Long-Term Film Mulching with Manure Amendment Drives Trade-Offs Between Spring Maize Nutrient Uptake and Topsoil Carbon Stability on the Loess Plateau
Abstract
1. Introduction
2. Materials and Methods
2.1. Experimental Site
2.2. Experimental Design
2.3. Plant Sampling and Determination
2.4. Soil Sampling and Analysis
2.4.1. Soil Sampling
2.4.2. Labile Organic Carbon Fractions Determination
2.4.3. Stability-Based Organic Carbon Fractions Determination and Carbon Management Index Calculation
2.4.4. Sensitivity Index Calculation
2.5. Statistical Analysis
3. Results
3.1. Crop Nitrogen, Phosphorus, Potassium Uptake
3.2. Soil Organic Carbon
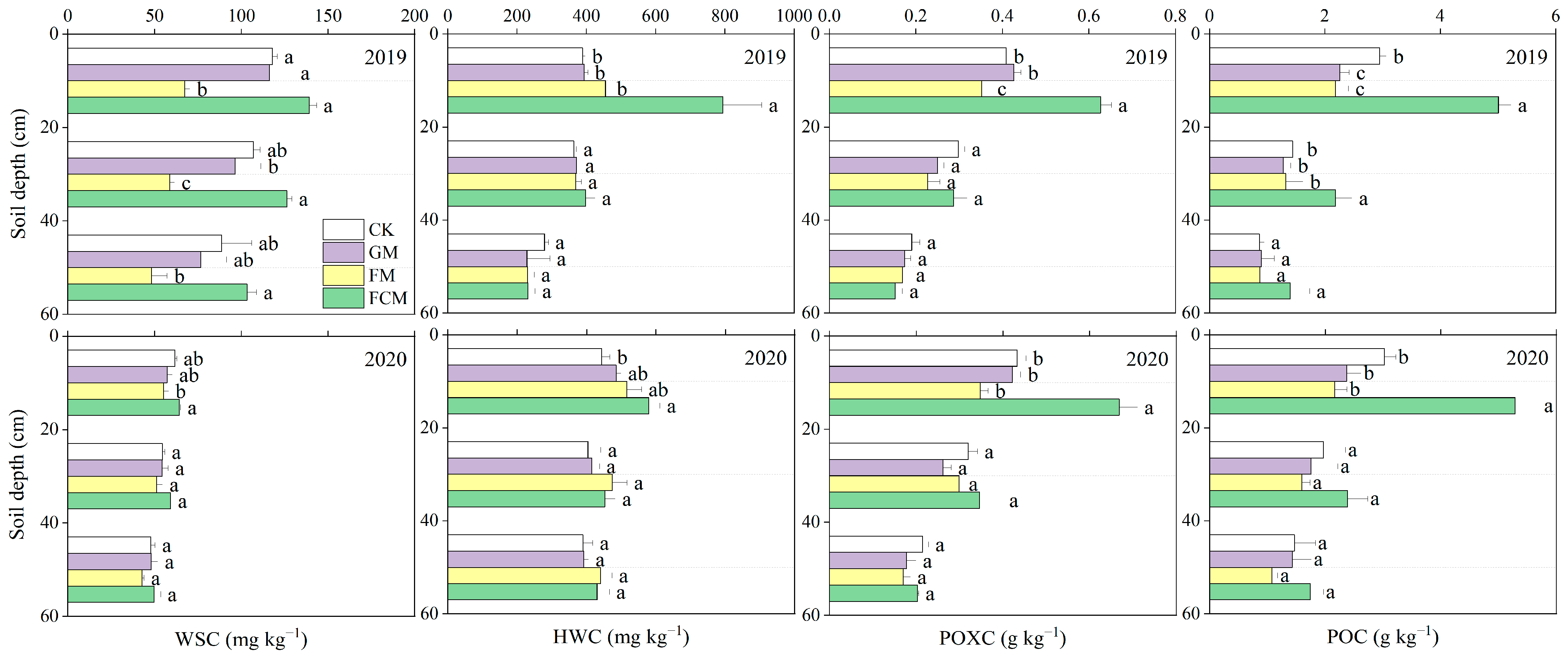
3.3. Labile Organic Carbon Fractions
3.4. Stability-Based Organic Carbon Fractions and Carbon Management Index
3.5. Sensitivity Index
3.6. Correlations Between Crop Nitrogen, Phosphorus, Potassium Uptake, and Soil Organic Carbon Parameters
4. Discussion
4.1. The Effects of Long-Term Mulching and Manure Amendment on Crop Nitrogen, Phosphorus, Potassium Uptake, and Soil Organic Carbon Content
4.2. The Effects of Long-Term Mulching and Manure Amendment on Soil Organic Carbon Fractions
4.3. Relationships Between Crop Nitrogen, Phosphorus, Potassium Uptake, and Soil Organic Carbon Parameters
5. Conclusions
Supplementary Materials
Author Contributions
Funding
Data Availability Statement
Acknowledgments
Conflicts of Interest
References
- Erenstein, O.; Jaleta, M.; Sonder, K.; Mottaleb, K.; Prasanna, B.M. Global maize production, consumption and trade: Trends and R&D implications. Food Secur. 2022, 14, 1295–1319. [Google Scholar]
- Hao, D.; Li, X.; Kong, W.; Chen, R.; Liu, J.; Guo, H.; Zhou, J. Phosphorylation regulation of nitrogen, phosphorus, and potassium uptake systems in plants. Crop J. 2023, 11, 1034–1047. [Google Scholar] [CrossRef]
- Sainju, U.M.; Lenssen, A.W.; Allen, B.L.; Stevens, W.B.; Jabro, J.D. Soil total carbon and nitrogen and crop yields after eight years of tillage, crop rotation, and cultural practice. Heliyon 2017, 3, e00481. [Google Scholar] [CrossRef]
- Kucerik, J.; Brtnicky, M.; Mustafa, A.; Hammerschmiedt, T.; Kintl, A.; Sobotkova, J.; Alamri, S.; Baltazar, T.; Latal, O.; Naveed, M.; et al. Utilization of diversified cover crops as green manure-enhanced soil organic carbon, nutrient transformation, microbial activity, and aaize growth. Agronomy 2024, 14, 2001. [Google Scholar] [CrossRef]
- Major, J.; Rondon, M.; Molina, D.; Riha, S.J.; Lehmann, J. Maize yield and nutrition during 4 years after biochar application to a Colombian savanna oxisol. Plant Soil 2010, 333, 117–128. [Google Scholar] [CrossRef]
- Wang, M.; Feng, X.; Zhou, Z.; Ma, H.; Ge, T.; Tang, C.; Wang, D.; Chen, S. Labile organic carbon fractions in the rhizosphere contribute to nitrogen and phosphorus uptake in rice under long-term crop rotations and nitrogen application. Appl. Soil Ecol. 2024, 200, 105459. [Google Scholar] [CrossRef]
- Tang, H.; Cheng, K.; Shi, L.; Li, C.; Wen, L.; Li, W.; Sun, M.; Sun, G.; Long, Z. Effects of long-term organic matter application on soil carbon accumulation and nitrogen use efficiency in a double-cropping rice field. Environ. Res. 2022, 213, 113700. [Google Scholar] [CrossRef]
- Chen, L.; Liu, L.; Qin, S.; Yang, G.; Fang, K.; Zhu, B.; Kuzyakov, Y.; Chen, P.; Xu, Y.; Yang, Y. Regulation of priming effect by soil organic matter stability over a broad geographic scale. Nat. Commun. 2019, 10, 5112. [Google Scholar] [CrossRef]
- Li, G.H.; Cheng, Q.; Li, L.; Lu, D.L.; Lu, W.P. N, P and K use efficiency and maize yield responses to fertilization modes and densities. J. Integr. Agric. 2021, 20, 78–86. [Google Scholar] [CrossRef]
- Liu, C.A.; Jin, S.L.; Zhou, L.M.; Jia, Y.; Li, F.M.; Xiong, Y.C.; Li, X.G. Effects of plastic film mulch and tillage on maize productivity and soil parameters. Eur. J. Agron. 2009, 31, 241–249. [Google Scholar] [CrossRef]
- Bu, L.; Liu, J.; Zhu, L.; Luo, S.; Chen, X.; Li, S.; Lee Hill, R.; Zhao, Y. The effects of mulching on maize growth, yield and water use in a semi-arid region. Agric. Water Manag. 2013, 123, 71–78. [Google Scholar] [CrossRef]
- Li, F.; Song, Q.; Hao, J.; Jemba, P.; Shi, Y. Dynamics of soil microbial biomass C and soil fertility in cropland mulched with plastic film in a semiarid agroecosystem. Soil Biol. Biochem. 2004, 36, 1893–1902. [Google Scholar] [CrossRef]
- Steinmetz, Z.; Wollmann, C.; Schaefer, M.; Buchmann, C.; David, J.; Tröger, J.; Muñoz, K.; Frör, O.; Schaumann, G.E. Plastic mulching in agriculture. trading short-term agronomic benefits for long-term soil degradation? Sci. Total Environ. 2016, 550, 690–705. [Google Scholar] [CrossRef]
- Zhang, F.; Li, S.; Yue, S.; Song, Q. The effect of long-term soil surface mulching on SOC fractions and the carbon management index in a semiarid agroecosystem. Soil Tillage Res. 2022, 216, 105233. [Google Scholar] [CrossRef]
- Ren, A.T.; Li, J.Y.; Zhao, L.; Zhou, R.; Ye, J.S.; Wang, Y.B.; Zhang, X.C.; Wesly, K.; Ma, M.S.; Xiong, Y.C. Reduced plastic film mulching under zero tillage boosts water use efficiency and soil health in semiarid rainfed maize field. Resour. Conserv. Recy. 2023, 190, 106851. [Google Scholar] [CrossRef]
- Abdalla, K.; Sun, Y.; Zarebanadkouki, M.; Gaiser, T.; Seidel, S.; Pausch, J. Long-term continuous farmyard manure application increases soil carbon when combined with mineral fertilizers due to lower priming effects. Geoderma 2022, 428, 116216. [Google Scholar] [CrossRef]
- Jiang, H.; Han, X.; Zou, W.; Hao, X.; Zhang, B. Seasonal and long-term changes in soil physical properties and organic carbon fractions as affected by manure application rates in the Mollisol region of Northeast China. Agric. Ecosyst. Environ. 2018, 268, 133–143. [Google Scholar] [CrossRef]
- Wang, X.; Ren, Y.; Zhang, S.; Chen, Y.; Wang, N. Applications of organic manure increased maize (Zea mays L.) yield and water productivity in a semi-arid region. Agric. Water Manag. 2017, 187, 88–98. [Google Scholar] [CrossRef]
- Lin, J.Y.; Sayre, J.M.; Schmidt, R.; Fonte, S.J.; Rodrigues, J.L.M.; Scow, K.M. Compost amendment maintains soil structure and carbon storage by increasing available carbon and microbial biomass in agricultural soil—A six-year field study. Geoderma 2022, 427, 116117. [Google Scholar]
- Chen, S.; Zhang, X.; Shao, L.; Sun, H.; Niu, J.; Liu, X. Effects of straw and manure management on soil and crop performance in North China Plain. Catena 2020, 187, 104359. [Google Scholar] [CrossRef]
- Xie, J.; Evgenia, B.; Zhang, Y.; Wan, Y.; Hu, Q.J.; Zhang, C.M.; Wang, J.; Zhang, Y.Q.; Shi, X.J. Substituting nitrogen and phosphorus fertilizer with optimal amount of crop straw improves rice grain yield, nutrient use efficiency and soil carbon sequestration. J. Integr. Agric. 2022, 21, 3345–3355. [Google Scholar] [CrossRef]
- Haynes, R.J. Labile organic matter fractions as central components of the quality of agricultural soils: An overview. Adv. Agron. 2005, 85, 221–268. [Google Scholar]
- Chaudhary, S.; Dheri, G.S.; Brar, B.S. Long-term effects of NPK fertilizers and organic manures on carbon stability and management index under rice-wheat cropping system. Soil Tillage Res. 2017, 166, 59–66. [Google Scholar] [CrossRef]
- Bongiorno, G.; Bünemann, E.K.; Oguejiofor, C.U.; Meier, J.; Gort, G.; Comans, R.; Mäder, P.; Brussaard, L.; de Goede, R. Sensitivity of labile carbon fractions to tillage and organic matter management and their potential as comprehensive soil quality indicators across pedoclimatic conditions in Europe. Ecol. Indic. 2019, 99, 38–50. [Google Scholar] [CrossRef]
- Zhang, Z.M.; Yan, J.; Han, X.Z.; Zou, W.X.; Chen, X.; Lu, X.C.; Feng, Y.T. Labile organic carbon fractions drive soil microbial communities after long-term fertilization. Glob. Ecol. Conserv. 2021, 32, e01867. [Google Scholar] [CrossRef]
- Deb, S.; Bhadoria, P.B.S.; Mandal, B.; Rakshit, A.; Singh, H.B. Soil organic carbon: Towards better soil health, productivity and climate change mitigation. Clim. Change Environ. Sust. 2015, 3, 26. [Google Scholar] [CrossRef]
- Chan, K.Y.; Bowman, A.; Oates, A. Oxidizible organic carbon fractions and soil quality changes in an Oxic Paleustalf under different pasture leys. Soil Sci. 2001, 166, 61–67. [Google Scholar] [CrossRef]
- Davidson, E.A.; Janssens, I.A. Temperature sensitivity of soil carbon decomposition and feedbacks to climate change. Nature 2006, 440, 165–173. [Google Scholar] [CrossRef] [PubMed]
- Liang, C.; Schimel, J.P.; Jastrow, J.D. The importance of anabolism in microbial control over soil carbon storage. Nat. Microbiol. 2017, 2, 17105. [Google Scholar] [CrossRef]
- Zhang, F.; Song, Q.; Ma, T.; Gao, N.; Han, X.; Shen, Y.; Yue, S.; Li, S. Long-term maintenance of high yield and soil fertility with integrated soil-crop system management on the Loess Plateau. J. Environ. Manag. 2024, 351, 119687. [Google Scholar] [CrossRef]
- Jat, H.S.; Datta, A.; Choudhary, M.; Sharma, P.C.; Yadav, A.K.; Choudhary, V.; Gathala, M.K.; Jat, M.L.; McDonald, A. Climate Smart Agriculture practices improve soil organic carbon pools, biological properties and crop productivity in cereal-based systems of North-West India. Catena 2019, 181, 104059. [Google Scholar] [CrossRef]
- Blair, G.J.; Lefroy, R.D.B.; Lise, L. Soil carbon fractions based on their degree of oxidation, and the development of a carbon management index for agricultural systems. Aust. J. Agric. Res. 1995, 46, 1459–1466. [Google Scholar] [CrossRef]
- Liu, J.; Li, S.; Yue, S.; Tian, J.; Chen, H.; Jiang, H.; Siddique, K.H.M.; Zhan, A.; Fang, Q.; Yu, Q. Soil microbial community and network changes after long-term use of plastic mulch and nitrogen fertilization on semiarid farmland. Geoderma 2021, 396, 115086. [Google Scholar] [CrossRef]
- Li, S.; Zhang, S.; Pu, Y.; Li, T.; Xu, X.; Jia, Y.; Deng, O.; Gong, G. Dynamics of soil labile organic carbon fractions and C-cycle enzyme activities under straw mulch in Chengdu Plain. Soil Tillage Res. 2016, 155, 289–297. [Google Scholar] [CrossRef]
- Nan, W.; Li, S.; Dong, Z.; Yao, P. CH4 fluxes and diffusion within soil profiles subjected to different fertilizer regimes on China’s Loess Plateau. Agric. Ecosyst. Environ. 2020, 287, 106679. [Google Scholar] [CrossRef]
- Yakoub, A.; Lloveras, J.; Biau, A.; Lindquist, J.L.; Lizaso, J.I. Testing and improving the maize models in dssat: Development, growth, yield, and n uptake. Field Crop Res. 2017, 212, 95–106. [Google Scholar] [CrossRef]
- Bao, S.D. Soil Agrochemical Analysis, 3rd ed.; China Agriculture Press: Beijing, China, 2000. [Google Scholar]
- Ghani, A.; Dexter, M.; Perrott, K.W. hot-water extractable carbon in soils: A sensitive measurement for determining impacts of fertilisation, grazing and cultivation. Soil Biol. Biochem. 2003, 35, 1231–1243. [Google Scholar] [CrossRef]
- Weil, R.R.; Islam, K.R.; Stine, M.A.; Gruver, J.B.; Samson-Liebig, S.E. Estimating active carbon for soil quality assessment: A simplified method for laboratory and field use. Am. J. Altern. Agric. 2003, 18, 3–17. [Google Scholar] [CrossRef]
- Walkley, A.; Black, I.A. An examination of the Degtjareff method for determining organic carbon in soils: Effect of variations in digestion conditions and inorganic soil constituents. Soil Sci. 1934, 63, 251–263. [Google Scholar] [CrossRef]
- Majumder, B.; Mandal, B.; Bandyopadhyay, P.K.; Chaudhury, J. Soil organic carbon pools and productivity relationships for a 34 year old rice-wheat-jute agroecosystem under different fertilizer treatments. Plant Soil 2007, 297, 53–67. [Google Scholar] [CrossRef]
- Liu, Z.; Chen, Z.; Ma, P.; Meng, Y.; Zhou, J. Effects of tillage, mulching and N management on yield, water productivity, N uptake and residual soil nitrate in a long-term wheat-summer maize cropping system. Field Crops Res. 2017, 213, 154–164. [Google Scholar] [CrossRef]
- Cai, A.; Xu, M.; Wang, B.; Zhang, W.; Liang, G.; Hou, E.; Luo, Y. Manure acts as a better fertilizer for increasing crop yields than synthetic fertilizer does by improving soil fertility. Soil Tillage Res. 2019, 189, 168–175. [Google Scholar] [CrossRef]
- Yan, B.J.; Zhang, Y.P.; Wang, Y.Z.; Rong, X.M.; Peng, J.W.; Fei, J.C.; Gongwen, L. Biochar amendments combined with organic fertilizer improve maize productivity and mitigate nutrients loss by regulating the C–N–P stoichiometry of soil, microbiome, and enzymes. Chemosphere 2023, 324, 138293. [Google Scholar] [CrossRef]
- Zhang, Y.; E, S.; Wang, Y.; Su, S.; Bai, L.; Wu, C.; Zeng, X. Long-term manure application enhances the stability of aggregates and aggregate-associated carbon by regulating soil physicochemical characteristics. Catena 2021, 203, 105342. [Google Scholar] [CrossRef]
- Lai, Z.; Zhang, H.; Ding, X.; Liao, Z.; Zhang, C.; Yu, J.; Pei, S.; Dou, Z.; Li, Z.; Fan, J. Ridge-furrow film mulch with nitrogen fertilization improves grain yield of dryland maize by promoting root growth, plant nitrogen uptake and remobilization. Soil Tillage Res. 2024, 241, 106118. [Google Scholar] [CrossRef]
- Li, Y.; Chen, Z.M.; Chen, J.; Castellano, M.J.; Ye, C.L.; Zhang, N.; Miao, Y.C.; Zheng, H.J.; Li, J.J.; Ding, W.X. Oxygen availability regulates the quality of soil dissolved organic matter by mediating microbial metabolism and iron oxidation. Global Change Biol. 2022, 28, 7410–7427. [Google Scholar] [CrossRef] [PubMed]
- Culman, S.W.; Snapp, S.S.; Freeman, M.A.; Schipanski, M.E.; Beniston, J.; Lal, R.; Drinkwater, L.E.; Franzluebbers, A.J.; Glover, J.D.; Grandy, A.S.; et al. Permanganate oxidisable carbon reflects a processed soil fraction that is sensitive to management. Soil Sci. Soc. Am. J. 2012, 76, 494–504. [Google Scholar] [CrossRef]
- Cotrufo, M.F.; Lavallee, J.M. Soil organic matter formation, persistence, and functioning: A synthesis of current understanding to inform its conservation and regeneration. Adv. Agron. 2022, 172, 1–66. [Google Scholar]
- Witzgall, K.; Vidal, A.; Schubert, D.I.; Hoschen, C.; Schweizer, S.A.; Buegger, F.; Pouteau, V.; Chenu, C.; Mueller, C.W. Particulate organic matter as a functional soil component for persistent soil organic carbon. Nat. Commun. 2021, 12, 4115. [Google Scholar] [CrossRef]
- Cotrufo, M.F.; Soong, J.L.; Horton, A.J.; Campbell, E.E.; Haddix, M.L.; Wall, D.H.; Parton, W.J. Formation of soil organic matter via biochemical and physical pathways of litter mass loss. Nat. Geosci. 2015, 8, 776–779. [Google Scholar] [CrossRef]
- Hammel, K.E. Fungal degradation of lignin. In Driven by Natire: Plant Litter Quality and Decomposition; Cadish, E.D.S.G., Giller, K.E., Eds.; CAB International: Wallingford, UK, 1997; pp. 33–45. [Google Scholar]
- Tian, G.; Kang, B.T.; Brussaard, T. Biological effects of plant residues with contrasting chemical compositions under humid tropical conditions decomposition and nutrients release. Soil Biol. Biochem. 1992, 24, 1051–1060. [Google Scholar] [CrossRef]
- Shao, G.; Xu, Y.; Zhou, J.; Tian, P.; Ai, J.; Yang, Y.; Zamanian, K.; Zeng, Z.; Zang, H. Enhanced soil organic carbon stability in rhizosphere through manure application. Soil Tillage Res. 2024, 244, 106223. [Google Scholar] [CrossRef]
- Yang, J.; Ren, L.; Zhang, N.; Liu, E.; Sun, S.; Ren, X.; Jia, Z.; Wei, T.; Zhang, P. Can soil organic carbon sequestration and the carbon management index be improved by changing the film mulching methods in the semiarid region? J. Integr. Agric. 2024, 23, 1541–1556. [Google Scholar] [CrossRef]
- Chen, L.; Zhou, S.; Zhang, Q.; Zou, M.; Yin, Q.; Qiu, Y.; Qin, W. Effect of organic material addition on active soil organic carbon and microbial diversity: A meta-analysis. Soil Tillage Res. 2024, 241, 106128. [Google Scholar] [CrossRef]






| Year | Treatment | Dry Matter Accumulation | Plant N | Plant P | Plant K | Grain N | Grain P | Grain K |
|---|---|---|---|---|---|---|---|---|
| - | - | Mg ha−1 | kg ha−1 | kg ha−1 | kg ha−1 | kg ha−1 | kg ha−1 | kg ha−1 |
| 2019 | CK | 25.2 b | 209.2 bc | 28.3 b | 118.2 b | 156.1 b | 23.8 b | 31.6 b |
| GM | 21.9 c | 200.3 c | 31.7 ab | 117.8 b | 156.9 b | 29.3 ab | 28.7 b | |
| FM | 26.1 b | 250.5 ab | 31.9 ab | 127.3 b | 196.3 a | 28.6 ab | 32.9 b | |
| FCM | 29.6 a | 290.5 a | 44.6 a | 173.4 a | 224.0 a | 39.7 a | 40.3 a | |
| 2020 | CK | 22.7 b | 207.2 c | 34.8 b | 119.1 c | 145.2 c | 28.7 b | 28.1 c |
| GM | 20.0 b | 179.6 c | 32.0 b | 95.2 d | 126.6 c | 26.9 b | 23.9 bc | |
| FM | 26.9 a | 261.0 b | 36.3 b | 147.1 b | 183.8 b | 31.6 b | 31.2 b | |
| FCM | 28.8 a | 313.0 a | 50.5 a | 193.2 a | 218.2 a | 43.4 a | 37.5 a |
| 2019 | 2020 | |||||||||||
|---|---|---|---|---|---|---|---|---|---|---|---|---|
| Treat Ment | CVL | CL | CLL | CNL | AP | PP | CVL | CL | CLL | CNL | AP | PP |
| g kg−1 | g kg−1 | g kg−1 | g kg−1 | g kg−1 | g kg−1 | g kg−1 | g kg−1 | g kg−1 | g kg−1 | g kg−1 | g kg−1 | |
| 0–20 cm | ||||||||||||
| CK | 2.85 b | 1.36 b | 1.01 a | 2.94 a | 4.21 b | 3.95 a | 2.02 b | 1.99 a | 1.54 ab | 2.88 b | 4.01 b | 4.42 ab |
| GM | 2.88 b | 1.44 b | 0.92 a | 2.87 a | 4.32 b | 3.80 a | 1.77 bc | 2.22 a | 1.03 b | 3.13 ab | 4.00 b | 4.16 b |
| FM | 2.56 b | 1.35 b | 0.53 b | 3.37 a | 3.91 b | 3.90 a | 1.44 c | 2.05 a | 0.49 b | 3.47 a | 3.49 b | 3.96 b |
| FCM | 4.40 a | 2.17 a | 1.13 a | 3.24 a | 6.58 a | 4.37 a | 4.14 a | 2.17 a | 2.87 a | 3.43 a | 6.31 a | 6.30 a |
| 20–40 cm | ||||||||||||
| CK | 2.29 a | 1.35 a | 0.84 a | 1.67 a | 3.64 a | 2.51 a | 1.72 b | 1.26 b | 1.44 a | 2.59 a | 2.97 b | 4.03 a |
| GM | 1.86 a | 0.92 a | 0.89 a | 2.33 a | 2.78 a | 3.22 a | 1.06 b | 2.52 a | 0.58 b | 1.92 b | 3.58 b | 2.50 b |
| FM | 2.20 a | 0.70 a | 1.04 a | 2.38 a | 2.90 a | 3.41 a | 1.05 b | 2.15 ab | 0.61 b | 2.54 a | 3.20 b | 3.15 ab |
| FCM | 2.54 a | 1.18 a | 1.28 a | 1.89 a | 3.72 a | 3.17 a | 3.00 a | 1.76 ab | 1.51 a | 1.91 b | 4.76 a | 3.42 a |
| 40–60 cm | ||||||||||||
| CK | 1.78 a | 1.18 a | 1.16 a | 1.20 b | 2.96 a | 2.36 a | 0.80 b | 0.53 b | 1.89 a | 2.41 a | 1.34 c | 4.29 a |
| GM | 1.61 a | 1.30 a | 0.39 b | 2.20 a | 2.91 a | 2.59 a | 0.60 b | 2.17 a | 0.94 c | 1.72 ab | 2.77 ab | 2.66 b |
| FM | 1.49 a | 1.38 a | 0.39 b | 2.05 ab | 2.87 a | 2.44 a | 0.90 b | 1.32 ab | 1.20 bc | 1.81 ab | 2.22 b | 3.01 b |
| FCM | 1.80 a | 1.10 a | 0.88 ab | 1.52 ab | 2.90 a | 2.40 a | 1.92 a | 1.43 ab | 1.72 ab | 1.08 b | 3.35 a | 2.80 b |
| Treat Ment | Year | SOC | LOCFs | SOCFs | ||||||||
|---|---|---|---|---|---|---|---|---|---|---|---|---|
| - | - | WSC | HWC | POXC | POC | CVL | CL | CLL | CNL | AP | PP | |
| GM | 2019 | 0.59 | 1.50 | 1.39 | 4.45 | 22.8 | 1.35 | 8.13 | 6.22 | 0.53 | 2.79 | 3.40 |
| 2020 | 3.27 | 7.24 | 9.59 | 2.35 | 20.1 | 12.6 | 12.9 | 35.4 | 8.68 | 0.50 | 6.40 | |
| Mean | 1.93 | 4.37 | 5.49 | 3.40 | 21.5 | 6.98 | 10.5 | 20.8 | 4.61 | 1.64 | 4.90 | |
| CV | 97.9 | 93.0 | 105.6 | 43.6 | 8.90 | 114.11 | 31.8 | 99.2 | 125.1 | 98.32 | 43.34 | |
| FM | 2019 | 4.36 | 42.8 | 17.0 | 13.8 | 25.8 | 11.7 | 3.06 | 41.8 | 16.7 | 6.79 | 1.03 |
| 2020 | 11.6 | 10.4 | 16.2 | 18.9 | 28.9 | 15.5 | 5.76 | 39.5 | 11.9 | 13.09 | 9.61 | |
| Mean | 7.98 | 26.6 | 16.6 | 16.3 | 27.3 | 13.6 | 4.41 | 40.6 | 14.3 | 9.94 | 5.32 | |
| CV | 64.3 | 86.4 | 3.52 | 22.2 | 7.89 | 19.3 | 43.4 | 3.92 | 23.8 | 44.84 | 114.03 | |
| FCM | 2019 | 34.1 | 18.1 | 105.3 | 53.4 | 70.7 | 66.3 | 82.5 | 126.5 | 1.67 | 57.66 | 10.71 |
| 2020 | 37.4 | 4.11 | 30.6 | 54.7 | 75.1 | 134.1 | 7.28 | 841.1 | 1.14 | 56.99 | 41.64 | |
| Mean | 35.8 | 11.1 | 67.9 | 54.1 | 72.9 | 100.2 | 44.9 | 483.8 | 1.40 | 57.33 | 26.18 | |
| CV | 6.50 | 89.1 | 77.8 | 1.70 | 4.25 | 47.9 | 118.5 | 104.4 | 26.4 | 0.82 | 83.54 | |
| Plant N | Plant P | Plant K | Grain N | Grain P | Grain K | |
|---|---|---|---|---|---|---|
| SOC | 0.726 ** | 0.790 ** | 0.746 ** | 0.682 ** | 0.719 ** | 0.618 ** |
| WSC | 0.051 | 0.019 | 0.139 | 0.212 | 0.036 | 0.363 |
| HWC | 0.608 ** | 0.439 * | 0.571 ** | 0.635 ** | 0.490 * | 0.622 ** |
| POXC | 0.603 ** | 0.820 ** | 0.748 ** | 0.576 ** | 0.778 ** | 0.627 ** |
| POC | 0.699 ** | 0.754 ** | 0.743 ** | 0.644 ** | 0.690 ** | 0.648 ** |
| CVL | 0.603 ** | 0.704 ** | 0.662 ** | 0.681 ** | 0.672 ** | 0.756 ** |
| CL | 0.251 | 0.510 * | 0.329 | 0.122 | 0.480 * | 0.106 |
| CLL | 0.481 * | 0.570 ** | 0.497 * | 0.328 | 0.468 * | 0.191 |
| CNL | 0.398 | −0.037 | 0.271 | 0.389 | −0.005 | 0.218 |
| AP | 0.638 ** | 0.826 ** | 0.721 ** | 0.662 ** | 0.786 ** | 0.724 ** |
| PP | 0.579 ** | 0.482 * | 0.542 ** | 0.442 * | 0.406 * | 0.253 |
| CMI | 0.655 ** | 0.812 ** | 0.728 ** | 0.651 ** | 0.754 ** | 0.702 ** |
Disclaimer/Publisher’s Note: The statements, opinions and data contained in all publications are solely those of the individual author(s) and contributor(s) and not of MDPI and/or the editor(s). MDPI and/or the editor(s) disclaim responsibility for any injury to people or property resulting from any ideas, methods, instructions or products referred to in the content. |
© 2025 by the authors. Licensee MDPI, Basel, Switzerland. This article is an open access article distributed under the terms and conditions of the Creative Commons Attribution (CC BY) license (https://creativecommons.org/licenses/by/4.0/).
Share and Cite
Zhang, F.; Liu, K.; Song, Q.; Wang, L.; Li, R.; Wu, K.; Han, J.; Li, S. Long-Term Film Mulching with Manure Amendment Drives Trade-Offs Between Spring Maize Nutrient Uptake and Topsoil Carbon Stability on the Loess Plateau. Agronomy 2025, 15, 1352. https://doi.org/10.3390/agronomy15061352
Zhang F, Liu K, Song Q, Wang L, Li R, Wu K, Han J, Li S. Long-Term Film Mulching with Manure Amendment Drives Trade-Offs Between Spring Maize Nutrient Uptake and Topsoil Carbon Stability on the Loess Plateau. Agronomy. 2025; 15(6):1352. https://doi.org/10.3390/agronomy15061352
Chicago/Turabian StyleZhang, Fangfang, Kai Liu, Qilong Song, Linjuan Wang, Renshan Li, Kongyang Wu, Jianming Han, and Shiqing Li. 2025. "Long-Term Film Mulching with Manure Amendment Drives Trade-Offs Between Spring Maize Nutrient Uptake and Topsoil Carbon Stability on the Loess Plateau" Agronomy 15, no. 6: 1352. https://doi.org/10.3390/agronomy15061352
APA StyleZhang, F., Liu, K., Song, Q., Wang, L., Li, R., Wu, K., Han, J., & Li, S. (2025). Long-Term Film Mulching with Manure Amendment Drives Trade-Offs Between Spring Maize Nutrient Uptake and Topsoil Carbon Stability on the Loess Plateau. Agronomy, 15(6), 1352. https://doi.org/10.3390/agronomy15061352

