A Quadruple Mutant of OsPRP1 Controls Pollen Fertility by Regulating the Expression of Anther Development-Related Genes in Oryza sativa L.
Abstract
1. Introduction
2. Materials and Methods
2.1. Sequence Analysis
2.2. Plant Materials and Growth Conditions
2.3. Phenotypic Characterization
2.4. RNA Extraction and qRT-PCR
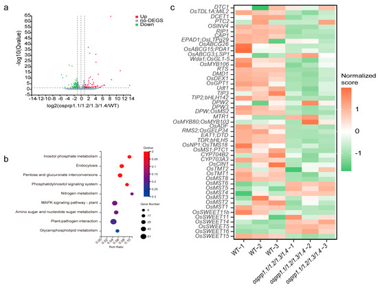
2.5. RNA-Seq Analysis of Anthers in osprp1.2/1.3/1.4
3. Results
3.1. Protein Structure Analysis of OsPRP1
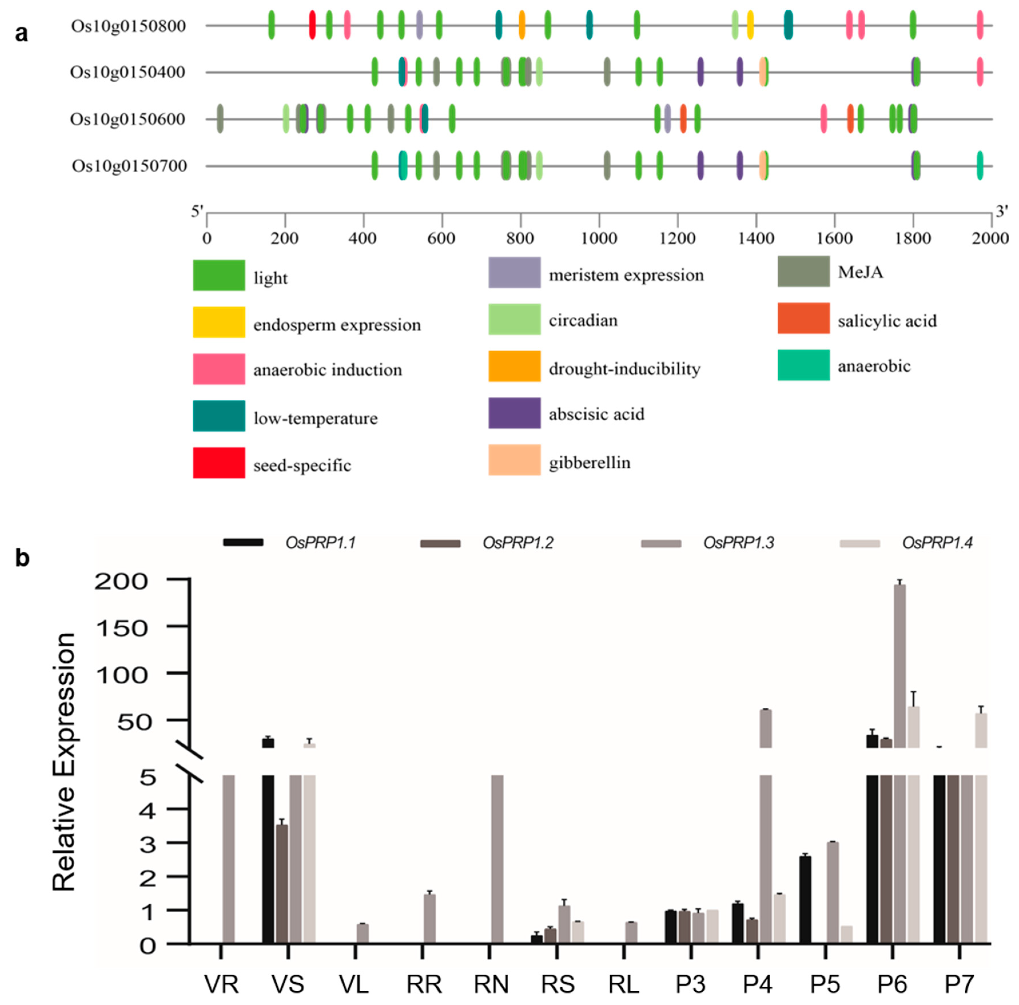
3.2. Expression Pattern Analysis of OsPRP1 in Rice
3.3. Mutant Creation and Characterization
3.4. Quadruple Mutation of OsPRP1 Leads to a Decrease in Plant Height
3.5. Functional Redundancy in Different Copy Variants of OsPRP1 and Abnormal Pollen Development in Quadruple Mutants
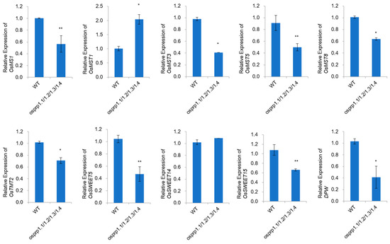
3.6. Anther Development-Related Genes Were Down-Regulated in OsPRP1 Quadruple Mutant
4. Discussion
5. Conclusions
Supplementary Materials
Author Contributions
Funding
Data Availability Statement
Acknowledgments
Conflicts of Interest
References
- Zhan, X.; Wang, B.; Li, H.; Liu, R.; Kalia, R.K.; Zhu, J.K.; Chinnusamy, V. Arabidopsis Proline-rich Protein Important for Development and Abiotic Stress Tolerance is Involved in MicroRNA Biogenesis. Proc. Natl. Acad. Sci. USA 2012, 109, 18198–18203. [Google Scholar] [CrossRef]
- Boron, A.K.; Van, O.J.; Markakis, M.N.; Mouille, G.; Adriaensen, D.; Verbelen, J.P.; Höfte, H.; Vissenberg, K. Proline-rich Protein Like PRPL1 Controls Elongation of Root Hairs in Arabidopsis thaliana. J. Exp. Bot. 2014, 65, 5485–5495. [Google Scholar] [CrossRef]
- Bernhardt, C.; Tierney, M.L. Expression of AtPRP3, a Proline-rich Structural Cell Wall Protein from Arabidopsis, Is Regulated by Cell-type-specific Developmental Pathways Involved in Root Hair Formation. Plant Physiol. 2000, 122, 705–714. [Google Scholar] [CrossRef]
- Raab, S.; Hoth, S. A Mutation in the AtPRP4 Splicing Factor Gene Suppresses Seed Development in Arabidopsis. Plant Biol. 2007, 9, 447–452. [Google Scholar] [CrossRef]
- Xu, W.L.; Huang, G.Q.; Wang, X.L.; Wang, H.; Li, X.B. Molecular Characterization and Expression Analysis of Five Novel Genes Encoding Proline-rich Proteins in Cotton (Gossypium hirsutum). Prog. Biochem. Biophys. 2007, 34, 509–517. [Google Scholar]
- Xu, W.L.; Zhang, D.J.; Wu, Y.F.; Qin, L.X.; Huang, G.Q.; Li, J.; Li, L.; Li, X.B. Cotton PRP5 Gene Encoding a Proline-rich Protein is Involved in Fiber Development. Plant Mol. Biol. 2013, 82, 353–365. [Google Scholar] [CrossRef]
- Rajasheker, G.; Nagaraju, M.; Varghese, R.P.; Jalaja, N.; Somanaboina, A.K.; Singam, P.; Ramakrishna, C.; Penna, S.; Sreenivasulu, N.; Kavi, K.P.B. Identification and Analysis and Proline-rich Proteins and Hybrid Proline-rich Protein Super Family Genes from Sorghum Bicolor and their Expression Patterns to Abiotic Stress and Zinc Stimuli. Front. Plant Sci. 2022, 13, 952732. [Google Scholar] [CrossRef]
- Wang, R.; Chong, K.; Wang, T. Divergence in Spatial Expression Patterns and in Response to Stimuli of Tandem-repeat Paralogues Encoding a Novel Class of Proline-rich Proteins in Oryza sativa. J. Exp. Bot. 2006, 57, 2887–2897. [Google Scholar] [CrossRef][Green Version]
- Nawaz, G.; Han, Y.; Usman, B.; Liu, F.; Qin, B.X.; Li, R.B. Knockout of OsPRP1, a Gene Encoding Proline Rich Protein, Confers Enhanced Cold Sensitivity in Rice (Oryza sativa L.) at the Seedling Stage. Biosci. Biotechnol. Biochem. 2019, 9, 254. [Google Scholar] [CrossRef]
- Gothandam, K.M.; Nalini, E.; Karthikeyan, S.; Shin, J.S. OsPRP3, a Flower Dpecific Proline-rich Protein of Rice, Determines Extracellular Matrix Structure of Floral Organs and Its Overexpression Confers Cold-tolerance. Plant Mol. Biol. 2010, 72, 125–135. [Google Scholar] [CrossRef]
- Hong, L.L.; Tang, D.; Zhu, K.M.; Wang, K.J.; Li, M.; Cheng, Z.K. Somatic and Reproductive Cell Development in Rice Anther Is Regulated by a Putative Glutaredoxin. Plant Cell 2012, 24, 577–588. [Google Scholar] [CrossRef]
- Li, N.; Zhang, D.S.; Liu, H.S.; Yin, C.S.; Li, X.X.; Liang, W.Q.; Yuan, Z.; Xu, B.; Chu, H.W.; Wang, J.; et al. The Rice Tapetum Degeneration Retardation Gene Is Required for Tapetum Degradation and Anther Development. Plant Cell 2006, 18, 2999–3014. [Google Scholar] [CrossRef]
- Niu, N.N.; Liang, W.Q.; Yang, X.J.; Jin, W.L.; Wilson, Z.A.; Hu, J.P.; Zhang, D.B. EAT1 Promotes Tapetal Cell Death by Regulating Aspartic Proteases during Male Reproductive Development in Rice. Nat. Commun. 2013, 4, 1445. [Google Scholar] [CrossRef]
- Yang, X.J.; Wu, D.; Shi, J.X.; He, Y.; Pinot, F.; Grausem, B.; Yin, C.S.; Zhu, L.; Chen, M.J.; Luo, Z.J.; et al. Rice CYP703A3, a Cytochrome P450 Hydroxylase, is Essential for Development of Anther Cuticle and Pollen Exine. J. Integr. Plant Biol. 2014, 56, 979–994. [Google Scholar] [CrossRef]
- Li, H.; Pinot, F.; Sauveplane, V.; Werck-Reichhart, D.; Diehl, P.; Schreiber, L.; Franke, R.; Zhang, P.; Chen, L.; Gao, Y.W.; et al. Cytochrome P450 Family Member CYP704B2 Catalyzes the ω-Hydroxylation of Fatty Acids and Is Required for Anther Cutin Biosynthesis and Pollen Exine Formation in Rice. Plant Cell 2010, 22, 173–190. [Google Scholar] [CrossRef]
- Zhang, H.H.; Wang, M.L.; Li, Y.Q.; Yan, W.; Chang, Z.Y.; Ni, H.L.; Chen, Z.F.; Wu, J.X.; Xu, C.J.; Deng, X.W.; et al. GDSL Esterase/Lipases OsGELP34 and OsGELP110/OsGELP115 are Essential for Rice Pollen Development. J. Integr. Plant Biol. 2020, 62, 1574–1593. [Google Scholar] [CrossRef]
- Yang, Z.F.; Liu, L.; Sun, L.P.; Yu, P.; Zhang, P.P.; Abbas, A.; Xiang, X.J.; Wu, W.X.; Zhang, Y.X.; Cao, L.Y.; et al. OsMS1 Functions as a Transcriptional Activator to Regulate Programmed. Plant Mol. Biol. 2019, 99, 175–191. [Google Scholar] [CrossRef]
- Zhang, X.; Zhao, G.C.; Tan, Q.; Yuan, H.; Betts, N.; Zhu, L.; Zhang, D.B.; Liang, W.Q. Rice Pollen Aperture Formation is Regulated by the Interplay Between OsINP1 and OsDAF1. Nat. Plants 2020, 6, 394–403. [Google Scholar] [CrossRef]
- Chen, M.L.; Xu, J.; Devis, D.; Shi, J.X.; Ren, K.; Searle, I.; Zhang, D.B. Origin and Functional Prediction of Pollen Allergens in Plants. Plant Physiol. 2016, 172, 341–357. [Google Scholar] [CrossRef]
- Jiang, S.Y.; Jasmin, P.X.H.; Ting, Y.Y.; Ramachandran, S. Genome-wide Identification and Molecular Characterization of Ole_e_I, Allerg_1 and Allerg_2 Domain-containing Pollen-Allergen-like Genes in Oryza sativa. DNA Res. 2005, 12, 167–179. [Google Scholar] [CrossRef]
- Robert, X.; Gouet, P. Deciphering Key Features in Protein Structures with the New ENDscript Server. Nucleic Acids Res. 2014, 42, W320–W324. [Google Scholar] [CrossRef]
- Lescot, M.; Déhais, P.; Thijs, G.; Marchal, K.; Moreau, Y.; Van de Peer, Y.; Rouzé, P.; Rombauts, S. PlantCARE: A Database of Plant Cis-acting Regulatory Elements and a Portal to Tools for in Silico Analysis of Promoter Sequences. Nucleic Acids Res. 2002, 30, 325–327. [Google Scholar] [CrossRef]
- Buchfink, B.; Reuter, K.; Drost, H.G. Sensitive Protein Alignments at Tree-of-life Scale using DIAMOND. Nat. Methods 2021, 18, 366–368. [Google Scholar] [CrossRef]
- Letunic, I.; Bork, P. 20 Years of the SMART Protein Domain Annotation Resource. Nucleic Acids Res. 2018, 46, 493–496. [Google Scholar] [CrossRef]
- Tamura, K.; Stecher, G.; Kumar, S. MEGA 11: Molecular Evolutionary Genetics Analysis Version 11. Mol. Biol. Evol. 2021, 38, 3022–3027. [Google Scholar] [CrossRef]
- Letunic, I.; Bork, P. Interactive Tree of Life (iTOL) v5: An Online Tool for Phylogenetic Tree Display and Annotation. Nucleic Acids Res. 2021, 49, W293–W296. [Google Scholar] [CrossRef]
- Gu, Z.G.; Gu, L.; Eils, R.; Schlesner, M.; Brors, B. Circlize Implements and Enhances Circular Visualization in R. Bioinformatics 2014, 30, 2811–2812. [Google Scholar] [CrossRef]
- Ma, X.L.; Zhang, Q.Y.; Zhu, Q.L.; Liu, W.; Chen, Y.; Qiu, R.; Wang, B.; Yang, Z.F.; Li, H.Y.; Lin, Y.R.; et al. A Robust CRISPR/Cas9 System for Convenient, High-Efficiency Multiplex Genome Editing in Monocot and Dicot Plants. Mol. Plant 2015, 8, 1274–1284. [Google Scholar] [CrossRef]
- Zhang, B.D.; Luo, X.; Zhu, L. Cytological Analysis and Genetic Control of Rice Anther Development. J. Genet. Genom. 2011, 38, 379–390. [Google Scholar] [CrossRef]
- Zhou, Y.B.; Liu, H.; Zhou, X.C.; Yan, Y.Z.; Du, C.Q.; Li, Y.X.; Liu, D.R.; Zhang, C.S.; Deng, X.L.; Tang, D.Y.; et al. Over-expression of a Fungal NADP(H)-dependent Glutamate Dehydrogenase PcGDH Improves Nitrogen Assimilation and Growth Quality in Rice. Mol. Breed. 2014, 34, 335–349. [Google Scholar] [CrossRef]
- Wyatt, R.E.; Nagao, R.T.; Key, J.L. Patterns of Soybean Proline-rich Protein Gene Expression. Plant Cell 1992, 4, 99–110. [Google Scholar]
- Fowler, T.J.; Bernhardt, C.; Tierney, M.L. Characterization and Expression of Four Proline-rich Cell Wall Protein Genes in Arabidopsis Encoding Two Distinct Subsets of Multiple Domain Proteins. Plant Physiol. 1999, 121, 1081–1091. [Google Scholar] [CrossRef]
- Luo, H.; Lee, J.Y.; Hu, Q.; Nelson-Vasilchik, K.; Eitas, T.K.; Lickwar, C.; Kausch, A.P.; Chandlee, J.M.; Hodges, T.K. RTS, a Rice Anther-specific Gene Is Required for Male Fertility and Its Promoter Sequence Directs Tissue-specific Gene Expression in Different Plant Species. Plant Mol. Biol. 2006, 62, 397–408. [Google Scholar] [CrossRef]
- Oliver, S.N.; Van-Dongen, J.T.; Alfred, S.C.; Mamun, E.A.; Zhao, X.C.; Saini, H.S.; Fernandes, S.F.; Blanchard, C.L.; Sutton, B.G.; Geigenberger, P.; et al. Cold-induced Repression of the Rice Anther-specific Cell Wall Invertase Gene OSINV4 Is Correlated with Sucrose Accumulation and Pollen Sterility. Plant Cell Environ. 2005, 28, 1534–1551. [Google Scholar] [CrossRef]
- Mamun, E.A.; Alfred, S.; Cantrill, L.C.; Overall, R.L.; Sutton, B.G. Effects of Chilling on Male Gametophyte Development in Rice. Cell Biol. Int. 2006, 30, 583–591. [Google Scholar] [CrossRef]
- Slewinski, T.-L. Diverse Functional Roles of Monosaccharide Transporters and their Homologs in Vascular Plants: A Physiological Perspective. Mol. Plant 2011, 4, 641–662. [Google Scholar] [CrossRef]
- Klepek, Y.S.; Geiger, D.; Stadler, R.; Klebl, F.; Landouar-Arsivaud, L.; Lemoine, R.; Hedrich, R.; Sauer, N. Arabidopsis POLYOL TRANSPORTER5, a New Member of the Monosaccharide Transporter-Like Superfamily, Mediates H+-Symport of Numerous Substrates, Including myo-Inositol, Glycerol, and Ribose. Plant Cell 2005, 17, 204–218. [Google Scholar] [CrossRef]
- Turgeon, R.; Medville, R. Phloem Loading. A Reevaluation of the Relationship between Plasmodesmatal Frequencies and Loading Strategies. Plant Physiol. 2004, 136, 3795–3803. [Google Scholar] [CrossRef]
- Toyofuku, K.; Kasahara, M.; Yamaguchi, J. Characterization and Expression of Monosaccharide Transporters (OsMSTs) in Rice. Plant Cell Physiol. 2000, 41, 940–947. [Google Scholar] [CrossRef]
- Zhang, H.; Liang, W.Q.; Yang, X.J.; Luo, X.; Jiang, N.; Ma, H.; Zhang, B.D. Carbon Starved Anther Encodes a MYB Domain Protein That Regulates Sugar Partitioning Required for Rice Pollen Development. Plant Cell 2010, 22, 672–689. [Google Scholar] [CrossRef]
- Wu, L.Y.; Jing, X.H.; Zhang, B.L.; Chen, S.J.; Xu, R.; Duan, P.G.; Zou, D.N.; Huang, S.J.; Zhou, T.B.; An, C.C.; et al. A Natural Allele of OsMS1 Responds to Temperature Changes and Confers Thermosensitive Genic Male Sterility. Nat. Commun. 2022, 13, 2055. [Google Scholar] [CrossRef]






| Mutants | Target | CCTCGAGGACTAGTTCTCCTCGG | Mutation |
| osprp1.1/1.2/1.3/1.4 | OsPRP1.4 | CCTCGAGGACTAGT--TCCTCGG | −2 bp * |
| OsPRP1.3 | deletion 53 bp | −53 bp # | |
| OsPRP1.2 | CCTCGAGGACTAGT--TCCTCGG | −2 bp * | |
| OsPRP1.1 | CCTCGAGGACTA----TCCTCGG | −4 bp * | |
| osprp1.2/1.3/1.4 | OsPRP1.4 | CCTCGAGGACTAGT--TCCTC | −2 bp * |
| OsPRP1.3 | CCTCGAGG---------TCCTCGG | −8 bp * | |
| OsPRP1.2 | CCTCGAGGACTAGTTC-CCTCGG | −1 bp * | |
| OsPRP1.1 | CCTCGAGGAC------TCCTCGG | −6 bp | |
| osprp1.1/1.2 | OsPRP1.4 | CCTCGAGGACTAGT-CTCCTCGG | −1 bp |
| OsPRP1.3 | C-----------------CTCGG | −17 bp | |
| OsPRP1.2 | CCTCGAGGACTAGTTCTCCTCGG | WT | |
| OsPRP1.1 | CCTCGAGGACTAGTTCTCCTCGG | WT | |
| osprp1.4 | OsPRP1.4 | CCTCGAGGACTAG-TCTCCTCGG | −1 bp * |
| OsPRP1.3 | CCTCGAGGACTAGTTCTCCTCGG | WT | |
| OsPRP1.2 | CCTCGAGGACTAGTTCTCCTCGG | WT | |
| OsPRP1.1 | CCTCGAGGACTAGTTCTCCTCGG | WT | |
| osprp1.3 | OsPRP1.4 | CCTCGAGGACTAGTTCTCCTCGG | WT |
| OsPRP1.3 | C-----------------CTCGG | −17 bp * | |
| OsPRP1.2 | CCTCGAGGACTAGTTCTCCTCGG | WT | |
| OsPRP1.1 | CCTCGAGGACTAGTTCTCCTCGG | WT | |
| osprp1.2 | OsPRP1.4 | WT//CCTCGAGGACTAGT-CTCCTCGG | WT//−1 bp |
| OsPRP1.3 | CCTCGAGGACTAGTTCTCCTCGG | WT | |
| OsPRP1.2 | CCTCGAGGACTAGTTC-CCTCGG | −1 bp * | |
| OsPRP1.1 | CCTCGAGGA------CTCCTCGG | −6 bp |
Disclaimer/Publisher’s Note: The statements, opinions and data contained in all publications are solely those of the individual author(s) and contributor(s) and not of MDPI and/or the editor(s). MDPI and/or the editor(s) disclaim responsibility for any injury to people or property resulting from any ideas, methods, instructions or products referred to in the content. |
© 2024 by the authors. Licensee MDPI, Basel, Switzerland. This article is an open access article distributed under the terms and conditions of the Creative Commons Attribution (CC BY) license (https://creativecommons.org/licenses/by/4.0/).
Share and Cite
Qiu, M.; Hu, Z.; Li, B.; Song, S.; Li, Y.; Li, L.; Gong, M.; Wang, J.; Li, L. A Quadruple Mutant of OsPRP1 Controls Pollen Fertility by Regulating the Expression of Anther Development-Related Genes in Oryza sativa L. Agronomy 2024, 14, 1323. https://doi.org/10.3390/agronomy14061323
Qiu M, Hu Z, Li B, Song S, Li Y, Li L, Gong M, Wang J, Li L. A Quadruple Mutant of OsPRP1 Controls Pollen Fertility by Regulating the Expression of Anther Development-Related Genes in Oryza sativa L. Agronomy. 2024; 14(6):1323. https://doi.org/10.3390/agronomy14061323
Chicago/Turabian StyleQiu, Mudan, Zhongxiao Hu, Bin Li, Shufeng Song, Yixing Li, Lei Li, Mengmeng Gong, Jianlong Wang, and Li Li. 2024. "A Quadruple Mutant of OsPRP1 Controls Pollen Fertility by Regulating the Expression of Anther Development-Related Genes in Oryza sativa L." Agronomy 14, no. 6: 1323. https://doi.org/10.3390/agronomy14061323
APA StyleQiu, M., Hu, Z., Li, B., Song, S., Li, Y., Li, L., Gong, M., Wang, J., & Li, L. (2024). A Quadruple Mutant of OsPRP1 Controls Pollen Fertility by Regulating the Expression of Anther Development-Related Genes in Oryza sativa L. Agronomy, 14(6), 1323. https://doi.org/10.3390/agronomy14061323

