Influence of Soil Amendments on the Growth and Yield of Rice in Acidic Soil
Abstract
1. Introduction
2. Materials and Methods
2.1. Experimental Design
2.2. Preparation of Rice Seedling and Transplanting
2.3. Data Collection
2.3.1. Soil pH
2.3.2. Physiological Parameters
2.3.3. Yield Components
2.4. Data Analysis
3. Results
3.1. Effect of GML, Basalt, Biochar, and Compost on Acid Sulfate Soil pH, Plant Height, and Number of Tillers
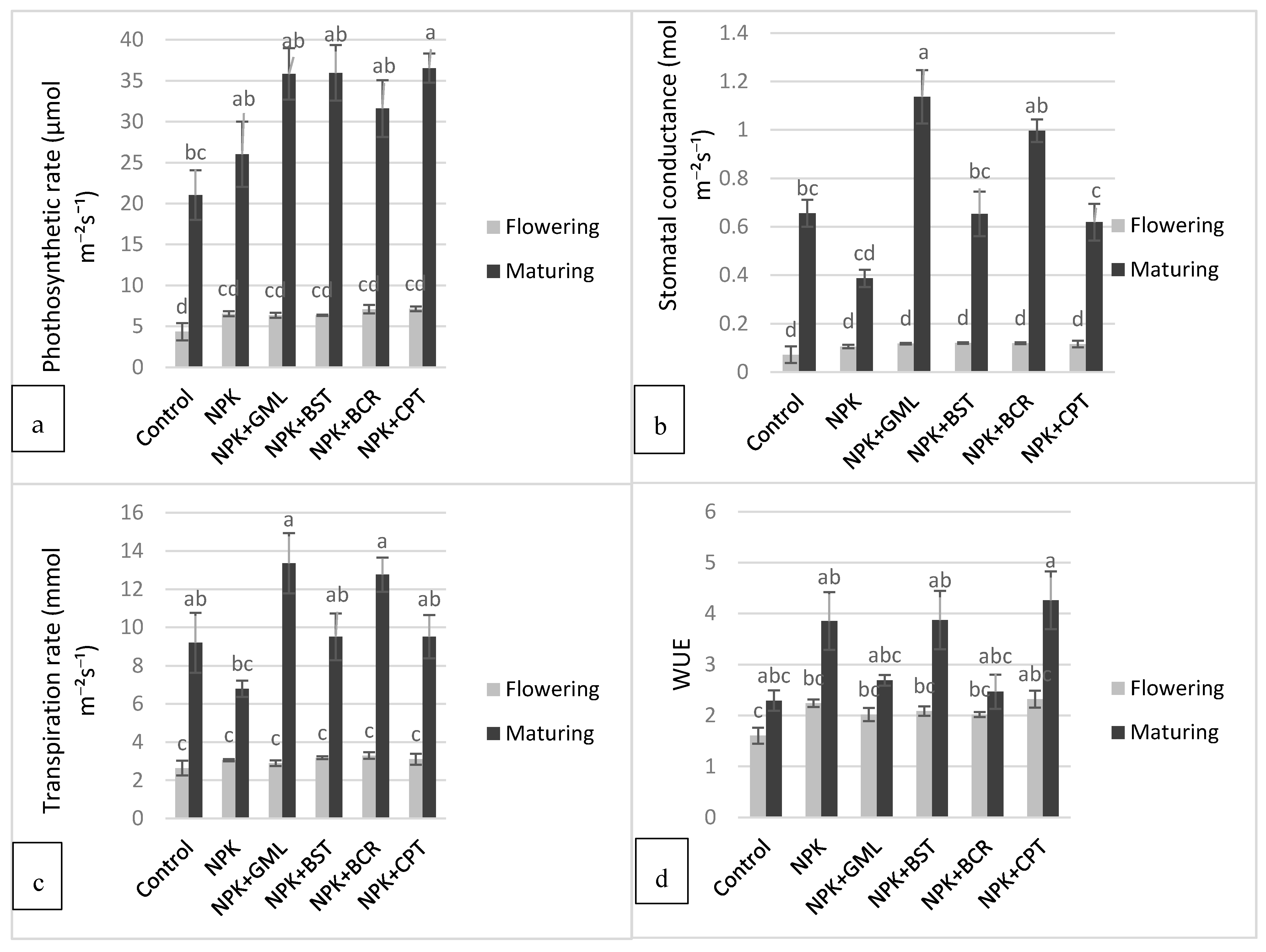
3.2. Physiological Response
3.3. Effect of Soil Amendments on Rice Growth
3.4. Effect of Soil Amendment on Yield and Yield-Contributing Characteristics of Rice
4. Discussion
5. Conclusions
Author Contributions
Funding
Acknowledgments
Conflicts of Interest
References
- Arnfield, A.J. Köppen Climate Classification. Available online: https://www.britannica.com/science/Koppen-climate-classification (accessed on 18 February 2018).
- Kottek, M.; Grieser, J.; Beck, C.; Rudolf, B.; Rubel, F. World map of the Köppen-Geiger climate classification updated. Meteorol. Z. 2006, 15, 259–263. [Google Scholar] [CrossRef]
- Paramananthan, S. Selected Paper on Soil Science; Problem Soil; Agricultural Crop Trust (ACT) and Param Agricultural Soil Surveys (PASS): Selangor, Malaysia, 2014. [Google Scholar]
- Staff, S.S. Keys to Soil Taxonomy, 9th ed.; United States Department of Agriculture, Ed.; Natural Resources Conservation Service: Washington, DC, USA, 2003.
- Shamshuddin, J.; Muhrizal, S.; Fauziah, I.; Van Ranst, E. A laboratory study of pyrite oxidation in acid sulfate soils. Commun. Soil Sci. Plant Anal. 2004, 35, 117–129. [Google Scholar] [CrossRef]
- Panhwar, Q.; Naher, U.; Radziah, O.; Shamshuddin, J.; Razi, I.M. Bio-fertilizer, ground magnesium limestone and basalt applications may improve chemical properties of Malaysian acid sulfate soils and rice growth. Pedosphere 2014, 24, 827–835. [Google Scholar] [CrossRef]
- Suswanto, T.; Shamshuddin, J.; Omar, S.S.; Mat, P.; Teh, C. Alleviating an acid sulfate soil cultivated to rice (Oryza sativa) using ground magnesium limestone and organic fertilizer. J. Soil Sci. Environ. 2007, 9, 1–9. [Google Scholar]
- Roslan, I.; Shamshuddin, J.; Fauziah, C.; Anuar, A. Occurrence and properties of soils on sandy beach ridges in the Kelantan–Terengganu Plains, Peninsular Malaysia. Catena 2010, 83, 55–63. [Google Scholar] [CrossRef]
- Shamshuddin, J. Acid Sulfate Soil in Malaysia; Universiti Putra Malaysia Press: Serdang, Malaysia, 2006. [Google Scholar]
- Rout, G.; Samantaray, S.; Das, P. Aluminium toxicity in plants: A review. Agronomie 2001, 21, 3–21. [Google Scholar] [CrossRef]
- Shamshuddin, J.; Panhwar, Q.; Shazana, M.; Elisa, A.; Fauziah, C.; Naher, U. Improving the productivity of acid sulfate soils for rice cultivation using limestone, basalt, organic fertilizer and/or their combinations. Sains Malays. 2016, 45, 383–392. [Google Scholar]
- Beaulieu, D. Soil Amendments: Definition, How to Make Them (Compost). Available online: https://www.thespruce.com/soil-amendments-defined-how-to-use-2131001 (accessed on 29 January 2018).
- Allen, H.L.; Brown, S.L.; Chaney, R.L.; Daniels, W.L.; Henry, C.L.; Neuman, D.R.; Rubin, E.; Ryan, J.; Toffey, W. The Use of Soil Amendments for Remediation, Revitalization and Reuse; EPA 542-R-07-013; US Environmental Protection Agency: Washington, DC, USA, 2007.
- Shazana, M.; Shamshuddin, J.; Fauziah, C.; Panhwar, Q.; Naher, U. Effects of applying ground basalt with or without organic fertilizer on the fertility of an acid sulfate soil and growth rice. Malay. J. Soil Sci. 2014, 18, 87–102. [Google Scholar]
- Muhrizal, S.; Shamshuddin, J.; Fauziah, I.; Husni, M. Changes in iron-poor acid sulfate soil upon submergence. Geoderma 2006, 131, 110–122. [Google Scholar] [CrossRef]
- Khoi, C.M.; Guong, V.; Trung, P.N.M.; Nilsson, S.I. Effects of compost and lime amendment on soil acidity and N availability in acid sulfate soil. In Proceedings of the 19th World Congress of Soil Science, Soil Solutions for a Changing World, Brisbane, Australia, 1–6 August 2010; Available online: https://iuss.org/19th%20WCSS/Symposium/pdf/1473.pdf (accessed on 18 September 2017).
- Panhwar, Q.; Naher, U.A.; Radziah, O.; Shamshuddin, J.; Razi, I.M. Eliminating aluminum toxicity in an acid sulfate soil for rice cultivation using plant growth promoting bacteria. Molecules 2015, 20, 3628–3646. [Google Scholar] [CrossRef] [PubMed]
- Liang, B.; Lehmann, J.; Solomon, D.; Kinyangi, J.; Grossman, J.; O’neill, B.; Skjemstad, J.; Thies, J.; Luizao, F.; Petersen, J. Black carbon increases cation exchange capacity in soils. Soil Sci. Soc. Am. J. 2006, 70, 1719–1730. [Google Scholar] [CrossRef]
- Shamshuddin, J.; Fauziah, C. Alleviating acid soil infertility constraints using basalt, ground magnesium limestone and gypsum in a tropical environment. Malays. J. Soil Sci. 2010, 14, 1–13. [Google Scholar]
- Manickam, T.; Cornelissen, G.; Bachmann, R.T.; Ibrahim, I.Z.; Mulder, J.; Hale, S.E. Biochar application in malaysian sandy and acid sulfate soils: Soil amelioration effects and improved crop production over two cropping seasons. Sustainability 2015, 7, 16756–16770. [Google Scholar] [CrossRef]
- Obia, A.; Mulder, J.; Martinsen, V.; Cornelissen, G.; Børresen, T. In situ effects of biochar on aggregation, water retention and porosity in light-textured tropical soils. Soil Till. Res. 2016, 155, 35–44. [Google Scholar] [CrossRef]
- Azman, E.A.; Jusop, S.; Ishak, C.F.; Ismail, R. Increasing Rice Production Using Different Lime Sources on an Acid Sulphate Soil in Merbok, Malaysia. Pertanika J. Trop. Agric. Sci. 2014, 37, 223–247. [Google Scholar]
- Farhana, A.J.; Shamshuddin, J.; Fauziah, C.I.; Husni, M.H.A.; Panhwar, Q.A. Enhancing the Fertility of An Acid Sulfate Soil for Rice Cultivation Using Lime in Combination with Bio-Organic Fertilizer. Pak. J. Bot. 2017, 49, 1867–1875. [Google Scholar]
- Yuan, Z.; Cao, Q.; Zhang, K.; Ata-Ul-Karim, S.T.; Tian, Y.; Zhu, Y.; Cao, W.; Liu, X. Optimal leaf positions for SPAD meter measurement in rice. Front. Plant Sci. 2016, 7, 719. [Google Scholar] [CrossRef] [PubMed]
- Rosilawati, A.; Shamshuddin, J. Effects of incubating an acid sulfate soil treated with various liming materials under submerged and moist conditions on pH, Al and Fe. Afr. J. Agric. Res. 2014, 9, 94–112. [Google Scholar] [CrossRef]
- Parthasarathi, T.; Vanitha, K.; Lakshamanakumar, P.; Kalaiyarasi, D. Aerobic rice-mitigating water stress for the future climate change. Int. J. Agron. Plant Prod. 2012, 3, 241–254. [Google Scholar]
- Anjum, S.A.; Xie, X.Y.; Wang, L.C.; Saleem, M.F.; Man, C.; Lei, W. Morphological, physiological and biochemical responses of plants to drought stress. Afr. J. Agric. Res. 2011, 6, 2026–2032. [Google Scholar] [CrossRef]
- Liu, B.; Yue, Y.M.; Li, R.; Shen, W.J.; Wang, K.L. Plant leaf chlorophyll content retrieval based on a field imaging spectroscopy system. Sensors 2014, 14, 19910–19925. [Google Scholar] [CrossRef] [PubMed]
- Cao, Y.; Ma, Y.; Guo, D.; Wang, Q.; Wang, G. Chemical properties and microbial responses to biochar and compost amendments in the soil under continuous watermelon cropping. Plant Soil Environ. 2017, 63, 1–7. [Google Scholar] [CrossRef]
- Sritarapipat, T.; Rakwatin, P.; Kasetkasem, T. Automatic rice crop height measurement using a field server and digital image processing. Sensors 2014, 14, 900–926. [Google Scholar] [CrossRef] [PubMed]
- Li, X.; Qian, Q.; Fu, Z.; Wang, Y.; Xiong, G.; Zeng, D.; Wang, X.; Liu, X.; Teng, S.; Hiroshi, F.; et al. Control of tillering in rice. Nature 2003, 422, 618–621. [Google Scholar] [CrossRef] [PubMed]
- Maclean, J.; Hardy, B.; Hettel, G. Rice Almanac: Source Book for One of the Most Important Economic Activities on Earth, 4th ed.; International Rice Research Institute: Los Baños, Laguna, Philippines, 2013. [Google Scholar]
- Constantino, K.P.; Gonzales, E.J.; Lazaro, L.M.; Serrano, E.C.; Samson, B.P. Plant height measurement and tiller segmentation of rice crops using image processing. In Proceedings of the DLSU Research Congress, De La Salle University, Manila, Philippines, 2–4 March 2015; Volume 3, pp. 1–6. [Google Scholar]
- Hidayati, N.; Anas, I. Photosynthesis and transpiration rates of rice cultivated under the system of rice intensification and the effects on growth and yield. HAYATI J. Biosci. 2016, 23, 67–72. [Google Scholar] [CrossRef]
- Saifuddin, M.; Normaniza, O. Physiological and root profile studies of four legume tree species. Life Sci. J. 2012, 9, 1509–1518. [Google Scholar]
- Sterling, T.M. Transpiration—Water Movement through Plants. Available online: https://passel.unl.edu/pages/informationmodule.php?idinformationmodule=1092853841 (accessed on 16 January 2018).
- Zhou, Q.; Ju, C.-X.; Wang, Z.-Q.; Zhang, H.; Liu, L.J.; Yang, J.C.; Zhang, J.-H. Grain yield and water use efficiency of super rice under soil water deficit and alternate wetting and drying irrigation. J. Integr. Agric. 2017, 16, 1028–1043. [Google Scholar] [CrossRef]
- Hasanuzzaman, M.; Fujita, M.; Islam, M.; Ahamed, K.; Nahar, K. Performance of four irrigated rice varieties under different levels of salinity stress. Int. J. Integr. Biol. 2009, 6, 85–90. [Google Scholar]
- Tao, H.; Brueck, H.; Dittert, K.; Kreye, C.; Lin, S.; Sattelmacher, B. Growth and yield formation of rice (Oryza sativa L.) in the water-saving ground cover rice production system (GCRPS). Field Crop. Res. 2006, 95, 1–12. [Google Scholar] [CrossRef]
- Wei, F.; Tao, H.; Lin, S.; Bouman, B.; Zhang, L.; Wang, P.; Dittert, K. Rate and duration of grain filling of aerobic rice HD297 and their influence on grain yield under different growing conditions. Sci. Asia 2011, 37, 98–104. [Google Scholar] [CrossRef]
- Zulkarnain, W.M.; Ismail, M.R.; Ashrafuzzaman, M.; Saud, H.M.; Haroun, I.C. Rice growth and yield under rain shelter house as influenced by different water regimes. Int J. Agric. Biol. 2009, 11, 566–570. [Google Scholar]
- Kamoshita, A.; Abe, J. Growth of rice plants (Oryza sativa L.) under non-flooded water-saving paddy fields. Agric. J. 2007, 2, 375–383. [Google Scholar]
- Xie, X.; Shen, S.H.; Li, Y.; Zhao, X.; Li, B.; Xu, D. Effect of photosynthetic characteristic and dry matter accumulation of rice under high temperature at heading stage. Afr. J. Agric. Res. 2011, 6, 1931–1940. [Google Scholar] [CrossRef]



| Parameter | A | gs | E | WUE |
|---|---|---|---|---|
| A | - | 0.869 ** | 0.893 ** | 0.668 ** |
| gs | - | 0.980 ** | 0.274 | |
| E | - | 0.297 | ||
| WUE | - |
| Treatment | Plant Height (cm) | Root Length (cm) | Number of Tillers (plant−1) | Number of Panicles (plant−1) | Size of Panicles (cm) |
|---|---|---|---|---|---|
| Control | 86.50 b | 15.50 c | 5 a | 4 b | 16.16 b |
| NPK | 92.5 ab | 17.50 b | 4 a | 6 ab | 20.18 ab |
| NPK + GML | 104.75 a | 21.00 a | 6 a | 7 ab | 18.16 ab |
| NPK + BST | 93.25 ab | 19.50 ab | 7 a | 7 ab | 20.85 ab |
| NPK + BCR | 99.75 ab | 18.00 abc | 7 a | 8 ab | 21.22 ab |
| NPK + CPT | 95.50 ab | 20.75 ab | 8 a | 8 a | 22.19 a |
| Treatment | Grains/Panicle | Filled Grain (%) | 1000 Grain Weight (g) | Aboveground Biomass (g) | Harvest Index (g) |
|---|---|---|---|---|---|
| Control | 66.00 ab | 59.69 ab | 16.14 b | 40.46 ab | 35.01 a |
| NPK | 83.00 ab | 58.83 b | 20.48 ab | 33.75 b | 42.05 a |
| NPK + GML | 87.00 ab | 67.10 ab | 21.00 ab | 53.10 a | 47.08 a |
| NPK + BST | 104.00 ab | 65.52 ab | 19.43 ab | 47.17 ab | 70.25 a |
| NPK + BCR | 64.00 b | 57.54 b | 19.42 ab | 45.10 ab | 55.62 a |
| NPK + CPT | 121.00 a | 83.40 a | 23.30 a | 44.54 ab | 88.71 a |
© 2018 by the authors. Licensee MDPI, Basel, Switzerland. This article is an open access article distributed under the terms and conditions of the Creative Commons Attribution (CC BY) license (http://creativecommons.org/licenses/by/4.0/).
Share and Cite
Abdul Halim, N.S.; Abdullah, R.; Karsani, S.A.; Osman, N.; Panhwar, Q.A.; Ishak, C.F. Influence of Soil Amendments on the Growth and Yield of Rice in Acidic Soil. Agronomy 2018, 8, 165. https://doi.org/10.3390/agronomy8090165
Abdul Halim NS, Abdullah R, Karsani SA, Osman N, Panhwar QA, Ishak CF. Influence of Soil Amendments on the Growth and Yield of Rice in Acidic Soil. Agronomy. 2018; 8(9):165. https://doi.org/10.3390/agronomy8090165
Chicago/Turabian StyleAbdul Halim, Nur Sa’adah, Rosazlin Abdullah, Saiful Anuar Karsani, Normaniza Osman, Qurban Ali Panhwar, and Che Fauziah Ishak. 2018. "Influence of Soil Amendments on the Growth and Yield of Rice in Acidic Soil" Agronomy 8, no. 9: 165. https://doi.org/10.3390/agronomy8090165
APA StyleAbdul Halim, N. S., Abdullah, R., Karsani, S. A., Osman, N., Panhwar, Q. A., & Ishak, C. F. (2018). Influence of Soil Amendments on the Growth and Yield of Rice in Acidic Soil. Agronomy, 8(9), 165. https://doi.org/10.3390/agronomy8090165
