Quantification of Cultivar Change in Double Rice Regions under a Warming Climate during 1981–2009 in China
Abstract
1. Introduction
2. Materials and Methods
2.1. Study Sites
2.2. Climate and Crop Data
2.3. Crop Modeling
2.4. Data Analysis
3. Results and Discussion
3.1. Climate Changes during Different Rice Growth Stages
3.2. Model Calibration and Validation
3.3. Changes in Rice Cultivars
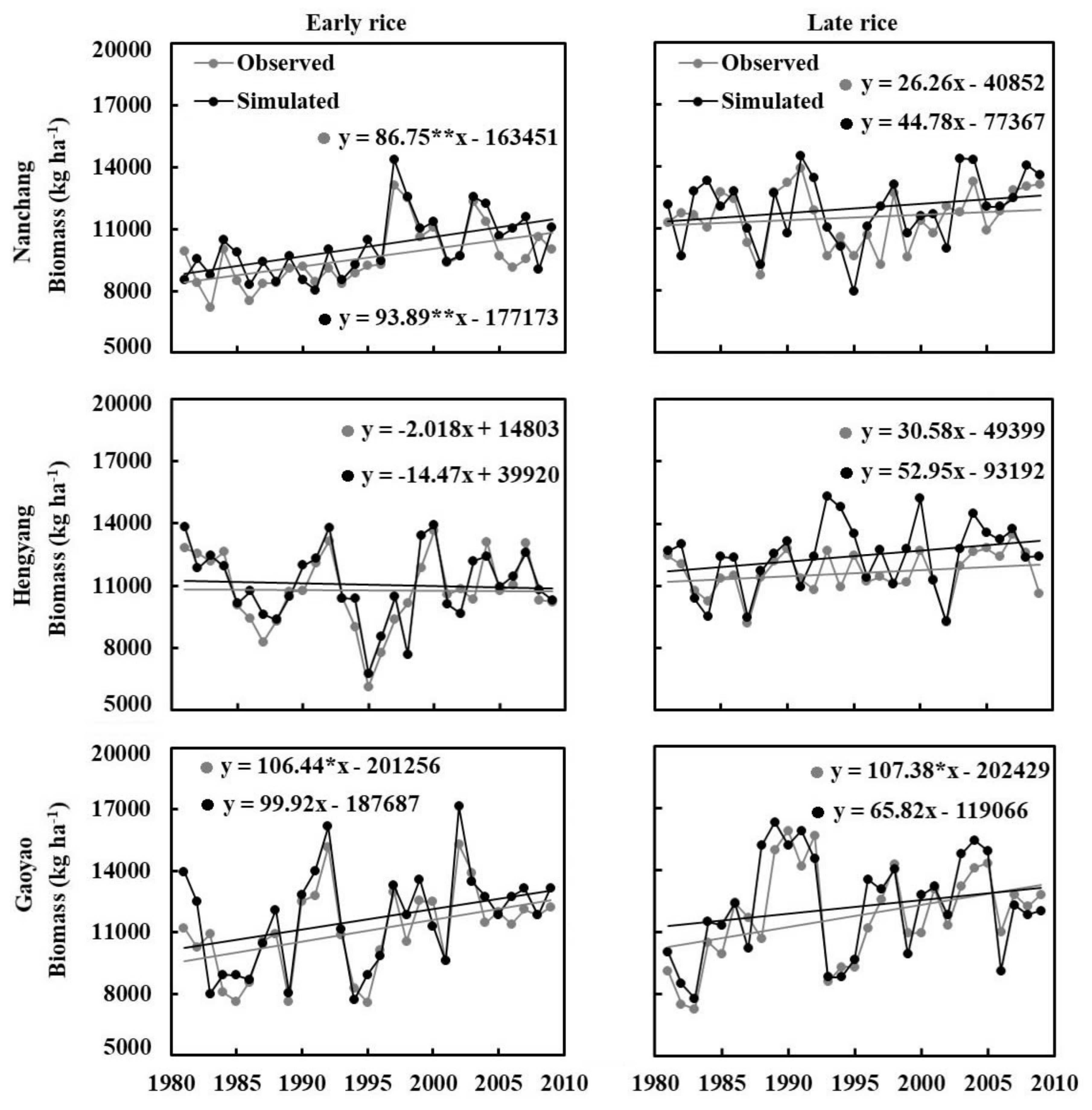
3.4. Impact of Cultivars on Rice Phenology and Grain Yield
4. Conclusions
Supplementary Materials
Author Contributions
Funding
Acknowledgments
Conflicts of Interest
References
- Yuan, L.P. Development of Hybrid Rice to Ensure Food Security. Rice Sci. 2014, 21, 1–2. [Google Scholar] [CrossRef]
- Nguyen, N.V.; Ferrero, A. Meeting the challenges of global rice production. Paddy Water Environ. 2006, 4, 1–9. [Google Scholar] [CrossRef]
- Awika, J.M. Major Cereal grains production and use around the world. In Advances in Cereal Science: Implications to Food Processing and Health Promotion; Awika, J.M., Piironen, V., Bean, S., Eds.; American Chemical Society: Washington, DC, USA, 2011; Volume 1089, pp. 1–13. ISBN 978-0-8412-2636-4. [Google Scholar]
- Coats, B. Global rice production. In Rice: Origin, History, Technology, and Production; Smith, C.W., Dilday, R.H., Eds.; John Wiley & Sons, Inc.: Hoboken, NJ, USA, 2002; pp. 247–470. ISBN 978-0-471-34516-9. [Google Scholar]
- FAOSTAT 2017. Available online: http://www.fao.org/faostat/en/#data/QC (accessed on 13 May 2019).
- Xie, Z.; Tu, S.; Shah, F.; Xu, C.; Chen, J.; Han, D.; Liu, G.; Li, H.; Muhammad, I.; Cao, W. Substitution of fertilizer-N by green manure improves the sustainability of yield in double-rice cropping system in south China. Field Crops Res. 2016, 188, 142–149. [Google Scholar] [CrossRef]
- Bi, L.; Zhang, B.; Liu, G.; Li, Z.; Liu, Y.; Ye, C.; Yu, X.; Lai, T.; Zhang, J.; Yin, J.; et al. Long-term effects of organic amendments on the rice yields for double rice cropping systems in subtropical China. Agric. Ecosyst. Environ. 2009, 129, 537–541. [Google Scholar] [CrossRef]
- Peng, S.; Khush, G.S.; Virk, P.; Tang, Q.; Zou, Y. Progress in ideotype breeding to increase rice yield potential. Field Crops Res. 2008, 108, 32–38. [Google Scholar] [CrossRef]
- Zhang, W.; Yu, Y.; Huang, Y.; Li, T.; Wang, P. Modeling methane emissions from irrigated rice cultivation in China from 1960 to 2050. Global Chang. Biol. 2011, 17, 3511–3523. [Google Scholar] [CrossRef]
- National Bureau of Statistics. Agriculture. In China Statistical Yearbook 2018; China Statistics Press: Beijing, China, 2018; pp. 401–408. ISBN 978-7-5037-8587-0. [Google Scholar]
- Peng, S.B.; Tang, Q.Y.; Zou, Y.B. Current Status and Challenges of Rice Production in China. Plant Prod. Sci. 2009, 12, 3–8. [Google Scholar] [CrossRef]
- Mohanty, S.; Wailes, E.; Chavez, E. The global rice supply and demand outlook: The need for greater productivity growth to keep rice affordable. In Rice in the Global Economy: Strategic Research and Policy Issues for Food Security; Pandey, S., Byerlee, D., Dawe, D., Eds.; IRRI: Metro Manila, Philippines, 2010; pp. 175–187. ISBN 978-971-22-0258-2. [Google Scholar]
- Cubasch, U.; Meehl, G.A. Projections of future climate change. In Climate Change 2001: The Scientific Basis; Houghton, J.T., Ding, Y., Griggs, D.J., Eds.; Cambridge University Press: Cambridge, UK, 2001; pp. 525–582. ISBN 0521-01495-6. [Google Scholar]
- Rahmstorf, S.; Cazenave, A.; Church, J.A.; Hansen, J.E.; Keeling, R.F.; Parker, D.E.; Somerville, R.C. Recent climate observations compared to projections. Science 2007, 316, 709. [Google Scholar] [CrossRef]
- Ding, Y.H.; Ren, G.Y.; Shi, G.Y.; Gong, P.; Zheng, X.H.; Zhai, P.M.; Zhang, D.E.; Zhao, Z.C.; Wang, S.W.; Wang, H.J.; et al. National assessment report of climate change (I): Climate change in China and its future trend. Adv. Clim. Chang. Res. 2006, 2, 3–8. [Google Scholar]
- Piao, S.; Ciais, P.; Huang, Y.; Shen, Z.; Peng, S.; Li, J.; Zhou, L.; Liu, H.; Ma, Y.; Ding, Y.; et al. The impacts of climate change on water resources and agriculture in China. Nature 2010, 467, 43–51. [Google Scholar] [CrossRef]
- Zhao, C.; Liu, B.; Piao, S.; Wang, X.; Lobell, D.B.; Huang, Y.; Huang, M.; Yao, Y.; Bassu, S.; Ciais, P.; et al. Temperature increase reduces global yields of major crops in four independent estimates. Proc. Natl. Acad. Sci. USA 2017, 114, 9326–9331. [Google Scholar] [CrossRef] [PubMed]
- Wheeler, T.; Braun, J.V. Climate Change Impacts on Global Food Security. Science 2013, 341, 508–513. [Google Scholar] [CrossRef] [PubMed]
- Zhu, D.F.; Min, S.K. Rice production in China under current and future climates. In Modeling the Impact of Climate Change on Rice Production in Asia; Matthew, R.B., Kropff, M.J., Bachelet, D., Eds.; CAB International: Wallingford, UK, 1995; pp. 217–235. ISBN 0-85198-959-4. [Google Scholar]
- Liu, L.; Wang, E.; Zhu, Y.; Tang, L.; Cao, W. Effects of warming and autonomous breeding on the phenological development and grain yield of double-rice systems in China. Agric. Ecosyst. Environ. 2013, 165, 28–38. [Google Scholar] [CrossRef]
- Peng, S.; Cassman, K.G.; Virmani, S.S.; Sheehy, J.; Khush, G.S. Yield potential trends of tropical rice since the release of IR8 and the challenge of increasing rice yield potential. Crop Sci. 1999, 39, 1552–1559. [Google Scholar] [CrossRef]
- Zhou, Y.; He, Z.H.; Sui, X.X.; Xia, X.C.; Zhang, X.K.; Zhang, G.S. Genetic improvement of grain yield and associated traits in the northern china winter wheat region from 1960 to 2000. Crop Sci. 2007, 47, 245–253. [Google Scholar] [CrossRef]
- Zhang, T.Y.; Huang, Y.; Yang, X.G. Climate warming over the past three decades has shortened rice growth duration in China and cultivar shifts have further accelerated the process for late rice. Glob. Chang. Biol. 2013, 19, 563–570. [Google Scholar] [CrossRef]
- Liu, L.; Wang, E.; Zhu, Y.; Tang, L.; Cao, W. Quantifying three-decade changes of single rice cultivars in China using crop modeling. Field Crops Res. 2013, 149, 84–94. [Google Scholar] [CrossRef]
- Liu, L.; Wang, E.; Zhu, Y.; Tang, L. Contrasting effects of warming and autonomous breeding on single-rice productivity in China. Agric. Ecosyst. Environ. 2012, 149, 20–29. [Google Scholar] [CrossRef]
- Gaydon, D.S.; Probert, M.E.; Buresh, R.J.; Meinke, H.; Suriadi, A.; Dobermann, A.; Bouman, B.; Timsina, J. Rice in cropping systems-Modelling transitions between flooded and non-flooded soil environments. Eur. J. Agron. 2012, 39, 9–24. [Google Scholar] [CrossRef]
- Bouman, B.A.M.; Laar, H.H.V. Description and evaluation of the rice growth model ORYZA2000 under nitrogen-limited conditions. Agric. Syst. 2006, 87, 249–273. [Google Scholar] [CrossRef]
- Keating, B.A.; Carberry, P.S.; Hammer, G.L.; Probert, M.E.; Robertson, M.J.; Holzworth, D.; Huth, N.I.; Hargreaves, J.N.; Meinke, H.; Hochman, Z.; et al. An overview of APSIM, a model designed for farming systems simulation. Eur. J. Agron. 2003, 18, 3–4. [Google Scholar] [CrossRef]
- Zhang, X.; Lee, J.H.; Abawi, Y.; Kim, Y.H.; McClymont, D.; Kim, H.D. Testing the simulation capability of APSIM-ORYZA under different levels of nitrogen fertiliser and transplanting time regimes in Korea. Aust. J. Exp. Agric. 2007, 47, 1446–1454. [Google Scholar] [CrossRef]
- Amarasingha, R.P.R.K.; Suriyagoda, L.D.B.; Marambe, B.; Gaydon, D.S.; Galagedara, L.W.; Punyawardena, R.; Silva, G.L.L.P.; Nidumolu, U.; Howden, M. Simulation of crop and water productivity for rice (Oryza sativa L.) using APSIM under diverse agro-climatic conditions and water management techniques in Sri Lanka. Agric. Water Manag. 2015, 160, 132–143. [Google Scholar] [CrossRef]
- Tao, F.; Yokozawa, M.; Xu, Y.; Hayashi, Y.; Zhang, Z. Climate changes and trends in phenology and yields of field crops in China, 1981–2000. Agric. Forest Meteorol. 2006, 138, 82–92. [Google Scholar] [CrossRef]
- Lobell, D.B.; Field, C.B. Global scale climate–crop yield relationships and the impacts of recent warming. Environ. Res. Lett. 2007, 2, 014002. [Google Scholar] [CrossRef]
- Sun, T.; Hasegawa, T.; Tang, L.; Wang, W.; Zhou, J.; Liu, L.; Liu, B.; Cao, W.; Zhu, Y. Stage-dependent temperature sensitivity function predicts seed-setting rates under short-term extreme heat stress in rice. Agric. Forest Meteorol. 2018, 256, 196–206. [Google Scholar] [CrossRef]
- Jing, Q.; Bouman, B.A.M.; Hengsdijk, H.; Van Keulen, H.; Cao, W. Exploring options to combine high yields with high nitrogen use efficiencies in irrigated rice in China. Eur. J. Agron. 2007, 26, 166–177. [Google Scholar] [CrossRef]
- Menzel, A.; Sparks, T.H.; Estrella, N.; Koch, E.; Aasa, A.; Ahas, R.; Alm-Kübler, K.; Bissolli, P.; Braslavská, O.G.; Briede, A.; et al. European phenological response to climate change matches the warming pattern. Glob. Chang. Biol. 2006, 12, 1969–1976. [Google Scholar] [CrossRef]
- Challinor, A.J.; Wheeler, T.R.; Craufurd, P.Q.; Ferro, C.A.T.; Stephenson, D.B. Adaptation of crops to climate change through genotypic responses to mean and extreme temperatures. Agric. Ecosyst. Environ. 2007, 119, 190–204. [Google Scholar] [CrossRef]
- Yin, X.Y.; Kropff, M.J.; Goudriaan, J. Differential effects of day and night temperature on development to flowering in rice. Ann. Bot. 1996, 77, 203–213. [Google Scholar] [CrossRef]
- De Vries, M.E.; Leffelaar, P.A.; Sakane, N.; Bado, B.V.; Giller, K.E. Adaptability of irrigated rice to temperature change in Sahelian environments. Exp. Agric. 2011, 47, 69–87. [Google Scholar] [CrossRef]
- Li, Z.; Tang, H.; Yang, P.; Wu, W.; Chen, Z.; Zhou, Q.; Zhang, L.; Zou, J. Spatio-temporal responses of cropland phenophases to climate change in Northeast China. J. Geogr. Sci. 2012, 22, 29–45. [Google Scholar] [CrossRef]
- Lobell, D.B.; Sibley, A.; Ivan, O.J. Extreme heat effects on wheat senescence in India. Nat. Clim. Chang. 2012, 2, 186–189. [Google Scholar] [CrossRef]
- Liu, Y.; Wang, E.; Yang, X.; Wang, J. Contributions of climatic and crop varietal changes to crop production in the North China Plain, since 1980s. Glob. Chang. Biol. 2010, 16, 2287–2299. [Google Scholar] [CrossRef]
- Sacks, W.J.; Kucharik, C.J. Crop management and phenology trends in the U.S. Corn Belt: Impacts on yields, evapotranspiration and energy balance. Agric. Forest Meteorol. 2011, 151, 882–894. [Google Scholar] [CrossRef]
- Fischer, R.A. Wheat physiology: A review of recent developments. Crop Pasture Sci. 2011, 62, 95–114. [Google Scholar] [CrossRef]
- Ding, Y.; Ren, G.; Zhao, Z.; Xu, Y.; Luo, Y.; Li, Q.; Zhang, J. Detection, causes and projection of climate change over China: An overview of recent progress. Adv. Atmos. Sci. 2007, 24, 954–971. [Google Scholar] [CrossRef]
- Peng, S.; Huang, J.; Sheehy, J.E.; Laza, R.C.; Visperas, R.M.; Zhong, X.; Centeno, G.S.; Khush, G.S.; Cassman, K.G. Rice yields decline with higher night temperature from global warming. Proc. Natl. Acad. Sci. USA 2004, 101, 9971–9975. [Google Scholar] [CrossRef]
- Asseng, S.; Ewert, F.; Martre, P.; Rötter, R.P.; Lobell, D.B.; Cammarano, D.; Kimball, B.A.; Ottman, M.J.; Wall, G.W.; White, J.W.; et al. Rising temperatures reduce global wheat production. Nat. Clim. Chang. 2015, 5, 143–147. [Google Scholar] [CrossRef]
- Lin, E.D.; Xu, Y.L.; Jiang, J.H.; Li, Y.E.; Yang, X.; Zhang, J.Y.; Li, C.X.; Wu, S.H.; Zhao, Z.Q.; Wu, J.G.; et al. National Assessment Report of Climate Change (II): Climate change impacts and adaptation. Adv. Clim. Chang. Res. 2006, 2, 51–56. [Google Scholar]
- Jiao, H.Y.; Zhou, G.S.; Zhang, Z.Q.; Jiao, M.Y.; Zhou, G.S.; Chen, Z.L.; Chen, C.; Fang, S.B.; Guo, J.P.; Huo, Z.G.; et al. Assessment Report of Climate Change Impacts on Agriculture in China (No.1); Social Sciences Academic Press (China): Beijing, China, 2014; pp. 49–60. ISBN 978-7-5097-6216-5. [Google Scholar]








| Sites | Temperature (°C/y) | BVP | PSP | PFP | GFP | EM | |
|---|---|---|---|---|---|---|---|
| Early rice | Nanchang | Maximum | y = 0.047x − 69.5 | y = −0.012x + 53.6 | y = 0.045x − 59.2 | y = 0.002x + 28.3 | y = 0.024x − 20.9 |
| Average | y = 0.037x − 52.6 | y = −0.015x + 54.5 | y = 0.035x − 42.9 | y = 0.007x + 13.8 | y = 0.018x − 12.1 | ||
| Minimum | y = 0.026x − 34.5 | y = −0.002x + 25.6 | y = 0.022x − 19.9 | y = 0.011x + 2.4 | y = 0.013x − 4.8 | ||
| Hengyang | Maximum | y = 0.094**x − 161.5 | y = 0.078x − 131.4 | y = −0.031x + 94.1 | y = −0.010x + 54.3 | y = 0.037*x − 47.6 | |
| Average | y = 0.081**x − 139.2 | y = 0.081*x − 141.4 | y = −0.011x + 49.5 | y = 0.005x + 19.5 | y = 0.033**x − 44.9 | ||
| Minimum | y = 0.073**x − 126.9 | y = 0.080**x − 142.0 | y = 0.003x + 18.6 | y = 0.016x − 7.2 | y = 0.032**x − 45.2 | ||
| Gaoyao | Maximum | y = 0.022x − 17.5 | y = 0.003x + 24.3 | y = −0.010x + 51.6 | y = −0.031x + 94.9 | y = 0.009x + 10.7 | |
| Average | y = 0.007x + 8.5 | y = −0.006x + 38.1 | y = −0.033x + 92.6 | y = −0.024x + 76.7 | y = 0.001x + 27.7 | ||
| Minimum | y = −0.006x + 31.6 | y = −0.001x + 25.2 | y = −0.037*x + 98.3 | y = −0.018x + 60.9 | y = −0.007x + 36.5 | ||
| Late rice | Nanchang | Maximum | y = 0.002x + 30.1 | y = 0.043x − 54.6 | y = 0.110*x − 197.9 | y = 0.189**x − 351.2 | y = 0.075**x − 117.9 |
| Average | y = 0.015x + 0.08 | y = 0.044x − 58.9 | y = 0.107**x − 188.7 | y = 0.179**x − 336.8 | y = 0.076**x − 125.8 | ||
| Minimum | y = 0.023x − 19.1 | y = 0.047x − 68.2 | y = 0.104**x − 192.0 | y = 0.167**x − 326.4 | y = 0.078**x − 132.3 | ||
| Hengyang | Maximum | y = −0.014x + 62.2 | y = −0.097*x + 232.1 | y = −0.005x + 40.3 | y = 0.073x − 125.7 | y = 0.031x − 32.0 | |
| Average | y = 0.001x + 27.8 | y = −0.074*x + 180.6 | y = −0.008x + 41.5 | y = 0.076*x − 129.4 | y = 0.038x − 52.2 | ||
| Minimum | y = 0.011x + 3.1 | y = −0.047*x + 121.6 | y = −0.018x + 59.1 | y = 0.064*x − 114.4 | y = 0.040*x − 60.4 | ||
| Gaoyao | Maximum | y = 0.011x + 10.6 | y = 0.062*x − 97.2 | y = 0.067*x − 107.1 | y = 0.121**x − 222.2 | y = 0.041**x − 53.2 | |
| Average | y = 0.003x + 22.9 | y = 0.053*x − 81.5 | y = 0.071**x − 120.4 | y = 0.132**x − 249.4 | y = 0.039*x − 52.7 | ||
| Minimum | y = 0.001x + 24.5 | y = 0.048x − 73.5 | y = 0.063**x − 106.6 | y = 0.129**x − 245.9 | y = 0.035**x − 47.7 |
| Sites | DVRJ | DVRI | DVRP | DVRR | |
|---|---|---|---|---|---|
| Early rice | Nanchang | −0.09 | −0.29 | 0.04 | 0.23 |
| Hengyang | −0.75** | −0.87** | 0.74** | −0.45* | |
| Gaoyao | 0.41* | 0.10 | −0.02 | −0.06 | |
| Late rice | Nanchang | −0.02 | 0.20 | 0.18 | −0.11 |
| Hengyang | −0.72** | −0.60** | 0.39* | 0.34 | |
| Gaoyao | 0.22 | 0.42* | 0.00 | 0.00 |
| Sites | Percentage of Filled Grains (%) | Grain Number Per Spike | 1000-Grain Weight (g) | B0 | R2 | |
|---|---|---|---|---|---|---|
| Early rice | Nanchang | 0.27 | - | - | 0 | 0.70 |
| Hengyang | ||||||
| Gaoyao | 0.68 | 0.41 | 0.39 | 0 | 0.73 | |
| Late rice | Nanchang | - | 0.19 | - | 0 | 0.64 |
| Hengyang | - | 0.11 | 0.57 | 0 | 0.63 | |
| Gaoyao | - | 0.28 | - | 0 | 0.49 |
© 2019 by the authors. Licensee MDPI, Basel, Switzerland. This article is an open access article distributed under the terms and conditions of the Creative Commons Attribution (CC BY) license (http://creativecommons.org/licenses/by/4.0/).
Share and Cite
Qiu, X.; Tang, L.; Zhu, Y.; Cao, W.; Liu, L. Quantification of Cultivar Change in Double Rice Regions under a Warming Climate during 1981–2009 in China. Agronomy 2019, 9, 794. https://doi.org/10.3390/agronomy9120794
Qiu X, Tang L, Zhu Y, Cao W, Liu L. Quantification of Cultivar Change in Double Rice Regions under a Warming Climate during 1981–2009 in China. Agronomy. 2019; 9(12):794. https://doi.org/10.3390/agronomy9120794
Chicago/Turabian StyleQiu, Xiaolei, Liang Tang, Yan Zhu, Weixing Cao, and Leilei Liu. 2019. "Quantification of Cultivar Change in Double Rice Regions under a Warming Climate during 1981–2009 in China" Agronomy 9, no. 12: 794. https://doi.org/10.3390/agronomy9120794
APA StyleQiu, X., Tang, L., Zhu, Y., Cao, W., & Liu, L. (2019). Quantification of Cultivar Change in Double Rice Regions under a Warming Climate during 1981–2009 in China. Agronomy, 9(12), 794. https://doi.org/10.3390/agronomy9120794

