Development of a Circular Nutrient Solution Management System Using a Cost Function
Abstract
1. Introduction
2. Materials and Methods
2.1. Preparation of Ion-Selective Electrodes
2.2. Nutrient Solution Management Techniques for Recirculating Hydroponic Systems
2.3. Algorithms for Calculating Individual Salt Replenishment Amounts
- Each individual salt (CaNO34H2O, KH2PO4, KNO3, NH4H2PO4, MgSO4, NH4NO3, and K2SO4);
- Molecular weight by ion for each individual salt;
- Concentration of each ion after replenishment [mg/L];
- Current concentration of each ion [mg/L];
- Target concentration of each ion [mg/L];
- Current water level of nutrient solution tank [L];
- Target water level of nutrient solution tank [L];
- Amount of each ion replenished [mg];
- Amount of individual salts replenished [mg].
- Carbon emission coefficients of each individual salt.
2.4. Verification of Individual Salt Replenishment Algorithm Through Simulation
2.5. Development of an Individual Salt Replenishment System
2.6. Individual Salt Replenishment Test
- x = Each individual salt (CaNO3⋅4H2O, KH2PO4, KNO3, NH4H2PO4, MgSO4, NH4NO3, and K2SO4);
- = Operation time of each individual pump [s];
- = Individual salt input amount, calculated using the algorithm [mg];
- = Concentration of each individual salt [mg/L];
- = Discharge volume of the pump allocated to each individual salt [mL/min].
3. Results and Discussion
3.1. Five-Step Simulation Prediction Results
3.2. Individual Salt Replenishment System Test
4. Conclusions
Author Contributions
Funding
Data Availability Statement
Conflicts of Interest
References
- Son, J.E.; Kim, H.J.; Ahn, T.I. Hydroponic systems. In Plant Factory; Elsevier: Amsterdam, The Netherlands, 2020; pp. 273–283. [Google Scholar]
- Sharma, N.; Acharya, S.; Kumar, K.; Singh, N.; Chaurasia, O.P. Hydroponics as an advanced technique for vegetable production: An overview. J. Soil Water Conserv. 2018, 17, 364–371. [Google Scholar] [CrossRef]
- Kumar, R.R.; Cho, J.Y. Reuse of hydroponic waste solution. Environ. Sci. Pollut. Res. 2014, 21, 9569–9577. [Google Scholar] [CrossRef] [PubMed]
- Trejo-Téllez, L.I.; Gómez-Merino, F.C. Nutrient solutions for hydroponic systems. In Hydroponics-A Standard Methodology for Plant Biological Researches; IntechOpen: London, UK, 2012; pp. 1–22. [Google Scholar]
- Geoffrey, R.; Dixon, M.A.; Arnold, K.E. Evaluation of sensor technologies for automated control of nutrient solutions in LSS using higher plants. In Proceedings of the Sixth European Symposium on Space Environmental Control Systems, Noordwijk, The Netherlands, 20–22 May 1997; p. 851. [Google Scholar]
- Domingues, D.S.; Takahashi, H.W.; Camara, C.A.; Nixdorf, S.L. Automated system developed to control pH and concentration of nutrient solution evaluated in hydroponic lettuce production. Comput. Electron. Agric. 2012, 84, 53–61. [Google Scholar] [CrossRef]
- Katsoulas, N.; Savvas, D.; Kitta, E.; Bartzanas, T.; Kittas, C. Extension and evaluation of a model for automatic drainage solution management in tomato crops grown in semi-closed hydroponic systems. Comput. Electron. Agric. 2015, 113, 61–71. [Google Scholar] [CrossRef]
- Kozai, T. Smart plant factory. In The Next Generation Indoor Vertical Farms; Springer: Singapore, 2018; p. 238. [Google Scholar]
- Savvas, D.; Manos, G. Automated composition control of nutrient solution in closed soilless culture systems. J. Agric. Eng. Res. 1999, 73, 29–33. [Google Scholar] [CrossRef]
- Savvas, D. SW—Soil and Water: Automated replenishment of recycled greenhouse effluents with individual nutrients in hydroponics by means of two alternative models. Biosyst. Eng. 2002, 83, 225–236. [Google Scholar] [CrossRef]
- Kim, J.; Kim, H.-J.; Gang, M.-S.; Kim, D.-W.; Cho, W.-J.; Jang, J.K. Closed hydroponic nutrient solution management using multiple water sources. J. Biosyst. Eng. 2023, 48, 215–224. [Google Scholar] [CrossRef]
- Bamsey, M.; Graham, T.; Thompson, C.; Berinstain, A.; Scott, A.; Dixon, M. Ion-specific nutrient management in closed systems: The necessity for ion-selective sensors in terrestrial and space-based agriculture and water management systems. Sensors 2012, 12, 13349–13392. [Google Scholar] [CrossRef] [PubMed]
- Rius-Ruiz, F.X.; Andrade, F.J.; Riu, J.; Rius, F.X. Computer-operated analytical platform for the determination of nutrients in hydroponic systems. Food Chem. 2014, 147, 92–97. [Google Scholar] [CrossRef] [PubMed]
- Cho, W.J.; Kim, H.-J.; Jung, D.H.; Kang, C.I.; Choi, G.-L.; Son, J.-E. An embedded system for automated hydroponic nutrient solution management. Trans. ASABE 2017, 60, 1083–1096. [Google Scholar] [CrossRef]
- Kim, H.-J.; Hummel, J.W.; Birrell, S.J. Evaluation of nitrate and potassium ion-selective membranes for soil macronutrient sensing. Trans. ASABE 2006, 49, 597–606. [Google Scholar] [CrossRef]
- Kim, H.-J.; Kim, W.-K.; Roh, M.-Y.; Kang, C.-I.; Park, J.-M.; Sudduth, K.A. Automated sensing of hydroponic macronutrients using a computer-controlled system with an array of ion-selective electrodes. Comput. Electron. Agric. 2013, 93, 46–54. [Google Scholar] [CrossRef]
- Jung, D.-H.; Kim, H.-J.; Cho, W.-J.; Park, S.H.; Yang, S.-H. Validation testing of an ion-specific sensing and control system for precision hydroponic macronutrient management. Comput. Electron. Agric. 2019, 156, 660–668. [Google Scholar] [CrossRef]
- Chowdhury, M.; Islam, M.N.; Reza, M.N.; Ali, M.; Rasool, K.; Kiraga, S.; Lee, D.-H.; Chung, S.-O. Sensor-based nutrient recirculation for aeroponic lettuce cultivation. J. Biosyst. Eng. 2021, 46, 81–92. [Google Scholar] [CrossRef]
- Xu, K.; Kitazumi, Y.; Kano, K.; Shirai, O. Automatic Management of Nutrient Solution for Hydroponics—Construction of Multi-ion Stat—. Anal. Sci. 2020, 36, 1141–1144. [Google Scholar] [CrossRef]
- Jung, D.H.; Kim, H.-J.; Choi, G.L.; Ahn, T.-I.; Son, J.-E.; Sudduth, K.A. Automated lettuce nutrient solution management using an array of ion-selective electrodes. Trans. ASABE 2015, 58, 1309–1319. [Google Scholar]
- Knoll, M.; Cammann, K.; Dumschatt, C.; Borchardt, M.; Högg, G. Microfibre matrix-supported ion-selective PVC membranes. Sens. Actuators B Chem. 1994, 20, 1–5. [Google Scholar] [CrossRef]
- Kim, H.-J.; Hummel, J.W.; Sudduth, K.A.; Motavalli, P.P. Simultaneous analysis of soil macronutrients using ion-selective electrodes. Soil Sci. Soc. Am. J. 2007, 71, 1867–1877. [Google Scholar] [CrossRef]
- Gieling, T.H.; Van Straten, G.; Janssen, H.; Wouters, H. ISE and Chemfet sensors in greenhouse cultivation. Sens. Actuators B Chem. 2005, 105, 74–80. [Google Scholar] [CrossRef]
- Jang, J.K.; Kang, G.C.; Ryu, H. Effect of reducing carbon emissions by reusing drainage produced during strawberry nutrient solution cultivation. In Proceedings of the Korean Society for Agricultural Machinery Conference, Daejeon, Republic of Korea, 27 April 2023; Volume 28, p. 248. [Google Scholar]
- Brentrup, F.; Lammel, J.; Stephani, T.; Christensen, B. Updated carbon footprint values for mineral fertilizer from different world regions. In Proceedings of the 11th International Conference on Life Cycle Assessment of Food, Bangkok, Thailand, 17 October 2018; pp. 17–19. [Google Scholar]
- Hoagland, D.R.; Arnon, D.I. The water-culture method for growing plants without soil. Circ. Calif. Agric. Exp. Stn. 1938, 347, 39. [Google Scholar]
- Cho, W.-J.; Gang, M.-S.; Kim, D.-W.; Kim, J.; Jung, D.-H.; Kim, H.-J. Decision-tree-based ion-specific dosing algorithm for enhancing closed hydroponic efficiency and reducing carbon emissions. Front. Plant Sci. 2023, 14, 1301490. [Google Scholar] [CrossRef]
- Baron, D.; Ferreira, G.; Boaro, C.; Rodrigues, J.; Amaro, A.; Mischan, M. The effect of the ionic strength of nutrient solution on gas exchange, ionic concentration and leaf biomass of Annona emarginata (Schltdl.) H. Rainer variety ‘Terra-Fria’seedlings. J. Plant Nutr. 2015, 38, 1944–1960. [Google Scholar] [CrossRef]
- Song, J.; Xu, L.; He, D.; Tuskagoshi, S.; Kozai, T.; Shinohara, Y. Estimating EC and ionic EC contribution percentage of nutrient solution based on ionic activity. Int. J. Agric. Biol. Eng. 2019, 12, 42–48. [Google Scholar] [CrossRef]
- Sampaio, I.M.; Silva, M.L.; Bittencourt, R.F.; Santos, G.A.d.; Nunes, F.K.; Costa, V.C. Productive and physiological responses of jambu (Acmella oleracea) under nutrient concentrations in nutrient solution. Hortic. Bras. 2021, 39, 65–71. [Google Scholar] [CrossRef]











| Component | K | NO3 |
|---|---|---|
| Ionophore | Valinomycin 2.0%, 4 mg | TDDA (Tetradodecylammonium nitrate) 4.0%, 8 mg |
| Plasticizer | Dos (Bis(2-ethylhexyl) sebacate) 64.7%, 129.4 mg | NPOE (2-nitrophenyl octylether) 67.75%, 135.5 mg |
| Matrix | PVC (polyvinyl chloride) 32.8%, 65.6 mg | PVC 28.25%, 56.5 mg |
| Additive | KTpClPhB (potassium tetrakis (p-chlorophenyl)borate) 0.5%, 1 mg | - |
| Inner filling solution | 0.01 M KCl | 0.01 M NaNO3 + 0.01 M NaCl |
| Conditioning | 0.01 M KCl | 0.01M NaNO3 |
| Solvent | Dissolved in tetrahydrofuran (THF) 2 mL and stirred | |
| Reference | [21] | [20] |
| Individual Salts | kgCO2/kg |
|---|---|
| 4H2O | 2.34 |
| KH2PO4 | 0.81 |
| NH4H2PO4 | 1.15 |
| KNO3 | 10.3 |
| NH4NO3 | 2.20 |
| 7H2O | 1.54 |
| K2SO4 | 0.36 |
| Step | Target Ion Concentration (mg/L) | Target Water Volume (L) | ||
|---|---|---|---|---|
| Ca | NO3 | K | ||
| Initial | 80 | 434 | 117 | 10 |
| 1st | 80 | 347.2 | 93.6 | 15 |
| 2nd | 96 | 347.2 | 117 | 20 |
| 3rd | 64 | 434 | 140.4 | 25 |
| 4th | 80 | 434 | 93.6 | 30 |
| 5th | 96 | 520.8 | 140.4 | 40 |
| Individual Salts | mg/L | |
|---|---|---|
| A | 4H2O | 472.3 |
| Fe-EDTA | 21.055 | |
| KNO3 | 151.65 | |
| B | KNO3 | 151.65 |
| NH4H2PO4 | 57.53 | |
| 7H2O | 246.48 | |
| H3BO3 | 1.43 | |
| 4H2O | 0.905 | |
| 7H2O | 0.11 | |
| 5H2O | 0.01 | |
| 2H2O | 0.01 | |
| H2O | 0.772897 |
| Step | Target Ion Concentration (mg/L) | ||
|---|---|---|---|
| Ca | NO3 | K | |
| Simplex | 8.9% | 5.7% | 24.8% |
| IBP | 5.5% | 0.5% | 11.2% |
| CER | 12.0% | 5.4% | 10.5% |
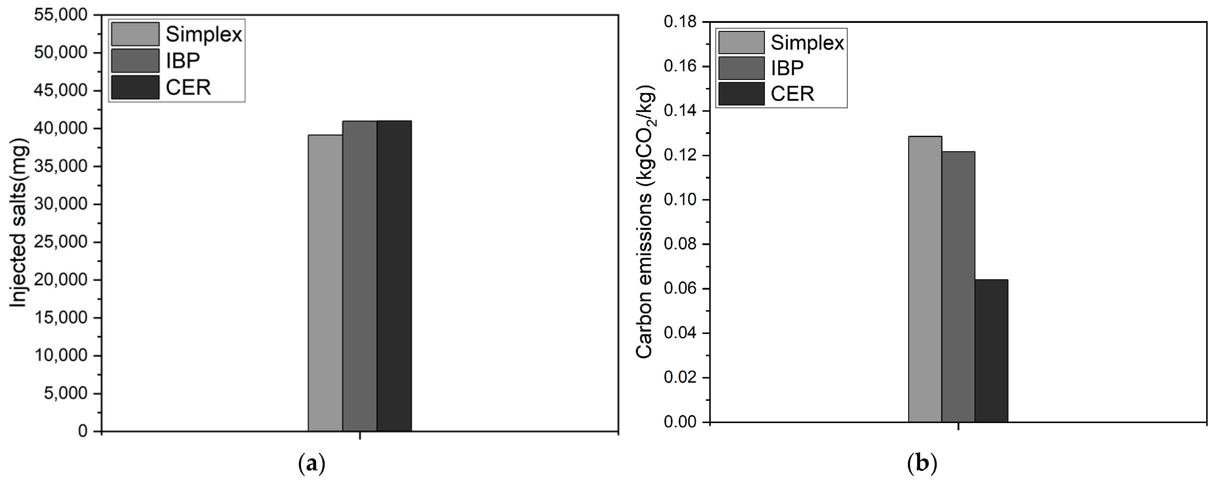
| Simplex | IBP | CER | |
|---|---|---|---|
| Injected salts (mg) | 39,139.10 mg | 40,991.76 mg | 41,012.539 mg |
| Carbon emissions (kgCO2) | 0.12849 kgCO2/kg | 0.12158 kgCO2/kg | 0.064 kgCO2/kg |
Disclaimer/Publisher’s Note: The statements, opinions and data contained in all publications are solely those of the individual author(s) and contributor(s) and not of MDPI and/or the editor(s). MDPI and/or the editor(s) disclaim responsibility for any injury to people or property resulting from any ideas, methods, instructions or products referred to in the content. |
© 2024 by the authors. Licensee MDPI, Basel, Switzerland. This article is an open access article distributed under the terms and conditions of the Creative Commons Attribution (CC BY) license (https://creativecommons.org/licenses/by/4.0/).
Share and Cite
Shin, Y.-H.; Kim, I.; Yang, M.; Jang, Y.-K.; Saludes, R.B.; Kim, H.-J.; Cho, W.-J. Development of a Circular Nutrient Solution Management System Using a Cost Function. Agronomy 2025, 15, 51. https://doi.org/10.3390/agronomy15010051
Shin Y-H, Kim I, Yang M, Jang Y-K, Saludes RB, Kim H-J, Cho W-J. Development of a Circular Nutrient Solution Management System Using a Cost Function. Agronomy. 2025; 15(1):51. https://doi.org/10.3390/agronomy15010051
Chicago/Turabian StyleShin, Yeong-Hyeon, Insu Kim, Myongkyoon Yang, Young-Kyun Jang, Ronaldo B. Saludes, Hak-Jin Kim, and Woo-Jae Cho. 2025. "Development of a Circular Nutrient Solution Management System Using a Cost Function" Agronomy 15, no. 1: 51. https://doi.org/10.3390/agronomy15010051
APA StyleShin, Y.-H., Kim, I., Yang, M., Jang, Y.-K., Saludes, R. B., Kim, H.-J., & Cho, W.-J. (2025). Development of a Circular Nutrient Solution Management System Using a Cost Function. Agronomy, 15(1), 51. https://doi.org/10.3390/agronomy15010051

