | |||||||
| Cambisols | 2001/2002 | 0.155 | 61 | T (123): 1.461 | 0.146 | 0.124 | 36 | T (70): −0.968 | 0.897 | ||
| 2011/2012 | 0.142 | 64 | 0.135 | 36 | |||||||
| pH (water) | Fluvisols | 2001/2002 | 6.50 | 221 | T (415): 0.092 | 0.927 | 6.22 | 390 | U: 63,231.500 | 0.000 | |
| 2011/2012 | 6.49 | 196 | 6.64 | 430 | |||||||
| Luvisols | 2001/2002 | 7.03 | 191 | T (334): −0.628 | 0.530 | 7.13 | 158 | U: 13,636.000 | 0.164 | ||
| 2011/2012 | 7.10 | 145 | 7.32 | 189 | |||||||
| Calcisols | 2001/2002 | 7.79 | 142 | T (239): −1.097 | 0.274 | 7.83 | 85 | U: 4672.500 | 0.046 | ||
| 2011/2012 | 7.90 | 99 | 8.07 | 131 | |||||||
| Cambisols | 2001/2002 | 6.20 | 53 | T (110): −1.214 | 0.227 | 6.33 | 36 | T (70): −0.252 | 0.801 | ||
| 2011/2012 | 6.36 | 59 | 6.39 | 36 | |||||||
| EC (dS m−1) | Fluvisols | 2001/2002 | 0.099 | 221 | U: 16,889.500 | 0.000 | 0.149 | 390 | U: 64,190.500 | 0.000 | |
| 2011/2012 | 0.120 | 196 | 0.173 | 430 | |||||||
| Luvisols | 2001/2002 | 0.083 | 191 | U: 6449.500 | 0.000 | 0.140 | 158 | U: 9895.000 | 0.000 | ||
| 2011/2012 | 0.129 | 145 | 0.185 | 189 | |||||||
| Calcisols | 2001/2002 | 0.095 | 142 | U: 2,587.000 | 0.000 | 0.149 | 85 | U: 4642.000 | 0.032 | ||
| 2011/2012 | 0.145 | 99 | 0.151 | 132 | |||||||
| Cambisols | 2001/2002 | 0.096 | 53 | U: 1364.500 | 0.246 | 0.114 | 36 | U: 364.000 | 0.001 | ||
| 2011/2012 | 0.094 | 59 | 0.245 | 36 | |||||||
| Parameter | Range | 2001/2002 | 2011/2012 | ||
|---|---|---|---|---|---|
| Area (ha) | % | Area (ha) | % | ||
| SOM (g kg−1) | <0.100 | 1614.4 | 10.7 | 2499.0 | 16.6 |
| 0.100–0.125 | 15,371.3 | 35.6 | 4143.8 | 27.6 | |
| 0.125–0.150 | 4002.5 | 26.6 | 3769.7 | 25.1 | |
| 0.150–0.175 | 2229.6 | 14.8 | 2507.4 | 16.7 | |
| >0.175 | 1852.2 | 12.3 | 2106.2 | 14.0 | |
| pH (water) | <5.5 | 284.7 | 1.9 | 233.1 | 1.5 |
| 5.5–6.0 | 2981.4 | 19.8 | 1217.9 | 8.1 | |
| 6.0–6.5 | 3559.1 | 23.6 | 3696.9 | 24.6 | |
| 6.5–7.0 | 2912.8 | 19.4 | 3110.8 | 20.7 | |
| 7.0–7.5 | 1846.5 | 12.3 | 2425.9 | 16.1 | |
| 7.5–8.0 | 1768.7 | 11.8 | 1847.2 | 12.3 | |
| >8.0 | 1682.0 | 11.2 | 2503.4 | 16.7 | |
| EC (dS m−1) | 0.15 | 13,779.3 | 91.7 | 2721.2 | 18.1 |
| 0.15–0.30 | 1206.5 | 8.0 | 10,184.1 | 67.8 | |
| 0.30–0.45 | 40.0 | 0.3 | 1959.6 | 13.0 | |
| 0.45–0.60 | 0.0 | 0.0 | 144.2 | 1.0 | |
| >0.60 | 0.0 | 0.0 | 17.3 | 0.1 | |
© 2019 by the authors. Licensee MDPI, Basel, Switzerland. This article is an open access article distributed under the terms and conditions of the Creative Commons Attribution (CC BY) license (http://creativecommons.org/licenses/by/4.0/).
Share and Cite
Telo da Gama, J.; Rato Nunes, J.; Loures, L.; Lopez Piñeiro, A.; Vivas, P. Assessing Spatial and Temporal Variability for Some Edaphic Characteristics of Mediterranean Rainfed and Irrigated Soils. Agronomy 2019, 9, 132. https://doi.org/10.3390/agronomy9030132
Telo da Gama J, Rato Nunes J, Loures L, Lopez Piñeiro A, Vivas P. Assessing Spatial and Temporal Variability for Some Edaphic Characteristics of Mediterranean Rainfed and Irrigated Soils. Agronomy. 2019; 9(3):132. https://doi.org/10.3390/agronomy9030132
Chicago/Turabian StyleTelo da Gama, José, José Rato Nunes, Luís Loures, António Lopez Piñeiro, and Paulo Vivas. 2019. "Assessing Spatial and Temporal Variability for Some Edaphic Characteristics of Mediterranean Rainfed and Irrigated Soils" Agronomy 9, no. 3: 132. https://doi.org/10.3390/agronomy9030132
APA StyleTelo da Gama, J., Rato Nunes, J., Loures, L., Lopez Piñeiro, A., & Vivas, P. (2019). Assessing Spatial and Temporal Variability for Some Edaphic Characteristics of Mediterranean Rainfed and Irrigated Soils. Agronomy, 9(3), 132. https://doi.org/10.3390/agronomy9030132

