Next Article in Journal
Survey of Potato Growers’ Perception of Climate Change and Its Impacts on Potato Production in Germany, Switzerland, and Austria
Previous Article in Journal
Influencing Factors and Prediction Models of Mercury Phytoavailability and Transference in a Soil–Lettuce System under Chinese Agricultural Soils
 
 
Font Type:
Arial Georgia Verdana
Font Size:
Aa Aa Aa
Line Spacing:
Column Width:
Background:
Article

A Comprehensive Study on the Impact of Chemical Fertilizer Reduction and Organic Manure Application on Soil Fertility and Apple Orchard Productivity

by
Liping Zhuang
,
Pengli Wang
,
Wen Hu
,
Ruyi Yang
,
Qiqi Zhang
,
Yuyu Jian
and
Yangjun Zou
*
State Key Laboratory of Crop Stress Biology for Arid Areas/Shaanxi Key Laboratory of Apple, College of Horticulture, Northwest A&F University, Yangling 712100, China
*
Author to whom correspondence should be addressed.
Agronomy 2024, 14(7), 1398; https://doi.org/10.3390/agronomy14071398
Submission received: 20 May 2024 / Revised: 21 June 2024 / Accepted: 24 June 2024 / Published: 27 June 2024
(This article belongs to the Section Horticultural and Floricultural Crops)

Abstract

(1) Background and Aims: Manure is an important source of nutrients for plants, and organic substrate, as an effective soil amendment substrate, is a common material for maintaining soil health in the context of agricultural intensification. The use of organic fertilizers to meet the nutrient requirements of crops and to improve soil structure is a natural choice for sustainable agriculture. The high cost of chemical fertilizers and their overuse can lead to agricultural pollution, so farmers’ awareness of organic farming is increasing, which is helping to drive agriculture in a more environmentally friendly and sustainable direction. (2) Methods: In a fertilization experiment conducted on 38-year-old ‘Changfu No.2’ apple trees, four different fertilization treatments were designed to assess their effects on soil fertility, fruit quality, and apple yield. These treatments included no fertilizer as a control (CK); chemical fertilizer combined with organic substrate (NPK + O); chemical fertilizer combined with sheep manure (NPK + SM); and a combination of chemical fertilizer, organic substrate, and sheep manure (NPK + O + SM). Principal component analysis (PCA) was used to comprehensively evaluate soil fertility, apple yield, and quality under these treatments. (3) Results: The NPK + O + SM treatment significantly improved soil fertility and apple yield compared to the other treatments. It provided comprehensive nutrition, meeting the diverse needs of plant growth. The slow-release properties of the organic substrate combined with the immediate nutrient supply from the sheep manure ensured stable nutrition throughout the growing season. This mixed fertilizer also improved soil biological activity. (4) Conclusion: The fertilization strategy combining organic substrate and sheep manure (NPK + O + SM) is highly effective in improving soil fertility, fruit quality, and apple yield, thus supporting sustainable agricultural practices.

1. Introduction

The Loess Plateau, while exploiting its regionally advantageous industries, also faces the significant problem of agricultural non-point source pollution, which severely hinders the healthy and sustainable development of the apple industry [1,2,3]. On the one hand, the low content of organic matter in the soil of mature orchards critically affects the abundance and stability of yields, stress resistance, and fruit quality of apple trees [4]. On the other hand, fruit growers often use traditional cultivation and management practices that are characterized by a lack of organic fertilizer and an over-reliance on chemical fertilizers due to a lack of scientifically based fertilization guidelines [5]. This not only disrupts the structure of the orchard soil and leads to an imbalance in soil nutrient levels, but also affects the productive capacity of the orchard and the quality of the fruit. Consequently, it leads to a decrease in both the commercial rate of the fruit and the economic benefits, and may even affect the ecological environment of the orchard [6,7].
To address the problems of excessive and unbalanced fertilization in aging apple orchards on the Loess Plateau, the approach of reducing the use of chemical fertilizers and combining it with the application of organic fertilizers can be adopted. This approach can mitigate negative impacts on the soil, increase soil organic matter content, improve soil structure, and increase the efficiency of fertility use [8,9,10]. At the same time, it is in line with the development concept of green agriculture and contributes to the sustainable development of agriculture. The use of organic fertilizers offers several advantages, including low cost; improvement in soil structure, texture, and aeration; enhancement in soil water retention capacity; and promotion of healthy root development [11,12]. Most research results indicate that the application of organic and inorganic fertilizers, as well as their combination, can increase soil nutrient content, and the combination of organic and organic–inorganic fertilizers is more beneficial for improving soil enzyme activity [13,14]. Studies have reported the effects of organic fertilizers on the physicochemical properties of orchard soils and the sugar, acid, and solid content of fruit. However, there is limited research on the reduction in chemical fertilizers and the use of different types of organic fertilizers [15]. Therefore, this experiment is based on the soil properties of the local apple orchard and the commonly used chemical and organic fertilizers; use of 60% of the traditional fertiliser rate and applies a combination of sheep manure (SM) and organic substrate [16]. Composted sheep manure, as a type of biochar, is also a commonly used agricultural fertilizer in the northern Shaanxi region. It can provide plants with macronutrients that they need, such as nitrogen, phosphorus, and potassium. Therefore, this experiment is based on the soil characteristics of the local apple orchard and the commonly used chemical and organic fertilizers; reducing the use of chemical fertilizers to 60% and applying a combination of sheep manure (SM) and organic fertilizer duction can effectively increase the fresh and dry mass of leaves, enhance the capacity of apple leaves to produce photosynthetic products, and is beneficial to the robust growth of fruit trees. There is a noticeable improvement in the length and girth of the branches, and the fruit set rate of the blossom clusters treated with sheep manure is also significantly increased [17]. Organic substrate soil is inexpensive, loose, porous, well aerated, light, free of pathogens, and high in organic matter and humus. It also has a large surface area, strong salt balance, and ion exchange capacity, and can effectively absorb moisture, increasing the water content of the soil. In addition, it can adjust the structure of soil aggregates, offering the advantages of structural stability and water and nutrient retention, making it a globally recognized high-quality growing substrate [16,18,19].
The strategy of reducing the use of chemical fertilizers and increasing the use of organic fertilizers is a progressive approach to achieving balanced management in agriculture. By regulating the supply of nutrients to the soil [20], this approach not only increases soil productivity but also significantly improves crop quality. Maintaining soil health and improving the present, relatively few studies have been conducted on the use of organic substrate and sheep manure as organic fertilizers and their application in mature orchards. Therefore, this study aims to fill this gap and provide scientific guidance on soil management and fertilization strategies for old orchard trees in apple orchards on the Loess Plateau. This will not only contribute to the sustainable development of orchards but is also of great importance for improving fruit quality, thus providing strong support for research and practice in related fields [21].

2. Materials and Methods

2.1. Field Conditions

The experimental station is located in Luochuan County, situated in the southern part of Yan’an City, Shaanxi Province, within the gully region of the Weibei Loess Plateau [22]. The geographical coordinates are between 109°13′ to 109°45′ east longitude and 35°26′ to 36°04′ north latitude. The climate is characterized as a warm temperate, semi-humid, continental monsoon climate, which is heavily influenced by the monsoon circulation, leading to distinct seasonal changes. Winters are cold and dry, lasting for an extended period; springs are marked by variable temperatures, prone to frost, and often experience spring droughts; summers are hot with rainfall coinciding with heat, occasionally suffering from hail and droughts during the hottest days of the year; autumns bring rapid temperature drops and intermittent rainy weather [23]. The elevation within the county ranges from 650 to 1481 m, with a diurnal temperature variation of 12.8 °C, ample sunlight favorable for the accumulation and transportation of photosynthetic substances in apples, and an average frost-free period of 167 days per year; the annual average temperature is 9.2 °C, with the hottest month (July) averaging 22.2 °C and the coldest month (January) averaging −4.0 °C; the annual precipitation is 620 mm, predominantly concentrated between May and September; the average annual sunshine duration is 105.2 days, with the most in May and the least in September, resulting in a 57% annual sunshine rate [24,25].
Yan’an City’s Luochuan County is home to a significant proportion of orchards with trees over 20 years old, and some of these orchards even exceed 30 years of age [22]. These aging orchards have profound implications for local agricultural production and the ecological environment. The sustainability and productivity of these long-established orchards are crucial for maintaining the economic vitality of the region and preserving its ecological balance. As such, it is essential to focus on the management and rejuvenation of these orchards to ensure their continued contribution to the local community and environment (Table 1).

2.2. Experimental Materials

The experimental orchard was established in 1986 and has since been dedicated to apple cultivation. This study selected the ‘Changfu No. 2’ variety from the Fuji series, with a tree age of 38 years, at a plant spacing of 4 m × 5 m (500 trees·ha−1), with the maturity period occurring in mid-October. The fertilizers used in the experiment were divided into chemical fertilizers and organic fertilizers (organic substrate and sheep manure).
Chemical fertilizers (NPK compound fertilizer) purchased from China Shaanxi Akang Agrochemical Co., Taiyuan City, China (N:P:K 18:10:15).
Sheep manure: sheep manure from nearby farmers that has been rotting for more than three months.
Organic substrate: grass soil amendment substrate purchased from Pindstrup (Pindstrup), of which organic substrate accounted for more than 70%, with particle size between 0 and 10 mm (Table 2).

2.3. Experimental Design

The experiment consisted of four treatments: no fertilization (CK); chemical fertilizer combined with organic substrate (NPK + O); chemical fertilizer combined with sheep manure (NPK + SM); and chemical fertilizer combined with organic fertilizers of organic substrate and sheep manure (NPK + O + SM), with the amount of chemical fertilizer applied at 60% of the conventional fertilization rate. Four fertilization treatments were set up, with single-tree plots, and three replications, totaling 12 trees.
The recommended amount of conventional organic fertilizer is 10,000 kg·ha−1. In this experiment, we applied twice the recommended amount, i.e., 20,000 kg·ha−1, with an average of 40 kg of fertilizer per tree, in the hope of achieving a better soil conditioning effect. The method of application was trenching: trenches were dug in four directions (east, west, south, and north) at a distance of 1.5 m from the trunks of the trees, with each trench being 2 m long, 60 cm wide, and 40 cm deep, to ensure a uniform distribution of the fertilizer. Fertilizer application was carried out in March 2023, with all organic fertilizer evenly applied to the trenches and covered with soil to promote the full integration of the fertilizer into the soil.
Traditional fertilizers are usually applied at a rate of 3000 to 4000 kg·ha−1. In this experiment, we chose to apply 60% of the traditional fertilizer rate, i.e., 1000 kg·ha−1, at an average of 2 kg per tree, in the ratio of 3:4:3 in April, June, and August into the original basal fertilizer pits at a depth of 20 cm, covered with soil and compacted to the level of the soil (Table 3).

2.4. Measurement Indicators and Methods

2.4.1. Collection of Soil Samples

Sampling was conducted after fruit harvest on 12 October 2023 to ensure that the fruit tree growth cycle had ended and the soil nutrient status was stable. Three samples were set for each treatment to ensure the representativeness of the data. Centered on the tree trunk, 10 cm away from the fertilization position, one sample point was taken every 120° along the circumference of the canopy’s drip line, totaling three sampling points. The sampling depth included three layers: 0~20 cm, 20~40 cm, and 40~60 cm to collect soil samples for measuring soil enzyme activity. The samples from each soil layer were thoroughly mixed, roots and other impurities were removed, and after passing through a 1 mm sieve, they were divided into two portions. After natural air-drying, they were used for the analysis of soil physical and chemical properties [26].

2.4.2. Determination of Soil Samples

In October 2023, after the fruit harvest, soil moisture was determined using the drying method, soil bulk density and porosity were measured using the ring knife method [27]. The soil sample is weighed before and after drying in an oven at a specific temperature, typically around 105 °C. The loss in weight is attributed to the evaporation of water, allowing for the calculation of the soil’s moisture content [28]. Soil bulk density (ρb): This is defined as the mass of dry soil per unit volume, usually expressed in grams per cubic centimeter (g/cm3). The volume of the soil sample is often determined by the displacement of water or by using a known volume of a container. Soil Porosity (n): This is the fraction of the soil volume that consists of voids or pores, which can be filled with air or water. It is a measure of the soil’s ability to hold air and water.
The chemical properties of the soil were determined according to the methods outlined in “Soil Agricultural and Chemical Analysis”, edited by Bao Shidan. The soil pH value was measured using a METTLER TOLEDO pH meter (potentiometric method); the soil organic matter content was determined using the dichromate volumetric method (external heating method); the total nitrogen content in soil was measured using the H2SO4digestion method; the available nitrogen content in soil was determined using the HCL (1 mol·L−1) extraction method; measurement of effective phosphorus content in soil using the molybdenum-antimony colourimetric method; and the available potassium content in soil was determined using atomic absorption spectrophotometry [29].

2.4.3. Determination of Soil Enzyme Activity

In October 2023, after the fruit harvest, soil enzyme activity was measured according to the methods of Guan Songyin. Alkaline phosphatase (ALP) activity was determined using the sodium phenyl phosphate colorimetric method [30], sucrase (SUC) activity was measured using the 3,5-dinitrosalicylic acid colorimetric method, urease (URE) activity was assessed with the sodium phenol colorimetric method, and catalase (CAT) activity was determined using the potassium permanganate titration method [29,31].

2.4.4. Measurement of Leaf-Related Indicators

In 2023, thirty leaves were randomly collected from the middle of the new shoots at the periphery of the canopy in each repetition, with a total of 90 leaves in each treatment. Chlorophyll content of the leaves was measured for each treatment on each tree by randomly selecting mature leaves from the middle of the outer new shoots at a height of 1.5 m from the ground during the stages of young fruit, fruit expansion, and initial maturity. The photosynthetic parameters of the leaves were determined during the fruit expansion stage. Chlorophyll content was measured using a handheld chlorophyll meter (CHLOROPHYLL METER SPAD-502 Plus) [30], and the photosynthetic parameters were measured using a LI-6400 photosynthesis system [7,32]. For the measurement of leaf nutrient elements: Total nitrogen (N): The Kjeldahl method is commonly used, which involves digesting the sample to convert nitrogen into ammonium sulfate, followed by distillation with an alkaline solution and subsequent measurement. Phosphorus (P): After digestion of the sample, phosphorus content can be determined using colorimetric methods or inductively coupled plasma–optical emission spectrometry (ICP-OES). Potassium (K) and magnesium (Mg): The content of potassium and magnesium is typically measured after sample digestion using a flame photometer (FLAME) or ICP-OES. Calcium (Ca) and magnesium (Mg): Ca and Mg are usually measured by atomic absorption spectrophotometry (AAS) or ICP-OES.

2.4.5. Measurement of Fruit-Related Indicators

In October 2023, during the fruit maturation stage, twenty fruits were randomly selected from each replication, totaling 60 per treatment, for fruit quality evaluation. The individual fruit mass was measured using an electronic scale with a precision of 0.01%; the fruit’s transverse and longitudinal diameters were measured with a vernier caliper; the fruit skin color differences were determined using a portable colorimeter (CHROMA METER CR-400) to measure the brightness value L*, red saturation a*, and yellow saturation b*; fruit firmness and crispness were assessed using a texture analyzer (FTC TMS-Pilot); the soluble solid content was measured using a NY/T handheld refractometer, and the titratable acid content was determined using a portable pH meter (GMK-835F) [33,34]. In the statistical analysis of per hectare yield, each treatment is considered as a separate group for the calculation of the total amount and individual plant yield, which is determined by actual harvesting and measurement methods. The total value is calculated based on the different grading prices of apples.

2.5. Statistical Analysis

IBM SPSS Statistics 23 software was used for data statistical analysis. One-way analysis of variance (one-way ANOVA) and two-way analysis of variance (two-way ANOVA) were used to test the different significance of the data. Duncan’s method was used to make multiple comparisons of the experimental data. The difference significance standard was p < 0.05 level. Origin 2021 was used for plotting the data.

3. Results

3.1. Effect of Reduced Chemical Fertilizer and Organic Fertilizer on Soil Physicochemical Properties

To examine the improvement effect of the physical properties of the orchard soil, the following three key indicators were measured and analyzed: soil porosity, soil moisture content, and soil bulk weight (Table 4). The findings demonstrated that the soil porosity (54.7%) and water content (19.8%) were significantly higher in the NPK + O + SM treatment than in the CK treatment (p < 0.05). For soil porosity, the NPK + O + SM treatment increased by 12.4% compared to CK (48.6), and both NPK + O (51.9) and NPK + SM (53.3) treatments also showed significant differences compared to CK, with increases of 9.6% and 10.3%, respectively. For soil water content, the NPK + SM and NPK + O + SM treatments had water contents of 19.0% and 19.8%, respectively, which were also significantly higher than the CK treatment (11.6%). The soil bulk density of all three fertilization treatments was significantly reduced compared to CK (p < 0.05), with reductions of 1.5%, 2.9%, and 3.6%, respectively. Among these treatments, the NPK + O + SM treatment resulted in the lowest soil bulk density with 1.3 g/cm3.
The results revealed that the application of organic fertilizers effectively enhanced the soil porosity and water retention capacity, while reducing the soil’s bulk weight, especially in the (NPK + O + SM) treatment program using NPK composite fertilizers in combination with organic substrate and sheep manure.
To examine the improvement effect of the chemical properties of the orchard soil, we measured and analyzed the various elements in the soil (Table 5). Firstly, the treatment showed significant differences in chemical properties compared to the CK treatment, with significant increases in the contents of total nitrogen, total phosphorus, and total potassium of 16.7%, 12.3%, and 6.1% respectively. Secondly, for the levels of available nitrogen, available phosphorus, and available potassium, the NPK + O + SM treatment showed significant differences compared to CK, with increases of 9.8%, 10.1%, and 30.0%, respectively. With regard to soil organic matter, both the NPK + O + SM (11.9) and NPK + SM (11.3) treatments resulted in a significant increase compared to CK, with improvements of 19.4% and 13.7%, respectively. In addition, there was a tendency for all treatments to decrease pH compared to CK, although no significant differences were observed.
Comprehensive analyses showed that increased application of organic fertilizers could effectively enhance soil fertility. In particular, the combined NPK + O + SM treatment significantly enhanced the content of key nutrients and organic matter in the soil, which may have a positive impact on promoting crop growth and increasing yields.

3.2. Effect of Chemical Fertilizer Reduction and Organic Fertilizer on Soil Enzyme Activity

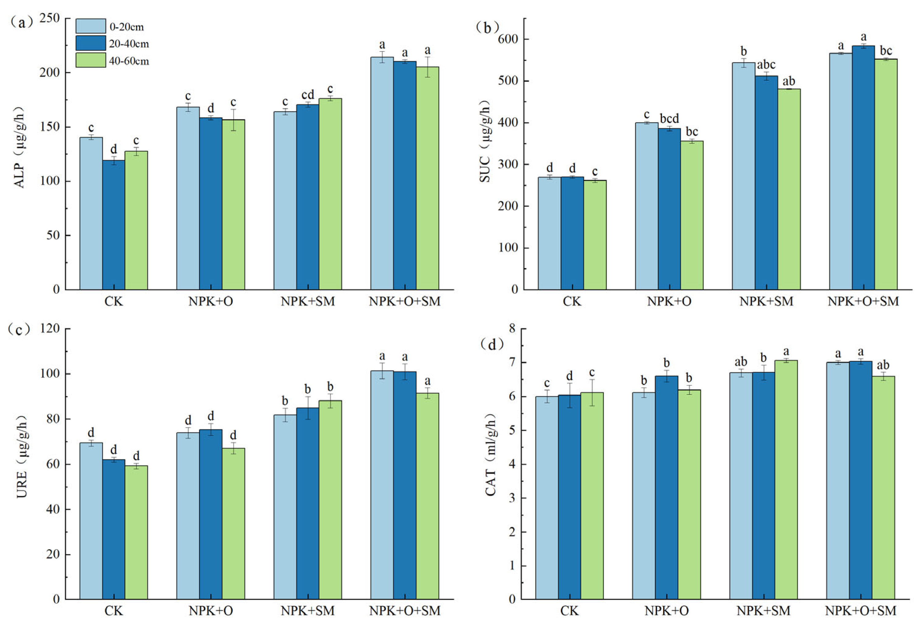
Soil enzyme activity is one of the most important indicators for judging soil fertility (Figure 1). The strength of soil enzyme activity directly reflects the transformation capacity of nutrients and the magnitude of biological activity in soil, which is an important part of soil biochemical characteristics [35]. Figure 1a illustrates the variation in alkaline phosphatase activity with increasing soil depth. In the 0–20 cm soil layer, the NPK + SM (164.0 µg/g/h) and NPK + O + SM (214.2 µg/g/h) fertilizer treatments significantly increased the activity of alkaline phosphatase by 16.8% and 52.6%, respectively, compared to the control group CK (140.4 µg/g/h). Figure 1b shows the trend of sucrase activity under different fertilization treatments. Overall, sucrase activity shows an upward trend, especially in the 0–20 cm and 20–40 cm soil layers, where the NPK + O + SM treatment significantly increased sucrase activity, 1.1 times and 1.16 times higher than CK, respectively. Figure 1c shows the changes in urease activity. Urease plays a crucial role in the soil nitrogen cycle and its activity level can reflect the availability of soil nitrogen. In the 0–20 cm soil layer, all three fertilization treatments significantly improved urease activity, which increased by 6.4%, 17.8%, and 45.9% compared to CK (69.4 µg/g/h), respectively. Figure 1d shows the evolution of catalase activity at different soil depths and under different fertilization treatments. Although catalase activity does not vary much between treatments, there is still a significant increase in catalase activity under certain specific fertilization treatments (such as NPK + O + SM) and at different soil depths. At the three soil depths, the NPK + O + SM treatment increased by 16.7%, 16.5%, and 7.9% compared to CK.
In summary, in measurements of three different soil layers, we observed a clear trend in the activities of the four soil enzymes: in the topsoil layer of 0–20 cm, there was a general increase in the activities of these enzymes compared to the control CK. As the soil depth increased, some enzyme activities showed a gradual decrease, a phenomenon that reveals a close correlation between soil enzyme activities and soil depth, in the order of arrival of the enzyme activities in the various treatments: NPK + O + SM > NPK + SM > NPK + O > CK.

3.3. Effect of Reduced Chemical Fertiliser Use and Organic Fertiliser Application on Chlorophyll of Plant Leaves

Chlorophyll is a pigment that plays a key role in plant photosynthesis by capturing the sun’s light energy and converting it into chemical energy, providing the energy necessary for plant growth and metabolic activity [36]; chlorophyll content is an important indicator for assessing the photosynthetic capacity and nutritional status of plants, and leaf SPAD is a commonly used indicator for estimating chlorophyll content. As shown in (Figure 2), the different fertilization treatments significantly increased the SPAD values of the leaves compared to the control treatment (CK). During early fruit development, leaf SPAD values showed an increasing trend from the CK treatment to the NPK + O + SM treatment. Compared to CK (43.6), all fertilization treatments (NPK + O, NPK + SM, and NPK + O + SM) significantly increased leaf SPAD values by 6.1%, 10.7%, and 16.4%, respectively. During the fruit expansion stage, the leaf SPAD value in the NPK + SM treatment (56.3) was the highest among all treatments, significantly increasing by 10.2% compared to the CK treatment (51.1). At the fruit ripening stage, the NPK + SM (64.9) and NPK + O + SM (65.5) treatments still resulted in a significant increase in leaf SPAD values compared to the CK (60.5) treatment, increasing by 7.2% and 8.3%, respectively.
In general, different fertilization strategies produced different effects on leaf SPAD values at various stages of fruit growth. At the early stage of fruit development, the fertilization combination of NPK + O + SM seemed to be more helpful for chlorophyll synthesis and accumulation. Into the expansion and ripening stages of fruit, both NPK + SM and NPK + O + SM fertilization showed positive effects, but the NPK + O + SM fertilization may be slightly superior in promoting chlorophyll synthesis.

3.4. Effect of Chemical Fertilizer Reduction and Organic Fertilizer Application on Photosynthesis

Given the significant effects that organic fertilizer treatments may have on plant leaf photosynthesis, we sought to assess and analyze how different fertilizer applications promote plant growth by acting on photosynthesis (Figure 3). Firstly, the application of organic fertilizer significantly enhanced the photosynthesis of fruit tree leaves. As shown in Figure 3a, the net photosynthetic rate (Pn) of leaves increased significantly in all organic fertilizer treatments compared to the control treatment (CK). Specifically, the NPK + O treatment increased the net photosynthetic rate by 3.6%, while the NPK + O + SM treatment increased it by 5.8% compared to CK. Secondly, stomatal conductance (StC) is an important indicator that measures the gas exchange capacity of leaves. Figure 3b shows that stomatal conductance increased with the addition of organic fertilizer in all treatments compared to CK. The NPK + O + SM treatment resulted in the highest stomatal conductance, which was significantly higher by 15% compared to CK. At the same time, changes in intercellular CO2 concentration (Ci) are also an important indicator of the state of photosynthesis. As shown in Figure 3c, the intercellular CO2 concentration in the leaves decreased to different extents with the different treatments. The NPK + O and NPK + SM treatments did not show significant differences in Ci compared to CK. However, in the NPK + O + SM treatment, Ci started to decrease significantly and reached the lowest point at a certain stage and was significantly lower by 1.5% compared to CK. Finally, the leaf transpiration rate (Tr) is another important indicator that reflects the water status and gas exchange capacity of the leaves. The experimental results show that all organic fertilizer treatments significantly increased leaf transpiration rate compared to CK. The NPK + O + SM treatment showed the highest transpiration rate, which was 4.1% higher than CK.
In conclusion, the application of organic fertilizers significantly enhanced the photosynthetic efficiency of fruit tree leaves. Among all the treatments, the NPK + O + SM treatment was particularly effective in enhancing leaf net photosynthetic rate, stomatal conductance, and transpiration rate, while significantly reducing the intercellular carbon dioxide concentration, which created favorable conditions for efficient photosynthesis and plant growth. Although NPK + O treatment also promoted the enhancement of leaf net photosynthetic rate and transpiration rate, its effect was not as significant as that of NPK + O + SM treatment. As for the NPK + O and NPK + SM programs, although the fertilizer shows no significant difference in intercellular carbon dioxide concentration compared with the control CK, they still demonstrated an improvement in other photosynthesis-related indexes. These findings suggest that reasonable organic ratios play an important role in optimizing plant photosynthesis.

3.5. Effect of Chemical Fertilizer Reduction and Organic Fertilizer Application on Leaf Nutrient Content

By analyzing the content of nitrogen, phosphorus, potassium, calcium, and magnesium in leaves, we can gain insight into the nutritional status of plants, and thus determine whether there is a deficiency or excess of nutrients in plants (Table 6). Firstly, the application of organic fertilizer increased the total nitrogen content in the leaves of the treatment groups compared to the control group (CK) during the early fruit stage, the fruit enlargement stage, and the maturity stage. Among these three growth stages, the NPK + O + SM treatment had the highest total leaf nitrogen content, which increased significantly by 8.1% and 6.0% compared to CK.
However, during the fruit enlargement stage, there was no significant difference in total leaf nitrogen content among the different fertilization treatments, with the content decreasing in the following order NPK + O + SM > NPK + SM > NPK + O > CK. Secondly, the total phosphorus content in the leaves of all treatment groups generally showed a slow decreasing trend as the growth period progressed. At the early fruit stage, there was no significant difference in leaf total phosphorus content between the organic manure treatment groups, but the NPK + O + SM treatment (1.6 g/kg) showed a significant increase of 16.4% compared to CK (1.4 g/kg). At the fruit enlargement stage, there was no significant difference in total leaf phosphorus content among the treatment groups, but the NPK + O + SM treatment had the highest total leaf phosphorus content at 1.9 g/kg, followed by the NPK + SM treatment at 1.9 g/kg, both higher than the CK treatment at 1.8 g/kg. At maturity, the total leaf phosphorus content of the NPK + O + SM treatment (2.3 g/kg) was significantly higher than the other treatments, increasing by 26.4% compared to CK (1.8 g/kg). In addition, the total potassium content in the leaves showed an increasing trend followed by a decrease in all growth stages. At the early fruit stage, the NPK + O + SM treatment (13.2 g/kg) reached the highest total potassium content in leaves, significantly increasing by 3.28% compared to CK (12.7 g/kg).
During fruit enlargement, the NPK + SM treatment (15.4 g/kg) consistently had the highest total potassium content in leaves, which gradually decreased. The NPK + SM treatment showed a significant increase of 21.2% compared to CK (12.5 g/kg). Finally, the increased application of organic fertilizer also had a positive effect on the total calcium and magnesium content in the leaves. Although the increase in the total calcium content in the leaves of the NPK + O + SM (15.1 g/kg) and NPK + SM (14.8 g/kg) treatments was not significant during the early fruit stage, the application of additional organic fertilizer significantly increased the magnesium content in the leaves at other times. Particularly at maturity, the NPK + O + SM (2.7 g/kg) treatment significantly increased leaf magnesium content by 1.9% compared to CK (2.6 g/kg). Calcium and magnesium are essential nutrients for plant growth, and their increase helps to improve plant stress resistance and fruit quality. With the increase in organic fertilizer application, the total calcium content in the leaves of NPK + O + SM (16.8 g/kg) and NPK + SM (16.3 g/kg) treatments did not significantly increase during the early fruit stage but increased in the later growth stages.
The NPK + O + SM fertilization strategy significantly increased the nitrogen, phosphorus, and potassium contents in the leaves of fruit trees, promoting growth and yield. In particular, this strategy effectively increased phosphorus, and potassium contents in leaves during the early fruiting and ripening stages. Although the effects of the fertilizer treatments on leaf N content were not significant during the fruit expansion stage, the NPK + O + SM treatment maintained a high N content to support normal plant growth and fruit development.
In short, the NPK + O + SM fertilization strategy significantly increased the nitrogen, phosphorus, and potassium contents in the leaves of the fruit trees and promoted the growth and yield of the trees themselves. In particular, this strategy effectively increased phosphorus and potassium contents in leaves during the early fruiting and ripening stages. Although the effects of the fertilizer treatments on leaf N content were not significant during the fruit expansion stage, the NPK + O + SM treatment maintained a high N content to support normal plant growth and fruit development. The increased application of organic fertilizer had a positive effect on increasing potassium, calcium, and magnesium content in leaves. The NPK + SM treatment especially increased potassium content during fruit expansion, which was beneficial for fruit quality. Organic fertilizer application increased calcium content during the later stages of growth and enhanced plant stress tolerance. In addition, organic fertilizers significantly increased leaf magnesium content, especially during ripening, which helped to improve photosynthetic efficiency and yield.

3.6. Effect of Chemical Fertilizer Reduction and Organic Fertilizer on Fruit Quality

According to (Table 7), it is evident that the application of increased organic fertilizer has a certain impact on the appearance quality of Fuji apples. Significant differences are observed in various indicators such as single fruit weight, fruit dimensions, and skin color under different treatments. Specifically, the single fruit weight was highest under the NPK + O + SM treatment, reaching 286.5 g, which is a significant increase of 13.9% compared to the CK treatment (251.5 g). The NPK + SM treatment (281.6 g) followed closely, with an increase of 12.0% compared to CK, while there was no significant difference between the NPK + O (253.4 g) treatment and the CK treatment. In terms of fruit dimensions, the NPK + O + SM treatment also performed the best, with a longitudinal diameter of 74.7 mm and a transverse diameter of 85.3 mm, which are increases of 7.1% and 5.6% compared to CK (69.7 mm), respectively. There were no significant differences in the fruit shape index among the treatments, but the NPK + SM treatment had the highest index at 0.9, which is a 3.5% increase compared to CK (0.9).
The brightness values L* of NPK + O + SM (49.3) and NPK + SM treatments (51.9) were significantly different from the CK treatment (53.1), decreasing by 2.2% and 8.3%, respectively. The redness value a* of the fruit skin was highest under the NPK + O + SM treatment at 16.8, followed by the NPK + SM treatment (15.5). Additionally, in terms of yellowness value b*, both NPK + O + SM and NPK + SM treatments had lower b* values, which were significantly different from the CK treatment, decreasing by 10.1% and 7.2%, respectively. By comparing the skin L*, a*, and b* values of each treatment, it can be inferred that the fruit skin under the NPK + O + SM treatment is the most nutritious, with the lowest L* value, the highest a* value, and the lower b* value.
In conclusion, the increased application of organic fertilizer can significantly improve the appearance quality of Fuji apple fruit to some extent, with the NPK + O + SM treatment showing the best performance, characterized by the highest single fruit weight, the best fruit dimensions, and the most nutritious fruit skin color.
According to (Table 8), there is no significant difference in fruit skin firmness among the various organic fertilizer treatments, but all have increased compared to the CK treatment. The NPK + O + SM treatment had the highest fruit skin firmness at 9.5 N, which is a significant increase of 14.0% compared to the CK treatment (8.4 N). The NPK + SM treatment (9.2 N) ranked second, with a significant increase of 9.6% compared to CK. Fruit skin firmness is negatively correlated with skin elasticity, meaning that as firmness increases, elasticity decreases, and vice versa when firmness decreases. The fruit skin elasticity of the NPK + SM (100.6 mm) and NPK + O + SM (102.1 mm) treatments was significantly different from the CK treatment (105.4 mm), decreasing by 4.6% and 3.1%, respectively. This indicates that while increasing the application of organic fertilizer increases fruit skin firmness, it correspondingly reduces skin elasticity. The changes in flesh firmness among the treatments were not significant, but the flesh firmness of the NPK + SM and NPK + O + SM treatments was significantly higher than the CK treatment. The flesh firmness of NPK + SM and NPK + O + SM treatments were 0.2 kg·cm−2 and 0.3 kg·cm−2, respectively, which are increases of 19% and 14.3% compared to CK. Flesh crispness showed a trend of first increasing and then decreasing with the increase in organic fertilizer application. The NPK + O + SM treatment had the highest flesh crispness at 4.9 kg·s−1, which is a significant increase of 11.6% compared to CK. This suggests that appropriate application of organic fertilizer can improve the crispness of the flesh, but excessive application may lead to a decrease in crispness. There were no significant differences in soluble solids content among the treatments, but the NPK + O + SM treatment had the highest content at 15.6%. The titratable acidity content was lowest in the NPK + O + SM treatment (0.4%), with a significant decrease of 15.6% compared to CK (0.5%), which is beneficial for improving the sugar–acid ratio and enhancing fruit taste.
In a word, the NPK + O + SM treatments showed significant advantages in enhancing peel firmness, improving flesh firmness and crispness, and reducing titratable acidity. These improvements are important for enhancing the overall fruit quality and flavor.

3.7. Effect of Chemical Fertilizer Reduction and Organic Fertilizer Application on the Economic Performance of Orchards

In the current fruit grading standards, fruit diameter greater than 80 mm is considered as first class, 75–80 mm as second class, while those less than 75 mm are classified as third class. In the given treatments, the rates of first- and second-grade fruits were generally high, indicating that most of the fruits were able to achieve high commercial rates. From (Table 9),particularly, the NPK + O + SM treatment achieved 80% of first-grade fruits, which showed the superiority of this treatment in promoting fruit growth and increasing commerciality. The comparison of superior fruit rates among treatments also showed the superiority of NPK + O + SM treatment in enhancing fruit quality. In addition, the fertilizer application of compound fertilizer with sheep manure as well as compound fertilizer with sheep manure and grass charcoal had significant benefits in increasing apple yield. Among them, the NPK + O + SM treatment reached the highest yield, which was increased by 12.7% compared to the control treatment CK. This means that this type of fertilizer application not only improved the quality of the fruit but also significantly increased the yield of the fruit. From the point of view of economic benefits, the total value of apple production under all three treatments exceeded 160,000 CNY·hm−2, an average increase of 21,400 yuan·hm−2 compared with the control treatment CK. After considering the input costs, the NPK + T + SM treatment had the highest value of income increase of CNY 30,900,000·hm−2. This shows the advantages of this treatment in terms of economic benefits, which not only improves the yield and quality but also brings higher economic returns. In conclusion, compound fertilizer with sheep manure and grass charcoal (NPK + O + SM treatment) performed the most outstandingly in improving the quality of apple fruits, increasing the yield as well as improving the economic benefits, and it is a fertilizer application method worth promoting.
In summary, organic substrate and sheep manure composite fertilizer (NPK + O + SM treatment) has the most outstanding performance in improving the quality of apple fruits, increasing the yield and economic benefits. This fertilization method is not only simple and easy to implement, but also has significant effect, and is indeed an efficient fertilizer application technique of great popularisation value in the field of apple cultivation.

3.8. Comprehensive Evaluation of Chemical Fertilizer Reduction and Organic Fertilizer Application on Orchard Soil Fertility and Fruit Quality

PCA helps in identifying the most influential factors affecting soil and fruit quality by reducing the dimensionality of the dataset [37]. Through the principal component analysis of the main indicators of soil fertility, leaf growth and development, and fruit quality and yield in the ‘Changfu No.2’ apple orchard, we successfully extracted six principal components with eigenvalues greater than 1 (Table 10). The eigenvalues, contribution rates, and cumulative contribution rates of these principal components provided important information for us to understand the soil and fruit conditions in the orchard in depth. From (Table 10), it can be concluded that the eigenvalues of the principal components were 10.9, 2.5, 2.2, 1.3, 1.1, and 1.0, respectively, and the total variance contribution rates of the first, second, third, fourth, fifth, and sixth principal components were 46.9%, 57.1%, 66.9%, 74.4%, 81.2%, and 86.0%, and the cumulative contribution rate of the six principal components reached 85.8%, 57.1%, 66.9%, 74.4%, 81.2%, and 86.0%, respectively. The cumulative contribution rate of the six principal components reached 85.8%, indicating that the six extracted principal components could replace the item indicators of soil and fruit to reflect the full information. Among them, the correlation between soil water content, soil bulk weight, soil porosity, soil minerals, and soil alkaline phosphatase and the first principal component was extremely high (>0.9), which indicated that the basic physical and chemical properties of the soil had a crucial influence on the overall conditions of the orchard. Fruit transverse diameter, peel extensibility, and peel brittleness were negatively correlated with the first principal component, suggesting that the improvement in soil fertility may be somehow related to the enhancement in fruit appearance and quality; among the second principal components, fruit longitudinal diameter and peel hardness had large negative vector values; urease activity (0.8) and single fruit weight (0.7) had the largest contribution to the third principal component; titratable acid (0.7) had the largest contribution to the fourth principal component; fruit acid (0.7) had the largest contribution to the fourth principal component; and soil alkaline phosphatase had the largest contribution to the fourth principal component. Four principal components had the greatest contribution; peel hardness had a great negative correlation with the fifth component and soluble solids had a great negative correlation with the sixth principal component.
According to the principal component variance contribution rate (Table 11), the principal component composite score of each fertilizer treatment can be obtained. As shown in (Table 10), the order of the composite scores of the principal components was NPK + O + SM > NPK + SM > NPK + O > CK, which concluded that the effect of chemical fertilizer reduction with organic fertilizer treatments on soil fertility and fruit quality and yield in orchards was better; in particular, the NPK + O + SM treatment was relatively optimal.

4. Discussion

An effective method of soil improvement is to reduce the use of chemical fertilizers and supplement them with organic fertilizers, which can significantly improve the physical and chemical properties of the soil and increase the content of essential soil elements, thus promoting a favorable environment for crop growth [38,39]. The results of this study indicate that the two fertilizer treatments, NPK + SM and NPK + O + SM, significantly optimized the physical properties of the soil by improving soil porosity, increasing water retention capacity, and reducing soil bulk weight. We believe that these positive changes contribute to the improvement in the soil environment; this result agrees with the findings of Guo, Liyue et al. that both manure and chemical fertilizer combined with scientific research improved soil fertility [40]. The NPK + SM and NPK + O + SM treatments in this paper did show a more significant increase in soil organic matter content compared to the control. Consistent with the findings of Manna, M. C, et al., who in their article on the effect of organic manure on soil organic matter mentioned that the use of manure improves soil fertility and helps to maintain consistent yields over time while maintaining optimum soil quality [41].
Soil enzyme activity serves as an important indicator for assessing soil quality and fertility [36]. Various fertilization treatments exerted a significant influence on the activity levels of multiple soil enzymes, with the NPK + O + SM treatment demonstrating a robust enhancement across various parameters. The variation in enzyme activity with increasing soil depth likely reflects the differential microbial activity across soil strata, with the upper 0–20 cm and 20–40 cm layers showing the most pronounced improvements. This suggests a heightened biological activity in the upper soil layers, which are in immediate contact with the fertilizer, thereby indicating a more dynamic interaction between the soil biology and the applied nutrients; this result is in line with Balezentiene, L. et al., who mentioned in their paper that organic fertilizer with inorganic fertilizer promotes soil enzyme activity [42].
The growth and development of fruit tree leaves is the basis for achieving high and stable production and high-quality apples [43]. In this study, the effects of different fertilizer treatments on the growth, development, and photosynthetic performance of fruit tree leaves were investigated in depth, and the results highlighted the fundamental role of fertilizer application in enhancing apple yield, quality, and stability. Through comparative analysis, we found that the addition of organic fertilizers, such as sheep manure, significantly promoted the growth of apple tree leaves. Our findings were supported by the study of Chatzistathis et al., who stated that sheep manure was effective in promoting plant leaf growth [44].
In the present study, different fertilization treatments significantly increased the SPAD value of apple tree leaves, which is an important indicator of leaf chlorophyll content. The increase in chlorophyll content directly enhanced the photosynthetic capacity of the leaves, which further improved the overall growth of the apple trees. The same was confirmed by the study of Calderón-Zavala et al., who found that sheep manure organic fertilizer significantly increased the SPAD value and photosynthetic efficiency of strawberries [45].
The quality of leaf growth has a significant effect on photosynthetic rate. In this study, it was found that the addition of organic fertilizer increased the net photosynthetic rate (Pn), stomatal conductance (Gs), transpiration rate (Tr), and intercellular CO2 concentration (Ci) of leaves. It is noteworthy that although Ci varied inversely with Pn, Gs, and Tr, this may be due to enhanced photosynthetic activity and increased CO2 consumption, which is in agreement with the findings of Kubar, Muhammad Saleem et al. in their article on nitrogen fertilization with organic fertilizers [46].
The nutrient content of leaves also showed a certain pattern of change at different growth stages of apple trees. In the present experiment, total nitrogen, phosphorus, and potassium contents of leaves were higher at the young fruit and expansion stages, followed by a gradual decrease at the ripening stage. Among them, the decrease in nitrogen was particularly obvious, which might be related to the consumption of nitrogen by the leaves during the growth process. However, calcium and magnesium contents in the leaves increased significantly during expansion and maturity, especially in the NPK + O + SM treatment, which increased by 12.8% and 32.0%, respectively, compared with the control (CK). This result suggests that the addition of organic fertilizer, especially sheep manure, had a positive effect on improving the root vigor of apple trees, which in turn promoted leaf uptake of micronutrients such as calcium and magnesium in line with Kai, Takamitsu and Dinesh Adhikari, who stated that organic fertilizer inorganic fertilizer blending would increase leaf nutrient elements and further improve fruit quality [47].
Apple quality is directly related to the economic return of the orchard [48]. In their study, Usanmaz et al. mentioned that the combination of sheep manure and charcoal can be used as a soil supplement and improve fruit quality. Organic fertilizers have been shown to promote the accumulation of dry matter and sugars in the fruit, better regulating the fruit’s sugar–acid ratio and thus improving flavor [49]. The results of the study suggest that increasing organic fertilizer and replacing chemical fertilizer can significantly improve apple yield and quality [50]. The chemical fertilizer reduction and organic fertilizer addition treatment in old orchards significantly increased the proportion of high-quality fruit compared to CK, with production increases ranging from 9.9% to 20.8%. In agreement with Song, XH et al. on the effect of organic fertilizers on sweetness and acidity in pears, organic fertilizer application had a significant effect on intrinsic fruit quality indicators, particularly titratable acid content, which decreased significantly with increasing organic fertilizer application [51,52]. In addition, with the reduction in chemical fertilizers and the addition of organic fertilizers, the soluble solids content in the fruit, the redness of the fruit skin (a*), the hardness of the fruit skin, and the crispness of the flesh all showed an increasing trend, with each treatment differing significantly from CK and the NPK + O + SM treatment outperforming the others, Wen, M.et al. suggested that the apple color index could be improved in the presence of organic fertilizers [52].
Principal component analysis (PCA) is a comprehensive evaluation method that processes multiple original variable datasets through linear dimensionality reduction, transforming them into several comprehensive variables that reflect the entire dataset [53]. Given the large number of factors affecting apple growth and development, and the difficulty of a single or few factors to capture all indicator information, this paper uses PCA to evaluate the effects of different fertilizer treatments on soil fertility, yield, and quality of ‘Changfu No. 2’ orchard. The PCA results indicate that the treatment that reduces chemical fertilizer and adds organic fertilizer from sheep manure outperforms the CK treatment, with the NPK + O + SM treatment being the most effective.

5. Conclusions

Reducing chemical fertilizers and applying organic ones enhances resource efficiency and circularity in agriculture. In aging Fuji apple orchards, such practices affect soil fertility, leaf growth, and fruit yield and quality. Organic fertilizers, whether organic substrate-based (NPK + O), sheep manure-based (NPK + SM), or a combination (NPK + O + SM), improve soil structure and nutrient levels more than (CK). They also enhance leaf growth metrics like SPAD values and photosynthetic rates, with the combination treatment (NPK + O + SM) being the most effective. This treatment also optimizes fruit weight, firmness, crispness, and flavor. It significantly increases the share of high-quality fruit, yield, and revenue compared to the control. Balancing chemical and organic fertilizers, particularly incorporating organic substrate and sheep manure, emerges as the optimal strategy for sustainable orchard management.

Author Contributions

Y.Z. designed the experiments; data curation, supervision, funding acquisition, writing—review and editing; L.Z., methodology, supervision, writing—review and editing; P.W., software, methodology, writing—original draft; W.H., conceptualization, investigation, writing—review and editing; R.Y., formal analysis, methodology, resources, writing—review and editing; Q.Z., data curation, visualization; Y.J., data curation, validation. All authors have read and agreed to the published version of the manuscript.

Funding

This research was funded by Yan’an Comprehensive Experimental Station of the National Apple Industry Technology System (CARS-27).

Data Availability Statement

All data relevant to this manuscript can be obtained by contacting the corresponding author.

Conflicts of Interest

The authors declare no competing interest.

References

  1. Han:, Y.; Liu, Z.; Chen, Y.; Li, Y.; Liu, H.; Song, L.; Chen, Y. Assessing non-point source pollution in an apple-dominant basin and associated best fertilizer management based on SWAT modeling. Int. Soil Water Conserv. Res. 2023, 11, 353–364. [Google Scholar] [CrossRef]
  2. Zhao, Z.; Zheng, W.; Ma, Y.; Wang, X.; Li, Z.; Zhai, B.; Wang, Z. Responses of soil water, nitrate and yield of apple orchard to integrated soil management in Loess Plateau, China. Agric. Water Manag. 2020, 240, 106325. [Google Scholar] [CrossRef]
  3. Lyu, J.; Huang, Y.; Nie, Q.; Lu, C.; Zhang, Y.; Fu, X.; Guo, P.; Luo, P. Spatiotemporal variations and risk characteristics of potential non-point source pollution driven by LUCC in the loess plateau region, China. Front. Ecol. Evol. 2023, 11, 1253328. [Google Scholar] [CrossRef]
  4. Murphy, B. Impact of soil organic matter on soil properties—A review with emphasis on Australian soils. Soil Res. 2015, 53, 605–635. [Google Scholar] [CrossRef]
  5. Rahman, K.A.; Zhang, D. Effects of fertilizer broadcasting on the excessive use of inorganic fertilizers and environmental sustainability. Sustainability 2018, 10, 759. [Google Scholar] [CrossRef]
  6. Qian, X.; Gu, J.; Sun, W.; Li, Y.-D.; Fu, Q.-X.; Wang, X.-J.; Gao, H. Changes in the soil nutrient levels, enzyme activities, microbial community function, and structure during apple orchard maturation. Appl. Soil Ecol. 2014, 77, 18–25. [Google Scholar] [CrossRef]
  7. Vignozzi, N.; Agnelli, A.E.; Brandi, G.; Gagnarli, E.; Goggioli, D.; Lagomarsino, A.; Pellegrini, S.; Simoncini, S.; Simoni, S.; Valboa, G. Soil ecosystem functions in a high-density olive orchard managed by different soil conservation practices. Appl. Soil Ecol. 2019, 134, 64–76. [Google Scholar] [CrossRef]
  8. Moe, K.; Mg, K.W.; Win, K.K.; Yamakawa, T. Effects of combined application of inorganic fertilizer and organic manures on nitrogen use and recovery efficiencies of hybrid rice (Palethwe-1). Am. J. Plant Sci. 2017, 8, 1043–1064. [Google Scholar] [CrossRef]
  9. Jin, N.; Jin, L.; Wang, S.; Li, J.; Liu, F.; Liu, Z.; Luo, S.; Wu, Y.; Lyu, J.; Yu, J. Reduced chemical fertilizer combined with bio-organic fertilizer affects the soil microbial community and yield and quality of lettuce. Front. Microbiol. 2022, 13, 863325. [Google Scholar] [CrossRef]
  10. El Sheikha, A. Mixing manure with chemical fertilizers, why? And what is after. Nutr. Food Technol. 2016, 2, 1–5. [Google Scholar]
  11. Kusz, D. Modernization of Agriculture vs. Sustainable Agriculture. 2014. (Scientific Paper Series Economic Engineering in Management, Agriculture and Rural Development, Vol. 14, No. 1, 2014 PRINT ISSN 2284-7995, E-ISSN 2285-3952). Available online: https://www.researchgate.net/publication/261759293_MODERNIZATION_OF_AGRICULTURE_VS_SUSTAINABLE_AGRICULTURE (accessed on 10 May 2024).
  12. Liu, X.; Zhang, X.; Wang, Y.; Sui, Y.; Zhang, S.; Herbert, S.; Ding, G. Soil degradation: A problem threatening the sustainable development of agriculture in Northeast China. Plant Soil Environ. 2010, 56, 87–97. [Google Scholar] [CrossRef]
  13. Kilic, N.; Burgut, A.; Gündesli, M.A.; Nogay, G.; Ercisli, S.; Kafkas, N.E.; Ekiert, H.; Elansary, H.O.; Szopa, A. The effect of organic, inorganic fertilizers and their combinations on fruit quality parameters in strawberry. Horticulturae 2021, 7, 354. [Google Scholar] [CrossRef]
  14. Islam, M.A.; Ferdous, G.; Akter, A.; Hossain, M.M.; Nandwani, D. Effect of organic, inorganic fertilizers and plant spacing on the growth and yield of cabbage. Agriculture 2017, 7, 31. [Google Scholar] [CrossRef]
  15. Yadav, S.K.; Khokhar, U.; Sharma, S.D.; Kumar, P. Response of strawberry to organic versus inorganic fertilizers. J. Plant Nutr. 2016, 39, 194–203. [Google Scholar] [CrossRef]
  16. Cristina, G.; Camelin, E.; Tommasi, T.; Fino, D.; Pugliese, M. Anaerobic digestates from sewage sludge used as fertilizer on a poor alkaline sandy soil and on a Organic substrate substrate: Effects on tomato plants growth and on soil properties. J. Environ. Manag. 2020, 269, 110767. [Google Scholar] [CrossRef] [PubMed]
  17. Lal, B.; Sharma, S.; Meena, R.; Sarkar, S.; Sahoo, A.; Balai, R.C.; Gautam, P.; Meena, B. Utilization of byproducts of sheep farming as organic fertilizer for improving soil health and productivity of barley forage. J. Environ. Manag. 2020, 269, 110765. [Google Scholar] [CrossRef] [PubMed]
  18. Saito, B.; Seckler, M.M. Alkaline extraction of humic substances from Organic substrate applied to organic-mineral fertilizer production. Braz. J. Chem. Eng. 2014, 31, 675–682. [Google Scholar] [CrossRef]
  19. Al-Kharusi, L.M.; Elmardi, M.O.; Al-Said, F.A.J.; Al-Rawahi, S.; Abdulbassit, K.M. Effect of mineral fertilizer and organic Organic substrate on the physical characteristics of khalas and khassab fruits. Acta Hortic. 2007, 736, 497–504. [Google Scholar] [CrossRef]
  20. Chen, J.-H. The combined use of chemical and organic fertilizers and/or biofertilizer for crop growth and soil fertility. In Proceedings of the International Workshop on Sustained Management of the Soil-Rhizosphere System for Efficient Crop Production and Fertilizer Use, Bangkok, Thailand, 16–20 October 2006; pp. 1–11. [Google Scholar]
  21. Ashrafi Esfahani, A.; Niknejad, Y.; Fallah, H.; Dastan, S. Integrated management of organic manures and chemical fertilizers for enhancing paddy yield and the nutrient content of rice cultivars. Commun. Soil Sci. Plant Anal. 2019, 50, 570–585. [Google Scholar] [CrossRef]
  22. Xu, X.; Jiang, W.; Wang, G.; Ding, F.; Li, Q.; Wang, R.; Chen, X.; Shen, X.; Yin, C.; Mao, Z. Analysis of Soil Fungal Community in Aged Apple Orchards in Luochuan County, Shaanxi Province. Agriculture 2022, 13, 63. [Google Scholar] [CrossRef]
  23. Li, J.; Shangguan, Z. Empirical analysis on the influence of the Shaanxi fruit industry on regional food security. Int. J. Sustain. Dev. World Ecol. 2010, 17, 507–514. [Google Scholar] [CrossRef]
  24. Li, L.; Wang, Y.; Han, M.; Zhang, L.; Mu, Y. Physical and chemical properties of soil in apple orchards of Luochuan. J. Northwest A F Univ.-Nat. Sci. Ed. 2016, 44, 185–202. [Google Scholar]
  25. Hou, L.; Liu, Z.; Zhao, J.; Ma, P.; Xu, X. Comprehensive assessment of fertilization, spatial variability of soil chemical properties, and relationships among nutrients, apple yield and orchard age: A case study in Luochuan County, China. Ecol. Indic. 2021, 122, 107285. [Google Scholar] [CrossRef]
  26. Shi, Z.; Li, X.; Zhang, L.; Wang, Y. Impacts of farmland conversion to apple (Malus domestica) orchard on soil organic carbon stocks and enzyme activities in a semiarid loess region. J. Plant Nutr. Soil Sci. 2015, 178, 440–451. [Google Scholar] [CrossRef]
  27. Gee, G.W.; Or, D. 2.4 Particle-size analysis. In Methods of Soil Analysis: Part 4 Physical Methods; John Wiley & Sons: Hoboken, NJ, USA, 2002; Volume 5, pp. 255–293. [Google Scholar]
  28. O’Kelly, B.C. Accurate determination of moisture content of organic soils using the oven drying method. Dry. Technol. 2004, 22, 1767–1776. [Google Scholar] [CrossRef]
  29. Aon, M.; Colaneri, A., II. Temporal and spatial evolution of enzymatic activities and physico-chemical properties in an agricultural soil. Appl. Soil Ecol. 2001, 18, 255–270. [Google Scholar] [CrossRef]
  30. Jiang, C.; Johkan, M.; Hohjo, M.; Tsukagoshi, S.; Maruo, T. A correlation analysis on chlorophyll content and SPAD value in tomato leaves. HortResearch 2017, 71, 37–42. [Google Scholar]
  31. Bourne, M. Food Texture and Viscosity: Concept and Measurement; Elsevier: Amsterdam, The Netherlands, 2002. [Google Scholar]
  32. Croft, H.; Chen, J.M.; Luo, X.; Bartlett, P.; Chen, B.; Staebler, R.M. Leaf chlorophyll content as a proxy for leaf photosynthetic capacity. Glob. Chang. Biol. 2017, 23, 3513–3524. [Google Scholar] [CrossRef]
  33. Kader, A.A. Postharvest Technology of Horticultural Crops; University of California Agriculture and Natural Resources: Davis, CA, USA, 2002; Volume 3311. [Google Scholar]
  34. Taylor, S. Postharvest Handling: A Systems Approach; Academic Press: Cambridge, MA, USA, 2012. [Google Scholar]
  35. Zhang, X.; Dong, W.; Dai, X.; Schaeffer, S.; Yang, F.; Radosevich, M.; Xu, L.; Liu, X.; Sun, X. Responses of absolute and specific soil enzyme activities to long term additions of organic and mineral fertilizer. Sci. Total Environ. 2015, 536, 59–67. [Google Scholar] [CrossRef]
  36. Ji, J.; Zhang, J.; Wang, X.; Song, W.; Ma, B.; Wang, R.; Li, T.; Wang, G.; Guan, C.; Gao, X. The alleviation of salt stress on rice through increasing photosynthetic capacity, maintaining redox homeostasis and regulating soil enzyme activities by Enterobacter sp. JIV1 assisted with putrescine. Microbiol. Res. 2024, 280, 127590. [Google Scholar] [CrossRef]
  37. Zhang, X.; He, L.; Zhang, J.; Whiting, M.D.; Karkee, M.; Zhang, Q. Determination of key canopy parameters for mass mechanical apple harvesting using supervised machine learning and principal component analysis (PCA). Biosyst. Eng. 2020, 193, 247–263. [Google Scholar] [CrossRef]
  38. Raimi, A.; Adeleke, R.; Roopnarain, A. Soil fertility challenges and Biofertiliser as a viable alternative for increasing smallholder farmer crop productivity in sub-Saharan Africa. Cogent Food Agric. 2017, 3, 1400933. [Google Scholar] [CrossRef]
  39. Srivastava, A.; Singh, S.; Marathe, R. Organic citrus: Soil fertility and plant nutrition. J. Sustain. Agric. 2002, 19, 5–29. [Google Scholar] [CrossRef]
  40. Guo, L.; Wu, G.; Li, Y.; Li, C.; Liu, W.; Meng, J.; Liu, H.; Yu, X.; Jiang, G. Effects of cattle manure compost combined with chemical fertilizer on topsoil organic matter, bulk density and earthworm activity in a wheat–maize rotation system in Eastern China. Soil Tillage Res. 2016, 156, 140–147. [Google Scholar] [CrossRef]
  41. Manna, M.C.; Swarup, A.; Wanjari, R.; Mishra, B.; Shahi, D. Long-term fertilization, manure and liming effects on soil organic matter and crop yields. Soil Tillage Res. 2007, 94, 397–409. [Google Scholar] [CrossRef]
  42. Balezentiene, L.; Klimas, E. Effect of organic and mineral fertilizers and land management on soil enzyme activities. Agron. Res. 2009, 7, 191–197. [Google Scholar]
  43. Proietti, P.; Nasini, L.; Famiani, F. Effect of different leaf-to-fruit ratios on photosynthesis and fruit growth in olive (Olea europaea L.). Photosynthetica 2006, 44, 275–285. [Google Scholar] [CrossRef]
  44. Chatzistathis, T.; Chatzissavvidis, C.; Papaioannou, A.; Papadakis, I.E. Independent or Combinational Application of Sheep Manure and Litter from Indigenous Field Vegetation of Quercus sp. Influences Nutrient Uptake, Photosynthesis, Intrinsic Water Use Efficiency, and Foliar Sugar Concentrations in Olive Plants (Olea europaea L., cv.” Koroneiki”). Appl. Sci. 2023, 13, 1127. [Google Scholar] [CrossRef]
  45. Calderón-Zavala, G.; López-García, R.; Alvarado-Raya, H.E.; Jaen-Contreras, D.; Vaquera-Huerta, H. Photosynthesis, growth, and yield in strawberry with sheep manure compost and Organic substrate. Curr. Top. Agron. Sci. 2023, 3. [Google Scholar]
  46. Kubar, M.S.; Zhang, Q.; Feng, M.; Wang, C.; Yang, W.; Kubar, K.A.; Riaz, S.; Gul, H.; Samoon, H.A.; Sun, H. Growth, yield and photosynthetic performance of winter wheat as affected by co-application of nitrogen fertilizer and organic manures. Life 2022, 12, 1000. [Google Scholar] [CrossRef]
  47. Kai, T.; Adhikari, D. Effect of Organic and Chemical Fertilizer Application on Apple Nutrient Content and Orchard Soil Condition. Agriculture 2021, 11, 340. [Google Scholar] [CrossRef]
  48. Peck, G.M.; Andrews, P.K.; Reganold, J.P.; Fellman, J.K. Apple orchard productivity and fruit quality under organic, conventional, and integrated management. HortScience 2006, 41, 99–107. [Google Scholar] [CrossRef]
  49. Marzouk, H.; Kassem, H. Improving fruit quality, nutritional value and yield of Zaghloul dates by the application of organic and/or mineral fertilizers. Sci. Hortic. 2011, 127, 249–254. [Google Scholar] [CrossRef]
  50. Türkkan, Ö.Y.; Kibar, B. Effects of different organic fertilizers on plant growth, yield, quality properties and element contents in spinach. Uluslararası Tarım Yaban Hayatı Bilim. Derg. 2022, 8, 208–222. [Google Scholar] [CrossRef]
  51. Song, X.; Xie, K.; Zhao, H.; Li, Y.; Dong, C.; Xu, Y.; Shen, Q. Effects of different organic fertilizers on tree growth, yield, fruit quality, and soil microorganisms in a pear orchard. Eur. J. Hortic. Sci. 2012, 77, 204. [Google Scholar]
  52. Wen, M.; Zhang, J.; Zheng, Y.; Yi, S. Effects of Combined Potassium and Organic Fertilizer Application on Newhall Navel Orange Nutrient Uptake, Yield, and Quality. Agronomy 2021, 11, 1990. [Google Scholar] [CrossRef]
  53. Abdi, H.; Williams, L.J. Principal component analysis. Wiley Interdiscip. Rev. Comput. Stat. 2010, 2, 433–459. [Google Scholar] [CrossRef]
Figure 1. The application of reduced chemical fertilizer combined with organic manure enhances soil enzyme activity in the 0–20 cm, 20–40 cm, and 40–60 cm soil layers. Soil enzyme activities (ad) using different fertiliser treatments. (a) Alkaline phosphatase; (b) Sucrase; (c) Urease and (d) Catalase in soil using different fertiliser treatments. Data represents means ± standard deviation. Different lowercase letters in the table indicate significant differences among various treatments in the 0–20 cm, 20–40 cm, and 40–60 cm soil layers of soil enzyme activity. CK: no fertilization as the control group; NPK + O: chemical fertilizer combined with organic substrate; NPK + SM: chemical fertilizer combined with sheep manure; NPK + O + SM: a combination of chemical fertilizer, organic substrate, and sheep manure.
Figure 1. The application of reduced chemical fertilizer combined with organic manure enhances soil enzyme activity in the 0–20 cm, 20–40 cm, and 40–60 cm soil layers. Soil enzyme activities (ad) using different fertiliser treatments. (a) Alkaline phosphatase; (b) Sucrase; (c) Urease and (d) Catalase in soil using different fertiliser treatments. Data represents means ± standard deviation. Different lowercase letters in the table indicate significant differences among various treatments in the 0–20 cm, 20–40 cm, and 40–60 cm soil layers of soil enzyme activity. CK: no fertilization as the control group; NPK + O: chemical fertilizer combined with organic substrate; NPK + SM: chemical fertilizer combined with sheep manure; NPK + O + SM: a combination of chemical fertilizer, organic substrate, and sheep manure.
Agronomy 14 01398 g001
Figure 2. Effect of chemical fertilizer reduction with organic fertilizer on the relative chlorophyll content of leaves at different growth periods. Data represent means ± standard deviation. Different lowercase letters in the table indicate significant differences among various treatments in the relative SPAD content at different growth stages. CK: no fertilization as the control group; NPK + O: chemical fertilizer combined with organic substrate; NPK + SM: chemical fertilizer combined with sheep manure; NPK + O + SM: a combination of chemical fertilizer, organic substrate, and sheep manure.
Figure 2. Effect of chemical fertilizer reduction with organic fertilizer on the relative chlorophyll content of leaves at different growth periods. Data represent means ± standard deviation. Different lowercase letters in the table indicate significant differences among various treatments in the relative SPAD content at different growth stages. CK: no fertilization as the control group; NPK + O: chemical fertilizer combined with organic substrate; NPK + SM: chemical fertilizer combined with sheep manure; NPK + O + SM: a combination of chemical fertilizer, organic substrate, and sheep manure.
Agronomy 14 01398 g002
Figure 3. Effect of chemical fertilizer reduction with organic fertilizer on leaf photosynthesis of leaves at the expansion stage. Leaf photosynthetic parameters (ad) using different fertiliser treatments. (a) The photosynthetic rate; (b) the transpiration rate; (c) the stomatal conductance, and (d) intercellular carbon dioxide concentration in leaves under different fertiliser treatments. Data represent means ± standard deviation. Different lowercase letters in the table indicate significant differences among various treatments in the leaf photosynthesis of leaves at the expansion stage. CK: no fertilization as the control group; NPK + O: chemical fertilizer combined with organic substrate; NPK + SM: chemical fertilizer combined with sheep manure; NPK + O + SM: a combination of chemical fertilizer, organic substrate, and sheep manure.
Figure 3. Effect of chemical fertilizer reduction with organic fertilizer on leaf photosynthesis of leaves at the expansion stage. Leaf photosynthetic parameters (ad) using different fertiliser treatments. (a) The photosynthetic rate; (b) the transpiration rate; (c) the stomatal conductance, and (d) intercellular carbon dioxide concentration in leaves under different fertiliser treatments. Data represent means ± standard deviation. Different lowercase letters in the table indicate significant differences among various treatments in the leaf photosynthesis of leaves at the expansion stage. CK: no fertilization as the control group; NPK + O: chemical fertilizer combined with organic substrate; NPK + SM: chemical fertilizer combined with sheep manure; NPK + O + SM: a combination of chemical fertilizer, organic substrate, and sheep manure.
Agronomy 14 01398 g003
Table 1. Soil chemical properties of old orchards in Luochuan.
Table 1. Soil chemical properties of old orchards in Luochuan.
Soil Depth/(cm)0–20 cm20–40 cm40–60 cm
Soil Chemical Properties
Total nitrogen (TN) (g/kg)0.30.20.3
Total phosphorus (TP) (g/kg)0.80.60.7
Total potassium (TK) (g/kg)20.118.918.9
Available nitrogen (AN) (mg/kg)15.314.511.1
Available phosphorus (AP) (mg/kg)12.69.910.8
Available potassium (AK) (mg/kg)229221217
Organic matter (g/kg)13.712.112.3
pH8.88.68.4
Table 2. Elemental composition of organic fertilizers.
Table 2. Elemental composition of organic fertilizers.
ElementsOrganic Matter/g·kg−1pHTotal N/g·kg−1Total P/g·kg−1Total K/g·kg−1Organic Carbon/g·kg−1
Sheep manure403.68.510.82.714.0260.9
Organic substrate531.36.16.81.04.4440.3
Table 3. Timing and quantity of application of organic and chemical fertilizers.
Table 3. Timing and quantity of application of organic and chemical fertilizers.
Fertilization TimeMarch AprilJuneAugust
Fertilizer TypesOrganic Fertilizer
(kg/Each)
Chemical Fertilizer
(kg/Each)
Organic SubstrateSheep Manure
CK00000
NPK + O4000.60.80.6
NPK + SM0400.60.80.6
NPK + O + SM20200.60.80.6
CK: no fertilization as the control group; NPK + O: chemical fertilizer combined with organic substrate; NPK + SM: chemical fertilizer combined with sheep manure; NPK + O + SM: a combination of chemical fertilizer, organic substrate, and sheep manure.
Table 4. Effect of chemical fertilizer reduction with organic fertilizer on soil physical properties after apple harvesting.
Table 4. Effect of chemical fertilizer reduction with organic fertilizer on soil physical properties after apple harvesting.
TreatmentSoil Porosity (%)Soil Water Content (%)Soil Bulk Density (g/cm3)
CK48.6 ± 2.6 c11.6 ± 1.0 c1.4 ± 0.05 b
NPK + O51.9 ± 2.7 b13.8 ± 2.5 b1.3 ± 0.04 ab
NPK + SM53.3 ± 2.2 ab19.0 ± 1.2 a1.3 ± 0.04 a
NPK + O + SM54.7 ± 2.9 a19.8 ± 1.2 a1.3 ± 0.03 a
Data represents means ± standard deviation. Different lowercase letters in the table indicate significant differences among various treatments in the physical properties of soil after apple harvest. (p < 0.05). CK: no fertilization as the control group; NPK + O: chemical fertilizer combined with organic substrate; NPK + SM: chemical fertilizer combined with sheep manure; NPK + O + SM: a combination of chemical fertilizer, organic substrate, and sheep manure.
Table 5. Effect of chemical fertilizer reduction with organic fertilizer on soil chemical properties after apple harvesting.
Table 5. Effect of chemical fertilizer reduction with organic fertilizer on soil chemical properties after apple harvesting.
TreatmentCKNPK + ONPK + SMNPK + O + SM
Soil Chemical Properties
Total nitrogen (TN) (g/kg)0.3 ± 0.04 b0.3 ± 0.06 ab0.4 ± 0.05 a0.4 ± 0.03 a
Total phosphorus (TP) (g/kg)0.7 ± 0.06 b0.7 ± 0.03 ab0.7 ± 0.08 ab0.7 ± 0.09 a
Total potassium (TK) (g/kg)18.0 ± 0.5 b18.8 ± 0.7 a18.9 ± 0.8 a19.7 ± 0.4 a
Available nitrogen (AN) (mg/kg)13.3 ± 0.5 b13.8 ± 1.1 ab14.0 ± 0.8 ab14.6 + 1.04 a
Available phosphorus (AP) (mg/kg)15.1 ± 0.8 c16.1 ± 0.4 ab16.5 ± 1.2 a16.6 ± 1.1 a
Available potassium (AK) (mg/kg)193.4 ± 28.5 b222.7 ± 43.9 ab233.6 ± 32.6 a251.5 ± 22.5 a
Organic matter (g·kg−1)10.0 ± 1.6 b10.7 ± 1.5 ab11.3 ± 0.9 a11.9 ± 1.0 a
pH8.3 ± 0.2 a8.4 ± 0.2 a8.4 ± 0.2 a8.3 ± 0.2 a
Data represents means ± standard deviation. Different lowercase letters in the table indicate significant differences among various treatments in the chemical properties of soil after apple harvest. (p < 0.05). CK: no fertilization as the control group; NPK + O: chemical fertilizer combined with organic substrate; NPK + SM: chemical fertilizer combined with sheep manure; NPK + O + SM: a combination of chemical fertilizer, organic substrate, and sheep manure.
Table 6. Content of each nutrient element in apple leaves at different growth periods.
Table 6. Content of each nutrient element in apple leaves at different growth periods.
Period of GrowthSample NameNutrient Elements
NPKCaMg
Young fruit stageCK33.4 ± 0.1 d1.4 ± 0.1 c12.7 ± 0.5 c14.0 ± 1.6 b2.4 ± 0.3 c
NPK + O34.2 ± 1.0 c1.5 ± 0.2 b12.9 ± 0.8 b14.6 ± 0.8 b2.3 ± 0.3 c
NPK + SM35.1 ± 0.7 b1.5 ± 0.2 a13.0 ± 0.6 b14.8 ± 0.8 b2.6 ± 0.2 b
NPK + O + SM36.0 ± 0.4 a1.6 ± 0.2 ab13.2 ± 1.0 a15.1 ± 0.8 a2.6 ± 0.2 a
Expansion periodCK31.0 ± 4.1 ab1.8 ± 0.3 c12.5 ± 1.2 d14.4 ± 1.1 b2.4 ± 0.1 c
NPK + O28.2 ± 1.8 a1.9 ± 0.3 c13.2 ± 1.7 c13.7 ± 2.1 b2.5 ± 0.3 ab
NPK + SM31.4 ± 3.2 b1.9 ± 0.2 ab15.4 ± 1.8 a14.8 ± 0.8 b2.5 ± 0.3 ab
NPK + O + SM32.9 ± 2.3 b1.9 ± 0.2 a14.1 ± 1.9 b16.3 ± 1.2 a2.7 ± 0.2 a
MaturityCK24.0 ± 1.9 b1.8 ± 0.1 c12.8 ± 1.2 c15.4 ± 0.7 b2.6 ± 0.2 abc
NPK + O23.1 ± 2.0 ab1.9 ± 0.1 ab15.8 ± 2.0 b15.9 ± 1.2 b2.7 ± 0.3 ab
NPK + SM22.6 ± 1.7 b1.9 ± 0.2 abc16.8 ± 1.5 ab16.3 ± 1.2 ab2.6 ± 0.2 ab
NPK + O + SM25.7 ± 1.4 a2.1 ± 0.1 a16.8 ± 1.0 a16.8 ± 0.7 a2.7 ± 0.2 a
Data represent means ± standard deviation. Different lowercase letters in the table indicate significant differences among various treatments in the content of each nutrient element in apple leaves at different growth periods. CK: no fertilization as the control group; NPK + O: chemical fertilizer combined with organic substrate; NPK + SM: chemical fertilizer combined with sheep manure; NPK + O + SM: a combination of chemical fertilizer, organic substrate, and sheep manure.
Table 7. Effect of chemical fertilizer reduction with organic fertilizer on fruit appearance quality.
Table 7. Effect of chemical fertilizer reduction with organic fertilizer on fruit appearance quality.
TreatmentsSingle Fruit
Mass/g
Longitudinal
Diameter/mm
Horizontal
Diameter/mm
Fruit Shape
Index
CIELab
L*a*b*
CK251.5 ± 2.3 b69.7 ± 1.8 b80.8 ± 0.9 b0.9 ± 0.03 a53.1 ± 2.2 a11.6 ± 1.7 a23.3 ± 1.6 c
NPK + O253.4 ± 4.3 b71.0 ± 2.6 b81.1 ± 1.0 b0.9 ± 0.05 a50.3 ± 2.4 b12.4 ± 2.5 a23.0 ± 2.8 b
NPK + SM281.6 ± 3.1 a74.4 ± 2.9 a83.9 ± 3.0 a0.9 ± 0.03 a51.9 ± 2.6 ab15.5 ± 2.7 a21.0 ± 1.3 a
NPK + O + SM286.5 ± 2.0 a74.7 ± 2.2 a85.3 ± 1.6 a0.9 ± 0.04 b49.3 ± 1.1 c16.8 ± 1.6 a21.6 ± 1.5 ab
Data represent means ± standard deviation. Different lowercase letters in the table indicate significant differences among various treatments on fruit appearance quality (p < 0.05). CK: no fertilization as the control group; NPK + O: chemical fertilizer combined with organic substrate; NPK + SM: chemical fertilizer combined with sheep manure; NPK + O + SM: a combination of chemical fertilizer, organic substrate, and sheep manure.
Table 8. Effect of chemical fertilizer reduction with organic fertilizer on the intrinsic quality of fruits.
Table 8. Effect of chemical fertilizer reduction with organic fertilizer on the intrinsic quality of fruits.
TreatmentsPericarp
Hardness/N
Pericarp Ductility
/mm
Pulp Hardness
/(kg·cm−2)
Pulp Brittleness
/(kg·s−1)
Soluble
Soils/%
Titratable
Acid/%
CK8.4 ± 0.8 b105.4 ± 1.0 c0.2 ± 0.03 c4.4 ± 0.8 b14.0 ± 1.2 b0.5 ± 0.1 b
NPK + O8.9 ± 0.5 b101.5 ± 1.7 bc0.2 ± 0.01 bc4.7 ± 0.1 ab14.3 ± 0.7 b0.4 ± 0.2 a
NPK + SM9.2 ± 1.6 a100.6 ± 0.8 ab0.2 ± 0.02 ab4.8 ± 0.3 ab15.6 ± 0.8 a0.4 ± 0.2 a
NPK + O + SM9.5 ± 1.2 a102.1 ± 0.9 a0.3 ± 0.03 a4.9 ± 0.1 a15.6 ± 1.4 a0.4 ± 0.2 a
Data represent means ± standard deviation. Different lowercase letters in the table indicate significant differences among various treatments on fruit intrinsic quality (p < 0.05). CK: no fertilization as the control group; NPK + O: chemical fertilizer combined with organic substrate; NPK + SM: chemical fertilizer combined with sheep manure; NPK + O + SM: a combination of chemical fertilizer, organic substrate, and sheep manure.
Table 9. Effect of chemical fertilizer reduction with organic fertilizer on the economic efficiency of orchards.
Table 9. Effect of chemical fertilizer reduction with organic fertilizer on the economic efficiency of orchards.
TreatmentsFruit Grading (%)Percentage of
Good
Fruit/Percent
Yield
(kg·hm−2)
Yield
Increase/
Percent
Gross Product
(Million hm−2)
Value Added of
Income
(Million·hm−2)
>80 mm75–80 mm<75 mm
CK65.717.31765.729,583.3 ± 474.8 b-14.8-
NPK + O70.520.810.770.532,513.3 ± 275.9 ab9.916.31.5
NPK + SM7519.35.77533,331.3 ± 143.9 ab12.716.71.9
NPK + O + SM80.415.24.480.435,750 ± 180.5 a20.817.93.1
Data represent means ± standard deviation. Different lowercase letters in the table indicate significant differences among various treatments on the economic efficiency of orchards (p < 0.05). CK: no fertilization as the control group; NPK + O: chemical fertilizer combined with organic substrate; NPK + SM: chemical fertilizer combined with sheep manure; NPK + O + SM: a combination of chemical fertilizer, organic substrate, and sheep manure.
Table 10. Component matrix of indicators under different fertilizer levels.
Table 10. Component matrix of indicators under different fertilizer levels.
ItemsIndexPrincipal Component 1Principal Component 2Principal Component 3Principal Component 4Principal Component 5Principal Component 6
groundMoisture content1.00.10.0−0.10.00.0
Capacity0.90.10.00.20.10.1
Porosity1.00.20.0−0.10.00.0
Total nitrogen1.00.10.00.10.10.0
Quick-acting nitrogen0.90.20.0−0.10.10.1
Quick-acting phosphorus (QP)0.90.30.10.00.10.1
Quick-acting potassium1.00.20.0−0.10.00.0
Organic matter0.90.20.1−0.10.10.0
Alkaline phosphatase activity1.00.20.0−0.10.10.0
Sucrase activity0.0−0.60.40.00.40.2
Urease activity−0.10.00.8−0.30.00.2
Catalase activity−0.40.3−0.60.10.10.0
gainsFruit weight per fruit−0.10.40.7−0.2−0.2−0.2
Longitudinal diameter0.5−0.6−0.4−0.20.0−0.1
Diameter of the crossbar−0.80.30.00.20.20.2
Pericarp hardness−0.1−0.70.2−0.20.3−0.1
Pericarp extensibility−0.80.40.20.10.10.3
Flesh firmness0.0−0.30.10.0−0.80.2
Flesh brittleness−0.80.50.20.10.10.2
Soluble solids−0.40.20.1−0.10.0−0.8
Titratable acid0.60.00.20.70.00.0
Throughput0.2−0.30.40.70.0−0.2
Eigenvalue (math.)10.92.52.21.31.11.0
Contribution rate46.810.39.87.56.84.8
Cumulative contribution rate46.857.166.974.481.286.0
Table 11. Matrix of components of each index at different fertilization levels.
Table 11. Matrix of components of each index at different fertilization levels.
TreatmentsF1F2F3F4F5F6Aggregate ScoreRankings
CK−1.3−0.30.20.3−0.10.1−0.74
NPK + SM−0.40.3−0.3−0.30.4−0.1−0.23
NPK + O0.50.40.2−0.4−0.3−0.50.32
NPK + O + SM1.1−0.5−0.20.4−0.10.50.61
Disclaimer/Publisher’s Note: The statements, opinions and data contained in all publications are solely those of the individual author(s) and contributor(s) and not of MDPI and/or the editor(s). MDPI and/or the editor(s) disclaim responsibility for any injury to people or property resulting from any ideas, methods, instructions or products referred to in the content.

Share and Cite

MDPI and ACS Style

Zhuang, L.; Wang, P.; Hu, W.; Yang, R.; Zhang, Q.; Jian, Y.; Zou, Y. A Comprehensive Study on the Impact of Chemical Fertilizer Reduction and Organic Manure Application on Soil Fertility and Apple Orchard Productivity. Agronomy 2024, 14, 1398. https://doi.org/10.3390/agronomy14071398

AMA Style

Zhuang L, Wang P, Hu W, Yang R, Zhang Q, Jian Y, Zou Y. A Comprehensive Study on the Impact of Chemical Fertilizer Reduction and Organic Manure Application on Soil Fertility and Apple Orchard Productivity. Agronomy. 2024; 14(7):1398. https://doi.org/10.3390/agronomy14071398

Chicago/Turabian Style

Zhuang, Liping, Pengli Wang, Wen Hu, Ruyi Yang, Qiqi Zhang, Yuyu Jian, and Yangjun Zou. 2024. "A Comprehensive Study on the Impact of Chemical Fertilizer Reduction and Organic Manure Application on Soil Fertility and Apple Orchard Productivity" Agronomy 14, no. 7: 1398. https://doi.org/10.3390/agronomy14071398

APA Style

Zhuang, L., Wang, P., Hu, W., Yang, R., Zhang, Q., Jian, Y., & Zou, Y. (2024). A Comprehensive Study on the Impact of Chemical Fertilizer Reduction and Organic Manure Application on Soil Fertility and Apple Orchard Productivity. Agronomy, 14(7), 1398. https://doi.org/10.3390/agronomy14071398

Note that from the first issue of 2016, this journal uses article numbers instead of page numbers. See further details here.

Article Metrics

Back to TopTop