Cropping Systems and Climate Change in Humid Subtropical Environments
Abstract
:1. Introduction
2. Humid Subtropical Environments
2.1. Importance of Agriculture
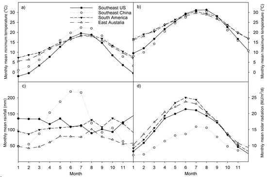
2.2. Climate Characteristics
2.3. Climate Drivers
2.4. Soil Characteristics
3. Global and Regional Climate Trends and Adaptation
3.1. Global Trends
3.2. Regional Trends
3.3. Regional Climate Change Impact Studies
3.4. Adaptation to Climate Change
4. Future Research Needs
4.1. Crop Stress Factors
4.2. Multi-Model Ensembles
4.3. Consistency in Methodology
5. Conclusions
Conflicts of Interest
References
- Godfray, H.C.; Beddington, J.R.; Crute, I.R.; Haddad, L.; Lawrence, D.; Muir, J.F.; Pretty, J.; Robinson, S.; Thomas, S.M.; Toulmin, C. Food security: The challenge of feeding 9 billion people. Science 2010, 327, 812–818. [Google Scholar] [CrossRef] [PubMed]
- Parry, M.; Rosenzweig, C.; Iglesias, A.; Fischer, G.; Livermore, M. Climate change and world food security: A new assessment. Glob. Environ. Chang. 1999, 9, S51–S67. [Google Scholar] [CrossRef]
- Fanzo, J.; Hunter, D.; Borelli, T.; Mattei, F. Diversifying Food and Diets; Biodiversity International: Oxford, UK, 2013. [Google Scholar]
- Cassman, K.G.; Harwood, R.R. The nature of agricultural systems-food security and environmental balance. Food Policy 1995, 20, 439–454. [Google Scholar] [CrossRef]
- Fan, M.; Shen, J.; Yuan, L.; Jiang, R.; Chen, X.; Davies, W.J.; Zhang, F. Improving crop productivity and resource use efficiency to ensure food security and environmental quality in China. J. Exp. Bot. 2012, 63, 13–24. [Google Scholar] [CrossRef] [PubMed]
- Lobell, D.B.; Burke, M.B.; Tebaldi, C.; Mastrandrea, M.D.; Falcon, W.P.; Naylor, R.L. Prioritizing climate change adaptation needs for food security in 2030. Science 2008, 319, 607–610. [Google Scholar] [CrossRef] [PubMed]
- Nelson, G.C.; Rosegrant, M.W.; Koo, J.W.; Robertson, R.; Sulser, T.; Zhu, T.J.; Ringler, C.; Msangi, S.; Palazzo, A.; Batka, M.; et al. Climate Change: Impact on Agriculture and Costs of Adaptation; International Food Policy Research Institute: Washington, DC, USA, 2009; p. 30. [Google Scholar]
- Parry, M.L.; Canziani, O.F.; Palutikof, J.P.; van der Linden, P.J.; Hanson, C.E. Climate Change 2007: Impacts, Adaptation and Vulnerability. Contribution of Working Group II to the Fourth Assessment Report of the Intergovernmental Panel on Climate Change; Summary for Policymakers; Cambridge University Press: Cambridge, UK, 2007; p. 22. [Google Scholar]
- Intergovernmental Panel on Climate Change (IPCC). Climate Change 2013: The Physical Science Basis. Contribution of Working Group I to the Fifth Assessment Report of the Intergovernmental Panel on Climate Change; Stocker, T.F., Qin, D., Plattner, G.K., Tignor, M., Allen, S.K., Boschung, J., Nauels, A., Xia, Y., Bex, V., Midgley, P.M., Eds.; Cambridge University Press: Cambridge, UK; New York, NY, USA, 2013. [Google Scholar]
- NOAA. Trends in Atmospheric Carbon Dioxide. Available online: http://www.esrl.noaa.gov/gmd/ccgg/trends/ (accessed on 17 March 2016).
- Dore, M.H.I. Climate change and changes in global precipitation patterns: What do we know? Environ. Int. 2005, 31, 1167–1181. [Google Scholar] [CrossRef] [PubMed]
- Trenberth, K.E. Changes in precipitation with climate change. Clim. Res. 2011, 47, 123–138. [Google Scholar] [CrossRef]
- IPCC. Managing the Risks of Extreme Events and Disasters to Advance Climate Change Adaptation. A Special Report of Working Groups I and II of the Intergovernmental Panel on Climate Change; Field, C.B., Barros, V., Stocker, T.F., Qin, D., Dokken, D.J., Ebi, K.L., Mastrandrea, M.D., Mach, K.J., Plattner, G.K., Allen, S.K., et al., Eds.; Cambridge University Press: Cambridge, UK; New York, NY, USA, 2012; p. 582. [Google Scholar]
- Djanaguiraman, M.; Prasad, P.V.V.; Boyle, D.L.; Schapaugh, W.T. Soybean pollen anatomy, viability and pod set under high temperature stress. J. Agron. Crop Sci. 2013, 199, 171–177. [Google Scholar] [CrossRef]
- Herrero, M.P.; Johnson, R.R. High-temperature stress and pollen viability of maize. Crop Sci. 1980, 20, 796–800. [Google Scholar] [CrossRef]
- Wardlaw, I.F.; Moncur, L. The response of wheat to high-temperature following anthesis I. The rate and duration of kernell filling. Aust. J. Plant Physiol. 1995, 22, 391–397. [Google Scholar] [CrossRef]
- Wilhelm, E.P.; Mullen, R.E.; Keeling, P.L.; Singletary, G.W. Heat stress during grain filling in maize: Effects on kernel growth and metabolism. Crop Sci. 1999, 39, 1733–1741. [Google Scholar] [CrossRef]
- Hall, A.J.; Lemcoff, J.H.; Trapani, N. Water-stress before and during flowering in maize and its effects on yield, its components, and their determinants. Maydica 1981, 26, 19–38. [Google Scholar]
- Siddique, M.R.B.; Hamid, A.; Islam, M.S. Drought stress effects on water relations of wheat. Bot. Bull. Acad. Sin. 2000, 41, 35–39. [Google Scholar]
- Sionit, N.; Kramer, P.J. Effect of water stress during different stages of growth of soybean. Agron. J. 1977, 69, 274–278. [Google Scholar] [CrossRef]
- Alexandrov, V.A.; Hoogenboom, G. Vulnerability and adaptation assessments of agricultural crops under climate change in the Southeastern U.S.A. Theor. Appl. Climatol. 2000, 67, 45–63. [Google Scholar] [CrossRef]
- U.S.DA. Census of Agriculture. Available online: http://www.agcensus.usda.gov/Publications/2012/ (accessed on 23 March 2016).
- NBSC. China Statistical Yearbook; National Bureau of Statistics of China: Beijing, China. Available online: http://www.stats.gov.cn/tjsj/ndsj/2014/indexeh.htm (accessed on 15 November 2014).
- MGAPU. Anuario Estadistico Agropecuario 2014; Ministerio de Ganaderia, Agricultura y Pesca de Uruguay: Montevideo, Uruguay, 2014; p. 243. [Google Scholar]
- BIGS. Systematic Survey of Agricultural Production. Available online: http://ibge.gov.br/english/estatistica/indicadores/agropecuaria/lspa/default.shtm (accessed on 15 November 2014).
- M'Gee, D. Soybeans in the Australian and Global Market 2011; Soy Australia Ltd., Australian Soybeans: Sydney, Australia, 2011; p. 22. [Google Scholar]
- ABS. Year Book Australia 2009–2010. Available online: http://www.abs.gov.au/ausstats/abs@.nsf/0/EB2DDFE1DCA0FC79CA25773700169CB9?opendocument (accessed on 16 March 2015).
- Hungria, M.; Franchini, J.C.; Campo, R.J.; Graham, P.H. The importance of nitrogen fixation to soybean cropping in South America. In Nitrogen Fixation in Agriculture; Springer: Dordrecht, The Netherlands, 2005; pp. 25–42. [Google Scholar]
- Wani, S.P.; Rockstrom, J.; Oweis, T. Rainfed Agriculture: Unlocking the Potential; CABI: Oxfordshire, UK, 2009; Volume 7. [Google Scholar]
- Kottek, M.; Grieser, J.; Beck, C.; Rudolf, B.; Rubel, F. World map of the Koppen-Geiger climate classification updated. Meteorol. Z. 2006, 15, 259–263. [Google Scholar] [CrossRef]
- FAO. Legacy Soil Maps and Soils Databases. Available online: http://www.fao.org/soils-portal/soil-survey/soil-maps-and-databases/en/ (accessed on 18 March 2016).
- United States Department of Agriculture (USDA). Crop Production 2014 Summary; USDA: Washington, DC, USA, 2015; p. 99.
- Schnepf, R.D.; Dohlman, E.N.; Bolling, C. Agriculture in Brazil and Argentina: Developments and Prospects for Major Field Crops; United States Department of Agriculture: Washington, DC, USA, 2001; p. 77.
- Grimm, A.M.; Barros, V.R.; Doyle, M.E. Climate variability in southern South America associated with El Nino and la Nina events. J. Clim. 2000, 13, 35–58. [Google Scholar] [CrossRef]
- Konrad, C.E., II; Fuhrmann, C.M.; Billiot, A.; Keim, B.D.; Kruk, M.C.; Kunkel, K.E.; Needham, H.; Shafer, M.; Stevens, L. Climate of the Southeast U.S.A: Past, present, and future. In Climate of the Southeast United States: Variability, Impacts and Vulnerability; Ingram, K.T., Dow, K., Carter, L., Anderson, J., Eds.; Island Press: Washington, DC, USA, 2013. [Google Scholar]
- Qian, W.; Kang, H.S.; Lee, D.K. Distribution of seasonal rainfall in the East Asian monsoon region. Theor. Appl. Climatol. 2002, 73, 151–168. [Google Scholar] [CrossRef]
- Che, H.Z.; Shi, G.Y.; Zhang, X.Y.; Arimoto, R.; Zhao, J.Q.; Xu, L.; Wang, B.; Chen, Z.H. Analysis of 40 years of solar radiation data from China, 1961–2000. Geophys. Res. Lett. 2005, 32, 5. [Google Scholar] [CrossRef]
- Qian, Y.; Wang, W.; Leung, L.R.; Kaiser, D.P. Variability of solar radiation under cloud-free skies in China: The role of aerosols. Geophys. Res. Lett. 2007, 34, 2111–2121. [Google Scholar] [CrossRef]
- NASA. AgMIP Climate Forcing Datasets: AgMERRA Climate Forcing Dataset for Agricultural Modeling. Available online: https://data.giss.nasa.gov/impacts/agmipcf/agmerra/ (accessed on 27 July 2016).
- Ropelewski, C.F.; Halpert, M.S. North-American precipitation and temperature patterns associated with the El Nino Souththern Oscillation (ENSO). Mon. Weather Rev. 1986, 114, 2352–2362. [Google Scholar] [CrossRef]
- Garreaud, R.D.; Vuille, M.; Compagnucci, R.; Marengo, J. Present-day South American climate. Palaeogeogr. Palaeoclimatol. Palaeoecol. 2009, 281, 180–195. [Google Scholar] [CrossRef]
- Zhou, L.T.; Tam, C.Y.; Zhou, W.; Chan, J.C.L. Influence of South China Sea SST and the ENSO on winter rainfall over South China. Adv. Atmos. Sci. 2010, 27, 832–844. [Google Scholar] [CrossRef]
- Murphy, B.F.; Timbal, B. A review of recent climate variability and climate change in Southeastern Australia. Int. J. Climatol. 2008, 28, 859–879. [Google Scholar] [CrossRef]
- Gao, X.J.; Xu, Y.; Zhao, Z.C.; Pal, J.S.; Giorgi, F. On the role of resolution and topography in the simulation of East Asia precipitation. Theor. Appl. Climatol. 2006, 86, 173–185. [Google Scholar] [CrossRef]
- Lau, K.M.; Yang, S. Climatology and interannual variability of the Southeast Asian summer monsoon. Adv. Atmos. Sci. 1997, 14, 141–162. [Google Scholar] [CrossRef]
- Garreaud, R.D. Cold air incursions over subtropical South America: Mean structure and dynamics. Mon. Weather Rev. 2000, 128, 2544–2559. [Google Scholar] [CrossRef]
- Jones, D.A. Characteristics of Australian land surface temperature variability. Theor. Appl. Climatol. 1999, 63, 11–31. [Google Scholar] [CrossRef]
- Risbey, J.S.; Pook, M.J.; McIntosh, P.C.; Wheeler, M.C.; Hendon, H.H. On the remote drivers of rainfall variability in Australia. Mon. Weather Rev. 2009, 137, 3233–3253. [Google Scholar] [CrossRef]
- Verdon, D.C.; Wyatt, A.M.; Kiem, A.S.; Franks, S.W. Multidecadal variability of rainfall and streamflow: Eastern Australia. Water Resour. Res. 2004, 40, 333–341. [Google Scholar] [CrossRef]
- Whalen, J.K.; Sampedro, L. Soil Ecology and Management; CABI: Cambridge, UK, 2010; pp. 6–26. [Google Scholar]
- NRCS. The Twelve Orders of Soil Taxonomy. Available online: http://www.nrcs.usda.gov/wps/portal/nrcs/detail/soils/edu/?cid=nrcs142p2_053588 (accessed on 23 March 2016).
- Zhang, M.K.; He, Z.L. Long-term changes in organic carbon and nutrients of an Ultisol under rice cropping in Southeast China. Geoderma 2004, 118, 167–179. [Google Scholar] [CrossRef]
- Huang, S.; Zhang, W.; Yu, X.; Huang, Q. Effects of long-term fertilization on corn productivity and its sustainability in an Ultisol of Southern China. Agric. Ecosyst. Environ. 2010, 138, 44–50. [Google Scholar] [CrossRef]
- Liu, X.; Burras, C.L.; Kravchenko, Y.S.; Duran, A.; Huffman, T.; Morras, H.; Studdert, G.; Zhang, X.; Cruse, R.M.; Yuan, X. Overview of Mollisols in the world: Distribution, land use and management. Can. J. Soil Sci. 2012, 92, 383–402. [Google Scholar] [CrossRef]
- Duran, A.; Morras, H.; Studdert, G.; Liu, X. Distribution, properties, land use and management of Mollisols in South America. Chin. Geogr. Sci. 2011, 21, 511–530. [Google Scholar] [CrossRef]
- Fabrizzi, K.P.; Moron, A.; Garcia, F.O. Soil carbon and nitrogen organic fractions in degraded vs. non-degraded Mollisols in Argentina. Soil Sci. Soc. Am. J. 2003, 67, 1831–1841. [Google Scholar] [CrossRef]
- Seneviratne, S.I.; Nicholls, N.; Easterling, D.; Goodess, C.M.; Kanae, S.; Kossin, J.; Luo, Y.; Marengo, J.; McInnes, K.; Rahimi, M.; et al. Changes in climate extremes and their impacts on the natural physical environment. A special report of working groups I and II of the Intergovernmental Panel on Climate Change (IPCC). In Managing the Risks of Extreme Events and Disasters to Advance Climate Change Adaptation; Field, C.B., Barros, V., Stocker, T.F., Qin, D., Dokken, D.J., Ebi, K.L., Mastrandrea, M.D., Mach, K.J., Plattner, G.K., Allen, S.K., et al., Eds.; Cambridge University Press: Cambridge, UK; New York, NY, USA, 2012; pp. 109–230. [Google Scholar]
- IPCC. Annex II: Climate System Scenario Tables. In Climate Change 2013: The Physical Science Basis. Contribution of Working Group I to the Fifth Assessment Report of the Intergovernmental Panel on Climate Change; Prather, M., Flato, G., Friedlingstein, P., Jones, C., Lamarque, J.F., Liao, H., Rasch, P., Eds.; Cambridge University Press: Cambridge, UK; New York, NY, USA, 2013; p. 1427. [Google Scholar]
- Ingram, K.K.; Dow, L.; Carter, J.; Anderson, J. Climate of the Southeast of the United States: Variability, Change, Impacts, and Vulnerability; NCA Regional Input Reports: Washington, DC, USA, 2013; p. 358. [Google Scholar]
- Easterling, D.R.; Horton, B.; Jones, P.D.; Peterson, T.C.; Karl, T.R.; Parker, D.E.; Salinger, M.J.; Razuvayev, V.; Plummer, N.; Jamason, P.; et al. Maximum and minimum temperature trends for the globe. Science 1997, 277, 364–367. [Google Scholar] [CrossRef]
- Walthall, C.L.; Hatfield, J.; Backlund, P.; Lengnick, L.; Marshall, E.; Walsh, M.; Adkins, S.; Aillery, M.; Ainsworth, E.A.; Ammann, C.; et al. Climate Change and Agriculture in the United States: Effects and Adaptation; U.S.DA Technical Bulletin 1935; U.S.DA: Washington, DC, USA, 2012; p. 186.
- Liu, Y.; Li, X.; Zhang, Q.; Guo, Y.; Gao, G.; Wang, J. Simulation of regional temperature and precipitation in the past 50 years and the next 30 years over China. Quat. Int. 2010, 212, 57–63. [Google Scholar] [CrossRef]
- Messina, C.D.; Hansen, J.W.; Hall, A.J. Land allocation conditioned on El Nino Southern Oscillation phases in the Pampas of Argentina. Agric. Syst. 1999, 60, 197–212. [Google Scholar] [CrossRef]
- Suppiah, R.; Collins, D.; Della-Marta, P. Observed Changes in Australian Climate; NSW Government: Melbourne, Australia, 2001.
- Della-Marta, P.; Collins, D.; Braganza, K. Updating Australia's high-quality annual temperature dataset. Aust. Meteorol. Mag. 2004, 53, 75–93. [Google Scholar]
- Portmann, R.W.; Solomon, S.; Hegerl, G.C. Spatial and seasonal patterns in climate change, temperatures, and precipitation across the United States. Proc. Natl. Acad. Sci. USA 2009, 106, 7324–7329. [Google Scholar] [CrossRef] [PubMed]
- Nicholls, N.; Della-Marta, P. 20th century changes in temperature and rainfall in New South Wales. Aust. Meteorol. Mag. 2004, 53, 263–268. [Google Scholar]
- Zhai, P.M.; Zhang, X.B.; Wan, H.; Pan, X.H. Trends in total precipitation and frequency of daily precipitation extremes over China. J. Clim. 2005, 18, 1096–1108. [Google Scholar] [CrossRef]
- Villalba, R.; Grau, H.R.; Boninsegna, J.A.; Jacoby, G.C.; Ripalta, A. Tree-ring evidence for long-term precipitation changes in subtropical South America. Int. J. Climatol. 1998, 18, 1463–1478. [Google Scholar] [CrossRef]
- Gallant, A.J.E.; Hennessy, K.J.; Risbey, J. Trends in rainfall indices for six Australian regions: 1910–2005. Aust. Meteorol. Mag. 2007, 56, 223–239. [Google Scholar]
- Hughes, L. Climate change and Australia: Trends, projections and impacts. Austral Ecol. 2003, 28, 423–443. [Google Scholar] [CrossRef]
- Chhetri, N.B.; Easterling, W.E.; Terando, A.; Mearns, L. Modeling path dependence in agricultural adaptation to climate variability and change. Ann. Assoc. Am. Geogr. 2010, 100, 894–907. [Google Scholar] [CrossRef]
- Easterling, W.E.; Chhetri, N.; Niu, X.Z. Improving the realism of modeling agronomic adaptation to climate change: Simulating technological substitution. Clim. Chang. 2003, 60, 149–173. [Google Scholar] [CrossRef]
- Hatch, U.; Jagtap, S.; Jones, J.; Lamb, M. Potential effects of climate change on agricultural, water use in the Southeast U.S. J. Am. Water Resour. Assoc. 1999, 35, 1551–1561. [Google Scholar] [CrossRef]
- Chavas, D.R.; Izaurralde, R.C.; Thomson, A.M.; Gao, X. Long-term climate change impacts on agricultural productivity in Eastern China. Agric. For. Meteorol. 2009, 149, 1118–1128. [Google Scholar] [CrossRef]
- Xiong, W.; Conway, D.; Holman, I.; Lin, E. Evaluation of CERES-Wheat simulation of wheat production in China. Agron. J. 2008, 100, 1720–1728. [Google Scholar] [CrossRef]
- Jones, P.G.; Thornton, P.K. The potential impacts of climate change on maize production in Africa and Latin America in 2055. Glob. Environ. Chang. 2003, 13, 51–59. [Google Scholar] [CrossRef]
- Anwar, M.R.; O'Leary, G.; McNeil, D.; Hossain, H.; Nelson, R. Climate change impact on rainfed wheat in south-eastern Australia. Field Crop. Res. 2007, 104, 139–147. [Google Scholar] [CrossRef]
- Howden, M.; Jones, R.N. Risk assessment of climate change impacts on Australia’s wheat industry. In Proceedings of the 4th International Crop Science Congress, Brisbane, Australia, 26 September–1 October 2004. [Google Scholar]
- Lobell, D.B.; Schlenker, W.; Costa-Roberts, J. Climate trends and global crop production since 1980. Science 2011, 333, 616–620. [Google Scholar] [CrossRef] [PubMed]
- Challinor, A.J.; Watson, J.; Lobell, D.B.; Howden, S.M.; Smith, D.R.; Chhetri, N. A meta-analysis of crop yield under climate change and adaptation. Nat. Clim. Chang. 2014, 4, 287–291. [Google Scholar] [CrossRef]
- Rosenzweig, C.; Parry, M.L. Potential impact of climate change on world food supply. Nature 1994, 367, 133–138. [Google Scholar] [CrossRef]
- Boote, K.J.; Jones, J.W.; White, J.W.; Asseng, S.; Lizaso, J.I. Putting mechanisms into crop production models. Plant Cell Environ. 2013, 36, 1658–1672. [Google Scholar] [CrossRef] [PubMed]
- Porter, J.R.; Gawith, M. Temperatures and the growth and development of wheat: A review. Eur. J. Agron. 1999, 10, 23–36. [Google Scholar] [CrossRef]
- Porter, J.R.; Semenov, M.A. Crop responses to climatic variation. Philos. Trans. R. Soc. B Biol. Sci. 2005, 360, 2021–2035. [Google Scholar] [CrossRef] [PubMed]
- Rotter, R.P.; Carter, T.R.; Olesen, J.E.; Porter, J.R. Crop-climate models need an overhaul. Nat. Clim. Chang. 2011, 1, 175–177. [Google Scholar] [CrossRef]
- Wheeler, T.R.; Craufurd, P.Q.; Ellis, R.H.; Porter, J.R.; Prasad, P.V.V. Temperature variability and the yield of annual crops. Agric. Ecosyst. Environ. 2000, 82, 159–167. [Google Scholar] [CrossRef]
- Wang, E.; Martre, P.; Zhao, Z.G.; Ewert, F.; Maiorano, A.; Rotter, R.P.; Kimball, B.A.; Ottman, M.J.; Wall, G.W.; White, J.W.; et al. The uncertainty of crop yield projections is reduced by improved temperature response functions. Nat. Plants 2017, 3, 17102. [Google Scholar] [CrossRef] [PubMed]
- Liu, B.; Liu, L.; Asseng, S.; Zou, X.; Li, J.; Cao, W.; Zhu, Y. Modelling the effects of heat stress on post-heading durations in wheat: A comparison of temperature response routines. Agric. For. Meteorol. 2016, 222, 45–58. [Google Scholar] [CrossRef]
- Maiorano, A.; Martre, P.; Asseng, S.; Ewert, F.; Müller, C.; Rötter, R.P.; Ruane, A.C.; Semenov, M.A.; Wallach, D.; Wang, E.; et al. Crop model improvement reduces the uncertainty of the response to temperature of multi-model ensembles. Field Crop. Res. 2017, 202, 5–20. [Google Scholar] [CrossRef]
- Oerke, E.C. Crop losses to pests. J. Agric. Sci. 2006, 144, 31–43. [Google Scholar] [CrossRef]
- Jones, J.W.; Antle, J.M.; Basso, B.; Boote, K.J.; Conant, R.T.; Foster, I.; Godfray, H.C.J.; Herrero, M.; Howitt, R.E.; Janssen, S.; et al. Toward a new generation of agricultural system data, models, and knowledge products: State of agricultural systems science. Agric. Syst. 2017, 155, 269–288. [Google Scholar] [CrossRef] [PubMed]
- Chakraborty, S.; Tiedemann, A.V.; Teng, P.S. Climate change: Potential impact on plant diseases. Environ. Pollut. 2000, 108, 317–326. [Google Scholar] [CrossRef]
- Donatelli, M.; Magarey, R.D.; Bregaglio, S.; Willocquet, L.; Whish, J.P.M.; Savary, S. Modelling the impacts of pests and diseases on agricultural systems. Agric. Syst. 2017, 155, 213–224. [Google Scholar] [CrossRef] [PubMed]
- Orlandini, S.; Magarey, R.D.; Park, E.W.; Sporleder, M.; Kroschel, J. Methods of Agroclimatology: Modeling Approaches for Pests and Diseases. In Agroclimatology: Linking Agriculture to Climate, Agronomy Monographs 60; Hatfield, J.L., Sivakumar, M.V.K., Prueger, J.H., Eds.; ASA, CSSA, and SSSA Inc.: Madison, WI, USA, 2017. [Google Scholar]
- Brisson, N.; Gary, C.; Justes, E.; Roche, R.; Mary, B.; Ripoche, D.; Zimmer, D.; Sierra, J.; Bertuzzi, P.; Burger, P.; et al. An overview of the crop model STICS. Eur. J. Agron. 2003, 18, 309–332. [Google Scholar] [CrossRef]
- Bergjord, A.K.; Bonesmo, H.; Skjelvag, A.O. Modelling the course of frost tolerance in winter wheat I. Model development. Eur. J. Agron. 2008, 28, 321–330. [Google Scholar] [CrossRef]
- Asseng, S.; Keating, B.; Huth, N.; Eastham, J. Simulation of perched watertables in a duplex soil. In Proceedings of the International Conference on Modelling and Simulation, Hobart, Australia, 3–8 December 2017; pp. 538–543. [Google Scholar]
- Raes, D.; Steduto, P.; Hsiao, T.C.; Fereres, E. AquaCrop-The FAO Crop Model to Simulate Yield Response to Water: II. Main Algorithms and Software Description. Agron. J. 2009, 101, 438–447. [Google Scholar] [CrossRef]
- Rosenzweig, C.; Tubiello, F.N.; Goldberg, R.; Mills, E.; Bloomfield, J. Increased crop damage in the U.S. from excess precipitation under climate change. Glob. Environ. Chang. 2002, 12, 197–202. [Google Scholar] [CrossRef]
- Aggarwal, P.K.; Mall, R.K. Climate change and rice yields in diverse agro-environments of India. II. Effect of uncertainties in scenarios and crop models on impact assessment. Clim. Chang. 2002, 52, 331–343. [Google Scholar] [CrossRef]
- Martre, P.; Wallach, D.; Asseng, S.; Ewert, F.; Jones, J.W.; Rotter, R.P.; Boote, K.J.; Ruane, A.C.; Thorburn, P.J.; Cammarano, D.; et al. Multimodel ensembles of wheat growth: Many models are better than one. Glob. Chang. Biol. 2015, 21, 911–925. [Google Scholar] [CrossRef] [PubMed]
- Asseng, S.; Ewert, F.; Rosenzweig, C.; Jones, J.W.; Hatfield, J.L.; Ruane, A.C.; Boote, K.J.; Thorburn, P.J.; Rotter, R.P.; Cammarano, D.; et al. Uncertainty in simulating wheat yields under climate change. Nat. Clim. Chang. 2013, 3, 827–832. [Google Scholar] [CrossRef]
- Rotter, R.P.; Palosuo, T.; Kersebaum, K.C.; Angulo, C.; Bindi, M.; Ewert, F.; Ferrise, R.; Hlavinka, P.; Moriondo, M.; Nendel, C.; et al. Simulation of spring barley yield in different climatic zones of Northern and Central Europe: A comparison of nine crop models. Field Crop. Res. 2012, 133, 23–36. [Google Scholar] [CrossRef]
- Fleisher, D.H.; Condori, B.; Quiroz, R.; Alva, A.; Asseng, S.; Barreda, C.; Bindi, M.; Boote, K.J.; Ferrise, R.; Franke, A.C.; et al. A potato model intercomparison across varying climates and productivity levels. Glob. Chang. Biol. 2017, 23, 1258–1281. [Google Scholar] [CrossRef] [PubMed]
- Li, T.; Hasegawa, T.; Yin, X.; Zhu, Y.; Boote, K.; Adam, M.; Bregaglio, S.; Buis, S.; Confalonieri, R.; Fumoto, T.; et al. Uncertainties in predicting rice yield by current crop models under a wide range of climatic conditions. Glob. Chang. Biol. 2015, 21, 1328–1341. [Google Scholar] [CrossRef] [PubMed]
- Bassu, S.; Brisson, N.; Durand, J.-L.; Boote, K.; Lizaso, J.; Jones, J.W.; Rosenzweig, C.; Ruane, A.C.; Adam, M.; Baron, C.; et al. How do various maize crop models vary in their responses to climate change factors? Glob. Chang. Biol. 2014, 20, 2301–2320. [Google Scholar] [CrossRef] [PubMed]
- Rosenzweig, C.; Jones, J.W.; Hatfield, J.L.; Ruane, A.C.; Boote, K.J.; Thorburn, P.; Antle, J.M.; Nelson, G.C.; Porter, C.; Janssen, S.; et al. The Agricultural Model Intercomparison and Improvement Project (AgMIP): Protocols and pilot studies. Agric. For. Meteorol. 2013, 170, 166–182. [Google Scholar] [CrossRef]
- Köchy, M.; Bannink, A.; Banse, M.; Brouwer, F.; Brüser, K.; Ewert, F.; Foyer, C.; Kipling, R.; Rötter, R.; Scollan, N.; et al. MACSUR Phase 1 Final Administrative Report: Public Release; Thünen-Institut: Braunschweig, Germany, 2015; p. D-C1.3. [Google Scholar]
- Hillel, D.; Rosenzweig, C. Handbook of Climate Change and Agroecosystems: The Agricultural Model Intercomparison and Improvement Project (AgMIP) Integrated Crop and Economic Assessments (In Two Parts); Rosenzweig, C., Hillel, D., Eds.; Imperial College Press: London, UK, 2015; Volume 3. [Google Scholar]







| Region | Lat. a | Long. b | Soil c | Season | Major Crops | Area (ha × 1000) | Area (ha × 1000) d |
|---|---|---|---|---|---|---|---|
| SE U.S. | 35.0 | −87.3 | Ultisol | Winter | wheat | 17,383 | 1953 |
| Summer | maize, soybean, cotton, peanut | 15,430 | |||||
| SE China | 28.5 | 110.0 | Ultisol | Winter | wheat | 30,691 | 5799 |
| Summer | rice, corn, soybean | 24,892 | |||||
| S America | −33.0 | −56.0 | Mollisol | Winter | wheat | 42,557 | 5813 |
| Summer | soybean, maize | 36,744 | |||||
| E Australia | −33.0 | 151.0 | Mollisol | Winter | wheat | 8907 | 6465 |
| Summer | canola, sorghum | 2442 |
| Year | Scenario | Temperature (Mean ± 1SD) (°C) | Atmospheric CO2 (ppm) |
|---|---|---|---|
| 2035 | RCP a 2.6 | 0.3 to 0.7 b | 431 |
| RCP 4.5 | 435 | ||
| RCP 6.0 | 429 | ||
| RCP 8.5 | 449 | ||
| 2065 | RCP 2.6 | 1.0 ± 0.3 | 442 |
| RCP 4.5 | 1.4 ± 0.3 | 509 | |
| RCP 6.0 | 1.3 ± 0.3 | 511 | |
| RCP 8.5 | 2.0 ± 0.4 | 604 | |
| 2100 | RCP 2.6 | 1.0 ± 0.4 | 421 |
| RCP 4.5 | 1.8 ± 0.5 | 538 | |
| RCP 6.0 | 2.2 ± 0.5 | 670 | |
| RCP 8.5 | 3.7 ± 0.7 | 936 |
| Region | GCMz | Crop Model | CO2 (ppm) | Δ Mean T y (°C) | Δ Rainfall (%) | Crop | Rainfed (R)/Irrigated (I) | Year | Yield Variation (%) | Adaptation | Reference |
|---|---|---|---|---|---|---|---|---|---|---|---|
| Southeast U.S. | HCGS y, OSU x, and GISS w | maize-wheat: CERES | 550 | 2.1 to 4 | −54 to −0.9 | maize | I | 2020 | −15 | no | Alexandrov and Hoogenboom, [21] |
| soybean | I | 2020 | 26.8 | no | |||||||
| wheat | I | 2020 | 7 | no | |||||||
| v. 3.5 soybean: CROPGRO v. 3.5 | maize | R | 2020 | −10 | no | ||||||
| soybean | R | 2020 | 41.8 | no | |||||||
| wheat | R | 2020 | 2.7 | no | |||||||
| RegCM2 v nested with the CSIRO u Mark 2 GCM | EPIC | 540 | n/a | n/a | maize | I | 2005 | −10 to +10 | yes | Chhetri et al., [72] | |
| maize | I | 2025 | −20 to +20 | yes | |||||||
| maize | I | 2045 | −30 to +30 | yes | |||||||
| maize | R | 2005 | 10 | no | |||||||
| maize | R | 2025 | −30 to +20 | no | |||||||
| maize | R | 2045 | −30 to +20 | no | |||||||
| RegCM t | EPIC | 540 | 0.2 to 6.3 | −15 to +15 | maize | I | 2005 | −10 to +20 | yes | Easterling et al., [73] | |
| maize | I | 2025 | −20 to 20 | yes | |||||||
| maize | I | 2045 | −40 to 30 | yes | |||||||
| maize | R | 2005 | −10 to 10 | no | |||||||
| maize | R | 2025 | −20 to 10 | no | |||||||
| maize | R | 2045 | −40 to 10 | no | |||||||
| HadCM s | PNTPLAN | 445 | 1 | +2 to +7 | maize | I | 2030 | −4 to 3 | no | Hatch et al., [74] | |
| soybean | I | 2030 | +8 to +10 | no | |||||||
| wheat | I | 2030 | +1 to +4 | no | |||||||
| maize | R | 2030 | +8 to +22 | no | |||||||
| soybean | R | 2030 | +3 to +22 | no | |||||||
| wheat | R | 2030 | 0 to +7 | no | |||||||
| 680 | 2 | +7 to +17 | maize | I | 2090 | −8 to 0 | no | ||||
| soybean | I | 2090 | +12 to +16 | no | |||||||
| wheat | I | 2090 | +10 to +13 | no | |||||||
| maize | R | 2090 | +8 to +27 | no | |||||||
| soybean | R | 2090 | +17 to +51 | no | |||||||
| wheat | R | 2090 | +9 to +17 | no | |||||||
| Southeast China | ICTP RegCM3 r | EPIC | 780 | 2.5 | −5 to +25 | maize | R | 2086 | −20 to +30 | no | Chavas et al., [75] |
| wheat | R | 2086 | +10 to +30 | no | |||||||
| HadCM3H q | CERES v. 3.5 | 721 | 3.9 | +12.9 | maize | I | 2080 | −50 to 0 | no | Xiong et al., [76] | |
| maize | R | 2080 | −50 to +50 | no | |||||||
| South America | HadCM2 p | CERES v. 3.5 | n/a | n/a | n/a | maize | R | 2055 | −2 to −25 | no | Jones and Thornton, [77] |
| East Australia | CSIRO | CropSyst v. 4 | 700 | 0.5 to 1.4 | −7 | wheat | R | 2070 | −29 to −25 | no | Anwar et al., [78] |
| 9 GCMs | I-Wheat | 716 | n/a | n/a | wheat | R | 2070 | −45 to +35 | no | Howden and Jones, [79] |
© 2018 by the authors. Licensee MDPI, Basel, Switzerland. This article is an open access article distributed under the terms and conditions of the Creative Commons Attribution (CC BY) license (http://creativecommons.org/licenses/by/4.0/).
Share and Cite
Hernandez-Ochoa, I.M.; Asseng, S. Cropping Systems and Climate Change in Humid Subtropical Environments. Agronomy 2018, 8, 19. https://doi.org/10.3390/agronomy8020019
Hernandez-Ochoa IM, Asseng S. Cropping Systems and Climate Change in Humid Subtropical Environments. Agronomy. 2018; 8(2):19. https://doi.org/10.3390/agronomy8020019
Chicago/Turabian StyleHernandez-Ochoa, Ixchel M., and Senthold Asseng. 2018. "Cropping Systems and Climate Change in Humid Subtropical Environments" Agronomy 8, no. 2: 19. https://doi.org/10.3390/agronomy8020019
APA StyleHernandez-Ochoa, I. M., & Asseng, S. (2018). Cropping Systems and Climate Change in Humid Subtropical Environments. Agronomy, 8(2), 19. https://doi.org/10.3390/agronomy8020019
