Next Article in Journal
Evaluation of Sugarcane Crop Growth Monitoring Using Vegetation Indices Derived from RGB-Based UAV Images and Machine Learning Models
Next Article in Special Issue
Influence of Wheat Cultivars, Infection Level, and Climate after Anthesis on Efficacy of Fungicide for Control of Fusarium Head Blight in the Huang-Huai-Hai Plain of China
Previous Article in Journal
Natural Variability of Genomic Sequences of Mal d 1 Allergen in Apples as Revealed by Restriction Profiles and Homolog Polymorphism
 
 
Font Type:
Arial Georgia Verdana
Font Size:
Aa Aa Aa
Line Spacing:
Column Width:
Background:
Article

The Roles of Glutaredoxins in Wheat (Triticum aestivum L.) under Biotic and Abiotic Stress Conditions, including Fungal and Hormone Treatments

1
Ministry of Agriculture and Rural Affairs (MARA), Key Laboratory of Sustainable Crop Production in the Middle Reaches of the Yangtze River (Co-Construction by Ministry and Province), College of Agriculture, Yangtze University, Jingzhou 434000, China
2
Jiangsu Academy of Agricultural Sciences, Jiangsu Coastal Area Institute of Agricultural Sciences, Yancheng 210014, China
3
Hubei Key Laboratory of Quality Control of Characteristic Fruits and Vegetables, Hubei Engineering University, Xiaogan 432000, China
*
Authors to whom correspondence should be addressed.
These authors have contributed equally to this work.
Agronomy 2024, 14(9), 2057; https://doi.org/10.3390/agronomy14092057
Submission received: 25 July 2024 / Revised: 28 August 2024 / Accepted: 6 September 2024 / Published: 9 September 2024
(This article belongs to the Special Issue Mechanism and Sustainable Control of Crop Diseases)

Abstract

Glutaredoxins (GRXs) are widely distributed oxidoreductase enzymes that play important roles in plant growth, development, and responses to various stresses. In this study, bioinformatics methods were used to identify and analyze the wheat GRX gene family and predict their properties and potential functions. RNA-seq and RT-qPCR expression analyses were used to investigate their regulatory functions under hormone treatment and fungal diseases. In this study, 86 GRX genes were identified in wheat and classified into CC-type, CGFS-type, and CPYC-type categories with no TaGRX located on chromosome 4B. The results show that TaGRXs regulate wheat transcriptional responses and have an integrative role in biotic and abiotic stress responses. TaGRXs are involved in wheat responses to Fusarium graminearum, Puccinia striiformis, and Erysiphe graminis diseases. TaGRX73-7D, TaGRX20-3A, and TaGRX29-3B play a negative regulatory role in E. graminis infection but a positive regulatory role in F. graminearum and P. striiformis infection. These TaGRXs play potential regulatory functions in wheat responses to the plant hormones and signaling molecules, including IAA, ABA, H2O2, and SA. The findings of this study lay the groundwork for further investigation of the functions of wheat GRX genes and their potential use as candidate genes for molecular breeding of stress-resistant wheat varieties.

1. Introduction

Plants experience a wide range of biotic and abiotic stresses that trigger signal-transduction pathways, leading to molecular, metabolic, and physiological responses that help plants adapt and survive. Understanding how plants respond to these changing environmental conditions is important for improving plant tolerance and addressing the impact of climate change on crop productivity [1]. Emerging evidence suggests that signaling molecules, such as reactive oxygen species (ROS), are part of the signal-transduction pathways induced by stressful conditions. Among the ROS, hydrogen peroxide (H2O2) is the most relevant due to its reactivity, ability to diffuse, and longer half-life compared to other ROS, such as superoxide radicals (·O2), hydroxyl radicals (·OH), and singlet oxygen (½O2) [2]. ROS must be tightly regulated by the antioxidant and redox systems, which are composed of proteins capable of transferring electrons from input elements to downstream target proteins. These transmitters are a large family of oxidoreductase proteins in plants, including thioredoxins (TRXs) and glutaredoxins (GRXs) [2,3].
GRXs are small redox enzymes that use the cofactor glutathione (GSH) to reduce disulfide bonds [4]. GRXs belong to the thioredoxin (TRX) superfamily, which shares a common protein structural motif called the thioredoxin fold. This fold consists of a four-stranded beta-sheet flanked by three alpha-helices, and it has been observed in the structures of various protein classes. Based on the amino acid sequence of their active sites, GRXs are classified into three types: CGFS-type, CPYC-type, and CC-type. The CPYC and CGFS subfamilies are widely distributed in nature, while the CC-type subfamily is found only in higher plants [5,6]. GRXs play important roles in plant responses to biotic and abiotic stresses. For example, the ROXY genes in cucumber are differentially activated by various stress conditions [7,8]. Overexpression of OsGRX20 in rice enhanced resistance to bacterial and fungal pathogens, while RNAi of this gene reduced resistance. In cassava, MeGRXC3 was involved in negatively regulating drought tolerance [9]. Overexpression of OsGRX15 in rice improved resistance to Xanthomonas oryzae pv. Oryzae and Fusarium, but resistance to the OsGRX15-knockout mutant was reduced [10]. In cassava, MeGRXC3 was found to play a negative role in drought tolerance [9]. SlGRX1 overexpression in tomato increased sensitivity to salt and drought conditions, but overexpression of SlGRX1 in Arabidopsis improved tolerance to these stresses. Drought and salt stress response genes were upregulated in Arabidopsis overexpressing SlGRX1 [11]. Altered expression of AtGRXS13 in Arabidopsis reduced tolerance to intense light, whereas overexpression of the AtGRXS13.2 variant boosted tolerance [12].
ROS are produced as byproducts of aerobic metabolism in all organisms that use oxygen. The term ROS encompasses a variety of oxygen-based radical and non-radical compounds, which are generated in different cellular compartments, including chloroplasts, mitochondria, the plasma membrane, apoplast, cell walls, peroxisomes, the cytosol, and the endoplasmic reticulum [13]. GRXs have central functions in regulating redox homeostasis and signaling, as well as iron metabolism, in both eukaryotes and prokaryotes under both physiological and pathophysiological conditions [14]. Rice PHS9 protein plays a key role in regulating pre-harvest sprouting by integrating signals from ROS and ABA [15]. OsCPK24 reduces the activity of the sulfotransferase enzyme by phosphorylating OsGRX 10, which helps prevent oxidative damage caused by cold stress and maintains high levels of GSH and the GSH/GSSG ratio to improve the cold stress tolerance of rice [16].
Wheat (Triticum aestivum L.) is a fundamental crop for human civilization, playing an important role in feeding the world and improving global food security [17]. However, during growth, wheat is often subjected to various biotic and abiotic stresses, such as pathogen infestations, changes in temperature, waterlogging, drought, and salt stress, which can decrease production yield and quality. GRXs are involved in several cellular processes in plants, including growth regulation, signal transduction, and stress response. While the roles of GRXs in the stress response have been studied in other plant species, such as rice and Arabidopsis, their specific functions in regulating wheat’s response to various biotic and abiotic stresses are not yet well-understood. This study aimed to investigate the regulatory functions of TaGRXs in wheat under biotic and abiotic stresses. Understanding the functions of TaGRXs in wheat stress response could lead to the development of strategies to improve wheat yield and quality under biotic and abiotic stress conditions. Bioinformatics methods were used to identify TaGRXs in wheat, and the protein properties were analyzed. RNA-seq and RT-qPCR were utilized to analyze the gene expression of TaGRXs under hormone treatment and fungal pathogen infection, as well as tissue-specific developments. The findings of this study provide a theoretical basis for further investigation of the functions of TaGRXs and their potential use as candidate genes for molecular breeding of stress-resistant wheat varieties.

2. Materials and Methods

2.1. Identification and Sequence Analysis of TaGRXs

The genome sequences and genome annotation files of wheat were downloaded from the Ensembl Plants database (http://plants.ensembl.org/ (accessed on 2 December 2023)). The Hidden Markov Model (HMM) file for the typical structural domain of the GRX protein (PF00462) was extracted from the Pfam database (http://pfam.xfam.org/ (accessed on 2 December 2023)) [18]. The hmm-search function of HMMER3.1 was used to search for protein sequence files of the wheat genome, with an E-value cut-off ˂ 1 × 10−10, and the protein sequences meeting the requirements were retained as candidate wheat GRX family genes. The candidate protein sequences were further screened using the NCBI conserved domain CDDv3.21-62456 PSSMs database with default parameters and the SMART (http://smart.embl.de/ (accessed on 11 December 2023)) database to remove the incomplete, redundant, and unmatched proteins. The retrieved sequences were further verified for the GRX protein domain (PF00462) using the InterProScan (www.ebi.ac.uk/interpro/search/sequence/ (accessed on 13 December 2023)) database.

2.2. Phylogenetic Analysis of TaGRXs

The protein sequences of GRX gene family genes of Hordeum vulgare and Solanum lycopersicum were obtained from the Phytozome (https://phytozome-next.jgi.doe.gov/) database (accessed on 21 January 2024). Phylogenetic analysis of the TaGRXs and the GRX proteins of barley and tomatoes was performed using ClustalW in MEGA 11 software, and the phylogenetic tree was constructed using the Neighbor-Joining (NJ) method. The nodes were tested through a bootstrap analysis with 1000 replicates, the Poisson model, Uniform Rates, and pair-wise deletion [19]. The iTOL online software (https://itol.embl.de/ (accessed on 22 December 2023)) [20] was used to beautify the phylogenetic tree of the SlGRX, HvGRX, and TaGRX family proteins.

2.3. Physicochemical Properties of TaGRXs

The physicochemical properties of the TaGRXs, including the molecular weight (MW), isoelectric point (pI), instability index, grand average of hydropathicity (GRAVY), and amino acid count (aa), were analyzed using the ExPASy-ProtParam (https://www.expasy.org/resources/protparam (accessed on 14 December 2023)) online software. The subcellular localization of the TaGRXs was predicted using the Plant-mPLoc (Plant-mPLoc server (sjtu.edu.cn (accessed on 14 December 2023))) software v2.0 [21]. The signal peptides of the TaGRXs were predicted using the SignalP 6.0 program (SignalP 6.0—DTU Health Tech—Bioinformatic Services) [22], and the potential transmembrane helices in the TaGRXs were predicted using the TMHMM-2.0 program (TMHMM 2.0—DTU Health Tech—Bioinformatic Services).

2.4. Gene Structure and Motif Analysis of TaGRXs

Based on the wheat genome GFF3 file, the gene structure of the TaGRXs was analyzed using the GSDS program (http://gsds.cbi.pku.edu.cn/ (accessed on 14 February 2024)) [23]. The MEME Suite software (https://meme-suite.org/meme/tools/meme (accessed on 22 January 2024)) was used to predict the conserved structural domains of the TaGRXs; the motif number was set to 8, and the rest was set to default values [24]. The TBtools software v2.119 was utilized to visualize the gene structure and the conserved motif of TaGRXs [25].

2.5. Homology Modeling and Chromosome Mapping of TaGRXs

The three-dimensional homology modeling of TaGRXs was performed using the SWISS-MODEL (https://www.swissmodel.expasy.org/ (accessed on 26 January 2024)) software [26]. Based on the GFF3 file of the wheat genome, the positional information of the TaGRXs was obtained, and their distribution on the wheat chromosomes was plotted using MapInspect.

2.6. Analysis of Cis-Acting Elements of TaGRXs

The promoter sequence of 1.5 kb upstream of the TaGRXs was extracted from the Ensembl Plants database (http://plants.ensembl.org/ (accessed on 23 January 2024)). They were analyzed using the PlantCARE database (http://bioinformatics.psb.ugent.be/webtools/plantcare/html/ (accessed on 23 January 2024)) and visualized using the pheatmap R package.

2.7. Gene Expression Analysis of TaGRXs

Raw RNA-seq was downloaded from the NCBI SRA database (accession: PRJEB12358, PRJEB39201, PRJEB14371, and PRJNA422010) (Supplementary File S1). To ensure data quality, the raw reads were evaluated using the FastQC program and filtered using Trimmomatic (v0.38) to obtain clean data [27,28]. The clean reads were aligned to the wheat genome (assembly: GCA_900519105.1) using HISAT2 (v2.0.5) with the default parameters [29]. The gene expression level was calculated as transcripts per million (TPM) using Cufflinks v2.2.0 [30]. Gene expression of the TaGRXs under different stresses were generated using Log2(TPM+1) values to draw a heatmap using the R package ‘pheatmap’. Based on the expression profile, three significant differentially expressed genes (TaGRX73-7D, TaGRX20-3A, and TaGRX29-3B) were selected for RT-qPCR expression analysis under biotic and abiotic stress conditions.

2.8. Wheat Hormone Treatment

The high-yield and stress-resistant wheat cultivar Xiaoyan 6 was used as the experimental material. The seeds were sterilized using a 2% hypochlorous acid solution and thoroughly washed 3 times in distilled water. The sterilized seeds were germinated on wet filter paper in a culture dish in a temperature-controlled growth room with an average humidity of 60% [31]. The growth conditions included a 25 °C/27 °C day/light cycle and a 16 h light/8 h dark cycle. The germinated seedlings were transferred to a hydroponics germination tray and treated with ½ strength of Hoagland nutrient solution [32]. At the two-leaf stage, the seedlings were treated with IAA (0.1 mM), MeJA (0.2 mM), ABA (0.1 mM), SA (1 mM), and H2O2 (5 mM). After treatment, leaves of the samples were collected at 0 h, 2 h, 6 h, 12 h, 24 h, and 36 h with three biological replicates. The collected samples were quickly frozen in liquid nitrogen and stored at −80 °C until further analysis.

2.9. Fungal Pathogenic Stress Treatment

The Fusarium head blight (FHB)-resistant wheat cultivar Yangmai 158 was used as the test material. The wild-type PH-1 strain of F. graminearum was activated on PDA plates and cultured at 25 °C in an incubator for 3 days. Equivalent-sized fungal blocks were transferred to sterile flasks containing 50 mL of CMC medium, with three replicates for each strain. The flasks were placed in a shaker at 25 °C and 150 rpm for 5 days. The spore suspension was filtered through sterile filter paper, and 10 μL of the spore suspension was aspirated onto a hemocytometer to measure the spore concentration, with three replicates for each measurement, resulting in a final concentration of 1 × 106 spores/mL. At the wheat anthesis stage, 10 μL of spore suspension was injected into the spikelets between the outer and inner glumes of the wheat flowers using a single-flower-injection method. The inoculated wheat spikes were sprayed with water and covered with plastic bags for humidification and removal after 2 days. Sampling was conducted at the 0 h, 24 h, 48 h, 72 h, 96 h, and 120 h post-inoculation periods with three biological replicates each, and the samples were rapidly frozen in liquid nitrogen and stored at −80 °C until further analysis.
Wheat seeds were germinated in soil in a pot under a 16 h photoperiod (15 ± 1 °C during light periods and 12 ± 1 °C during dark periods). At the two-leaf stage, seedlings were inoculated with the CYR32 strain [33]. Leaves were collected at the 0 h, 6 h, 12 h, 24 h, and 48 h post-inoculation periods with three biological replicates each, quick-frozen in liquid nitrogen, and stored at −80 °C until further analysis.
Wheat seeds were germinated in soil in a pot. After the two-leaf stage, the seedlings were inoculated with Blumeria graminis f. sp. tritici race E09 at a temperature of 18 ± 2 °C [34]. Three biologically treated leaf replicates were collected at 0 h, 24 h, 48 h, and 72 h post-inoculation with non-infected leaves (0 h) as the control. The samples were quick-frozen and stored at −80 °C for further analysis.

2.10. Real-Time Quantitative PCR (RT-qPCR) Analysis

Following the manufacturer’s instructions, total RNA was extracted from the wheat leaves using TRIzol reagent (Invitrogen, Gaithersburg, MD, USA). Using 1.5% agarose gel, RNA integrity was examined through electrophoresis, and the concentration and purity of the RNA were determined using a NanoDrop 2000 spectrophotometer. RNA samples with RIN values greater than 7 were used for cDNA synthesized using HiScript Reverse Transcriptase (Vazyme, Nanjing, China) according to the manufacturer’s protocol [35]. Gene-specific primers of selected highly expressed TaGRXs from the RNA-seq genes’ expression profile were designed using the NCDI Primer designing tool, with Ta2291 as the internal reference gene (Supplementary File S2). ChamQ SYBR qPCR Master Mix (Vazyme, Nanjing, China) was used to perform the RT-qPCR in a 20 µL reaction. The thermal profiles used are as follows: stage 1: 95 °C for 3 min; stage 2: 95 °C for 10 s and 60 °C for 30 s for 40 cycles; and stage 3: 95 °C for 15 s, 60 °C for 1 min, and 95 °C for 15 s. Three biological replicates were processed for each sample, and the relative expression of genes was calculated using the 2−ΔΔCT method [36].

3. Results

3.1. Identification and Phylogenetic Analysis of TaGRXs

Through a comprehensive protein analysis, a total of 138 members of the TaGRX family were identified using the HMM profile of structural domains of GRXs as a query file. The genes were subsequently screened using the NCBI CDDv3.21- 62456 PSSMs and SMART databases to analyze the active sites of the identified TaGRXs. After screening and analysis, 86 TaGRXs genes were found to meet the specified criteria. A phylogenetic tree based on the GRX protein sequences from wheat, tomato, and barley was constructed. The amino acid active sites of TaGRXs revealed three distinct categories: CC-type, CGFS-type, and CPYC-type (Figure 1). The following conventions were adopted in naming the TaGRXs: the gene names start with the abbreviation for common wheat (“Ta”), followed by a unique identifier based on the triad relationship of the wheat GRX gene’s chromosomal location. For example, for “TaGRX1-1A” and “TaGRX73-7D”, the suffixes “1A” and “7D” represent the specific chromosomal positions.

3.2. Protein Features of TaGRXs

The TaGRXs exhibited a wide range of lengths, spanning 86 to 489 amino acids, with an average length of 138.75 amino acids (Supplementary File S3). Correspondingly, the molecular weights of the TaGRXs vary considerably, ranging from 9.18 to 53.25 kDa, with an average of 14.850 kDa. The theoretical isoelectric points (pIs) of the TaGRXs are distributed between 5.14 and 10, with an average pI of 7.97, indicating that the majority of these TaGRXs are alkaline in nature. The average instability index of the TaGRXs is 46.36, ranging from 22.69 to 63.48, suggesting varying degrees of stability. The grand average of hydropathy (GRAVY) values for the TaGRXs range from −0.315 to 0.596, with an average of 0.218. Most of the TaGRXs were identified as hydrophobic (GRAVY > 0), suggesting that they possess structural features conducive to proper folding and membrane association and associated with the subcellular location. Subcellular localization analysis revealed that the majority of the TaGRXs are localized to the chloroplast, with the exception of three genes (TaGRX20-3A, TaGRX20-3B, and TaGRX20-3D), which were found inside of the mitochondria (Supplementary File S3). These results suggest that most of the TaGRXs likely play roles in chloroplast-related processes, such as photosynthesis and redox regulation, while those located in the mitochondria may have functions related to mitochondrial metabolism and energy generation. Further analysis revealed that four TaGRXs (TaGRX67-6A, TaGRX67-6A, TaGRX73-7B, and TaGRX73-7D) contain signal peptides (Supplementary File S3), indicating that they are likely transported to and function within specific subcellular compartments rather than remaining in the cytosol.

3.3. Gene Structure and Motif of TaGRXs

Structural analysis of the TaGRXs revealed substantial diversity in the number of exons, ranging from one to six per gene. This variability could impact splicing patterns and transcript diversity, leading to differences in the encoded protein structures and functions. Most of TaGRXs contain both 5′ and 3′ untranslated regions (UTRs). Two genes, TaGRX22-3A and TaGRX20-3B, were unique, possessing only the 3′ UTR, while TaGRX39-4D contained only the 5′ UTR region (Supplementary Figure S1), suggesting potential deviating post-transcriptional regulatory mechanisms, such as altered mRNA stability, localization, and translation efficiency, which may contribute to the functional diversity of the TaGRXs family. To further investigate the structural and functional characteristics of the TaGRXs, the MEME Suite was employed to identify the conserved motifs. The results show that TaGRXs clustering closely on adjacent branches of the phylogenetic tree exhibit similar sequences and positions (Figure 2). The CC-type subfamily members contained motif1, motif2, motif3, motif4, and motif7. CPYC-type subfamily members contained motif1, motif2, motif3, and motif4. The CGFS-type subfamily members contained motif2, motif4, motif5, motif6, and motif8. Motif7 was only found in CC-type and CGFS-type subfamilies, and motif 8 was only in one CGFS-type member (TaGRX4-1A). This observation suggests that members within the same phylogenetic clade may share common functional domains and potentially perform analogous roles, reflecting evolutionary factors that may have shaped the diverse functions of TaGRXs. The diversity in the exon–intron structure, UTR regions, and conserved motifs among the TaGRXs indicates that this gene family has evolved complex regulatory mechanisms and specialized functions within the wheat genome.

3.4. Structural Modeling and Chromosomal Location of TaGRXs

The structural modeling of the TaGRXs analysis revealed that they are composed of four main secondary structural elements: α-helices, β-turns, extended chains, and irregular coils. The proportions of these structural features vary among the three TaGRXs types: CC-type, CPYC-type, and CGSF-type. The CC-type TaGRXs exhibited the highest proportion of these secondary structures. In comparison, the CPYC-type and CGSF-type TaGRXs display relatively similar proportions of the four structural elements (Figure 3). Among the secondary structures, α-helices constituted the largest component, ranging from 53.73% to 25.96% across the TaGRXs. In contrast, β-turns represent the lowest proportion, varying between 18.75% and 7.2% (Supplementary File S4). The 86 identified TaGRXs were unevenly distributed across the 21 chromosomes of hexaploid wheat. The A, B, and D subgenomes harbor 24, 30, and 32 TaGRXs, respectively. No TaGRXs was found on chromosome 4B (Figure 4), indicating potential historical genomic rearrangements, deletions, or other evolutionary processes that may have shaped the wheat genome over time.

3.5. Conserved Cis-Acting Elements of TaGRXs

The cis-acting element analysis of the TaGRXs identified a total of 40 distinct elements. These regulatory elements were categorized into four main functional groups: abiotic stress response, light response, plant hormone signaling, and growth/developmental processes. The TaGRXs were found to contain a diverse collection of these cis-acting regulatory elements. This includes elements responsive to light as well as those involved in signaling pathways activated by hypoxia and low-temperature stresses. The TaGRXs promoter also harbors regulatory elements associated with general defense and stress response mechanisms, in addition to those governing circadian rhythm control. They contained cis-acting elements linked to non-biotic stress response pathways, suggesting that TaGRXs are integrated into complex transcriptional networks that allow them to coordinate their expression in response to a broad range of environmental and developmental conditions. Furthermore, these regulatory regions encompassed elements implicated in the transcriptional regulation of meristematic tissue expression, seed- and root-specific gene expression, and hormonal signaling mediated by plant growth regulators like auxin, jasmonic acid, gibberellin, and salicylic acid, indicating that TaGRXs expression is improved by endogenous plant-growth regulators to coordinate development and stress responses. Notably, certain cis-regulatory motifs, such as Sp1, TGACG-motif, and CGTCA-motif, were widely distributed across the TaGRXs (Figure 5). This widespread distribution suggests that the TaGRXs may play important integrative roles in stress responses, hormone signaling, and developmental pathways.

3.6. Expression Analysis of TaGRXs

To investigate the expression patterns of the TaGRXs in wheat, RNA-seq of wheat tissues at different growth stages, as well as under both biotic and abiotic stress conditions, were retrieved from the NCBI SRA database and analyzed. The TaGRXs exhibited distinct expression characteristics across the three major subgroups: CC-type, CPYC-type, and CGFS-type, suggesting subfunctionalization and specialized functions within the TaGRX gene family. In the CC-type subgroup, most genes displayed relatively low expression levels, with a few exceptions. TaGRX10-1D, TaGRX8-1B, and TaGRX7-1A showed high expression under diverse stress conditions. Under F. graminearum infection, several other CC-type TaGRXs, including TaGRX64-5D, TaGRX64-5B, TaGRX57-5B, TaGRX49-5A, TaGRX28-3D, TaGRX28-3A, TaGRX39-4D, TaGRX48-5B, TaGRX48-5A, and TaGRX29-3B, exhibited significant differential expression, suggesting that TaGRXs may be integral components of the wheat defense network against F. graminearum disease. In contrast, the CPYC-type TaGRXs generally displayed high expression levels under both growth and stress conditions. In particular, TaGRX15-2A, TaGRX15-2D, and TaGRX73-7B exhibited the highest expression at 30 h and 50 h after F. graminearum infection, indicating their involvement in rapid, early-stage defense responses. Within the CGFS-type subgroup, most TaGRXs showed varying degrees of expression, with the exception of TaGRX20-3B. TaGRX20-3A demonstrated significant differential expression under different stress conditions, suggesting that it may act as a stress-responsive node in regulatory networks (Figure 6).

3.7. Hormonal Response Expression Analysis

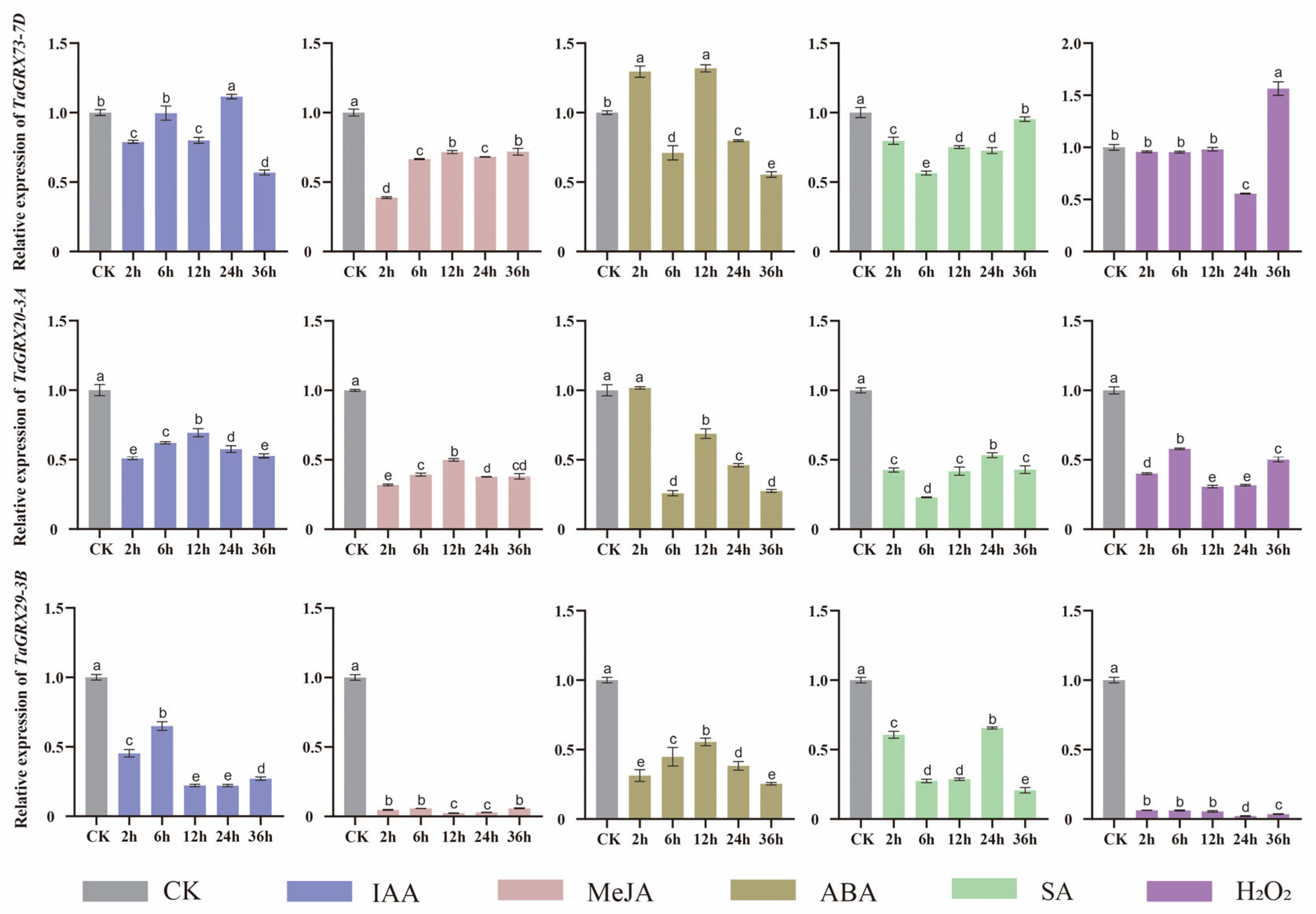
To further investigate the regulatory functions of TaGRX29-3B, TaGRX73-7D, and TaGRX20-3A in wheat’s response to abiotic stress, RT-qPCR was utilized to analyze their expression patterns under various stress treatments, including IAA, MeJA, ABA, SA, and H2O2. Under IAA treatment, the expression of TaGRX73-7D exhibited a dynamic pattern. It decreased at 2 h, 12 h, and 36 h, but it increased at 6 h and 24 h. In contrast, the expression levels of TaGRX20-3A and TaGRX29-3B were downregulated at all of the treatment periods, suggesting that these genes may not be directly coupled to auxin signaling but rather play more specialized roles in other stress response mechanisms. In the MeJA treatment, TaGRX73-7D and TaGRX20-3A exhibited significantly decreasing expression levels, indicating a potential function as negative regulators of jasmonate-mediated defense responses. However, TaGRX29-3B was not significantly expressed under this condition, suggesting that it may be involved in distinct signaling cascades (Figure 7). Under ABA treatment, TaGRX73-7D increased in expression at 2 h but decreased at 6 h. The expression then upregulated again at 12 h and decreased progressively at 24 h and 36 h, suggesting a potential TaGRX73-7D function in coordinating wheat’s response to osmotic and dehydration stresses. In contrast, the TaGRX20-3A did not exhibit any changes at 2 h, but its expression was downregulated with prolonged stress duration. Also, TaGRX29-3B was downregulated throughout the treatment periods, indicating that they are not primary targets of the ABA signaling pathway but may be integrated into other stress-responsive networks (Figure 7). The response to SA treatment was distinct. The expression of the TaGRX73-7D displayed an initial decreasing downregulation trend but then gradually increased after 6 h compared to the control, indicating that TaGRX73-7D may function as a hub that coordinates crosstalk between SA-mediated defense and other signaling pathways. TaGRX20-3A was significantly downregulated with minor increasing and decreasing trends at different time periods compared to the control. The TaGRX29-3B, on the other hand, showed a significant downregulation with alternating increasing expression at 2 h and 24 h and decreasing at 6 h, 12 h, and 36 h, respectively (Figure 7). H2O2 stress treatment showed a unique expression pattern among the three TaGRXs. The expression of TaGRX73-7D at 2 h, 6 h, and 12 h significantly remained the same and decreased significantly after 24 h, and it was highly upregulated in expression at the 36 h treatment period, suggesting a potential function in wheat regulation of oxidative stress. In contrast, the TaGRX20-3A was downregulated in all of the treatment periods, with minor increasing and decreasing expression at different treatment periods compared to the control. The expression levels of TaGRX29-3B were downregulated throughout the treatment periods, implying that these TaGRXs are not primary regulators of the oxidative stress but may be involved in other abiotic stress-signaling networks in wheat (Figure 7).

3.8. Fungal Pathogenic Stress Response Expression Analysis

To investigate the expression patterns of TaGRX73-7D, TaGRX20-3A, and TaGRX29-3B under biotic stress conditions, the seedlings were treated with F. graminearum, P. striiformis, and E. graminis diseases. The results showed that under F. graminearum infection, the expression levels of TaGRX73-7D remained significantly unchanged during the first 72 h compared to the control but significantly upregulated at 96 h and decreased at 120 h post-inoculation. The TaGRX20-3A expression increased significantly and peaked at 48 h; it then reduced expression at 72 h, increased again at 96 h, and reduced at 120 h. The TaGRX29-3B displayed distinct expression changes, with significantly increased levels at 48 h, decreased at 72 h, increased and peaked at 96 h, and reduced expression at 120 h (Figure 8). The three TaGRXs genes demonstrated a significant transcriptional induction in response to F. graminearum infection, particularly at 96 h post-inoculation. Upregulation of the three TaGRXs in response to F. graminearum diseases suggests a potential involvement in defense responses against the production of antimicrobial compounds, reinforcement of cell walls, or modulation of programmed cell death. Under P. striiformis infection, the expression of TaGRX73-7D showed an upward trend, peaking at 24 h and decreasing expression minimally at 48 h post-inoculation. Similarly, TaGRX20-3A displayed elevated expression levels at 6 h and 12 h, peaked at 24 h, and decreased minimally at 48 h compared to the control. These suggest that TaGRXs may trigger rapid defense signaling and metabolic changes at the initial P. striiformis infection stage, while the later induction may be associated with more sustained defense gene expression and tissue reinforcement in wheat. In contrast, TaGRX29-3B was significantly downregulated, particularly at 6 h and 48 h compared to the control (Figure 8). In response to E. graminis infection, the expression levels of TaGRX73-7D, TaGRX20-3A, and TaGRX29-3B were all significantly downregulated. In TaGRX73-7D, the most significant decrease occurred at 48 h, followed by 24 h and 36 h. TaGRX20-3A reached its lowest expression at 48 h, with relatively little change between 24 h and 96 h. TaGRX29-3B exhibited the lowest expression level at 96 h (Figure 8). The downregulation of all of the three TaGRXs genes under E. graminis infection indicates that the pathogen may have evolved mechanisms to broadly suppress the expression of these defense-related genes. This could involve the targeted manipulation of upstream transcriptional regulators or epigenetic modifications to inhibit TaGRXs expression.

3.9. Tissue-Specific Expression Analysis

To investigate the tissue-specific expression patterns of the TaGRX73-7D, TaGRX20-3A, and TaGRX29-3B genes, RT-qPCR analysis was conducted in wheat roots, stems, leaves, and spikes. The results revealed that all three genes are expressed in the various plant tissues, but with significant differences in their expression levels. TaGRX73-7D exhibited the highest expression in leaves, followed by spikes, roots, and stems. TaGRX20-3A showed the highest expression in leaves, followed by root, stem, and the lowest in spikes. TaGRX29-3B had the highest expression in roots, with 5.91, 4.69, and 34.27 times higher than in stems, leaves, and spikes, respectively (Figure 9). Higher expression of TaGRX73-7D and TaGRX20-3A in the leaf tissues suggests that they may play an important regulatory role in leaf-based defense responses and photosynthetic processes. TaGRX29-3B had the highest expression in root tissue, indicating that it may be involved in root system development, abiotic stress tolerance, and plant–microbe interactions in the rhizosphere. The distinct tissue-specific expression patterns observed for the TaGRXs suggest that these genes may be differentially regulated by tissue-specific transcription factors, epigenetic mechanisms, or post-transcriptional control pathways.

4. Discussion

Glutaredoxins (GRXs) are small, ubiquitously expressed oxidoreductase enzymes that facilitate the reversible reduction of intracellular disulfide bonds. These proteins play critical roles in numerous cellular processes and are essential in mitigating oxidative stress [37]. This study examined the structural and physicochemical properties of the wheat GRX protein family, their cis-acting regulatory elements, and their expression levels under abiotic and biotic stresses and across different wheat tissues. The results of this study indicate that TaGRXs are expressed in response to multiple stresses and in different wheat tissues, suggesting that they play specialized functions in regulating wheat transcriptional responses and have an integrative role in biotic and abiotic stress responses. This study provides preliminary insights into the structure and putative functions of the wheat GRX gene family in response to biotic and abiotic stresses.
Analyzing the structure and conserved motifs of genes can provide significant insights into their evolutionary relationships and functional properties [38]. Previous studies on wheat and rice GRX genes have revealed distinct structural differences between subfamilies [39]. Specifically, the CC-type TaGRXs were found to be intronless, while the CGFS and CPYC subfamilies contained a higher number of introns. Consistent with these previous findings, the present study results found that all of the TaGRXs subfamilies contain introns, but the number of introns varies across the different subfamilies. Genes belonging to the CC subfamily predominantly had fewer or no introns, whereas all of the CGFS and CPYC subfamily members possessed at least one intron (Supplemental Figure S1). The presence of fewer introns in some gene families can enable faster evolution through mechanisms like gene duplication and retrotransposition, suggesting that they are more evolutionarily advanced [40]. Further investigation into the conserved motif patterns of GRX genes revealed important insights.
Previous studies on tea and rice plants found that GRX members within each subtype exhibited similar motif arrangements, but the motif patterns differed across different subfamilies. Specifically, the CC-type subfamily was characterized by the presence of conserved motifs, such as LxxLL and the C-terminal ALWL motif [41,42]. Consistent with these findings, the current study observed that closely related TaGRXs in the phylogenetic tree commonly displayed similar motif arrangements and positions. For instance, motif 3 contained the conserved LxxLL motif, which was found in both the CPYC and CC-type GRXs. In contrast, the CGFS subfamily had unique motifs 5 and 6 (Figure 2). These results suggest that plant GRX genes exhibit both conserved and variable motif patterns within and across different subfamilies, indicating functional conservation and diversification.
The subcellular localization of proteins can provide significant insights into their gene functions and the cellular processes they are involved in [43]. A previous study on cotton found that GhGRXs were localized across various cellular components, including mitochondria, chloroplasts, plasma membranes, nuclei, cytoplasm, and the secretory pathway. Consistent with these findings, the current study revealed that most TaGRXs were predominantly localized in two cellular compartments: chloroplasts and mitochondria (Supplementary File S3). This suggests that TaGRXs are likely involved in regulating the redox balance and protecting the photosynthetic machinery of wheat from oxidative damage during different stress conditions. Interestingly, the analysis also predicted that TaGRX67-6A, TaGRX67-6B, TaGRX73-7B, and TaGRX73-7D possess signal peptides. This indicates that TaGRXs can potentially regulate the extracellular redox state, sense environmental stress signals, and transduce these signals into cellular signaling pathways to activate stress-resistance mechanisms in wheat [44].
The present study examined the isoelectric points (pIs) of the TaGRXs family in wheat. The findings showed that approximately most of the TaGRXs had pI values greater than 7, indicating they possess more basic properties. This observation suggests that TaGRXs are likely involved in redox-sensitive signaling and regulatory processes in wheat. During stress conditions, plants commonly experience an increased generation of ROS. The basic nature of the TaGRXs may enable them to effectively scavenge and neutralize these ROS, thereby maintaining cellular redox homeostasis and protecting the plant from oxidative damage. Furthermore, the basic pI of the TaGRXs could also facilitate the efficient transduction of stress signals and the activation of downstream stress response pathways. This was supported by the results of the cis-acting regulatory elements in the promoter regions of the TaGRXs. The promoter analysis revealed the presence of numerous stress-responsive elements, including those associated with abiotic stress responses, hormone signaling, light-responsive pathways, and plant growth and development processes. This suggests that TaGRXs may have multi-stress regulatory functions in wheat, potentially coordinating various cellular processes to enhance the plant’s overall stress resilience [45].
Previous studies have reported that OsGRX17 in rice contributes to drought tolerance through two mechanisms by regulating the ABA-dependent expression of drought-responsive genes and by acting as an H2O2 scavenger to maintain homeostasis and to facilitate stomatal closure in response to drought [46]. TGA2 in tomato is activated through a post-translational redox modification dependent on GRXS25, and this activation allows TGA2 to mediate the metabolism of brassinosteroid in response to pesticide exposure [47]. Also, a study on rice found that OsGRXs are involved in rice root development and regulate the expression of oxidative-stress-induced root-expansion-related genes [48]. To investigate the expression profiles of TaGRXs under hormones treatment and different tissues, RT-qPCR analysis was performed on three significantly differentially expressed TaGRXs. A study by Garg et al. [42] found that six OsGRXs and three genes were upregulated and downregulated, respectively, in response to cytokinin (BAP), ethylene derivative (ACC), IAA, ABA, SA, and jasmonic acid (JA) compared to the control. Consistent with the previous study, the present study found that TaGRX73-7D, TaGRX20-3A, and TaGRX29-3B were responsive to IAA, ABA, H2O2, and SA (Figure 7). This suggests that the TaGRXs may play a potential physiological role in the wheat’s interaction with its environment. This was consistent with the predicted functions of the cis-regulatory elements of the TaGRXs. Specifically, regulatory motifs associated with auxin signaling (AuxRR-core and TGA-element) and salicylic acid responses (TCA-element) were identified. Additionally, elements involved in gibberellin (GA) pathways, such as TATC-box, P-box, and GARE-motif, were detected, suggesting that TaGRXs are potentially involved in GA-mediated signaling and developmental processes in wheat. Previous study have shown that GA and ABA interact closely in the plant’s response to abiotic stresses [49]. Another study found that the expression levels of Quercus glauca GRX were relatively higher in leaves, with lower levels detected in stems [50]. Consistent with these studies, the present study’s tissue-specific expression analysis revealed distinct developmental patterns for the TaGRXs. TaGRX73-7D exhibited the highest expression levels in leaves, TaGRX20-3A showed peak expression in leaves but the lowest levels in spikes, while TaGRX29-3B was most abundantly expressed in root tissues (Figure 9). The expression levels of all three TaGRX genes in the stems were significantly lower compared to the other tissues. The findings suggest that the TaGRXs undergo tight transcriptional regulation across different plant tissues and developmental stages, potentially contributing to tissue-specific functions and the overall wheat fitness.
Previous studies have reported that GRX genes play important roles in plant defense responses. In rice, the OsGRX15 protein was found to interact with the transcription factor OsWRKY65 in the nucleus to enhance disease resistance against bacterial and fungal pathogens by upregulating the expression of the defense-related gene OsPR1 [10]. Additionally, the rice GRX gene OsGRX20 was shown to positively regulate plant responses to bacterial and fungal attacks, and overexpression of OsGRX20 significantly improved resistance to bacterial blight and tolerance to oxidative and salt stresses [51]. The present study investigated the expression profiles of TaGRX73-7D, TaGRX20-3A, and TaGRX29-3B under various biotic stress conditions. The results revealed that the expression of these TaGRXs fluctuated in response to infection by the fungal pathogens F. graminearum and P. striiformis, as well as the powdery mildew pathogen. Specifically, the TaGRX73-7D and TaGRX20-3A genes showed upregulated expression at distinct stages of F. graminearum infection, with all three genes demonstrating significant expression at 96 h post-inoculation (Figure 8). In P. striiformis treatment, TaGRX73-7D expression peaked at 24 h, TaGRX20-3A exhibited an increasing trend at various time points, and TaGRX29-3B showed substantial decreases at 6 h and 48 h. Interestingly, in the E. graminis infection, the expression levels of all three TaGRXs were downregulated compared to the control samples, suggesting a potential negative regulatory role in wheat’s powdery mildew resistance. These findings suggest that TaGRX73-7D, TaGRX20-3A, and TaGRX29-3B may play important regulatory functions in wheat’s defense responses against F. graminearum, P. striiformis, and E. graminis pathogens. The dynamic expression patterns observed under different biotic stress conditions indicate the potential involvement of these TaGRXs in the complex signaling networks governing wheat plant–pathogen interactions.

5. Conclusions

This study employed bioinformatics techniques to successfully identify the TaGRX family in wheat. Comprehensive analyses revealed that most TaGRXs exhibit alkaline properties and have varying degrees of stability. Subcellular localization predictions indicated that the majority of TaGRXs are localized within the chloroplasts, and most of the TaGRXs have a protein structure rich in α-helices. This study found that TaGRXs play a significant regulatory function in wheat’s response to infections by F. graminearum and E. graminis. TaGRXs play potential regulatory roles in wheat’s responses to the plant’s hormones. TaGRXs are involved in regulating the extracellular redox state as well as the complex signaling networks that govern wheat’s interactions with pathogens and the environment. This study provides a foundation for further exploration of the functions of TaGRXs in wheat’s growth, development, and stress responses. This knowledge can contribute to future efforts aimed at enhancing wheat’s resilience against both biotic and abiotic stressors.

Supplementary Materials

The following supporting information can be downloaded at https://www.mdpi.com/article/10.3390/agronomy14092057/s1, Supplementary Figure S1: Gene structure analysis of TaGRXs; the yellow box and the green box represent the CDS and UTR regions; Supplementary File S1: RNA-seq from the NCBI SRA database; Supplementary File S2: TaGRX gene-specific primers for RT-qPCR analysis; Supplementary File S3: Protein features of identified TaGRXs; Supplementary File S4: Homology modeling and physicochemical properties of TaGRXs.

Author Contributions

Conceptualization, L.L.; Data curation, M.S., X.X. and L.L.; Formal analysis, M.S. and X.X.; Funding acquisition, H.S. and Y.W.; Investigation, M.S., X.X. and D.B.; Methodology, L.L.; Project administration, Y.L., H.S. and Y.W.; Resources, Y.L., H.S. and Y.W.; Software, M.S. and X.X.; Supervision, L.L.; Validation, M.S., X.X. and D.B.; Visualization, M.S., X.X. and Y.D.; Writing—original draft, M.S. and X.X.; Writing—review & editing, X.X., Y.D., D.B., Y.L., H.S. and Y.W. All authors have read and agreed to the published version of the manuscript.

Funding

This research was funded by Jiangsu Agricultural Science and Technology Innovation Fund under grant (NO. CX(23)3085) and Natural Science Funds of Hubei Province of China (2024AFB1015).

Data Availability Statement

The raw RNA-seq data used in this study were retrieved from the NCBI SRA database (accession no: PRJEB12358, PRJEB39201, PRJEB14371, and PRJNA422010).

Acknowledgments

We thank all the colleagues in our laboratory for engaging in useful discussions and providing technical assistance.

Conflicts of Interest

The authors declare no conflicts of interest.

References

  1. Lamers, J.; van der Meer, T.; Testerink, C. How Plants Sense and Respond to Stressful Environments. Plant Physiol. 2020, 182, 1624–1635. [Google Scholar] [CrossRef] [PubMed]
  2. Sevilla, F.; Martí, M.C.; De Brasi-Velasco, S.; Jiménez, A. Redox regulation, thioredoxins, and glutaredoxins in retrograde signalling and gene transcription. J. Exp. Bot. 2023, 74, 5955–5969. [Google Scholar] [CrossRef] [PubMed]
  3. Snezhkina, A.V.; Kudryavtseva, A.V.; Kardymon, O.L.; Savvateeva, M.V.; Melnikova, N.V.; Krasnov, G.S.; Dmitriev, A.A. ROS Generation and Antioxidant Defense Systems in Normal and Malignant Cells. Oxidative Med. Cell. Longev. 2019, 2019, 6175804. [Google Scholar] [CrossRef] [PubMed]
  4. Lillig, C.H.; Berndt, C.; Holmgren, A. Glutaredoxin systems. Biochim. Biophys. Acta 2019, 1780, 1304–1317. [Google Scholar] [CrossRef]
  5. Ogata, F.T.; Branco, V.; Vale, F.F.; Coppo, L. Glutaredoxin: Discovery, redox defense and much more. Redox Biol. 2021, 43, 101975. [Google Scholar] [CrossRef]
  6. Gutsche, N.; Thurow, C.; Zachgo, S.; Gatz, C. Plant-specific CC-type glutaredoxins: Functions in developmental processes and stress responses. Biol. Chem. 2021, 396, 495–509. [Google Scholar] [CrossRef]
  7. Yang, Y.; Zhang, X.; Zhang, L.; Chen, S. CC-type glutaredoxin gene CsGRX4 in cucumber responds to Botrytis cinerea via JA signaling pathway. Sci. Hortic. 2022, 306, 111440. [Google Scholar] [CrossRef]
  8. Yang, Y.; Xue, W.; Chen, P.; Yuan, X.; Li, X.; Zhang, T.; Chen, S. Identification and expression analyzes of CC-type glutaredoxin in cucumber (Cucumis sativus L.) under abiotic stress. Sci. Hortic. 2021, 289, 110417. [Google Scholar] [CrossRef]
  9. Guo, X.; Yu, X.; Xu, Z.; Zhao, P.; Zou, L.; Li, W.; Geng, M.; Zhang, P.; Peng, M.; Ruan, M. CC-type glutaredoxin, MeGRXC3, associates with catalases and negatively regulates drought tolerance in cassava (Manihot esculenta Crantz). Plant Biotechnol. J. 2022, 20, 2389–2405. [Google Scholar] [CrossRef]
  10. Son, S.; Kim, H.; Lee, K.S.; Kim, S.; Park, S.R. Rice glutaredoxin GRXS15 confers broad-spectrum resistance to Xanthomonas oryzae pv. oryzae and Fusarium fujikuroi. Biochem. Biophys. Res. Commun. 2020, 533, 1385–1392. [Google Scholar] [CrossRef]
  11. Guo, Y.S.; Huang, C.J.; Xie, Y.; Song, F.M.; Zhou, X.P. A tomato glutaredoxin gene SlGRX1 regulates plant responses to oxidative, drought and salt stresses. Planta 2010, 232, 1499–1509. [Google Scholar] [CrossRef] [PubMed]
  12. Laporte, D.; Olate, E.; Salinas, P.; Salazar, M.; Jordana, X.; Holuigue, L. Glutaredoxin GRXS13 plays a key role in protection against photooxidative stress in Arabidopsis. J. Exp. Bot. 2012, 63, 503–515. [Google Scholar] [CrossRef] [PubMed]
  13. Sachdev, S.; Ansari, S.A.; Ansari, M.I. Reactive oxygen species (ROS): An introduction. In Reactive Oxygen Species in Plants: The Right Balance; Springer Nature: Singapore, 2023; pp. 1–22. [Google Scholar]
  14. Liedgens, L.; Zimmermann, J.; Wäschenbach, L.; Geissel, F.; Laporte, H.; Gohlke, H.; Morgan, B.; Deponte, M. Quantitative assessment of the determinant structural differences between redox-active and inactive glutaredoxins. Nat. Commun. 2004, 11, 1725. [Google Scholar] [CrossRef] [PubMed]
  15. Xu, F.; Tang, J.; Gao, S.; Cheng, X.; Du, L.; Chu, C. Control of rice pre-harvest sprouting by glutaredoxin-mediated abscisic acid signaling. Plant J. 2019, 100, 1036–1051. [Google Scholar] [CrossRef]
  16. Liu, Y.; Xu, C.; Zhu, Y.; Zhang, L.; Chen, T.; Zhou, F.; Chen, H.; Lin, Y. The calcium-dependent kinase OsCPK24 functions in cold stress responses in rice. J. Integr. Plant Biol. 2018, 60, 173–188. [Google Scholar] [CrossRef]
  17. Shiferaw, B.; Smale, M.; Braun, H.J.; Duveiller, E.; Reynolds, M.; Muricho, G. Crops that feed the world 10. Past successes and future challenges to the role played by wheat in global food security. Food Secur. 2013, 5, 291–317. [Google Scholar] [CrossRef]
  18. Mistry, J.; Chuguransky, S.; Williams, L.; Qureshi, M.; Salazar, G.A.; Sonnhammer, E.L.L.; Tosatto, S.C.E.; Paladin, L.; Raj, S.; Richardson, L.J.; et al. Pfam: The protein families database in 2021. Nucleic Acids Res. 2021, 49, D412–D419. [Google Scholar] [CrossRef]
  19. Tamura, K.; Stecher, G.; Kumar, S. MEGA11: Molecular Evolutionary Genetics Analysis Version 11. Mol. Biol. Evol. 2021, 38, 3022–3027. [Google Scholar] [CrossRef]
  20. Letunic, I.; Bork, P. Interactive Tree of Life (iTOL) v6: Recent updates to the phylogenetic tree display and annotation tool. Nucleic Acids Res. 2024, 52, W78–W82. [Google Scholar] [CrossRef]
  21. Chou, K.C.; Shen, H.B. Plant-mPLoc: A top-down strategy to augment the power for predicting plant protein subcellular localization. PLoS ONE 2010, 5, e11335. [Google Scholar] [CrossRef]
  22. Teufel, F.; Almagro Armenteros, J.J.; Johansen, A.R.; Gíslason, M.H.; Pihl, S.I.; Tsirigos, K.D.; Winther, O.; Brunak, S.; von Heijne, G.; Nielsen, H. SignalP 6.0 predicts all five types of signal peptides using protein language models. Nat. Biotechnol. 2022, 40, 1023–1025. [Google Scholar] [CrossRef] [PubMed]
  23. Hu, B.; Jin, J.; Guo, A.Y.; Zhang, H.; Luo, J.; Gao, G. GSDS 2.0: An upgraded gene feature visualization server. Bioinformatics 2015, 31, 1296–1297. [Google Scholar] [CrossRef]
  24. Bailey, T.L.; Boden, M.; Buske, F.A.; Frith, M.; Grant, C.E.; Clementi, L.; Ren, J.; Li, W.W.; Noble, W.S. MEME SUITE: Tools for motif discovery and searching. Nucleic Acids Res. 2009, 37, W202–W208. [Google Scholar] [CrossRef] [PubMed]
  25. Chen, C.; Chen, H.; Zhang, Y.; Thomas, H.R.; Frank, M.H.; He, Y.; Xia, R. TBtools: An Integrative Toolkit Developed for Interactive Analyses of Big Biological Data. Mol. Plant 2020, 13, 1194–1202. [Google Scholar] [CrossRef]
  26. Waterhouse, A.; Bertoni, M.; Bienert, S.; Studer, G.; Tauriello, G.; Gumienny, R.; Heer, F.T.; de Beer, T.A.P.; Rempfer, C.; Bordoli, L.; et al. SWISS-MODEL: Homology modelling of protein structures and complexes. Nucleic Acids Res. 2018, 46, W296–W303. [Google Scholar] [CrossRef] [PubMed]
  27. Andrews, S. FastQC: A Quality Control Tool for High Throughput Sequence Data. 2014. Available online: https://www.bioinformatics.babraham.ac.uk/projects/trim_galore/ (accessed on 2 December 2023).
  28. Bolger, A.M.; Lohse, M.; Usadel, B. Trimmomatic: A flexible trimmer for Illumina sequence data. Bioinformatics 2014, 30, 2114–2120. [Google Scholar] [CrossRef] [PubMed]
  29. Kim, D.; Paggi, J.M.; Park, C.; Bennett, C.; Salzberg, S.L. Graph-based genome alignment and genotyping with HISAT2 and HISAT-genotype. Nat. Biotechnol. 2019, 37, 907–915. [Google Scholar] [CrossRef]
  30. Li, Y.; Liu, X.; Xiao, Y.; Wen, Y.; Li, K.; Ma, Z.; Yin, J. Genome-wide characterization and function analysis uncovered roles of wheat LIMs in responding to adverse stresses and TaLIM8-4D function as a susceptible gene. Plant Genome 2022, 15, e20246. [Google Scholar] [CrossRef]
  31. Jiang, W.; Geng, Y.; Liu, Y.; Chen, S.; Cao, S.; Li, W.; Chen, H.; Ma, D.; Yin, J. Genome-wide identification and characterization of SRO gene family in wheat: Molecular evolution and expression profiles during different stresses. Plant Physiol. Biochem. 2020, 154, 590–611. [Google Scholar] [CrossRef]
  32. Jiang, B.; Su, C.; Wang, Y.; Xu, X.; Li, Y.; Ma, D. Genome-wide identification of Glutathione peroxidase (GPX) family genes and silencing TaGPX3.2A reduced disease resistance in wheat. Plant Physiol. Biochem. 2023, 204, 108139. [Google Scholar] [CrossRef]
  33. Hu, Y.; Su, C.; Zhang, Y.; Li, Y.; Chen, X.; Shang, H.; Hu, X. A Puccinia striiformis f. sp. tritici effector inhibits high-temperature seedling-plant resistance in wheat. Plant J. 2022, 112, 249–267. [Google Scholar] [CrossRef] [PubMed]
  34. Cao, P.; Wang, Y.; Ma, Z.; Xu, X.; Ma, D.; Yang, L. Genome-wide identification of long intergenic non-coding RNAs of responsive to powdery mildew stress in wheat (Triticum aestivum). Front. Plant Sci. 2023, 14, 1297580. [Google Scholar] [CrossRef] [PubMed]
  35. Khan, M.K.; Pandey, A.; Hamurcu, M.; Rajpal, V.R.; Vyhnanek, T.; Topal, A.; Raina, S.N.; Gezgin, S. Insight into the Boron Toxicity Stress-Responsive Genes in Boron-Tolerant Triticum dicoccum Shoots Using RNA Sequencing. Agronomy 2023, 13, 631. [Google Scholar] [CrossRef]
  36. Livak, K.J.; Schmittgen, T.D. Analysis of relative gene expression data using real-time quantitative PCR and the 2(-Delta Delta C(T)) Method. Methods 2001, 25, 402–408. [Google Scholar] [CrossRef]
  37. Chai, Y.C.; Mieyal, J.J. Glutathione and Glutaredoxin-Key Players in Cellular Redox Homeostasis and Signaling. Antioxidants 2023, 12, 1553. [Google Scholar] [CrossRef] [PubMed]
  38. Elsanosi, H.A.; Zhang, J.; Mostafa, S.; Geng, X.; Zhou, G.; Awdelseid, A.H.M.; Song, L. Genome-wide identification, structural and gene expression analysis of BTB gene family in soybean. BMC Plant Biol. 2024, 24, 663. [Google Scholar] [CrossRef]
  39. Zhai, R.; Ye, S.; Ye, J.; Wu, M.; Zhu, G.; Yu, F.; Wang, X.; Feng, Y.; Zhang, X. Glutaredoxin in Rice Growth, Development, and Stress Resistance: Mechanisms and Research Advances. Int. J. Mol. Sci. 2024, 24, 16968. [Google Scholar] [CrossRef]
  40. Liu, H.; Lyu, H.M.; Zhu, K.; Van de Peer, Y.; Max Cheng, Z.M. The emergence and evolution of intron-poor and intronless genes in intron-rich plant gene families. Plant J. Cell Mol. Biol. 2021, 105, 1072–1082. [Google Scholar] [CrossRef]
  41. Jiang, D.; Yang, W.; Pi, J.; Yang, G.; Luo, Y.; Du, S.; Huang, L.J. Genome-Wide Identification, Characterization, and Expression Profiling of the Glutaredoxin Gene Family in Tea Plant (Camellia sinensis). Forests 2023, 14, 1647. [Google Scholar] [CrossRef]
  42. Garg, R.; Jhanwar, S.; Tyagi, A.K.; Jain, M. Genome-wide survey and expression analysis suggest diverse roles of glutaredoxin gene family members during development and response to various stimuli in rice. DNA Res. 2010, 17, 353–367. [Google Scholar] [CrossRef]
  43. Malik, W.A.; Wang, X.; Wang, X.; Shu, N.; Cui, R.; Chen, X.; Wang, D.; Lu, X.; Yin, Z.; Wang, J.; et al. Genome-wide expression analysis suggests glutaredoxin genes response to various stresses in cotton. Int. J. Biol. Macromol. 2020, 153, 470–491. [Google Scholar] [CrossRef] [PubMed]
  44. Shiade, S.R.; Zand-Silakhoor, A.; Fathi, A.; Rahimi, R.; Minkina, T.M.; Rajput, V.D.; Zulfiqar, U.; Chaudhary, T. Plant Metabolites and Signaling Pathways in Response to Biotic and Abiotic Stresses: Exploring Bio stimulant Applications. Plant Stress 2024, 12, 100454. [Google Scholar] [CrossRef]
  45. Liu, F.; Xi, M.; Liu, T.; Wu, X.; Ju, L.; Wang, D. The central role of transcription factors in bridging biotic and abiotic stress responses for plants’ resilience. New Crops 2023, 1, 100005. [Google Scholar] [CrossRef]
  46. Hu, Y.; Wu, Q.; Peng, Z.; Sprague, S.A.; Wang, W.; Park, J.; Akhunov, E.; Jagadish, K.S.V.; Nakata, P.A.; Cheng, N.; et al. Silencing of OsGRX17 in rice improves drought stress tolerance by modulating ROS accumulation and stomatal closure. Sci. Rep. 2017, 7, 15950. [Google Scholar] [CrossRef]
  47. Hou, J.; Sun, Q.; Li, J.; Ahammed, G.J.; Yu, J.; Fang, H.; Xia, X. Glutaredoxin S25 and its interacting TGACG motif-binding factor TGA2 mediate brassinosteroid-induced chlorothalonil metabolism in tomato plants. Environ. Pollut. 2019, 255 Pt 2, 113256. [Google Scholar] [CrossRef] [PubMed]
  48. Verma, P.K.; Verma, S.; Tripathi, R.D.; Chakrabarty, D. A rice glutaredoxin regulate the expression of aquaporin genes and modulate root responses to provide arsenic tolerance. Ecotoxicol. Environ. Saf. 2020, 195, 110471. [Google Scholar] [CrossRef] [PubMed]
  49. Xie, Z.; Jin, L.; Sun, Y.; Zhan, C.; Tang, S.; Qin, T.; Liu, N.; Huang, J. OsNAC120 balances plant growth and drought tolerance by integrating GA and ABA signaling in rice. Plant Commun. 2024, 5, 100782. [Google Scholar] [CrossRef]
  50. Huang, L.J.; Yang, W.; Chen, J.; Yu, P.; Wang, Y.; Li, N. Molecular identification and functional characterization of an environmental stress responsive glutaredoxin gene ROXY1 in Quercus glauca. Plant Physiol. Biochem. 2024, 207, 108367. [Google Scholar] [CrossRef]
  51. Ning, X.; Sun, Y.; Wang, C.; Zhang, W.; Sun, M.; Hu, H.; Liu, J.; Yang, L. A Rice CPYC-Type Glutaredoxin OsGRX 20 in Protection against Bacterial Blight, Methyl Viologen and Salt Stresses. Front. Plant Sci. 2018, 9, 111. [Google Scholar] [CrossRef]
Figure 1. Evolutionary relationships of 235 GRXs of Triticum aestivumI (TaGRXs), Solanum lycopersicum (SlGRXs), and Hordeum vulgare (HvGRXs).
Figure 1. Evolutionary relationships of 235 GRXs of Triticum aestivumI (TaGRXs), Solanum lycopersicum (SlGRXs), and Hordeum vulgare (HvGRXs).
Agronomy 14 02057 g001
Figure 2. Conserved motifs of the TaGRXs: CC-type subfamily genes are colored blue in the phylogenetic tree, the CPYC-type subfamily is colored yellow, and the CGFS-type subfamily is colored pink.
Figure 2. Conserved motifs of the TaGRXs: CC-type subfamily genes are colored blue in the phylogenetic tree, the CPYC-type subfamily is colored yellow, and the CGFS-type subfamily is colored pink.
Agronomy 14 02057 g002
Figure 3. Homology modeling of the CC-type, CPYC-type, and CGFS-type subfamilies of the TaGRXS.
Figure 3. Homology modeling of the CC-type, CPYC-type, and CGFS-type subfamilies of the TaGRXS.
Agronomy 14 02057 g003
Figure 4. Chromosomal distribution of the TaGRXs: the scale on the left represents the physical length of the chromosomes (Mbp).
Figure 4. Chromosomal distribution of the TaGRXs: the scale on the left represents the physical length of the chromosomes (Mbp).
Agronomy 14 02057 g004
Figure 5. Cis-acting regulatory elements of TaGRXs. The number of grids represents the number of cis-acting elements. The darker the color of the grid, the greater the number of cis-acting elements. CC-type subfamily genes are colored blue in the phylogenetic tree, the CPYC-type subfamily is colored yellow, and the CGFS-type subfamily is colored pink.
Figure 5. Cis-acting regulatory elements of TaGRXs. The number of grids represents the number of cis-acting elements. The darker the color of the grid, the greater the number of cis-acting elements. CC-type subfamily genes are colored blue in the phylogenetic tree, the CPYC-type subfamily is colored yellow, and the CGFS-type subfamily is colored pink.
Agronomy 14 02057 g005
Figure 6. Expression of TaGRXs under growth and development, biotic, and abiotic stresses; different colors represent Log2(TPM+1) values; red represents the largest values, and blue represents the smallest values.
Figure 6. Expression of TaGRXs under growth and development, biotic, and abiotic stresses; different colors represent Log2(TPM+1) values; red represents the largest values, and blue represents the smallest values.
Agronomy 14 02057 g006
Figure 7. Expression levels of three selected TaGRXs under hormonal stresses. Significant differences at p < 0.05 for three biological replicates.
Figure 7. Expression levels of three selected TaGRXs under hormonal stresses. Significant differences at p < 0.05 for three biological replicates.
Agronomy 14 02057 g007
Figure 8. Expression level of three selected TaGRXs under F. graminearum, P. striiformis, and E. graminis infection. Significant differences at p < 0.05 for three biological replicates.
Figure 8. Expression level of three selected TaGRXs under F. graminearum, P. striiformis, and E. graminis infection. Significant differences at p < 0.05 for three biological replicates.
Agronomy 14 02057 g008
Figure 9. Tissue-specific gene expression levels of selected TaGRXs in root, stem, leaf, and spike. Significant differences at p < 0.05 for three biological replicates.
Figure 9. Tissue-specific gene expression levels of selected TaGRXs in root, stem, leaf, and spike. Significant differences at p < 0.05 for three biological replicates.
Agronomy 14 02057 g009
Disclaimer/Publisher’s Note: The statements, opinions and data contained in all publications are solely those of the individual author(s) and contributor(s) and not of MDPI and/or the editor(s). MDPI and/or the editor(s) disclaim responsibility for any injury to people or property resulting from any ideas, methods, instructions or products referred to in the content.

Share and Cite

MDPI and ACS Style

Song, M.; Xu, X.; Dong, Y.; Bimpong, D.; Liu, L.; Li, Y.; Shen, H.; Wang, Y. The Roles of Glutaredoxins in Wheat (Triticum aestivum L.) under Biotic and Abiotic Stress Conditions, including Fungal and Hormone Treatments. Agronomy 2024, 14, 2057. https://doi.org/10.3390/agronomy14092057

AMA Style

Song M, Xu X, Dong Y, Bimpong D, Liu L, Li Y, Shen H, Wang Y. The Roles of Glutaredoxins in Wheat (Triticum aestivum L.) under Biotic and Abiotic Stress Conditions, including Fungal and Hormone Treatments. Agronomy. 2024; 14(9):2057. https://doi.org/10.3390/agronomy14092057

Chicago/Turabian Style

Song, Mengyuan, Xiao Xu, Ye Dong, Daniel Bimpong, Lijun Liu, Yanli Li, Huiquan Shen, and Youning Wang. 2024. "The Roles of Glutaredoxins in Wheat (Triticum aestivum L.) under Biotic and Abiotic Stress Conditions, including Fungal and Hormone Treatments" Agronomy 14, no. 9: 2057. https://doi.org/10.3390/agronomy14092057

APA Style

Song, M., Xu, X., Dong, Y., Bimpong, D., Liu, L., Li, Y., Shen, H., & Wang, Y. (2024). The Roles of Glutaredoxins in Wheat (Triticum aestivum L.) under Biotic and Abiotic Stress Conditions, including Fungal and Hormone Treatments. Agronomy, 14(9), 2057. https://doi.org/10.3390/agronomy14092057

Note that from the first issue of 2016, this journal uses article numbers instead of page numbers. See further details here.

Article Metrics

Back to TopTop