Next Article in Journal
Assessing the Impacts of Climate Change on Geographical Distribution of Tea (Camellia sinensis L.) in Kenya with Maximum Entropy Model
Previous Article in Journal
Effects of Phosphorus Application Levels on Its Uptake and Utilization in Foxtail Millet
 
 
Font Type:
Arial Georgia Verdana
Font Size:
Aa Aa Aa
Line Spacing:
Column Width:
Background:
Article

The Impact of Suspension Fertilizers Based on Waste Phosphorus Salts from Polyol Production on the Content of Macronutrients in Maize Grown for Green Fodder

by
Paulina Bogusz
1,2,*,
Marzena Sylwia Brodowska
2 and
Paweł Muszyński
3
1
Fertilizers Research Group, Łukasiewicz Research Network—New Chemical Syntheses Institute, Al. Tysiąclecia Państwa Polskiego 13a, 24-110 Puławy, Poland
2
Department of Agricultural and Environmental Chemistry, University of Life Sciences in Lublin, Akademicka 13, 20-950 Lublin, Poland
3
Department of Chemistry, University of Life Sciences in Lublin, Akademicka 13, 20-950 Lublin, Poland
*
Author to whom correspondence should be addressed.
Agronomy 2024, 14(9), 2079; https://doi.org/10.3390/agronomy14092079
Submission received: 5 August 2024 / Revised: 6 September 2024 / Accepted: 8 September 2024 / Published: 11 September 2024
(This article belongs to the Section Agroecology Innovation: Achieving System Resilience)

Abstract

Mineral phosphorus is a non-renewable resource that is constantly decreasing due to intensive fertilizer production. In total, 90% of mined phosphate ore is used for fertilizer purposes, so the demand for phosphorus is the highest in this sector. In this respect, it is advisable to strive to close the phosphorus cycle. In addition, economically viable phosphate-bearing deposits are concentrated in just a few locations worldwide. This comes down to the fact that most countries are simply dependent on imports of this raw material. This and the growing amount of waste have contributed to the search for alternative sources of phosphorus. One example of such phosphorus-containing waste that has fertilizer potential is sodium–potassium phosphate waste from polyol production. This article describes the effect of suspension fertilizers based on polyol production waste on the content of macronutrients in maize intended for green fodder. Fertilizers containing only basic nutrients (NPK) and fertilizers enriched with secondary components (S, Mg) and micronutrients (Zn, Mn, B) were evaluated. The conducted studies confirmed the effectiveness of the tested suspension fertilizers. The content of macronutrients in the dry mass of maize was at a similar level compared with the results obtained in the control, in which Fosdar was used for fertilization, which confirms the suitability of these products for agricultural use.

1. Introduction

The population is growing at a very fast pace and in order to meet its requirements, plant growth intensifiers are necessary. Phosphorus, alongside nitrogen and potassium, plays a key role here. As a building block of living organisms, it is one of the most important nutrients for plants and animals [1,2,3]. It is necessary to supplement its deficiencies in the soil [1,2]. Phosphorus deficiency in soil is often the main factor limiting plant growth. Its insufficient amount, especially in the early stages of development of annual plants, can result in reduced yield. Later correction of its dose is not able to restore proper plant growth [3].
The main source of phosphorus in agriculture is phosphates. These are sedimentary minerals made of calcium phosphate with an admixture of quartz, dolomite, glauconite, or aluminosilicates. They may contain significant amounts of organic substances, iron, aluminum, heavy metals, and radioactive substances, which make their processing difficult [1].
Phosphate ores are not equal in terms of phosphorus content and can contain from 12 to 38% P2O5. The current state of technology offers economically profitable exploitation of phosphate ores with a P2O5 content above 28%. The value of the raw material is also dependent on its chemical activity. Older phosphates, called hard, have lower chemical activity compared to younger (soft) ones [1]. The phosphorus contained in them has limited availability for plants, which is why they are processed using acids (mainly sulfuric acid) [4]. Their estimated extraction capacity is between 165 and 195 million tons per year. Experts have reported different estimates of the time of use of such resources, but they agree on one thing—they are a non-renewable source and will be exhausted sooner or later [5]. Another problematic issue is the uneven distribution of economically important phosphate mines on a global scale [5,6]. More than two-thirds of the raw material extracted there comes from Morocco, China, and the United States [2,3]. Europe is almost entirely dependent on these imports [2,3,7]. The importance of this raw material for agricultural production is proven by the fact that over 80% of its resources are used for fertilizing purposes, where it is the basis for the production of almost all phosphate fertilizers [2,6].
In order to obtain an effective fertilizer, phosphates are extracted with mineral acid to obtain phosphoric acid (V), which is called EKF-extraction phosphoric acid. Depending on the acid used, the calcium ion from phosphates goes into solution (hydrochloric or nitric acid) or precipitates in the form of a sparingly soluble salt, e.g., calcium sulfate (VI), using sulfuric acid [1]. By treating ground phosphate rock with sulfuric acid, we obtain the most popular phosphate fertilizer, called superphosphate. Unprocessed phosphate rock in the form of flour can also be applied as a fertilizer, provided that it is the so-called soft phosphate rock [7].
The distribution and availability of phosphate ores are not the only problem for the fertilizer industry and its beneficiary—the agricultural sector. Contamination accompanying phosphate deposits raises great concerns. Cadmium is particularly dangerous, with which mainly phosphate minerals of sedimentary origin are contaminated. This applies to deposits located in northern and eastern Africa and the Middle East. Lesser contamination is observed in minerals of volcanic origin (deposits in Finland, Russia, and the Republic of South Africa) [6]. When it enters the soil via fertilizers, it migrates easily and accumulates in plants [2,3,8]. Consuming contaminated crops is the main route of exposure for humans [8]. Cadmium is a toxic and mutagenic nutrient [3,8]. In the human body, it damages the kidneys and causes bone diseases and anemia [8]. The combination of the highly negative impact of cadmium on human health and its high content in phosphates has forced legal regulations limiting its amount in fertilizer products [2].
Sustainable phosphorus management also affects the natural environment. Intensive agriculture generates excess phosphorus in the soil, which can then migrate to nearby rivers and lakes. This is particularly true for highly permeable sandy soils, steeply sloping fields, and areas saturated with water [6]. Excess phosphates in surface waters cause eutrophication and disturb the biological balance. This has a negative impact on the diversity of species and the suitability of water for human use. Repairing such a situation can take years, especially since phosphorus accumulating in bottom sediments, after their agitation, causes the eutrophication process to resume [6].
The bad news is that there is no substitute for phosphorus, which is a non-renewable resource; the good news is that phosphorus does not disappear after use [4,9]. The basic scenario assumes its uptake from the ore and dispersion in the environment as a result of fertilization [9]. The key to maintaining the continuity of its flow is sustainable management and its effective recovery from the waste stream [9]. The question of how long natural phosphorus resources will last can therefore be answered in a rather divergent way. The fact is, however, that they are constantly shrinking and a preventive plan needs to be prepared. This is particularly important due to the growing demand for fertilizers, stimulated by the constant growth of the population [9]. The risk of deficits in the fertilizer market determines the threat to food production [8].
Since fertilizer production consumes nearly 90% of all extracted phosphorus resources, there is no way to compensate for its shortage in this sector by shifting resources from other industries [6]. The Food and Agriculture Organization of the United Nations (FAO) predicts that global demand for fertilizers will increase as populations grow and dietary habits change [6].
Rational phosphorus management is particularly important for European countries, where economically viable resources of this raw material are small. As a result, dependence on its importation reaches 90% [3,8]. In order to minimize the impact of external markets, European Union countries have turned to searching for alternative sources of phosphorus, including from waste materials. This corresponds to the assumptions of a circular economy, which assumes minimization and recycling of waste and extension of the life cycle of economic products [2]. In addition, to emphasize its high economic importance and high supply risk, phosphorus and phosphate rock have been included in the list of critical natural resources [4,8].
New EU regulations limit the cadmium content in fertilizer products, which significantly limits the use of contaminated phosphates for fertilizer purposes. On the other hand, they legally regulate and recommend the processing of waste raw materials rich in phosphorus, transforming its circulation into a closed cycle.
Phosphorus losses concern not only the waste of natural resources but also water, energy, and other resources used in the phosphorus processing cycle [6]. Thus, the production of fertilizers powered by waste materials has both ecological and economic benefits. Taking this course of action in the long term will allow the closure of the phosphorus cycle [2].
In recent years, there has been a significant increase in the share of corn in the crop structure, which makes it necessary to cultivate this species on less fertile soils. Especially in these conditions, it is important to properly balance mineral fertilization in order to maximize the yield potential of modern corn varieties [10]. It is classified as an intensive plant with high nutritional and fertilization requirements, much higher than other cereal plants [11,12]. It generates a huge amount of biomass in a short time. Optimal mineral fertilization and effective photosynthesis contribute to its rapid growth, which directly translates into higher yields of both grain and vegetative parts [10].
To ensure proper nutrition of maize grown for silage, it is essential to provide adequate amounts of essential nutrients such as nitrogen, phosphorus, potassium, sulfur, magnesium, zinc, and boron [10]. To produce one ton of green corn mass for silage, the plant needs about 3.5–4.1 kg of nitrogen (N), 1.3–1.5 kg of phosphorus (P2O5), 6.3–7.7 kg of potassium (K2O), and 0.7–0.9 kg of magnesium (MgO) [13]. In the case of corn cultivation, starter fertilization is important, which provides the necessary nutrients in the early growth period, when its root system is poorly developed [10].
Understanding the periods of greatest demand for specific nutrients in corn is important for proper plant nutrition. Deficiencies or errors in fertilization lead to a decrease in the final yield, even if the availability of nutrients is at an appropriate level in the later period. Plants such as corn, characterized by high yield potential, may experience periodic nutrient deficiencies caused by, among other factors, limited nutrient uptake from the soil as a result of unfavorable conditions, such as drought, excess moisture, low temperatures, or chemical phenomena occurring in the soil (e.g., antagonistic interaction of ions, chemical sorption) [13].
The nutritional needs of maize increase as the plant develops, especially in the case of nitrogen, most of which is taken up during the generative development phase [11]. The key period in the development of corn is the stage of switching the plant from the stage of nutrition from the kernel to nutrition through the root system, which is still insufficiently developed (4–8-leaf phase). During this period, the plant encounters difficulties in the uptake of water and nutrients, which affects its weakened growth and development. Especially at low temperatures prevailing in the spring period, problems with the uptake of phosphorus can be observed [10].
In addition, good nutrition of corn in the 4–10-leaf phase ensures an appropriate yield, because the maximum yield potential, i.e., the number of rows of kernels in the cob and their length, is established during this period. At this stage it is important to take care of adjusting fertilization to the nutritional needs of the corn. In the initial stages of development, the plant particularly needs nitrogen, easily assimilable phosphorus, and zinc. Other nutrients, such as potassium, magnesium, sulfur, calcium, and boron, are taken up by corn in later stages of growth [10].
Maize takes up most of its nutrients from 10 days before panicle shedding to 30 days after the onset of this process. During this period, the plant takes up about 70–75% of the nitrogen (N) and 60–70% of the potassium (K) for the entire growth period. A particularly important moment is the approximately two-week interval before panicle shedding, when the plants take up about 31% of their nitrogen (N), 28% of their phosphorus (P), and 38% of their potassium (K). This accounts for about half of the growth of leaf blades, which are an important photosynthetic apparatus [11].
Rational fertilization of corn with nitrogen, in addition to the dose of this nutrient, requires the correct timing of its application [10,14]. Due to the specific dynamics of nitrogen uptake by corn, it is beneficial to divide the dose of this component and apply it in two stages [11]. It is recommended that the first part of the nitrogen dose, applied before corn sowing, constitutes about 50–70% of the total demand of the plant for this nutrient. In the case of light soils with a weaker sorption complex, the nitrogen dose should be reduced accordingly [10,11]. The remaining nitrogen should be applied as a top dressing, no later than the 4–7-leaf stage. At this stage, the nutritional status of the plants can be assessed and, if necessary, fertilization can be corrected [10,11]. At this stage, it is recommended to use fast-acting nitrogen fertilizers [11]. It is important that the top dressing is not applied too late, because corn intensively absorbs nutrients from the 6-8-leaf stage until the end of flowering. A delay in applying the nitrogen dose can cause increased water content in the harvested crop [10]. It is also important to note that tall plants can, in the absence of appropriate equipment, make it difficult to apply fertilizer [11]. When applying fertilizer top dressing, the plants should be dry so that the fertilizer granules do not stick to the plants, leading to their damage. Otherwise, when the fertilizer dissolves on wet plants, it can cause them to burn [11]. In the case of corn cultivation on heavy or medium soils, a single dose of nitrogen can be applied, traditionally before corn sowing. In such a situation, it is best to apply slower-acting nitrogen fertilizers, such as urea or ammonium sulfate, about 2 weeks before corn sowing [11].
A beneficial approach is to apply phosphate fertilizers in autumn, preferably before pre-winter ploughing. The dose of phosphorus in maize cultivation can also be divided into a pre-sowing dose applied in autumn and a starter dose applied when sowing seeds [11]. It is best to apply potassium fertilizers in maize cultivation once, before sowing, during soil preparation work [11].
In corn cultivation, it is also important to properly prepare the site in terms of soil pH, especially when the soil pH is below 5.5. The dose and form of fertilizer for deacidification should be adapted to the needs of liming and the type of soil. In a corn rotation, it is best to apply liming after harvesting the previous crop. The long period from harvest to corn sowing allows the soil to reach the optimal pH for the cultivation of this plant [15].
The aim of this work was to determine the possibilities of using phosphorus, which is a waste product generated during the production of polyols in the fertilizer industry. The production of polyols, which are widely used in the plastics industry, is constantly increasing, and with it, so too is the amount of waste generated. Waste phosphorus in the form of sodium potassium phosphate contains a large amount of water, which limits the possibilities of its use. The production of granulated fertilizers based on it would require evaporation of water, which is a cost-intensive process. Therefore, it is economically justified to use such waste phosphorus in the production of suspension fertilizers, where the raw materials do not have to be completely soluble in water, thus achieving a high concentration of fertilizer components. The use of phosphorus from waste sources is particularly important because deposits of phosphate rocks, which are the main source of this nutrient for fertilizer purposes, are limited. In addition, there are no economically viable deposits in Europe, which is associated with the need to import it. Another important factor is the quality of the extracted phosphate rocks. Many of them are contaminated with cadmium, which, in light of increasingly stringent EU regulations, limits the possibilities of their use. This activity is in line with the strategy of the circular economy and sustainable development. On the one hand, it protects natural resources, and on the other, it eliminates waste. In addition, the method of using this waste in the production of suspension fertilizers is economically justified. Existing installations can be used to produce this type of fertilizer. These installations are much simpler than those used in the production of granulated fertilizers. The technological line is devoid of granulation, drying, and classification nodes. Therefore, the construction and operation of such an installation is relatively cheap.
In connection with the above, the aim of this research was to develop a relatively simple and cheap method of producing suspension fertilizers based on waste from polyol production and to test them in field crops. To achieve the assumed goals, corn was selected for field tests due to its great importance in food and feed production. For comparative purposes, the granulated phosphorus fertilizer Fosdar 40 was used due to its great popularity.
The article “The Possibility of Using Waste Phosphates from the Production of Polyols for Fertilizing Purposes” presents a detailed description of waste from polyol production [16]. The composition and form of the waste are described, along with reference to the new EU regulations on fertilizers. The article “Suspension Fertilizers Based on Waste Phosphates from the Production of Polyols” presents a method for producing suspension fertilizers based on waste from the production of polyols. The described studies present fertilizers dedicated to maize cultivation. The method of their production, the possibilities of stabilizing the produced suspensions, and the parameters determining the ease of their application are presented [17]. The article “The Impact of Suspension Fertilizers Based on Waste Phosphorus Salts from Polyol Production on the Yield of Maize Intended for Green Fodder” describes the course of the experiment and the results of the field experiment in terms of plant yield and biometric parameters [18].
This article presents the results of an analysis of macronutrient content in maize cultivated for silage, which was fertilized with innovative suspension fertilizers based on waste sodium potassium phosphate from polyol production. In the conducted field experiment, the effect of phosphorus from the waste source was compared with the commercially available granulated fertilizer Fosdar 40. Additionally, the impact of suspension fertilizers of different composition on the content of macronutrients in the test plant was also assessed. Fertilizers containing only basic macronutrients (NPK) and fertilizers enriched with secondary components (S, Mg) and micronutrients (Zn, Mn, B) were assessed.

2. Materials and Methods

A three-year field experiment was conducted on corn intended for feed, in which the effect of suspension fertilizers based on waste sodium potassium phosphate from polyol production was tested. For comparison with the effects of phosphorus from the waste source on control plots, fertilizers were used in which the phosphorus came from a commercial fertilizer—Fosdar 40. Table 1 presents the division of experimental objects in the conducted field experiment.
In the experiment, suspension fertilizers were tested with the composition of the main NPK fertilizer components differing in the amount of phosphorus: 9.5-4-11 and 9.5-6-11. Each of these fertilizers was prepared in three variants: without additives, with the addition of secondary fertilizer components (S and Mg) and with the addition of micronutrients (Zn, Mn, B). Fosdar 40 was used for fertilization on the control plots as a source of phosphorus, while the sources of nitrogen and potassium were as in the suspension fertilizers: urea–ammonium nitrate solution (RSM) and potassium salt. The control fertilizers, similarly to the tested suspension fertilizers, had two NPK compositions: 9.5-4-11 and 9.5-6-11. In the conducted experiment, the given fertilizers were applied in two nitrogen doses: 180 and 135 kg ha−1. In addition, a trial without fertilization was conducted. Three repetitions were performed for each variant, which in total constituted 51 experimental plots. The experiment was conducted for three consecutive years from 2021 to 2023. The exact scheme of the field experiment and the methodology for its conduct were presented in a previous article on the yield and quantitative parameters of maize [18].

2.1. Chemical Analyses

The determination of nitrogen in the plant was carried out by the Kjeldahl method after mineralization of the plant material in concentrated sulfuric acid (VI) (H2SO4) with the addition of 30% H2O2. The determination of phosphorus was carried out by the molybdenum–vanadium method, while the determination of sulfate sulfur (VI) was carried out by the nephelometric method after extraction of the plant material with 2% CH3COOH with the addition of activated carbon. Potassium, sodium, calcium, and magnesium were determined by atomic absorption spectrometry (ASA).

2.2. Statistical Analysis

The statistical results were developed using the Statistica 13 statistical package. For this purpose, ANOVA analysis of variance was used for factorial designs, determining the significance of differences using the Tukey test at the significance level of α = 0.05 for each year of the study separately. The assumptions for the ANOVA test were examined using the Levene test (homogeneity of variance) and the Shapiro–Wilk test (normality of distribution).
For each parameter in each year, the impact of individual factors (marked with the letters A, B, and C) and the impact of their interaction effects (A × B, A × C, B × C, and A × B × C) were assessed. The measure of this impact was determined by calculating the coefficient—partial eta squared (η2p)—determining which factor explained the variability of the measured parameter to a greater extent.
The results of the analyses were developed in two ways. One table compares the effects of suspension fertilizers with a basic NPK composition and control fertilizers with the same composition. The main factor in this analysis was the source of phosphorus: waste phosphate from polyol production in suspension fertilizers and Fosdar 40 in control fertilizers. The subordinate factors in this analysis were the phosphorus rate (2 levels: 4% or 6%) and nitrogen rate (2 levels: 135 or 180 kg N∙ha−1). The obtained results were also compared with the control without fertilization. The Tukey test was used to determine homogeneous groups according to the average results from three replicates (marked with lower case letters: a, b, c, d or e). In the table, homogeneous groups are marked with capital letters for mean values depending on the phosphorus dose and phosphorus source (marked in green), mean values depending on the nitrogen dose and phosphorus source (marked in blue), and mean values depending only on the phosphorus source (marked in orange).
The second table compares the effect of the tested suspension fertilizers of different compositions. The factors in this analysis were the phosphorus dose (4% or 6%), the type of fertilizer (NPK, NKP + Mg + S or NPK + Mg + S + micro), and the nitrogen dose (135 or 180 kg N∙ha−1). The Tukey test distinguished homogeneous groups according to the average results from three replications (marked with lowercase letters: a, b, c, d or e). Capital letters mark homogeneous groups for the average results depending on the composition and amount of phosphorus in the fertilizer (marked in green), the average values depending on the nitrogen and phosphorus dose (marked in blue), and the average values depending only on the phosphorus dose in the fertilizer (marked in orange).

3. Results

3.1. Total Nitrogen Content

Table 2 presents the average total nitrogen content in maize depending on the type of phosphorus source in the fertilizer and its percentage content, divided into individual years of the research and the nitrogen dose applied.
Significant differences in the total nitrogen content in the maize plants in relation to the source of phosphorus used for fertilization were noted for the second year of the study. These differences were visible between the means, independent of the phosphorus content in the fertilizer. In the first and third year of the study, significantly lower results were noted on plots without fertilization, while no differences were observed in relation to the applied phosphorus fertilization, both in terms of the phosphorus dose and the type of phosphorus fertilizer.
The phosphorus dose did not statistically significantly affect the nitrogen content in maize plants in the field experiment.
In each year of the field study, the nitrogen dose had a significant effect on the total nitrogen content in the maize. The greatest effect of this factor was noted in the first year of the study (Ƞ2p = 70.37%), where the average total nitrogen content in plant material at a dose of 135 kg N∙ha−1 was 11.82 g∙kg−1 d.m. of the plant, while at a dose of 180 kg N∙ha−1, it was 14.33 g∙kg−1 d.m. of the plant, which was a significant difference. In the second year of the study, the total nitrogen content in maize plants showed an upward trend in accordance with the increasing nitrogen dose, with statistically significant differences noted between plants from control plots without fertilization and plants fertilized with the highest nitrogen dose (180 kg N∙ha−1). In the third year of the field study, similar relationships were noted, with the effect of nitrogen fertilization being higher than in the second year of the study (Ƞ2p = 48.28%).
Table 3 presents the average total nitrogen content in maize depending on the type of suspension fertilizer and the percentage of phosphorus, divided into individual years of the research and the nitrogen dose applied.
In the first year of field tests, the variation in total nitrogen content in the test plant was influenced by the type of fertilizer (Ƞ2p = 31.56%). This relationship referred only to the difference between the micronutrient fertilizer with 4% P content (12.23 g∙kg −1) and the fertilizer with secondary components with 6% P content (14.15 g∙kg−1).
The applied dose of phosphorus in suspension fertilizers had no significant effect on the total nitrogen content.
In all years of the field experiment, a significant effect of the nitrogen dose used in fertilization on the total nitrogen content in the maize was noted. Increasing the dose of this macronutrient resulted in an increase in the concentration of total nitrogen in the test plants. In the first year of the study, the average total nitrogen content in plants from plots where nitrogen fertilization was applied at a dose of 135 kg N∙ha−1 was 11.90 g∙kg−1 d.m. of plants, while at a dose of 180 kg N∙ha−1, it was 14.35 g∙kg−1 d.m. of plants, which is a 20.59% difference. In the second year of the study, the effect of the applied nitrogen dose was lower compared with the first and third years of the study (Ƞ2p = 37.61%) and the difference in total nitrogen content between doses of 180 kg N∙ha−1 and 135 kg N ∙ ha−1 was 9.88%. In the third year of the study, the total nitrogen content in plant material collected from plots fertilized with a higher nitrogen dose (180 kg N∙ha−1) was higher by 15.13% compared with the maize fertilized with a dose of 135 kg N∙ha−1.

3.2. Total Protein Content

Figure 1, Figure 2 and Figure 3 contain graphs showing the content of total protein in corn in the individual years of the field tests, taking into account the nitrogen dose and phosphorus content in the fertilizer. The scales in all graphs have been unified to illustrate the differences between the individual years of the tests.
Comparing the obtained total protein contents from individual years, a clearly visible downward trend in the protein content in plant material was observed, progressing with subsequent years of conducting field experiments. The effect of nitrogen dose was most visible in the first year of research, where the white content increased proportionally to the amount of nitrogen applied with the fertilizer.
Figure 4, Figure 5 and Figure 6 contain graphs showing the content of total protein in corn in the individual years of the field tests, taking into account the nitrogen dose and type of fertilizer. The scales in all graphs have been unified in order to illustrate the differences between the individual years of the tests.
In the conducted studies, the type of fertilizer did not clearly differentiate the plant material samples in terms of total protein content.

3.3. Phosphorus Content

Table 4 presents the average phosphorus content in maize biomass depending on the type of phosphorus source in the fertilizer and its percentage content, divided into individual years of the research and the applied nitrogen dose.
In the first and second years of field tests, the application of waste phosphorus in fertilization significantly affected the phosphorus content in the plant material. In the first year, the use of the waste phosphorus source contributed to a 13.78% higher phosphorus content, and in the second year to a 8.5% higher content compared with fertilization with Fosdar 40. In all years of the tests, control samples without fertilization produced significantly lower results for phosphorus content compared with plots fertilized with both Fosdar 40 and waste phosphate.
A higher dose of phosphorus, both in the case of fertilization with Fosdar 40 and waste phosphate, significantly increased the content of this component in the test plants in each year of field tests.
In the first year of the tests, a clear effect of a higher dose of nitrogen on the content of phosphorus in plants was observed. The highest index was obtained from plots fertilized with waste phosphate and nitrogen application at the level of 180 (2.89 g∙kg−1), while the lowest was obtained with fertilization with Fosdar 40 and a nitrogen dose of 135 (2.13 g∙kg−1).
In the following years, this trend was not so pronounced. In the second and third years of the study, the nitrogen dose significantly differentiated the phosphorus content only in the case of fertilization with Fosdar 40, while a higher result was obtained in the second year with the use of a nitrogen dose of 180 kg N∙ha−1, and in the third year with a dose of 135 kg N∙ha−1.
Table 5 lists the average phosphorus content in corn depending on the type of suspension fertilizer and the percentage of phosphorus, divided into individual years of the research and the nitrogen dose applied.
The type of fertilizer used significantly differentiated the phosphorus content in maize only in the second year of the study. Statistically higher phosphorus content was noted in plants where NPK fertilizer was used compared with plants fertilized with fertilizer with micronutrients.
During all years of the field experiment, a significant relationship was confirmed regarding the increase in phosphorus content in the plant material and the increase in the amount of phosphorus in the fertilizer.
In all years of the field experiment, no statistically significant differences were noted in the phosphorus content in relation to the applied nitrogen dose.

3.4. Potassium Content

Table 6 lists the average potassium content in corn depending on the type of phosphorus source in the fertilizer and its percentage, broken down into individual years of the research and the nitrogen dose applied.
The source of phosphorus used in the fertilizer significantly differentiated the potassium content in the plant material only in the second year of field tests, where in the case of fertilization with Fosdar 40, its content was higher by 7.66% compared with maize fertilized with fertilizer based on a waste source of phosphorus.
In the field study, the dose of phosphorus and nitrogen in the fertilizer had no significant effect on the potassium content in the test plants.
Table 7 shows the average potassium content in corn depending on the type of suspension fertilizer and the percentage of phosphorus, divided into individual years of the research and the nitrogen dose applied.
The type of fertilizer significantly differentiated the potassium content in the plant material only in the first year of the study, where significant differences were noted in the case of fertilization with fertilizers with a basic NPK composition (21.90 g K∙kg−1 plant) and fertilizers with the addition of micronutrients (24.33 g K∙kg−1 plant) without division into the applied P dose.
Significant differences were noted in the first year of the study in relation to the applied dose of phosphorus—plants fertilized with a higher dose of phosphorus were characterized by a higher potassium content. These relationships were not noted in the next two years of field experiments.
In the case of potassium, differentiated nitrogen fertilization had an effect on its content in the plants only in the second year of field tests at a phosphorus fertilization level of 6%.

3.5. Sulfate Sulfur Content

Table 8 lists the average sulfate sulfur content in corn depending on the type of phosphorus source in the fertilizer and its percentage, divided into individual years of the research and the nitrogen dose applied.
Regardless of the phosphorus source used in the fertilizer, the content of sulfate sulfur in the plant material remained at a similar level of 0.06–0.2 g∙kg−1, with the median value being 0.087 g∙kg−1 dry matter of the plant. No statistically significant differences were found in comparison to maize harvested from control plots without fertilization.
The doses of phosphorus and nitrogen did not significantly affect the content of sulfate sulfur in the field study.
Table 9 lists the average sulfate sulfur content in corn depending on the type of suspension fertilizer and the percentage of phosphorus, divided into individual years of the research and the nitrogen dose applied.
Comparing the effects of the type of fertilizer used on the content of sulfate sulfur in the plant material, significant differences were found in the second year of the study. In that year, the content of sulfate sulfur was higher in the plant material from the plots where a higher dose of phosphorus (6%) had been applied. For the remaining years of the study, this relationship could not be confirmed.

3.6. Magnesium Content

Table 10 lists the average magnesium content in corn depending on the type of phosphorus source in the fertilizer and its percentage, broken down into individual years of the research and the nitrogen dose applied.
Significant differences in magnesium content in plant material were observed only in the first year of field tests. Significantly higher magnesium concentration was obtained in corn from plots fertilized with Fosdar 40.
Table 11 lists the average magnesium content in corn depending on the type of suspension fertilizer and the percentage of phosphorus, divided into individual years of the research and the nitrogen dose applied.
The magnesium content in maize plants fertilized with suspension fertilizers was in the range of 0.17–1.73 g∙kg−1, with the median value being 0.63. The type of fertilizer and the nitrogen dose did not significantly affect the content of this macronutrient in maize plants in the conducted experiment.

3.7. Calcium Content

Table 12 lists the average magnesium content in corn depending on the type of phosphorus source in the fertilizer and its percentage, broken down into individual years of the research and the nitrogen dose applied.
Phosphorus raw material did not have a significant impact on the differentiation of calcium content in maize plants in the conducted field experiment. In the third year of the study, the average calcium content in the tested plants was higher compared with the two previous years of the study.
Table 13 lists the average magnesium content in corn depending on the type of suspension fertilizer and the percentage of phosphorus, divided into individual years of research and the nitrogen dose applied.
The calcium content in maize plants fertilized with suspension fertilizers was in the range of 1.36–4.26 g∙kg−1 of plants.
In the group of fertilizers with the same P content, no significant effect was noted in relation to the type of fertilizer used and the calcium content.
In the first year of the study, significant differences were noted in calcium content depending on the phosphorus dose, with a higher dose of phosphorus in the fertilizer resulting in higher calcium content in the corn. A similar relationship was also observed in the second year of the study. However, in the third year of the study, no significant differences were noted, although the obtained calcium concentrations in the test plant were higher than in the previous years of the field experiment.

3.8. Sodium Content

Table 14 lists the average sodium content in corn depending on the type of phosphorus source in the fertilizer and its percentage, divided into individual years of the research and the nitrogen dose used.
In the first year of the study, the source of phosphorus used in the fertilizer significantly affected the sodium content in the plant material. A 16.7% higher sodium concentration was noted in plants from plots fertilized with waste from polyol production compared with fertilization with Fosdar 40. For the subsequent years of the field experiment, no such relationship was found.
Table 15 lists the average sodium content in corn depending on the type of suspension fertilizer and the percentage of phosphorus, divided into individual years of research and the nitrogen dose applied.
Sodium content in maize plants fertilized with suspension fertilizers was in the range of 0.107–0.402 g∙kg−1 plant, with the median value being 0.314 g∙kg−1 plant.
The type of applied suspension fertilizer significantly differentiated the sodium content in the plants only in the second year of the study. Fertilizers with micronutrients influenced the higher sodium content in comparison with the other fertilizers. In the first and second year of the study, no significant differences were found in the sodium content in the plants as a result of the application of different fertilizers.

3.9. Summary of Key Results

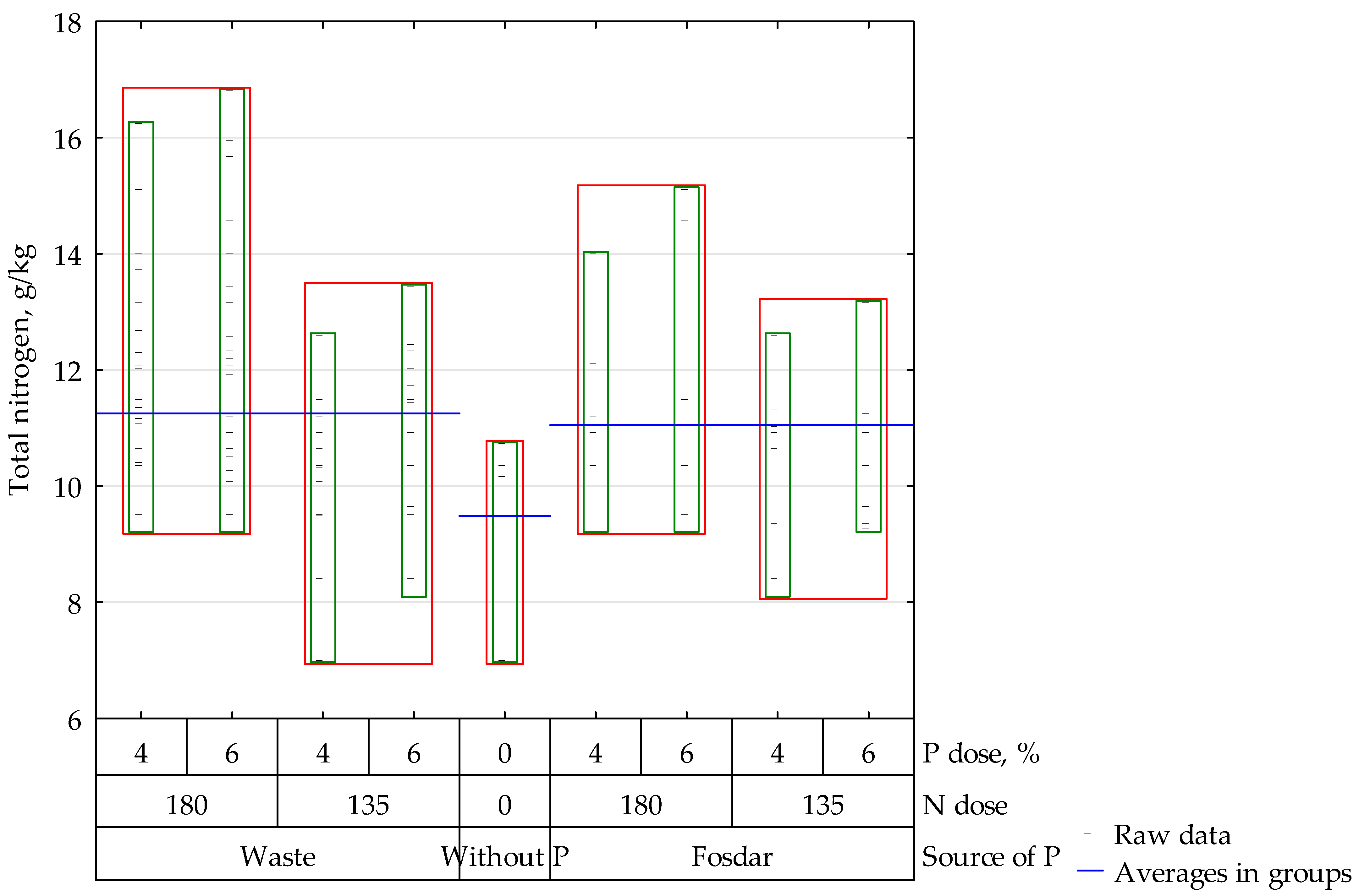
Figure 7, Figure 8, Figure 9, Figure 10, Figure 11, Figure 12 and Figure 13 summarize the key results of the study comparing the effects of suspension fertilizers based on polyol waste phosphates with those of a commercial fertilizer, Fosdar 40, used as the phosphorus source. For comparison, the results for the unfertilized control are also summarized.
The analysis of the average content of macronutrients in the plant material from maize did not show any significant differences depending on the source of phosphorus used in fertilization, which was confirmed in the three consecutive years of the experiment. The greatest differences were observed in the average content of phosphorus. In the first two years of the field experiment, a significantly higher content of this nutrient was confirmed in the plant material from the plots fertilized with suspension fertilizers—by 14% and 8.5%, respectively.

4. Discussion

The availability of nutrients to plants depends on their ability to absorb these nutrients and on the properties of the soil that enable the delivery of nutrients to the plant roots [19].
In order for plants to produce maximum yield, they must be adequately supplied with all the necessary nutrients. The average contents of basic macronutrients in corn grown for green mass are 17.0 g∙kg−1 nitrogen, 2.7 g∙kg−1 phosphorus, 19.7 g∙kg−1 potassium, and 1.6 g∙kg−1 magnesium [20]. Either an excess or a deficiency of essential nutrients significantly affects the growth and development of plants, which ultimately affects the quantity and quality of the obtained crop [21].
Under the conditions of the conducted research, the total nitrogen content in the vegetative parts of maize ranged from 7.0 to 16.8 g kg−1 and depended mainly on the nitrogen dose, because fertilization with this component in larger amounts increased its concentration. However, no effect of the type of fertilizer was demonstrated in this respect. Variable weather conditions meant that the maize cultivated in the third year of the research contained the least nitrogen, while the most was present in the first year. The difference between the general averages in these years was 36.35%.
Also, in the studies conducted by Księżak et al. (2012) [22] and Filipek-Mazur et al. (2013) [23], it was found that different levels of nitrogen fertilization and weather conditions during the growing season influenced the accumulation of this nutrient in plants.
The growth and productivity of corn are strongly dependent on appropriate nitrogen fertilization throughout the growing season [10]. Nitrogen is an essential component of a wide range of biological chemicals that play a key role in the physiological and metabolic functions of plants [24,25,26,27]. This nutrient is crucial for increasing soil productivity and crop efficiency [28,29,30,31]. The availability of nitrogen for plants affects the growth of biomass and the yield of maize grain, among other things, through the development of the leaf surface and maintaining the appropriate photosynthetic efficiency [27,29,32]. The right amount of nitrogen ensures maximum plant emergence and improves plant elongation and yield [24]. It can dramatically increase protein content and reduce fiber content [33].
Insufficient nitrogen in plant cultivation has the greatest impact on corn yield and its ability to absorb nutrients [15]. The lack of sufficient nitrogen reduces the plant’s phosphorus uptake by almost half, which negatively affects the development of the root system [10,15]. This results in limited development in the early stages of maize growth [10,25]. Nitrogen deficiency also reduces potassium uptake by almost two-thirds compared with sites that have sufficient nitrogen available to plants [15].
Insufficient nitrogen at the 8-leaf stage causes an irreversible reduction of kernels in the cob by up to 30%. Until the flowering stage, corn grows intensively, which requires a significant amount of nitrogen [10,34]. With nitrogen deficiency during this period, corn may not reach its full growth potential, which leads to a less efficient photosynthesis process and lower yields and quality [10,25].
At low temperatures below 5 °C, corn plants reduce their nitrogen uptake, which is indicated by yellowing leaves and slower growth. In later stages of growth, deficiency symptoms include pale green and narrower leaves [35]. Nitrogen is a key nutrient influencing yield; therefore, its deficiency leads to slower growth, reduced yields, and delayed ripening. Insufficient nitrogen can also cause poorly developed and grained cobs [10,35].
Over-fertilizing corn with nitrogen negatively affects the quality of feed, increasing the content of nitrates in the biomass. This is not only uneconomical but also ecologically irresponsible, because it can lead to environmental pollution. In addition, too high doses of nitrogen can affect plant lodging [15,35]. Applying nitrogen fertilization in close proximity to the seeds simultaneously with sowing may cause a local increase in the fertilizer concentration, disrupting plant emergence [15].
The classic model of nitrogen uptake by corn consists of accumulating from 65% to 100% of the required nitrogen in the vegetative growth phase. In the grain filling phase, the process of remobilization of previously accumulated nitrogen compounds takes place, and there is a small level of uptake from the soil at the same time [15,34]. For classic varieties, the nitrogen and other nutrient remobilization indices are positive—in the grain filling phase, plants use primarily the resources accumulated in the vegetative growth phase [15,34,35]. However, in the case of “stay-green” varieties, the behavior is different—in the grain filling phase, the main sources of nitrogen are the resources available in the soil. A lack of sufficient nitrogen in the soil during the ripening period of “stay-green” corn makes it impossible to use the full yield potential of the plant. There-fore, in the case of “stay-green” corn cultivation, it is recommended to use slow-acting nitrogen fertilizers such as urea or ammonium sulphate. Also, the use of divided doses of nitrogen fertilizer at different stages of corn growth allows maximum grain yield to be achieved [25,36].
The choice of nitrogen fertilizer for corn should primarily take into account the price of the pure component, because corn is not demanding in terms of its form. It is important not to use too high doses of nitrogen in the ammonium form (NH4) shortly before sowing corn, especially on alkaline soils. Under such conditions, this form can easily transform into ammonia (NH3), which results in losses of this component and can disrupt plant emergence [15].
In the case of urea, it is easy to apply and mix with the soil, which prevents nitrogen losses in the form of ammonia and protects the soil from drying out. In recent years, urea on the market has been enriched with urease inhibitors, which slow down the release of nitrogen. This allows for a significant reduction in nitrogen losses in the form of ammonia [2].
In the conducted studies, the value of phosphorus in dry matter of maize was in the range of 1.23–3.29 g·kg−1. The median value was 2.00 g·kg−1. Weather conditions significantly diversified its content. The highest average concentration of this component was obtained in the first year of the study, similarly to nitrogen, and amounted to 2.49 g·kg−1. The lowest average phosphorus content was recorded in the second year of the study, at 1.57 g·kg−1. The use of waste sodium potassium phosphate in phosphorus fertilization increased the concentration of phosphorus in maize, which was confirmed in the first and second years of field studies. In comparison with fertilization with Fosdar 40, a higher P index of 13.8% was obtained in the first year, while in the second year it was 8.5%. A higher dose of P in both suspension fertilizers and Fosdar 40 resulted in a higher content of this nutrient in the plant.
Phosphorus is an essential ingredient in the process of growing corn, playing a key role in the development of the root system, flowering, and seed formation. Proper root development increases the resistance of plants to low temperatures, drought, and some diseases [10,15]. It has a direct impact not only on the ripening and quality of grain, but also on its quantity. When plants are properly supplied with this macronutrient, annual fluctuations in yields resulting from unfavorable weather conditions are smaller. In addition, this nutrient affects the proper development of generative organs and increases the stiffness of stems and blades, which effectively counteracts lodging [15].
Corn has specific phosphorus uptake dynamics. This nutrient is taken up in larger quantities from the beginning of vegetation, when the phosphorus reserves in the grain are exhausted after germination. As the vegetation period progresses, uptake increases and lasts until the grain is fully mature (grain filling). Hence, the critical phases of demand for this nutrient fall in the period of initial development, i.e., from germination to the 6–8-leaf phase and during the ripening period [10,15]. As plants age and in cases of water stress, the concentration of phosphorus in plant tissues decreases [37,38].
Many soils have low levels of available phosphorus despite large reserves of total phosphorus [37,39]. Applying phosphate fertilizers or slurry to these types of soils can increase crop yields [37,39,40].
Corn has low tolerance to phosphorus deficiency. Phosphorus starvation is more severe in soils with lower phosphorus content or acidic pH and in cases of one-sided nitrogen fertilization [10,15]. One way to increase the availability of phosphorus for corn is to maintain a soil pH between slightly acidic and neutral [15].
The rate of phosphorus uptake depends on the form in which the plant takes up nitrogen. When the plant is supplied with ammonium nitrogen (N-NH4), H+ ions are released from the cells into the soil solution, which causes soil acidification. Acidification usually increases the concentration of phosphorus and the rate of its absorption. However, when supplied with nitrate (N-NO3), plant cells release HCO3 and OH ions, leading to an alkaline soil environment and reducing phosphorus absorption. In the case of phosphorus deficiency in the soil, plants take up a small amount of nitrogen, while in the case of phosphorus excess, nitrogen uptake is limited. Therefore, the correct N:P ratio is important for the proper growth and development of plants. The best N:P ratio occurs in ammonium phosphate (Polidap) [15].
Corn, despite being a late-sown plant, is sensitive to low temperatures in the early stages of growth. This sensitivity affects the limited uptake of nutrients, especially phosphorus. Low soil temperature negatively affects root activity, reduces the permeability of cell membranes and increases water viscosity, which results in limited uptake of phosphorus. This can be counteracted by increasing the concentration of phosphorus in the immediate vicinity of the roots through the use of starter fertilization. For corn to effectively absorb phosphorus, relatively high temperatures, exceeding 10–12 °C, are necessary [10,15].
In addition to nitrogen stress, phosphorus deficiency is a common problem in cereal crops worldwide [39]. Among crop plants, corn is the most sensitive to the deficiency of this nutrient [10]. This is manifested by stunted plant growth, stiffened leaves, thin stems, and limited root development. The cobs are small and twisted, with underdeveloped grains [15]. Especially at low temperatures, problems with phosphorus uptake can be observed, manifested by blue-purple discoloration progressing from the edges of the leaves [10,15].
For corn, it is recommended to use superphosphates as phosphate fertilizers on most soils. On lighter soils, magnesium superphosphate can be used [15]. For starter fertilization, it is recommended to use two-component fertilizers that contain nitrogen and phosphorus, e.g., ammonium phosphate (Polidap). The combination of these two components contributes to increased phosphorus uptake by corn in the early stages of growth [15].
In the conducted studies, the value of potassium in dry matter of maize was in the range of 7.80–28.45 g kg−1. The median value was 15.01 g kg−1. Weather conditions signicantly differentiated its content. The highest average sulfur content was obtained in the first year of the study, where the average for all plots was 22.3 g kg−1. On the other hand, the average values obtained in the second and third years of the study were 12.12 g kg−1 and 10.62 g kg−1, respectively. The doses of phosphorus and nitrogen did not significantly differentiate the potassium content in maize plants. There were also no confirmed significant differences influenced by the type of fertilizer used, and this finding was repeated over the three years of conducting the field experiment.
In the period from the fifth leaf stage to the flowering stage, corn intensively takes up potassium, and the demand for this nutrient then gradually decreases. Before the appearance of stigmata, the relative potassium uptake is greater than the relative increase in the dry mass of the plant. In this period, corn shows high sensitivity to water deficiency. When both of these factors are negatively correlated, it leads to a drastic reduction in corn yields intended for both grain and silage. When the potassium content in the soil is high enough, corn is able to manage water effectively, which has a significant impact on the flowering and kernel formation processes [15].
Potassium deficiency has a negative effect on the photosynthesis process and impairs the plant’s ability to regulate water management, especially during periods of drought, which significantly reduces grain yields and green mass. Additionally, it weakens the resistance of corn to diseases and unfavorable environmental conditions. This is manifested by inhibition of plant growth, unnaturally dark green coloration of leaves, the appearance of necrotic spots on the edges of leaves, poor grain filling and increased susceptibility to lodging, especially with intensive nitrogen fertilization [10,15]. The use of too high doses of potassium in maize cultivation leads to excessive accumulation of this nutrient in plants, which may contribute to the occurrence of diseases in farm animals fed with such feed [15].
Corn is a plant that requires large amounts of sulfur, which contributes to its ability to produce a significant amount of biomass [31]. The content of sulfate sulfur in maize plants in the three-year field study was in the range of 0.04–0.37 g kg−1, while the median value was 0.089 g kg−1. The mean values from individual years did not differ significantly and were 0.088 g kg−1, 0.104 g kg−1, and 0.096 g kg−1, respectively.
In the studies conducted by Siwik-Ziomek and Lemanowicz (2011), it was found that the sulfur content in corn depended on nitrogen fertilization. High nitrogen doses increased the amount of sulfur in the above-ground parts of plants by about 35% compared with unfertilized plants [9]. In their studies, similar relationships were shown by Barczak et al. (2011) [41] and Filipek-Mazurek et al. (2013) [23]. In our own studies, no significant differences were found that were repeated in each year of the field experiment and were related to the doses of phosphorus and nitrogen in fertilizers.
Many of the literature reports refer to the positive effect of sulfur fertilization on the content of this nutrient in the plant [23,41,42]. In our own studies, we did not confirm a significant effect of the type of fertilizer applied, including fertilizers with added sulfur, on the content of this nutrient in maize plants. This may have been due to high nitrogen fertilization causing a large increase in green mass, while at the same time, insufficient sulfur fertilization resulted in the dilution of this nutrient [43].
In recent years, reducing sulfur dioxide emissions and using fertilizers without added sulfur have worsened the supply of this nutrient to plants. In addition, reducing the use of organic fertilizers, including manure, which provided about 8 kg of elemental sulfur at a dose of 10 t∙ha−1, has contributed to the depletion of soils in this important macronutrient [15]. In cases of sulfur deficiency, a decrease in the protein content of plants is observed and causes a significant inhibition of growth. In addition, it leads to a decrease in the efficiency of nitrogen use from fertilizers. Each missing 1 kg of sulfur per hectare means that on average about 15 kg of the applied nitrogen is not used by plants. Although corn is not a plant with a high demand for sulfur, it is a plant with high productivity, which absorbs significant amounts of nutrients, including sulfur in amounts of about 35–50 kg S∙ha−1 [15]. Corn is not a typical indicator of sulfur deficiency, but the symptoms of this nutrient deficiency are noticeable. In young plants, it manifests itself in pale green or yellowish leaves and a slight inhibition of growth. In older plants, the deficiency of this nutrient is visible in young leaves with a pale green color, while the older leaves are intensely green. On the other hand, too high sulfur fertilization leads to lower yields and losses of this nutrient [15].
Corn has a high demand for magnesium. Adding magnesium to fertilization improves the effectiveness of the NPK fertilizer used and contributes to a greater increase in the mass of grains, which translates into higher yields [15,44]. In soils with a light structure and acidic pH, natural magnesium resources are usually insufficient to achieve even average yields [10,44]. Over the course of a year, corn absorbs from 30 to even 70–80 kg of MgO∙ha−1. The choice of the appropriate magnesium fertilizer depends on the soil pH and its content of this nutrient. On acidic soils, it is recommended to use calcium–magnesium fertilizers. On soils with a regulated pH but insufficient magnesium, magnesium–sulphate fertilizers are recommended, while on soils with an appropriate pH and medium magnesium content, it is recommended to use magnesium fertilizer together with basic NPK + Mg fertilization [10]. For foliar fertilization, it is best to use magnesium sulfate heptahydrate, also known as Epsom salts [15,44].
Foliar application of magnesium in the early stages of corn growth is more beneficial, while in full maturity, foliar and soil fertilization give similar effects, with a slight advantage for soil application. The foliar application method is exceptionally effective, allowing easy removal of magnesium deficiency symptoms in the plant. The best time to apply magnesium fertilizers to the soil is autumn, before winter plowing [15,44].
In the case of cereal crops, including corn, foliar application of magnesium is recommended at two key growth stages: in the 5–8-leaf stage and after flowering, until full maturity. In the first period, magnesium uptake is not correlated with the rapid growth rate of the plant, which causes its deficit. Then, application to the leaves in the form of a spray works quickly and is concentrated in places where the plant needs this nutrient. This explains the greater efficiency of foliar application of magnesium compared with soil fertilization in the early stages of corn growth. In the second key period of magnesium demand, assimilates produced in the leaves are transported as sucrose to the grains and used to produce starch. Therefore, the longer the leaves remain green with a larger surface area for absorbing sunlight, the longer it takes to transport nutrients to the grains [15,44].
Cereal plants, including corn, have a limited ability to take up magnesium from the soil and store it in the grain. Most of this nutrient comes from displacement from the vegetative parts of the plant, such as stems and leaves. Foliar fertilization with magnesium can therefore increase the generative yield of corn, e.g., by increasing the thousand-grain weight [11,15].
Corn is very sensitive to magnesium deficiency, and the plant’s ability to absorb and assimilate it decreases drastically with decreasing soil pH. Its deficiency causes a reduced concentration of chlorophyll and a decrease in the rate of photosynthesis, because it plays a key role as a component of chlorophyll. In young plants, it manifests itself in light discolorations along the leaf veins, and at a later stage, it can lead to flowering and pollination disorders, limiting the formation of cobs and worsening their graining. Hence, magnesium deficiencies in the soil can lead to a decrease in grain weight. Therefore, during the period of setting and ripening of corn grain, the demand for magnesium reaches a critical phase. In a situation where corn suffers from a magnesium deficiency and high temperatures occur, the plants take on a withered appearance and the ripening process is delayed [10,15].
Calcium is a nutrient that occurs in the soil in sufficient quantities for corn. Calcium deficiency can only occur in cases of high NPK mineral fertilization, where it is manifested by rolling and sticking of leaf blades. However, liming fields is a procedure aimed at improving the soil structure, increasing the activity of microorganisms and facilitating the absorption of nutrients (e.g., increasing the availability of phosphorus in a slightly acidic and neutral reaction) [15].

5. Conclusions

The three-year field tests confirmed the effectiveness of suspension fertilizers based on waste sodium potassium phosphate from polyol production applied at similar levels to the commercial phosphorus fertilizer Fosdar 40. This confirms the justification for using waste from polyol production as a raw material for phosphorus in the fertilizer industry. This is justified from the economic and environmental protection point of view. On the one hand, we use waste, which is a cheaper raw material, and on the other, we also become independent from the importation of phosphates, which are a non-renewable source of phosphorus.
The difference for farmers is in the method of applying the fertilizers. Suspension fertilizers are applied with a spreader equipped with a mixing system. In addition, fertilizers of this type are usually prepared immediately before application to the field. Their application, in addition to providing the appropriate nutrients for plants, also introduces water into the soil, which promotes their better absorption, which is especially important during droughts. In addition, the fertilizer is distributed on the field in a more even manner than in the case of granulated fertilizers.
The topic of using waste phosphate from polyol production is very broad and offers many possibilities for further research. Research can be undertaken on the long-term effects of using these fertilizers. An interesting direction is to expand research towards using these fertilizers in other large-area crops as well as in horticulture and fruit growing.

Author Contributions

Conceptualization, P.B.; methodology, P.B. and M.S.B.; investigation, P.B.; resources, P.B.; data curation, P.B.; statistical analysis, P.B.; writing—original draft preparation, P.B.; writing—review and editing, P.B.; visualization, P.B.; supervision, M.S.B.; project administration, P.B.; analysis, P.M. All authors have read and agreed to the published version of the manuscript.

Funding

Source of financing for research for publication—Ministry of Education and Science—Implementation Doctorate DWD/4/89/2020.

Data Availability Statement

Dataset available on request from the authors. The raw data supporting the conclusions of this article will be made available by the authors on request.

Conflicts of Interest

The authors declare no conflicts of interest.

References

  1. Łuczkowska, D.; Kużdżał, E.; Cichy, B. Study on the reactivity of phosphorites. Przem. Chem. 2016, 95, 1538–1541. [Google Scholar] [CrossRef]
  2. Smol, M.; Kulczycka, J. Możliwości wykorzystania odpadów jako źródła surowców krytycznych w sektorze nawozowym—wdrażanie założeń gospodarki o obiegu zamkniętym (GOZ) na przykładzie fosforu. Mikrozanieczyszczenia W Ściekach Odpad. I Sr. 2018, 108, 331–348. [Google Scholar]
  3. Nkebiwe, P.M.; Weinmann, M.; Bar-Tal, A.; Müller, T. Fertilizer placement to improve crop nutrient acquisition and yield: A review and meta-analysis. Field Crops Res. 2016, 196, 389–401. [Google Scholar] [CrossRef]
  4. Malinowski, P.; Olech, M.; Biskupski, A. Ochrona Środowiska Źródłem Innowacji—Rozwiązania Wdrożone w Alwernia SA; Wydawnicza Polskiego Towarzystwa Zarządzania Produkcją: Opole, Poland, 2010; pp. 122–129. [Google Scholar]
  5. Kominko, H.; Gorazda, K.; Wzorek, Z. The Possibility of Organo-Mineral Fertilizer Production from Sewage Sludge. Waste Biomass Valorization 2017, 8, 1781–1791. [Google Scholar] [CrossRef]
  6. EC. Komunikat Komisji do Parlamentu Europejskiego, Rady, Europejskiego Komitetu Ekonomiczno-Społecznego i Komitetu regionów. Komunikat Konsultacyjny w Sprawie Zrównoważonego Stosowania Fosforu. 2013. Available online: https://eur-lex.europa.eu/legal-content/EN/TXT/HTML/?uri=CELEX:52013DC0517 (accessed on 21 June 2024).
  7. Mikła, D.; Hoffmann, K.; Hoffoann, J.; Biskupski, A. Zastosowanie związków fosforu do produkcji nawozów zawiesinowych. In Związki Fosforu w Chemii, Rolnictwie, Medycynie i Ochronie Środowiska; Prace Naukowe Uniwersytetu Ekonomicznego We Wrocławiu: Wrocław, Poland, 2008; pp. 36–48. [Google Scholar]
  8. Cichy, B.; Jaroszek, H.; Paszek, A.; Tarnowska, A. XV Konferencja Ochrona Środowiska Kadm w nawozach fosforowych; Aspekty ekologiczne i ekonomiczne. Chemik 2014, 68, 837–839. [Google Scholar]
  9. Rolewicz, M.; Rusek, P.; Mikos-Szymańska, M.; Cichy, B.; Dawidowicz, M. Obtaining of Suspension Fertilizers from Incinerated Sewage Sludge Ashes (ISSA) by a Method of Solubilization of Phosphorus Compounds by Bacillus megaterium Bacteria. Waste Biomass Valorization 2016, 7, 871–877. [Google Scholar] [CrossRef]
  10. Rutkowski, J. Technologia Uprawy Kukurydzy—Od Siewu do Zbioru; Warminsko-Mazurski Osrodek Doradztwa Rolniczego: Olsztyn, Poland, 2018. [Google Scholar]
  11. Bereś, P.; Bereś, P.; Mrówczyński, M.; Korbas, M.; Kierzek, R.; Węgorek, P.; Sulewska, H.; Szulc, P.; Siódmiak, J.; Danielewicz, J.; et al. Metodyka Integrowanej Ochrony Kukurydzy dla Producentów; Wydawnictwa Instytut Ochrony Roślin: Poznań, Poland, 2013. [Google Scholar]
  12. Owczarzak, W.; Mocek, A.; Dubas, A. Wpływ uproszczeń uprawowych w monokulturze kukurydzy na kształtowanie struktury poziomów wierzchnich gleby. Inżynieria Rol. 2009, 5, 219–228. [Google Scholar]
  13. Breś, W.; Golcz, A.; Komosa, A.; Kozik, E.; Tyksiński, W. Nawożenie Roślin Ogrodniczych; Wydawnictwa Instytut Ochrony Roślin: Poznań, Poland, 1997. [Google Scholar]
  14. Sari, N.F.; Ridwan, R.; Widyastuti, Y. The Quality of Corn Silage Product from Technopark of Banyumulek Lombok, West Nusa Tenggara. Bul. Peternak. 2017, 41, 156–162. [Google Scholar] [CrossRef][Green Version]
  15. Bereś, M.P. Mrówczyński, and Instytut Ochrony Roślin. In Metodyka Integrowanej Ochrony i Produkcji Kukurydzy Dla Doradców: Opracowanie Zbiorowe; Instytut Ochrony Roślin—Państwowy Instytut Badawczy: Poznań, Poland, 2016. [Google Scholar]
  16. Bogusz, P. The Possibility of Using Waste Phosphates from the Production of Polyols for Fertilizing Purposes. Molecules 2022, 27, 5632. [Google Scholar] [CrossRef]
  17. Bogusz, P.; Rusek, P.; Brodowska, M.S. Suspension Fertilizers Based on Waste Phosphates from the Production of Polyols. Molecules 2022, 27, 7916. [Google Scholar] [CrossRef] [PubMed]
  18. Bogusz, P.; Brodowska, M.S.; Rusek, P. The Impact of Suspension Fertilizers Based on Waste Phosphorus Salts from Polyol Production on the Yield of Maize Intended for Green Fodder. Agronomy 2024, 14, 1054. [Google Scholar] [CrossRef]
  19. Siwik-ziomek, A.; Lemanowicz, J. Phosphorus and Sulphur Accumulation and Mobility in Maize Cultivated for Silage as Dependent on Farmyard Manure and Akumulacja Oraz Mobilno Ść Fosforu I Siarki W Kukurydzy Uprawianej. J. Res. Appl. Agric. Eng. 2011, 56, 124–129. [Google Scholar]
  20. Badora, A. Podstawy i Skutki Chemizacji Agroekosystemów, Wydaw. Aka; Akademia Rolnicza w Lublinie—Wydawnictwo: Lubin, Poland, 2002. [Google Scholar]
  21. Kocoń, A. Potrzeby pokarmowe roślin. Stud. Rap. IUNG-PIB 2014, 37, 1–14. [Google Scholar] [CrossRef]
  22. Księżak, J.; Bojarszczuk, J.; Staniak, M. Produkcyjność kukurydzy i sorga w zależności od poziomu nawożenia azotem. Pol. J. Agron. 2012, 8, 20–28. [Google Scholar]
  23. Filipek-Mazur, B.; Lepiarczyk, A.; Tabak, M. Wpływ Nawożenia Azotem I Siarką Na Plonowanie Oraz Skład Chemiczny Ziarna Kukurydzy Część Ii. Zawartość Azotu I Siarki. Fragm. Agron. 2013, 30, 29–35. [Google Scholar]
  24. Gheith, E.M.S.; El-Badry, O.Z.; Lamlom, S.F.; Ali, H.M.; Siddiqui, M.H.; Ghareeb, R.Y.; El-Sheikh, M.H.; Jebril, J.; Abdelsalam, N.R.; Kandil, E.E. Maize (Zea mays L.) Productivity and Nitrogen Use Efficiency in Response to Nitrogen Application Levels and Time. Front. Plant Sci. 2022, 13, 941343. [Google Scholar] [CrossRef]
  25. Gul, H.; Rahman, S.; Shahzad, A.; Gul, S.; Qian, M.; Xiao, Q.; Liu, Z. Maize (Zea mays L.) Productivity in Response to Nitrogen Management in Pakistan. Am. J. Plant Sci. 2021, 12, 1173–1179. [Google Scholar] [CrossRef]
  26. Ogola, J.; Wheeler, T.; Harris, P. Effects of nitrogen and irrigation on water use of maize crops. Field Crops Res. 2002, 78, 105–117. [Google Scholar] [CrossRef]
  27. Shah, A.N.; Tanveer, M.; Abbas, A.; Yildirim, M.; Shah, A.A.; Ahmad, M.I.; Wang, Z.; Sun, W.; Song, Y. Combating Dual Challenges in Maize Under High Planting Density: Stem Lodging and Kernel Abortion. Front. Plant Sci. 2021, 12, 1–19. [Google Scholar] [CrossRef]
  28. Shah, A.N.; Wu, Y.; Iqbal, J.; Tanveer, M.; Bashir, S.; Rahman, S.U.; Hafeez, A.; Ali, S.; Ma, X.; Alotaibi, S.S.; et al. Nitrogen and plant density effects on growth, yield performance of two different cotton cultivars from different origin. J. King Saud Univ.—Sci. 2021, 33, 101512. [Google Scholar] [CrossRef]
  29. Habtegebrial, K.; Singh, B.; Haile, M. Impact of tillage and nitrogen fertilization on yield, nitrogen use efficiency of tef (Eragrostis tef (Zucc.) Trotter) and soil properties. Soil Tillage Res. 2007, 94, 55–63. [Google Scholar] [CrossRef]
  30. Bashir, S.; Bashir, S.; Gulshan, A.B.; Khan, M.J.; Iqbal, J.; Sherani, J.; Husain, A.; Ahmed, N.; Shah, A.N.; Bukhari, M.A.; et al. The role of different organic amendments to improve maize growth in wastewater irrigated soil. J. King Saud Univ. Sci. 2021, 33, 101583. [Google Scholar] [CrossRef]
  31. Wasaya, A.; Tahir, M.; Ali, H.; Hussain, M.; Yasir, T.A.; Sher, A.; Ijaz, M.; Sattar, A. Influence of varying tillage systems and nitrogen application on crop allometry, chlorophyll contents, biomass production and net returns of maize (Zea mays L.). Soil Tillage Res. 2017, 170, 18–26. [Google Scholar] [CrossRef]
  32. Kaur, A.; Bedi, S.; Gill, G.K.; Kumar, M. Effect of nitrogen fertilizers on radiation use efficiency, crop growth and yield in some maize (Zea mays L.) genotypes. Maydica 2012, 57, 75–82. [Google Scholar]
  33. Zhao, M.; Feng, Y.; Shi, Y.; Shen, H.; Hu, H.; Luo, Y.; Xu, L.; Kang, J.; Xing, A.; Wang, S.; et al. Yield and quality properties of silage maize and their influencing factors in China. Sci. China Life Sci. 2022, 65, 1655–1666. [Google Scholar] [CrossRef]
  34. Butts, T.R.; Miller, J.J.; Pruitt, J.D.; Vieira, B.C.; Oliveira, M.C.; Ii, S.R.; Lindquist, J.L. Light Quality Effect on Corn Growth as Influenced by Weed Species and Nitrogen Rate. J. Agric. Sci. 2016, 9, 15. [Google Scholar] [CrossRef]
  35. Sulewska, H. Zmniejszenie zagrożeń środowiskowych wynikających z uprawy kukurydzy. Postęp Nauk Rol. 2006, 5, 135–146. [Google Scholar]
  36. Adekiya, A.O.; Ogunboye, O.I.; Ewulo, B.S.; Olayanju, A. Effects of Different Rates of Poultry Manure and Split Applications of Urea Fertilizer on Soil Chemical Properties, Growth, and Yield of Maize. Sci. World J. 2020, 2020, 4610515. [Google Scholar] [CrossRef]
  37. Al-Kaisi, M.; Kwaw-Mensah, D. Effect of Tillage and Nitrogen Rate on Corn Yield and Nitrogen and Phosphorus Uptake in a Corn-Soybean Rotation. Agron. J. 2007, 99, 1548–1558. [Google Scholar] [CrossRef]
  38. Payne, W.A.; Hossner, L.R.; Onken, A.B.; Wendt, C.W. Nitrogen and Phosphorus Uptake in Pearl Millet and Its Relation to Nutrient and Transpiration Efficiency. Agron. J. 1995, 87, 425–431. [Google Scholar] [CrossRef]
  39. Ortiz-Monasterio, J.I.; Pena, R.J.; Pfeiffer, W.H.; Hede, A.H. Phosphorus Use Efficiency, Grain Yield, and Quality of Triticale and Durum Wheat Under Irrigated Conditions. In Proceedings of the 5th International Triticale Symposium, Radzików, Poland, 30 June–5 July 2002; pp. 1–6. Available online: http://yaquivalley.stanford.edu/pdf/monasterio_phosphorus_2002.pdf (accessed on 21 June 2024).
  40. Mallarino, A.P. Phosphorus and Potassium Fertilization of Corn and Soybean; Iowa State University: Ames, IA, USA, 2018; pp. 85–90. [Google Scholar] [CrossRef]
  41. Barczak, B.; Murawska, B.; Spychaj-Fabiasiak, E. Zawartość Siarki i Azotu w Ziarnie Kukurydzy w Zależności od Typu Gleby i Zastosowanego Nawożenia. Fragm. Agron. 2011, 28, 7–14. [Google Scholar]
  42. Dhananjaya, B.C.; Basavaraj, B. Transformation of different forms of sulphur in an Alfisols under laboratory and field conditions with maize (Zea mays L.). Agropedology 2006, 16, 92–97. [Google Scholar]
  43. Fotyma, E. Wpływ nawożenia siarką na wykorzystanie azotu z nawozów mineralnych przez rośliny uprawy polowej. Nawozy I Nawożenie 2003, 5, 117–136. [Google Scholar]
  44. Szulc, P.; Bocianowski, J.; Rybus-Zajac, M. The reaction of ‘stay-green’ maize hybrid (Zea mays L.) to various methods of magnesium application. Fresenius Environ. Bull. 2011, 20, 2126–2134. [Google Scholar]
Figure 1. A graph showing the distribution of protein content in corn plant material in relation to the nitrogen dose applied in the first year of field tests, taking into account different phosphorus fertilization. Vertical bars indicate 0.95 confidence intervals.
Figure 1. A graph showing the distribution of protein content in corn plant material in relation to the nitrogen dose applied in the first year of field tests, taking into account different phosphorus fertilization. Vertical bars indicate 0.95 confidence intervals.
Agronomy 14 02079 g001
Figure 2. A graph showing the distribution of protein content in corn plant material in relation to the nitrogen dose applied in the second year of field tests, taking into account different phosphorus fertilization. Vertical bars indicate 0.95 confidence intervals.
Figure 2. A graph showing the distribution of protein content in corn plant material in relation to the nitrogen dose applied in the second year of field tests, taking into account different phosphorus fertilization. Vertical bars indicate 0.95 confidence intervals.
Agronomy 14 02079 g002
Figure 3. A graph showing the distribution of protein content in corn plant material in relation to the nitrogen dose applied in the third year of field tests, taking into account different phosphorus fertilization. Vertical bars indicate 0.95 confidence intervals.
Figure 3. A graph showing the distribution of protein content in corn plant material in relation to the nitrogen dose applied in the third year of field tests, taking into account different phosphorus fertilization. Vertical bars indicate 0.95 confidence intervals.
Agronomy 14 02079 g003
Figure 4. Graph showing the distribution of protein content in corn plant material depending on the nitrogen dose applied in the first year of field tests, taking into account various types of fertilizers. Vertical bars indicate 0.95 confidence intervals.
Figure 4. Graph showing the distribution of protein content in corn plant material depending on the nitrogen dose applied in the first year of field tests, taking into account various types of fertilizers. Vertical bars indicate 0.95 confidence intervals.
Agronomy 14 02079 g004
Figure 5. Graph showing the distribution of protein content in corn plant material depending on the nitrogen dose applied in the second year of field tests, taking into account various types of fertilizers. Vertical bars indicate 0.95 confidence intervals.
Figure 5. Graph showing the distribution of protein content in corn plant material depending on the nitrogen dose applied in the second year of field tests, taking into account various types of fertilizers. Vertical bars indicate 0.95 confidence intervals.
Agronomy 14 02079 g005
Figure 6. Graph showing the distribution of protein content in corn plant material depending on the nitrogen dose applied in the third year of field tests, taking into account various types of fertilizers. Vertical bars indicate 0.95 confidence intervals.
Figure 6. Graph showing the distribution of protein content in corn plant material depending on the nitrogen dose applied in the third year of field tests, taking into account various types of fertilizers. Vertical bars indicate 0.95 confidence intervals.
Agronomy 14 02079 g006
Figure 7. Graph showing the distribution of total nitrogen content in maize plant material in relation to nitrogen rate, amount, and source of phosphorus in fertilizers.
Figure 7. Graph showing the distribution of total nitrogen content in maize plant material in relation to nitrogen rate, amount, and source of phosphorus in fertilizers.
Agronomy 14 02079 g007
Figure 8. Graph showing the distribution of phosphorus content in maize plant material in relation to nitrogen rate, amount and source of phosphorus in fertilizers.
Figure 8. Graph showing the distribution of phosphorus content in maize plant material in relation to nitrogen rate, amount and source of phosphorus in fertilizers.
Agronomy 14 02079 g008
Figure 9. Graph showing the distribution of potassium content in maize plant material in relation to nitrogen rate, amount and source of phosphorus in fertilizers.
Figure 9. Graph showing the distribution of potassium content in maize plant material in relation to nitrogen rate, amount and source of phosphorus in fertilizers.
Agronomy 14 02079 g009
Figure 10. Graph showing the distribution of sulfate sulfur content in maize plant material in relation to nitrogen rate, amount and source of phosphorus in fertilizers.
Figure 10. Graph showing the distribution of sulfate sulfur content in maize plant material in relation to nitrogen rate, amount and source of phosphorus in fertilizers.
Agronomy 14 02079 g010
Figure 11. Graph showing the distribution of magnesium content in maize plant material in relation to nitrogen rate, amount and source of phosphorus in fertilizers.
Figure 11. Graph showing the distribution of magnesium content in maize plant material in relation to nitrogen rate, amount and source of phosphorus in fertilizers.
Agronomy 14 02079 g011
Figure 12. Graph showing the distribution of calcium content in maize plant material in relation to nitrogen rate, amount and source of phosphorus in fertilizers.
Figure 12. Graph showing the distribution of calcium content in maize plant material in relation to nitrogen rate, amount and source of phosphorus in fertilizers.
Agronomy 14 02079 g012
Figure 13. Graph showing the distribution of sodium content in maize plant material in relation to nitrogen rate, amount and source of phosphorus in fertilizers.
Figure 13. Graph showing the distribution of sodium content in maize plant material in relation to nitrogen rate, amount and source of phosphorus in fertilizers.
Agronomy 14 02079 g013
Table 1. Division of fertilizers used in the field experiment according to their composition and the nitrogen dose applied.
Table 1. Division of fertilizers used in the field experiment according to their composition and the nitrogen dose applied.
Main Fertilizer
Components—NPK
Source of Phosphorus
in Fertilizer
Secondary Fertilizer ComponentsMicronutrients N Dose, kg·ha−1Number of Repetitions
9.5-4-11Polyol waste001803
1353
Mg S01803
1353
Mg SZ, B, Mn1803
1353
Fosdar 40001803
1353
9.5-6-11Polyol waste001803
1353
Mg S01803
1353
Mg SZ, B, Mn1803
1353
Fosdar 40001803
1353
000003
Total number of experimental objects51
Table 2. Average content of total nitrogen (g∙kg−1) and division into homogeneous groups using the Tukey test (HSD) for α = 0.05 in relation to the source of phosphorus and its percentage content in the fertilizer.
Table 2. Average content of total nitrogen (g∙kg−1) and division into homogeneous groups using the Tukey test (HSD) for α = 0.05 in relation to the source of phosphorus and its percentage content in the fertilizer.
YearN Dose, kg N∙ha−1 (C)Source of Phosphorus in Fertilizer (A)Control without Fertilization
Polyol WasteFosdar 40 (Control)
Percentage of P (B)
4%6%Avg.4%6%Avg.
I18014.28
cd
14.84
d
14.56
B
13.36
bcd
14.84
d
14.10
B
10.53
a
13511.19
ab
12.01
abc
11.60
A
11.66
abc
12.43
abcd
12.04
A
A
avg.12.73
A
13.43
A
12.51
AB
13.63
A
B
avg.13.08
A
13.07
A
B
A—s.i.
B—Ƞ2p = 23.77%
C—Ƞ2p = 70.37%A × B—s.i.
A × C—s.i.
B × C—s.i.
A × B × C—s.i.
II18011.75
ab
11.85
b
11.80
B
11.11
ab
10.83
ab
10.97
AB
9.80
a
13510.83
ab
11.11
ab
10.97
AB
10.31
ab
9.97
ab
10.14
A
A
avg.11.29
A
11.48
A
10.71
A
10.40
A
A
avg.11.39
B
10.55
A
A
A—s.i.
B—s.i.
C—Ƞ2p = 32.13%A × B—s.i.
A × C—s.i.
B × C—s.i.
A × B × C—s.i.
III18010.35
bc
9.68
abc
10.01
B
9.61
abc
10.48
c
10.04
B
8.12
ab
1358.03
a
8.77
abc
8.40
A
8.40
abc
9.63
abc
9.01
AB
A
avg.9.19
A
9.23
A
9.01
A
10.05
A
A
avg.9.21
AB
9.53
B
A
A—s.i.
B—s.i.
C—Ƞ2p = 48.28%A × B—s.i.
A × C—s.i.
B × C—s.i.
A × B × C—s.i.
Table 3. Average content of total nitrogen (g ∙ kg−1) and division into homogeneous groups using the Tukey test (HSD) for α = 0.05 in relation to the type of suspension fertilizer and the percentage of phosphorus.
Table 3. Average content of total nitrogen (g ∙ kg−1) and division into homogeneous groups using the Tukey test (HSD) for α = 0.05 in relation to the type of suspension fertilizer and the percentage of phosphorus.
YearN Dose, kg N∙ha−1 (C)Percentage of P (A)
4%6%
Type of Fertilizer (B)
NPKNPK S MgNPK S Mg MicroAvg.NPKNPK S MgNPK S Mg MicroAvg.
I18014.28
Bcde
15.03
de
13.07
abcde
14.12
B
14.84
cde
15.49
e
13.21
abcde
14.52
A
13511.19
A
11.35
ab
11.39
ab
11.48
A
12.01
abc
12.81
abcde
12.15
abcd
12.32
A
avg.12.73
AB
13.44
AB
12.23
A
13.43
AB
14.15
B
12.68
AB
avg.12.80
A
13.42
A
A—Ƞ2p = 31.56%
B—s.i.
C—Ƞ2p = 69.15%A × B—s.i.
A × C—s.i.
B × C—s.i.
A × B × C—s.i.
II18011.74
a
10.60
A
11.49
a
11.28
AB
11.85
a
11.67
a
12.00
a
11.84
B
13510.83
a
10.00
A
10.91
a
10.58
A
11.11
a
9.99
a
10.27
a
10.45
A
avg.11.29
A
10.30
A
11.20
A
11.48
A
10.83
A
11.13
A
avg.10.93
A
11.15
A
A—s.i.
B—s.i.
C—Ƞ2p = 37.61%A × B—s.i.
A × C—s.i.
B × C—s.i.
A × B × C—s.i.
III18010.35
bc
10.00
abc
11.47
c
10.61
C
9.68
abc
9.80
abc
10.32
abc
9.93
BC
1358.03
a
9.29
abc
9.24
abc
8.85
A
8.77
ab
8.72
ab
9.47
abc
8.99
AB
avg.9.19
A
9.65
A
10.35
A
9.23
A
9.26
A
9.89
A
avg.9.73
A
9.64
A
A—Ƞ2p = 26.66%
B—s.i.
C—Ƞ2p = 52.46%A × B—s.i.
A × C—s.i.
B × C—s.i.
A × B × C—s.i.
Table 4. Average phosphorus content (g∙kg−1) and division into homogeneous groups using the Tukey test (HSD) for α = 0.05 in relation to the phosphorus source and its percentage in the fertilizer.
Table 4. Average phosphorus content (g∙kg−1) and division into homogeneous groups using the Tukey test (HSD) for α = 0.05 in relation to the phosphorus source and its percentage in the fertilizer.
YearN Dose, kg N∙ha−1 (C)Source of Phosphorus in Fertilizer (A)Control without Fertilization
Polyol WasteFosdar 40 (Control)
Percentage of P (B)
4%6%Avg.4%6%Avg.
I1802.69
e
3.09
F
2.89
D
2.28
bcd
2.45
de
2.37
C
1.41
a
1352.05
bc
2.39
cde
2.22
BC
1.93
b
2.32
cd
2.13
B
A
avg.2.37
C
2.74
D
2.11
B
2.39
C
A
avg.2.56
C
2.25
B
A
A—Ƞ2p = 66.03%
B—Ƞ2p = 67.58%
C—Ƞ2p = 80.67%A × B—s.i.
A × C—Ƞ2p = 48.33%
B × C—s.i.
A × B × C—s.i.
II1801.53
ab
1.78
c
1.66
B
1.56
ab
1.65
bc
1.61
B
1.41
a
1351.62
bc
1.71
bc
1.67
B
1.38
a
1.53
ab
1.46
A
A
avg.1.58
B
1.75
C
1.47
AB
1.59
B
A
avg.1.66
C
1.53
B
A
A—Ƞ2p = 53.16%
B—Ƞ2p = 58.50%
C—Ƞ2p = 25.15%A × B—s.i.
A × C—Ƞ2p = 29.19%
B × C—s.i.
A × B × C—s.i.
III1802.02
abc
2.19
bc
2.12
C
1.55
a
1.70
ab
1.63
AB
1.55
a
1351.82
ab
2.05
abc
1.93
BC
1.91
abc
2.34
c
2.13
C
A
avg.1.93
BC
2.12
C
1.73
AB
2.02
BC
A
avg.2.03
B
1.88
B
A
A—s.i.
B—Ƞ2p = 38.02%
C—Ƞ2p = 21.25%A × B—s.i.
A × C—Ƞ2p = 55.49%
B × C—s.i.
A × B × C—s.i.
Table 5. Average phosphorus content (g∙kg−1) and division into homogeneous groups using the Tukey test (HSD) for α = 0.05 in relation to the type of suspension fertilizer and the percentage of phosphorus.
Table 5. Average phosphorus content (g∙kg−1) and division into homogeneous groups using the Tukey test (HSD) for α = 0.05 in relation to the type of suspension fertilizer and the percentage of phosphorus.
YearN Dose, kg N∙ha−1 (C)Percentage of P (A)
4% 6%
Type of Fertilizer (B)
NPKNPK S MgNPK S Mg MicroAvg.NPKNPK S MgNPK S Mg MicroAvg.
I1802.69
bcd
2.12
ab
2.10
ab
2.31
A
3.09
d
3.05
d
2.97
cd
3.04
B
1352.05
a
2.72
cd
2.68
bcd
2.49
A
2.39
abc
3.01
d
3.01
d
2.80
B
avg.2.37
A
2.42
AB
2.39
AB
2.74
BC
3.03
C
2.99
C
avg.2.40
A
2.92
B
A—s.i.
B—s.i.
C—Ƞ2p = 71.43%A × B—s.i.
A × C—Ƞ2p = 65.38%
B × C—Ƞ2p = 28.15%
A × B × C—s.i.
II1801.53
abc
1.65
bcd
1.49
abc
1.56
AB
1.78
de
1.96
f
1.61
abcd
1.78
C
1351.62
abcd
1.38
A
1.38
A
1.46
A
1.71
cd
1.44
ab
1.70
cd
1.62
B
avg.1.58
ABC
1.52
AB
1.43
A
1.75
D
1.70
CD
1.65
BCD
avg.1.51
A
1.70
B
A—Ƞ2p = 35.02%
B—Ƞ2p = 67.35%
C—Ƞ2p = 49.87%A × B—s.i.
A × C—Ƞ2p = 65.93%
B × C—s.i.
A × B × C—Ƞ2p = 35.07%
III1802.04
abc
1.84
ab
1.96
abc
1.95
A
2.19
c
2.03
abc
2.16
bc
2.13
B
1351.82
a
1.78
a
1.85
ab
1.82
A
2.05
abc
2.18
c
2.09
abc
2.11
B
avg.1.93
ABC
1.81
A
1.90
AB
2.12
C
2.11
BC
2.13
C
avg.1.88
A
2.12
B
A—s.i.
B—Ƞ2p = 61.95%
C—s.i.A × B—s.i.
A × C—s.i.
B × C—s.i.
A × B × C—s.i.
Table 6. Average potassium content (g∙kg−1) and division into homogeneous groups using the Tukey test (HSD) for α = 0.05 in relation to the source of phosphorus and its percentage content in the fertilizer.
Table 6. Average potassium content (g∙kg−1) and division into homogeneous groups using the Tukey test (HSD) for α = 0.05 in relation to the source of phosphorus and its percentage content in the fertilizer.
YearN Dose, kg N∙ha−1 (C)Source of Phosphorus in Fertilizer (A)Control without Fertilization
Polyol WasteFosdar 40 (Control)
Percentage of P (B)
4%6%Avg.4%6%Avg.
I18018.32
ab
21.60
b
19.96
B
24.20
b
22.27
b
23.23
B
13.73
a
13523.40
b
24.28
b
23.84
B
21.82
b
22.80
b
22.31
B
A
avg.20.86
B
22.94
B
23.01
B
22.53
B
A
avg.21.19
B
22.77
B
A
A—s.i.
B—s.i.
C—s.i.A × B—s.i.
A × C—Ƞ2p = 26.18%
B × C—s.i
A × B × C—s.i.
II18013.22
d
11.67
bcd
12.45
B
12.87
bcd
12.87
bcd
12.87
B
9.67
a
13511.13
abc
10.97
ab
11.05
A
12.92
cd
11.93
bcd
12.43
B
A
avg.12.18
BC
11.32
B
12.89
C
12.40
BC
A
avg.11.75
B
12.65
C
A
A—Ƞ2p = 37.57%
B—Ƞ2p = 25.46%
C—Ƞ2p = 38.61%A × B—s.i.
A × C—s.i.
B × C—s.i.
A × B × C—Ƞ2p = 20.80%
III18011.98
a
10.53
a
11.26
A
10.53
a
10.02
a
10.28
A
8.30
a
1359.42
a
10.78
a
10.10
A
10.70
a
10.73
a
10.72
A
A
avg.10.70
A
10.66
A
10.62
A
10.38
A
A
avg.10.68
A
10.50
A
A
A—s.i.
B—s.i.
C—s.i.A × B—s.i.
A × C—s.i.
B × C—s.i.
A × B × C—s.i.
Table 7. Average potassium content (g∙kg−1) and division into homogeneous groups using the Tukey test (HSD) for α = 0.05 in relation to the type of suspension fertilizer and the percentage of phosphorus.
Table 7. Average potassium content (g∙kg−1) and division into homogeneous groups using the Tukey test (HSD) for α = 0.05 in relation to the type of suspension fertilizer and the percentage of phosphorus.
YearN Dose, kg N∙ha−1 (C)Percentage of P (A)
4% 6%
Type of Fertilizer (B)
NPKNPK S MgNPK S Mg MicroAvg.NPKNPK S MgNPK S Mg MicroAvg.
I18018.32
a
20.08
ab
21.15
ab
19.85
A
21.60
ab
24.00
ab
25.35
b
23.65
B
13523.40
ab
22.75
ab
24.53
ab
23.56
B
24.28
ab
22.45
ab
26.30
b
24.34
B
avg.20.86
A
21.42
A
22.84
AB
22.94
AB
23.23
AB
25.83
B
avg.21.71
A
24.00
B
A—Ƞ2p = 25.58%
B—Ƞ2p = 28.58%
C—Ƞ2p = 26.99%A × B—s.i.
A × C—s.i.
B × C—s.i.
A × B × C—s.i.
II18013.22
ab
12.43
ab
11.40
a
12.35
AB
11.67
a
14.63
b
11.90
a
12.73
B
13511.13
a
11.87
a
12.88
ab
11.96
AB
10.97
a
11.03
a
12.70
ab
11.57
A
avg.12.18
AB
12.15
AB
12.14
AB
11.32
A
12.83
B
12.30
AB
avg.12.16
A
12.15
A
A—s.i.
B—s.i.
C—Ƞ2p = 25.00%A × B—s.i.
A × C—Ƞ2p = 51.35%
B × C—s.i.
A × B × C—Ƞ2p = 30.95%
III18011.98
a
12.55
a
10.17
a
11.57
A
10.53
a
10.23
a
11.12
a
10.63
A
1359.42
a
10.80
a
12.10
a
10.77
A
10.78
a
9.43
a
11.13
a
10.45
A
avg.10.70
A
11.68
A
11.13
A
10.66
A
9.83
A
11.13
A
avg.11.17
A
10.54
A
A—s.i.
B—s.i.
C—s.i.A × B—s.i.
A × C—s.i.
B × C—s.i.
A × B × C—s.i.
Table 8. Average sulfate sulfur content (g∙kg−1) and division into homogeneous groups using the Tukey test (HSD) for α = 0.05 in relation to the source of phosphorus and its percentage content in the fertilizer.
Table 8. Average sulfate sulfur content (g∙kg−1) and division into homogeneous groups using the Tukey test (HSD) for α = 0.05 in relation to the source of phosphorus and its percentage content in the fertilizer.
YearN Dose, kg N∙ha−1 (C)Source of Phosphorus in Fertilizer (A)Control without Fertilization
Polyol WasteFosdar 40 (Control)
Percentage of P (B)
4%6%Avg.4%6%Avg.
I1800.085
a
0.098
a
0.092
A
0.104
a
0.067
a
0.085
A
0.071
a
1350.095
a
0.074
a
0.085
A
0.086
a
0.074
a
0.080
A
A
avg.0.090
A
0.086
A
0.095
A
0.070
A
A
avg.0.088
A
0.083
A
A
A—s.i.
B—s.i.
C—s.i.A × B—s.i.
A × C—s.i.
B × C—s.i.
A × B ×C—s.i.
II1800.089
a
0.125
a
0.107
A
0.086
a
0.083
a
0.085
A
0.082
a
1350.079
a
0.108
a
0.094
A
0.139
a
0.196
a
0.168
A
A
avg.0.084
A
0.117
A
0.113
A
0.140
A
A
avg.0.100
A
0.126
A
A
A—s.i.
B—s.i.
C—s.i.A × B—s.i.
A × C—s.i.
B × C—s.i.
A × B ×C—s.i.
III1800.082
a
0.088
a
0.085
A
0.087
a
0.082
a
0.084
A
0.088
a
1350.134
a
0.091
a
0.113
A
0.089
a
0.086
a
0.088
A
A
avg.0.108
A
0.090
A
0.088
A
0.084
A
A
avg.0.099
A
0.086
A
A
A—s.i.
B—s.i.
C—s.i.A × B—s.i.
A × C—s.i.
B × C—s.i.
A × B ×C—s.i.
Table 9. Average sulfate sulfur content (g∙kg−1) and division into homogeneous groups using the Tukey test (HSD) for α = 0.05 in relation to the type of suspension fertilizer and the percentage of phosphorus.
Table 9. Average sulfate sulfur content (g∙kg−1) and division into homogeneous groups using the Tukey test (HSD) for α = 0.05 in relation to the type of suspension fertilizer and the percentage of phosphorus.
YearN Dose, kg N∙ha−1 (C)Percentage of P (A)
4% 6%
Type of Fertilizer (B)
NPKNPK S MgNPK S Mg MicroAvg.NPKNPK S MgNPK S Mg MicroAvg.
I1800.085
a
0.091
a
0.119
a
0.099
A
0.098
a
0.093
a
0.065
a
0.085
A
1350.095
a
0.107
a
0.090
a
0.097
A
0.074
a
0.087
a
0.091
a
0.084
A
avg.0.090
A
0.099
A
0.105
A
0.086
A
0.090
A
0.078
A
avg.0.098
A
0.085
A
A—s.i.
B—s.i.
C—s.i.A × B—s.i.
A × C—s.i.
B × C—s.i.
A × B ×C—s.i.
II1800.089
a
0.077
a
0.100
a
0.089
A
0.125
a
0.117
a
0.095
a
0.112
A
1350.079
a
0.088
a
0.081
a
0.083
A
0.108
a
0.101
a
0.117
a
0.109
A
avg.0.084
A
0.083
A
0.091
A
0.117
A
0.109
A
0.106
A
avg.0.086
A
0.111
B
A—Ƞ2p = 15.41%
B—s.i.
C—s.i.A × B—s.i.
A × C—s.i.
B × C—s.i.
A × B ×C—s.i.
III1800.082
a
0.086
a
0.113
a
0.094
A
0.088
a
0.112
a
0.107
a
0.102
A
1350.134
a
0.092
a
0.095
a
0.107
A
0.091
a
0.112
a
0.086
a
0.096
A
avg.0.108
A
0.089
A
0.104
A
0.090
A
0.112
A
0.096
A
avg.0.100
A
0.099
A
A—s.i.
B—s.i.
C—s.i.A × B—s.i.
A × C—s.i.
B × C—s.i.
A × B ×C—s.i.
Table 10. Average magnesium content (g∙kg−1) and division into homogeneous groups using the Tukey test (HSD) for α = 0.05 in relation to the source of phosphorus and its percentage in the fertilizer.
Table 10. Average magnesium content (g∙kg−1) and division into homogeneous groups using the Tukey test (HSD) for α = 0.05 in relation to the source of phosphorus and its percentage in the fertilizer.
YearN Dose, kg N∙ha−1 (C)Source of Phosphorus in Fertilizer (A)Control without Fertilization
Polyol WasteFosdar 40 (Control)
Percentage of P (B)
4%6%Avg.4%6%Avg.
I1800.17
a
0.17
a
0.17
A
0.92
c
0.42
abc
0.67
B
0.19
a
1350.22
ab
0.17
a
0.20
A
0.42
abc
0.77
bc
0.59
B
A
avg.0.20
A
0.17
A
0.67
C
0.59
BC
AB
avg.0.18
A
0.63
B
A
A—Ƞ2p = 63.07%
B—s.i.
C—s.i.A × B—s.i.
A × C—s.i.
B × C—Ƞ2p = 24.69%
A × B ×C—Ƞ2p = 30.19%
II1800.56
a
0.57
a
0.57
A
0.47
a
0.51
a
0.49
A
0.50
a
1350.72
a
0.57
a
0.65
A
0.68
a
0.78
a
0.73
A
A
avg.0.64
A
0.57
A
0.58
A
0.65
A
A
avg.0.61
A
0.61
A
A
A—s.i.
B—s.i.
C—s.i.A × B—s.i.
A × C—s.i.
B × C—s.i.
A × B ×C—s.i.
III1801.90
a
1.55
a
1.73
A
1.52
a
1.73
a
1.63
A
2.10
a
1351.33
a
1.65
a
1.49
A
1.65
a
2.20
a
1.93
A
A
avg.1.62
A
1.60
A
1.58
A
1.97
A
A
avg.1.61
A
1.78
A
A
A—s.i.
B—s.i.
C—s.i.A × B—s.i.
A × C—s.i.
B × C—s.i.
A × B ×C—s.i.
Table 11. Average magnesium content (g∙kg−1) and division into homogeneous groups using the Tukey test (HSD) for α = 0.05 in relation to the type of suspension fertilizer and the percentage of phosphorus.
Table 11. Average magnesium content (g∙kg−1) and division into homogeneous groups using the Tukey test (HSD) for α = 0.05 in relation to the type of suspension fertilizer and the percentage of phosphorus.
YearN Dose, kg N∙ha−1 (C)Percentage of P (A)
4% 6%
Type of Fertilizer (B)
NPKNPK S MgNPK S Mg MicroAvg.NPKNPK S MgNPK S Mg MicroAvg.
I1800.17
a
0.17
A
0.26
a
0.20
A
0.17
a
0.14
a
0.23
a
0.18
A
1350.22
a
0.17
A
0.20
a
0.20
A
0.17
a
0.19
a
0.29
a
0.22
A
avg.0.20
A
0.17
A
0.23
A
0.17
A
0.16
A
0.26
A
avg.0.20
A
0.20
A
A—s.i.
B—s.i.
C—s.i.A × B—Ƞ2p = 3.17%
A × C—s.i.
B × C—s.i.
A × B ×C—s.i.
II1800.56
a
0.53
a
0.89
a
0.66
A
0.57
a
0.89
a
0.99
a
0.82
A
1350.72
a
0.72
a
0.59
a
0.68
A
0.57
a
0.54
a
0.58
a
0.56
A
avg.0.64
A
0.63
A
0.74
A
0.57
A
0.71
A
0.78
A
avg.0.67
A
0.69
A
A—s.i.
B—s.i.
C—s.i.A × B—Ƞ2p = 3.83%
A × C—s.i.
B × C—Ƞ2p = 22.89%
A × B ×C—s.i.
III1801.90
a
1.63
a
1.48
a
1.67
A
1.55
a
1.72
a
1.57
a
1.61
A
1351.33
a
1.60
a
1.50
a
1.48
A
1.65
a
1.67
a
1.73
a
1.68
A
avg.1.62
A
1.62
A
1.49
A
1.60
A
1.69
A
1.65
A
avg.1.58
A
1.65
A
A—s.i.
B—s.i.
C—s.i.A × B—s.i.
A × C—s.i.
B × C—s.i.
A × B ×C—s.i.
Table 12. Average calcium content (g∙kg−1) and division into homogeneous groups using the Tukey test (HSD) for α = 0.05 in relation to the source of phosphorus and its percentage content in the fertilizer.
Table 12. Average calcium content (g∙kg−1) and division into homogeneous groups using the Tukey test (HSD) for α = 0.05 in relation to the source of phosphorus and its percentage content in the fertilizer.
YearN Dose, kg N∙ha−1 (C)Source of Phosphorus in Fertilizer (A)Control without Fertilization
Polyol WasteFosdar 40 (Control)
Percentage of P (B)
4%6%Avg.4%6%Avg.
I1801.36
a
2.41
b
1.89
A
1.98
b
2.07
b
2.02
AB
2.05
b
1351.99
b
2.01
b
2.00
AB
2.13
b
2.43
b
2.28
B
AB
avg.1.67
A
2.21
B
2.06
B
2.25
B
AB
avg.1.94
A
2.15
A
A
A—Ƞ2p = 25.51%
B—Ƞ2p = 51.25%
C—Ƞ2p = 21.27%A × B—s.i.
A × C—s.i.
B × C—Ƞ2p = 24.91%
A × B ×C—Ƞ2p = 42.87%
II1801.87
a
1.79
a
1.83
A
1.99
a
2.03
a
2.01
A
1.81
a
1351.87
a
2.13
a
2.00
A
2.19
a
2.11
a
2.15
A
A
avg.1.87
A
1.96
A
2.09
A
2.07
A
A
avg.1.91
A
2.08
A
A
A—s.i.
B—s.i.
C—s.iA × B—s.i.
A × C—s.i.
B × C—s.i.
A × B ×C—s.i.
III1804.26
b
3.59
ab
3.92
B
3.78
ab
3.82
ab
3.80
B
3.64
ab
1353.09
a
2.99
a
3.04
A
3.72
ab
2.98
a
3.35
AB
AB
avg.3.67
A
3.29
A
3.75
A
3.40
A
A
avg.3.64
A
3.58
A
A
A—s.i.
B—Ƞ2p = 28.59%
C—Ƞ2p = 56.91%A × B—s.i.
A × C—s.i.
B × C—s.i.
A × B ×C—Ƞ2p = 25.24%
Table 13. Average calcium content (g∙kg−1) and division into homogeneous groups using the Tukey test (HSD) for α = 0.05 in relation to the type of suspension fertilizer and the percentage of phosphorus.
Table 13. Average calcium content (g∙kg−1) and division into homogeneous groups using the Tukey test (HSD) for α = 0.05 in relation to the type of suspension fertilizer and the percentage of phosphorus.
YearN Dose, kg N∙ha−1 (C)Percentage of P (A)
4% 6%
Type of Fertilizer (B)
NPKNPK S MgNPK S Mg MicroAvg.NPKNPK S MgNPK S Mg MicroAvg.
I1801.36
a
1.81
ab
1.92
ab
1.70
A
2.41
b
2.57
b
2.07
ab
2.35
B
1351.99
ab
1.54
a
2.12
ab
1.88
A
2.01
ab
1.97
ab
2.08
ab
2.02
AB
avg.1.67
A
1.68
A
2.02
AB
2.21
B
2.27
B
2.07
AB
avg.1.79
A
2.19
B
A—Ƞ2p = 44.92%
B—s.i.
C—s.i.A × B—Ƞ2p = 23.56%
A × C—Ƞ2p = 26.51%
B × C—Ƞ2p = 25.46%
A × B × C—s.i.
II1801.87
a
2.03
ab
1.91
ab
1.93
A
1.79
a
2.39
b
2.40
b
2.19
B
1351.87
a
2.00
ab
1.97
ab
1.95
A
2.13
ab
1.85
a
2.00
ab
2.00
AB
avg.1.87
A
2.01
AB
1.94
AB
1.96
AB
2.12
AB
2.20
B
avg.1.94
A
2.09
B
A—s.i.
B—Ƞ2p = 22.64%
C—s.i.A × B—s.i.
A × C—Ƞ2p = 31.59%
B × C—s.i.
A × B ×C—Ƞ2p = 32.48%
III1804.26
a
3.55
a
3.14
a
3.65
A
3.59
a
3.54
a
4.05
a
3.72
A
1353.09
a
3.57
a
3.93
a
3.53
A
2.99
a
4.11
a
3.94
a
3.68
A
avg.3.67
A
3.56
A
3.54
A
3.29
A
3.82
A
3.99
A
avg.3.59
A
3.70
A
A—s.i.
B—s.i.
C—s.i.A × B—s.i.
A × C—Ƞ2p = 38.76%
B × C—s.i.
A × B × C—s.i.
Table 14. Average sodium content (g∙kg−1) and division into homogeneous groups using the Tukey test (HSD) for α = 0.05 in relation to the source of phosphorus and its percentage content in the fertilizer.
Table 14. Average sodium content (g∙kg−1) and division into homogeneous groups using the Tukey test (HSD) for α = 0.05 in relation to the source of phosphorus and its percentage content in the fertilizer.
YearN Dose, kg N∙ha−1 (C)Source of Phosphorus in Fertilizer (A)Control without Fertilization
Polyol WasteFosdar 40 (Control)
Percentage of P (B)
4%6%Avg.4%6%Avg.
I1800.132
b
0.107
ab
0.120
B
0.099
a
0.101
a
0.100
A
0.083
a
1350.110
ab
0.097
a
0.104
AB
0.094
a
0.090
a
0.092
A
A
avg.0.121
B
0.102
AB
0.097
A
0.096
A
A
avg.0.112
B
0.096
A
A
A—Ƞ2p = 40.59%
B—Ƞ2p = 21.72%
C—Ƞ2p = 29.96%A × B—s.i.
A × C—s.i.
B × C—s.i.
A × B ×C—s.i.
II1800.322
b
0.319
b
0.321
B
0.342
bc
0.354
bc
0.348
BC
0.249
a
1350.357
bc
0.391
c
0.374
C
0.345
bc
0.372
bc
0.359
C
A
avg.0.339
B
0.355
B
0.344
B
0.363
B
A
avg.0.347
B
0.353
B
A
A—s.i.
B—s.i.
C—Ƞ2p = 42.27%A × B—s.i.
A × C—Ƞ2p = 24.31%
B × C—s.i.
A × B × C—s.i.
III1800.340
b
0.333
b
0.337
C
0.319
b
0.331
b
0.325
BC
0.246
a
1350.299
ab
0.290
ab
0.295
AB
0.319
b
0.324
b
0.322
BC
A
avg.0.320
B
0.312
B
0.319
B
0.327
B
A
avg.0.316
B
0.323
B
A
A—s.i.
B—s.i.
C—Ƞ2p = 24.76%A × B—s.i.
A × C—s.i.
B × C—s.i.
A × B × C—s.i.
Table 15. Average sodium content (g∙kg−1) and division into homogeneous groups using the Tukey test (HSD) for α = 0.05 in relation to the type of suspension fertilizer and the percentage of phosphorus.
Table 15. Average sodium content (g∙kg−1) and division into homogeneous groups using the Tukey test (HSD) for α = 0.05 in relation to the type of suspension fertilizer and the percentage of phosphorus.
YearN Dose, kg N∙ha−1 (C)Percentage of P (A)
4% 6%
Type of Fertilizer (B)
NPKNPK S MgNPK S Mg MicroAvg.NPKNPK S MgNPK S Mg MicroAvg.
I1800.132
a
0.131
a
0.117
a
0.127
A
0.107
a
0.114
a
0.099
a
0.107
A
1350.110
a
0.146
a
0.345
a
0.200
A
0.097
a
0.093
a
0.130
a
0.107
A
avg.0.121
A
0.139
A
0.231
A
0.102
A
0.104
A
0.114
A
avg.0.163
A
0.107
A
A—s.i.
B—s.i.
C—s.i.A × B—s.i.
A × C—s.i.
B × C—s.i.
A × B × C—s.i.
II1800.322
abc
0.349
abcd
0.285
a
0.319
A
0.319
abc
0.328
abcd
0.379
bcd
0.342
AB
1350.357
abcd
0.340
abcd
0.473
e
0.390
C
0.391
cd
0.306
ab
0.402
de
0.366
BC
avg.0.339
AB
0.345
ABC
0.379
BC
0.355
ABC
0.317
A
0.391
C
avg.0.354
A
0.354
A
A—Ƞ2p = 53.69%
B—s.i.
C—Ƞ2p = 56.43%A × B—s.i.
A × C—Ƞ2p = 58.21%
B × C—Ƞ2p = 24.11%
A × B × C—Ƞ2p = 51.02%
III1800.340
a
0.369
a
0.313
a
0.341
A
0.333
a
0.327
a
0.391
a
0.351
A
1350.299
a
0.344
a
0.335
a
0.326
A
0.290
a
0.341
a
0.342
a
0.324
A
avg.0.320
A
0.357
A
0.324
A
0.312
A
0.334
A
0.367
A
avg.0.333
A
0.338
A
A—s.i.
B—s.i.
C—s.i.A × B—s.i.
A × C—s.i.
B × C—s.i.
A × B × C—s.i.
Disclaimer/Publisher’s Note: The statements, opinions and data contained in all publications are solely those of the individual author(s) and contributor(s) and not of MDPI and/or the editor(s). MDPI and/or the editor(s) disclaim responsibility for any injury to people or property resulting from any ideas, methods, instructions or products referred to in the content.

Share and Cite

MDPI and ACS Style

Bogusz, P.; Brodowska, M.S.; Muszyński, P. The Impact of Suspension Fertilizers Based on Waste Phosphorus Salts from Polyol Production on the Content of Macronutrients in Maize Grown for Green Fodder. Agronomy 2024, 14, 2079. https://doi.org/10.3390/agronomy14092079

AMA Style

Bogusz P, Brodowska MS, Muszyński P. The Impact of Suspension Fertilizers Based on Waste Phosphorus Salts from Polyol Production on the Content of Macronutrients in Maize Grown for Green Fodder. Agronomy. 2024; 14(9):2079. https://doi.org/10.3390/agronomy14092079

Chicago/Turabian Style

Bogusz, Paulina, Marzena Sylwia Brodowska, and Paweł Muszyński. 2024. "The Impact of Suspension Fertilizers Based on Waste Phosphorus Salts from Polyol Production on the Content of Macronutrients in Maize Grown for Green Fodder" Agronomy 14, no. 9: 2079. https://doi.org/10.3390/agronomy14092079

APA Style

Bogusz, P., Brodowska, M. S., & Muszyński, P. (2024). The Impact of Suspension Fertilizers Based on Waste Phosphorus Salts from Polyol Production on the Content of Macronutrients in Maize Grown for Green Fodder. Agronomy, 14(9), 2079. https://doi.org/10.3390/agronomy14092079

Note that from the first issue of 2016, this journal uses article numbers instead of page numbers. See further details here.

Article Metrics

Back to TopTop