Effects of Nopal and Goat Manure on Soil Fertility and the Growth, Yield and Physical Characteristics of Tomato and Carrot Plants
Abstract
1. Introduction
2. Materials and Methods
2.1. Characterization of the Vegetal Material
2.1.1. Conditioning of the Plant Material
2.1.2. Physicochemical Analysis of the Nopal Cladode Soil and Goat Manure
2.1.3. Germination Test
2.1.4. Experiment on Plant Growth
2.2. Characterization of Products Obtained from Plants
2.2.1. Physical Characteristics of Plant Growth
2.2.2. Production Characteristics
2.2.3. Statistical Analysis
3. Results and Discussion
3.1. Physicochemical Characteristics of Nopal Cladodes, Soil and Goat Manure
3.2. Germination Test
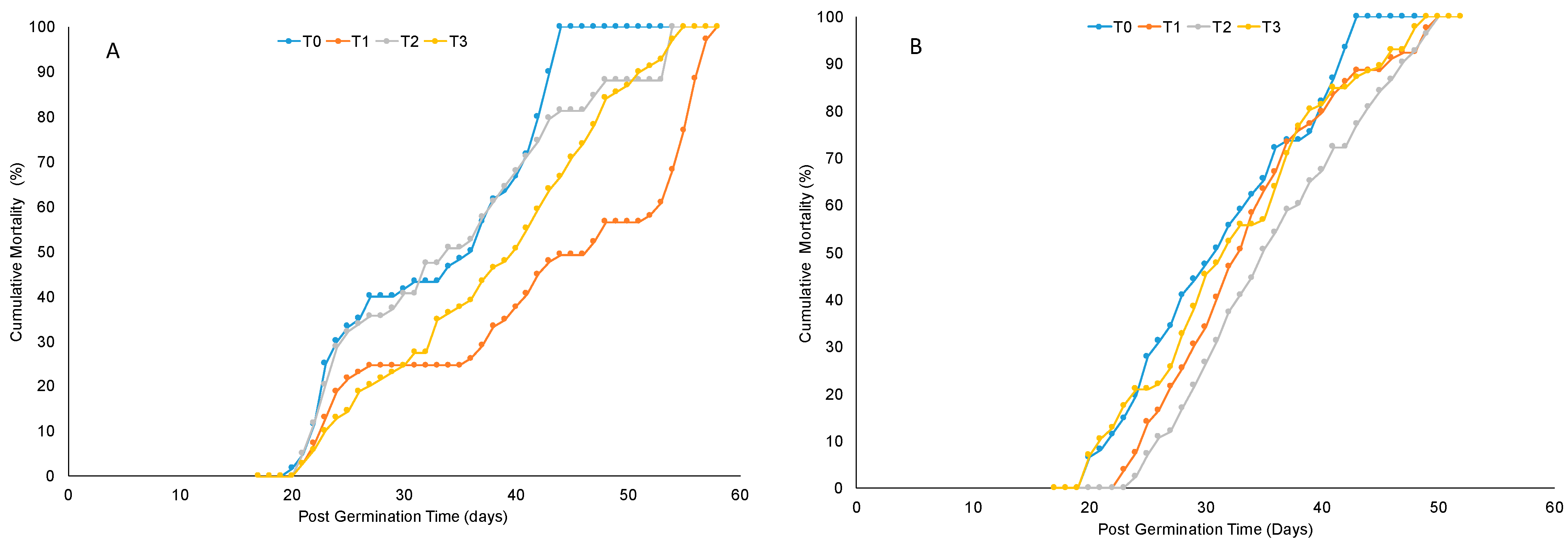
3.3. Resistance to Water Stress
3.4. The Effects of Nopal Addition on the Morphological Traits of the Plants
4. Conclusions
Author Contributions
Funding
Data Availability Statement
Acknowledgments
Conflicts of Interest
References
- Carrazco, D.; Godoy, P.; Hidalgo, M.; Cabrera, C.P. Revisión ambiental inicial, un requisito de cumplimiento legal para la agroindustria lechera artesanal Santa Fe. Pro Sci. 2020, 4, 9–16. [Google Scholar] [CrossRef][Green Version]
- Amirahmadi, E.; Moudry, J.; Konvalina, P.; Hörtenhuber, S.J.; Ghorbani, M.; Neugschwandtner, R.W.; Jiang, Z.; Krexner, T.; Koperky, M. Environmental life cycle assessment in organic and conventional rice farming systems: Using a cradle to farm gate approach. Sustainability 2022, 14, 15870. [Google Scholar] [CrossRef]
- Lyu, Y.; Raugei, M.; Zhang, X.; Mellino, S.; Ulgiati, S. Environmental cost and impacts of chemicals used in agriculture: An integration of emergy and Life Cycle Assessment. Renew. Sust. Energ. Rev. 2021, 151, 111604. [Google Scholar] [CrossRef]
- Durán-Lara, E.F.; Valderrama, A.; Marican, A. Natural organic compounds for application in organic farming. Agriculture 2020, 10, 41. [Google Scholar] [CrossRef]
- Chabert, A.; Sarthou, J.P. Conservation agriculture as a promising trade-off between conventional and organic agriculture in bundling ecosystem services. Agric. Environ. 2020, 292, 106815. [Google Scholar] [CrossRef]
- Eyhorn, F.; Muller, A.; Reganold, J.P.; Frison, E.; Herren, H.R.; Luttikholt, L.; Mueller, A.; Sanders, J.; Scialabba, N.; Seufert, V.; et al. Sustainability in global agriculture driven by organic farming. Nat. Sustain. 2019, 2, 253–255. [Google Scholar] [CrossRef]
- Atieno, M.; Herrmann, L.; Nguyen, H.T.; Phan, H.T.; Nguyen, N.K.; Srean, P.; Than, M.M.; Zhiyong, R.; Tittabutr, P.; Shutsrirung, A.; et al. Assessment of biofertilizer use for sustainable agriculture in the Great Mekong Region. J. Environ. Manag. 2020, 275, 111300. [Google Scholar] [CrossRef]
- Chakraborty, T.; Akhtar, N. Biofertilizers: Prospects and challenges for future. Biofertilizers 2021, 20, 575–590. [Google Scholar]
- Daniel, A.I.; Fadaka, A.O.; Gokul, A.; Bakare, O.O.; Aina, O.; Fisher, S.; Burt, A.F.; Mavumengwana, V.; Keyster, M.; Klein, A. Biofertilizer: The future of food security and food safety. Microorganisms 2022, 10, 1220–1236. [Google Scholar] [CrossRef]
- Suchithra, M.R.; Muniswami, D.M.; Sri, M.S.; Usha, R.; Rasheeq, A.A.; Preethi, B.A.; Dineshkumar, R. Effecti-veness of green microalgae as biostimulants and biofertilizer through foliar spray and soil drench method for tomato cultivation. S. Afr. J. Bot. 2022, 146, 740–750. [Google Scholar] [CrossRef]
- Zapata-Hernández, I.; Zamora-Natera, J.F.; Trujillo-Tapia, M.N.; Ramírez-Fuentes, E. ¿La incorporación de residuos de diferentes especies de Lupinus, como abono verde, afecta la actividad microbiana del suelo? Terra Latinoam. 2020, 38, 45–56. [Google Scholar] [CrossRef]
- Tang, W.; Zhong, H.; Xiao, L.; Tan, Q.; Zeng, Q.; Wei, Z. Inhibitory effects of rice residues amendment on Cd phytoavailability: A matter of Cd-organic matter interactions? Chemosphere 2017, 186, 227–234. [Google Scholar] [CrossRef] [PubMed]
- Shen, Y.; McLaughlin, N.; Zhang, X.; Xu, M.; Liang, A. Effect of tillage and crop residue on soil temperature following planting for a Black soil in Northeast China. Sci. Rep. 2018, 8, 4500. [Google Scholar] [CrossRef] [PubMed]
- Quiroz, M.; Varnero, M.T.; Cuevas, J.G.; Sierra, H. Cactus pear (Opuntia ficus-indica) in areas with limited rainfall for the production of biogas and biofertilizer. J. Clean. Prod. 2021, 289, 125839. [Google Scholar] [CrossRef]
- Muñoz, B.J.C.; Quintero, L.R.; Pérez, N.J.; Valdés, V.E.; García, F.B.; Rojas, A.M. Comportamiento de la actividad enzimática del suelo al aplicar mucílago de nopal (Opuntia spp.). Terra Latinoam. 2015, 33, 161–167. [Google Scholar]
- Jimenez, A.M.D.P. Reducción de la Salinidad de Suelos Influenciados por la Corriente Marina Mediante el uso del Lixiviado de Vermicompost y Extracto de Cladodio de Tuna (Opuntia Ficus Índica). Licenciatura, Universidad César Vallejo, Lima-Peru, 2018. Repositorio de la Universidad César Vallejo. Available online: https://hdl.handle.net/20.500.12692/22292 (accessed on 27 February 2024).
- Muñoz, B.J.C. Mucilago de Nopal en el Crecimiento de Plántulas de Tomate (Solanum lycopersicum L.). Mestría, Institución de Enseñanza e Investigación en Ciencias Agrícolas, Montecillo, Texcoco, Estado de México, 2018. Colegio de Postgraduados. Available online: http://colposdigital.colpos.mx:8080/xmlui/handle/10521/3018 (accessed on 27 February 2024).
- do Nascimento, S.T.; Dutra, E.D.; do Prado, A.G.; Leite, F.C.B.; de Souza, R.D.F.R.; dos Santos, D.C.; Menezes, R.S.C. Potential for biofuels from the biomass of prickly pear cladodes: Challenges for bioethanol and biogas production in dry areas. Biomass Bioenergy 2016, 85, 215–222. [Google Scholar]
- AOAC (Association of Official Analytical Chemists). Official Methods of Analysis, 15th ed.; AOAC International: Arlington, VA, USA, 1990; pp. 993–994. [Google Scholar]
- Walkley, A.; Black, I.A. An examination of the Degtjareff method for determining soil organic matter, and a proposed modification of the chromic acid titration method. Soil Sci. 1934, 37, 29–38. [Google Scholar] [CrossRef]
- Olsen, S.R.; Cole, C.V.; Watanabe, F.S.; Dean, L.A. Estimation of Available Phosphorus in Soils by Extraction with Sodium Bicarbonate; USDA Circular 939; U.S. Government Printing Office: Washington, DC, USA, 1954. [Google Scholar]
- Maguire, J.D. Speed of germination-aid in selection and evaluation for seedling emergence and vigor. Crop Sci. 1962, 2, 176–177. [Google Scholar] [CrossRef]
- Bernardino-Nicanor, A.; Hinojosa-Hernández, E.N.; Juárez-Goiz, J.M.S.; Montañez-Soto, J.L.; Ramírez-Ortiz, M.E.; González-Cruz, L. Quality of Opuntia robusta and its use in development of ma-yonnaise-like product. Food Sci. Technol. 2015, 52, 343–350. [Google Scholar]
- Gendy, A.S.; Said-Al Ahl, H.A.; Mahmoud, A.A.; Mohamed, H.F. Effect of nitrogen sources, bio-fertilizers and their interaction on the growth, seed yield and chemical composition of guar plants. J. Life Sci. 2013, 10, 389–402. [Google Scholar]
- Howeidi, M.A.R.; Manea, A.I.; Slomy, A.K. Effect of Bio-Fertilizer and Banana Peel Extract on the Vegetative Traits and Yield of Carrot Plants. IOP Conf. Ser. Earth Environ. Sci. 2023, 1158, 042035. [Google Scholar] [CrossRef]
- Acevedo-Alcalá, P.; Taboada-Gaytán, O.R.; Cruz-Hernández, J. Caracterización de fertilizantes orgánicos y estiércoles para uso como componentes de sustrato. Acta Agron. 2020, 69, 234–240. [Google Scholar] [CrossRef]
- Pacheco, A.C.; Feba, L.G.T.; Serra, E.G.; Takata, W.H.S.; Gorni, P.H.; Yoshida, C.H.P. The use of animal manure in the organic cultivation of Passiflora incarnata L. increases the content of phenolic compounds in the leaf and the antioxidant activity of the plant. Org. Agric. 2021, 11, 567–575. [Google Scholar] [CrossRef]
- Aleman, C.C.; Marques, P.A.A.; Pacheco, A.C. Chamomile production using supplementary irrigation and organic fertilization in sandy soils. Rev. Caatinga 2016, 29, 313–319. [Google Scholar] [CrossRef]
- Naderi, G.; Mohammadi, A.; Younesi, A.M. The Effect of Bio Fertilizers, Manure and Chemical Fertilizer on Quantity and Quality of Essential Oil of Hyssop (Hyssopus officinalis L.). J. Med. Plants By Prod. 2023, 12, 439–447. [Google Scholar]
- Du, Z.L.; Wu, W.L.; Zhang, Q.Z.; Guo, Y.B.; Meng, F.Q. Long-term manure amendments enhance soil aggregation and carbon saturation of stable pools in North China plain. J. Integr. Agric. 2014, 13, 2276–2285. [Google Scholar] [CrossRef]
- Agele, S.O.; Ewulo, B.S.; Oyewusi, I.K. Effects of some soil management systems on soil physical properties, microbial biomass and nutrient distribution under rainfed maize production in a humid rainforest Alfisol. Nutr. Cycl. Agroecosyst. 2005, 72, 121–134. [Google Scholar] [CrossRef]
- Srivastava, A.K.; Srivastava, O.P. Cation-exchange capacity of roots in relation to response of fertilizer nutrients in salt-affected soil. Indian J. Agr. Sci. 1992, 62, 200–204. [Google Scholar]
- Moreira, A.; Sfredo, G.J.; Moraes, L.A.C.; Fageria, N.K. Lime and cattle manure in soil fertility and soybean grain yield cultivated in tropical soil. Commun. Soil Sci. Plant Anal. 2015, 46, 1157–1169. [Google Scholar] [CrossRef]
- Garwood, N.C. The role of mucilage in the germination of cuipo, Cavanillesia platanifolia (H. & B.) HBK (Bombacaceae), a tropical tree. Am. J. Bot. 1992, 72, 1095–1105. [Google Scholar]
- Rabbani, M.; Kazemi, F. Investigating strategies for optimum water usage in green spaces covered with lawn. Desert 2015, 20, 217–230. [Google Scholar]
- Rahimi, A.; Amirnia, R.; Siavash Moghaddam, S.; El Enshasy, H.A.; Hanapi, S.Z.; Sayyed, R.Z. Effect of Different Biological and Organic Fertilizer Sources on the Quantitative and Qualitative Traits of Cephalaria syriaca. Horticulture 2021, 7, 397. [Google Scholar] [CrossRef]
- González, J.A.; Yousif, S.K.; Erazzu, L.E.; Martinez Calsina, L.; Lizarraga, E.F.; Omer, R.M.; Van Nieuwenhove, C.P. Effects of goat manure fertilization on grain nutritional value in two contrasting quinoa (Chenopodium quinoa Willd.) varieties cultivated at high altitudes. Agronomy 2023, 13, 918. [Google Scholar] [CrossRef]
- Ahmed, M.A.; Kroener, E.; Holz, M.; Zarebanadkouki, M.; Carminati, A. Mucilage exudation facilitates root water uptake in dry soils. Funct. Plant Biol. 2014, 11, 1129–1137. [Google Scholar] [CrossRef] [PubMed]
- Du, B.; Shukla, M.K.; Ding, R.; Yang, X.; Du, T. Biofertilization with photosynthetic bacteria as a new strategy for mitigating photosynthetic acclimation to elevated CO2 on cherry tomato. Envi. Exp. Bot. 2022, 194, 104758. [Google Scholar] [CrossRef]
- Nikmatullah, A.; Khairunnisa, N.; Amalia, R.; Zawani, K.; Sarjan, M. Effect of biofertilizer on growth and yield of carrot (Daucus carota L.) plants in different latitudes of Lombok Island. IOP Conf. Ser. Mater. Sci. Eng. 2020, 1098, 042107. [Google Scholar] [CrossRef]
- Sharmila, A.; Kumar, A.; Dev, R.; Kropi, R.; Narayanan, L. Comparative studies on the effect of certain biofertilizers on growth, yield and quality of carrot (Daucus carota L.) under Punjab conditions. Ecol. Environ. Conserv. 2022, 28, 1784–1787. [Google Scholar]
- Kushwah, A.; Jatav, V.; Dukpa, P.; Pandey, D.; Kushwah, A. Evaluation the effects of biofertilizers on growth and yield of carrot (Daucus carota L.). Int. J. Adv. Biochem. 2023, 7, 413–416. [Google Scholar] [CrossRef]

| Treatment | Component Incorporated into the Cavity of the Germination Tray (%) | |||
|---|---|---|---|---|
| Soil | Component of the Cladode of Nopal | |||
| Whole | Solids | Liquids | ||
| T0 | 100 | 0 | 0 | 0 |
| T1 | 50 | 50 | 0 | 0 |
| T2 | 50 | 0 | 50 | 0 |
| T3 | 50 | 0 | 0 | 50 |
| Treatment | Component Incorporated into the Soil | |||
|---|---|---|---|---|
| Goat Manure (g) | Component of the Cladode of Nopal | |||
| Whole (mL) | Solids (g) | Liquids (mL) | ||
| T0 | 0 | 0 | 0 | 0 |
| T1 | 0 | 20 | 0 | 0 |
| T2 | 0 | 0 | 13 | 0 |
| T3 | 0 | 0 | 0 | 20 |
| T4 | 13 | 0 | 0 | 0 |
| T5 | 6.5 | 10 | 0 | 0 |
| T6 | 6.5 | 0 | 6.5 | 0 |
| T7 | 6.5 | 0 | 0 | 10 |
| Sample | Moisture | Protein | Lipids | Ash | Crude Fiber | Free-Nitrogen Components |
|---|---|---|---|---|---|---|
| g/100 g Dry Sample | ||||||
| Nopal cladode | 6.26 ± 0.24 | 12.22 ± 0.02 | 13.30 ± 1.33 | 14.94 ± 0.12 | 8.42 ± 0.27 | 44.85 ± 1.82 |
| Substrate Component | Moisture (%) | E.C. (dS/m) | pH | O.M. (%) |
|---|---|---|---|---|
| Goat manure | 34.6 | 11.12 | 8.95 | 100 |
| Soil | 30.5 | 0.86 | 7.71 | 2.92 |
| Soil Property | Treatments | ||||||||
|---|---|---|---|---|---|---|---|---|---|
| Initial | T0 | T1 | T2 | T3 | T4 | T5 | T6 | T7 | |
| Texture | Clay | Clay Loam | Clay Loam | Clay Loam | Clay | Clay Loam | Clay Loam | Clay | Clay Loam |
| Sand (%) | 30 | 25 | 29 | 29 | 27 | 29 | 27 | 34 | 34 |
| Clay (%) | 40 | 39 | 37 | 37 | 41 | 37 | 37 | 41 | 35 |
| Silt particles (%) | 30 | 36 | 34 | 34 | 32 | 34 | 36 | 25 | 31 |
| Saturation point (%) | 54 | 46 | 56 | 46 | 45 | 49 | 51 | 45 | 39 |
| Field capacity (%) | 40 | 35 | 42 | 35 | 34 | 37 | 38 | 34 | 29 |
| Chemical Characteristic | Treatments | ||||||||
|---|---|---|---|---|---|---|---|---|---|
| Initial | T0 | T1 | T2 | T3 | T4 | T5 | T6 | T7 | |
| pH | 7.71 | 7.71 | 7.73 | 7.51 | 8.12 | 7.36 | 7.80 | 7.31 | 7.47 |
| CEC (cmolc/kg) | 16.79 | 19.07 | 17.88 | 14.52 | 17.86 | 16.44 | 22.02 | 20.63 | 22.46 |
| Salt concentration | 3.75 | 6.61 | 5.54 | 6.96 | 10.19 | 6.87 | 4.09 | 4.65 | 4.50 |
| Element Concentration (mg/kg) | Treatments | ||||||||
|---|---|---|---|---|---|---|---|---|---|
| Initial | T0 | T1 | T2 | T3 | T4 | T5 | T6 | T7 | |
| N-Inorg | 61.2 e | 73.7 b | 55.6 h | 70.3 c | 78.6 a | 60.5 f | 57.8 g | 53.6 i | 65.4 d |
| P-Bray | N.D.b | 7.2 a | N.D.b | N.D.b | N.D.b | N.D.b | N.D.b | N.D.b | N.D.b |
| K | 631.9 b | 404.5 h | 517.5 d | 396.8 i | 483.4 e | 452.5 g | 670.4 a | 468.4 f | 624.4 c |
| Ca | 1653.6 d | 1595.8 e | 1481.9 g | 1150.5 i | 1536.8 f | 1286.7 h | 1782.2 b | 1719.9 c | 1908.9 a |
| Mg | 835.2 i | 1208.1 d | 1099.7 e | 926.8 h | 1068.8 f | 1058.6 g | 1363.6 a | 1299.8 c | 1357.6 b |
| Na | 12.1 i | 36.3 f | 32.3 h | 36.1 g | 41.2 d | 39.1 e | 50.2 a | 41.9 c | 44.6 b |
| Fe | 90.9 a | 31.8 b | 28.0 f | 29.1 c | 28.4 e | 27.8 g | 26.2 i | 26.7 h | 28.6 d |
| Zn | 13.3 a | 2.3 b | 1.5 f | 1.8 de | 2.1 c | 1.8 e | 1.7 f | 1.9 d | 1.6 f |
| Mn | 30.5 a | 28.1 b | 16.8 i | 19.8 d | 18.3 f | 18.9 e | 17.8 g | 20.2 c | 17.4 h |
| Cu | 2.4 b | 2.7 a | 2.1 c | 1.9 e | 2.0 d | 1.9 e | 1.9 e | 1.9 e | 1.9 e |
| B | 0.1 c | 0.6 a | 0.0 d | 0.0 d | 0.0 d | 0.6 a | 0.5 b | 0.0 d | 0.6 a |
| P-Olsen | 55.0 a | N.D. e | 15.1 d | 18.2 bd | 15.9 d | 23.4 bc | 25.5 a | 17.1 cd | 15.3 d |
| S | 141.5 b | 68.7 g | 85.2 e | 93.8 d | 173.1 a | 44.4 h | 84.6 f | 97.9 c | 93.8 d |
| Variable | Initial | T0 | T1 | T2 | T3 | T4 | T5 | T6 | T7 |
|---|---|---|---|---|---|---|---|---|---|
| Ca/Mg | 1.21 | 0.81 | 0.82 | 0.76 | 0.88 | 0.74 | 0.8 | 0.81 | 0.86 |
| Mg/K | 4.24 | 9.57 | 6.81 | 7.49 | 7.09 | 7.50 | 6.52 | 8.89 | 6.97 |
| Ca + Mg/K | 9.35 | 17.28 | 12.41 | 13.15 | 13.3 | 13.06 | 11.72 | 16.07 | 12.95 |
| Ca/K | 5.12 | 7.71 | 5.6 | 5.67 | 6.21 | 5.56 | 5.20 | 7.18 | 5.98 |
| Treatment | Germination Velocity Index | Germination Percentage | ||
|---|---|---|---|---|
| Tomato | Carrot | Tomato | Carrot | |
| T0 | 11.77 ± 0.40 c | 14.74 ± 1.61 c | 85.51 ± 5.22 b | 67.05 ± 3.55 b |
| T1 | 17.00 ± 0.45 b | 31.50 ± 0.82 a | 98.07 ± 2.21 a | 95.74 ± 4.08 a |
| T2 | 13.86 ± 0.61 c | 26.19 ± 2.08 b | 84.06 ± 1.45 b | 89.15 ± 7.56 a |
| T3 | 25.27 ± 1.50 a | 31.04 ± 0.34 a | 97.58 ± 2.21 a | 98.84 ± 1.16 a |
| Treatment | Germination Velocity Index | Germination Percentage | ||
|---|---|---|---|---|
| Tomato | Carrot | Tomato | Carrot | |
| T0 | 3.57 ± 0.40 c | 2.14 ± 1.28 h | 66.07 ± 14.73 b | 28.13 ± 23.11 b |
| T1 | 3.60 ± 0.48 b | 5.32 ± 1.89 b | 64.28 ± 16.50 c | 71.88 ± 13.01 ab |
| T2 | 2.77 ± 0.35 h | 3.17 ± 2.21 e | 46.42 ± 12.37 f | 59.38 ± 24.21 ab |
| T3 | 3.04 ± 0.26 g | 2.97 ± 1.87 f | 53.57 ± 27.66 e | 42.19 ± 14.77 ab |
| T4 | 3.13 ± 0.29 f | 3.75 ± 1.80 d | 64.28 ± 26.08 c | 73.44 ± 10.67 a |
| T5 | 4.07 ± 0.46 a | 4.41 ± 1.78 c | 76.78 ± 10.71 a | 71.88 ± 23.11 ab |
| T6 | 3.34 ± 0.33 d | 2.87 ± 1.35 g | 64.28 ± 10.71 c | 46.88 ± 19.43 ab |
| T7 | 3.33 ± 0.17 e | 5.76 ± 3.01 a | 60.71 ± 14.87 d | 76.56 ± 19.35 a |
| Treatment | Morphological Traits of Carrot Plants | |||
|---|---|---|---|---|
| Stem Length | Number of Leaves | Leaf Weight | Stem Diameter | |
| T0 | 21.25 ± 6.25 d | 10.13 ± 1.89 a | 11.25 ± 3.68 b | 11.37 ± 2.53 b |
| T1 | 39.76 ± 3.38 ab | 12.69 ± 3.40 a | 39.06 ± 15.46 a | 16.35 ± 1.45 ab |
| T2 | 30.61 ± 3.76 bcd | 15.13 ± 3.04 a | 40.63 ± 22.19 ab | 14.21 ± 2.68 ab |
| T3 | 39.03 ± 6.77 ab | 15.06 ± 2.85 a | 38.44 ± 14.63 ab | 16.66 ± 3.85 ab |
| T4 | 35.65 ± 1.93 abc | 11.56 ± 2.39 a | 26.25 ± 2.04 ab | 13.26 ± 1.63 ab |
| T5 | 44.72 ± 3.63 a | 14.31 ± 1.78 a | 40.63 ± 10.87 ab | 16.92 ± 3.84 a |
| T6 | 35.32 ± 6.30 abc | 13.38 ± 2.59 a | 34.06 ± 13.36 ab | 15.57 ± 1.74 ab |
| T7 | 27.63 ± 1.45 cd | 14.25 ± 2.98 a | 47.50 ± 16.20 a | 20.53 ± 1.77 ab |
| Treatment | Morphological Traits of the Tomato Plants | |||
|---|---|---|---|---|
| Plant Length | Diameter of the Stem | Principal Stems | Radicular Length | |
| T0 | WS | WS | WS | WS |
| T1 | 68.27 ± 2.89 a | 4.17 ± 0.26 a | 11.17 ± 1.20 a | 24.30 ± 2.44 a |
| T2 | 45.73 ± 2.40 b | 2.88 ± 0.27 b | 8.20 ± 1.13 b | 16.52 ± 1.07 b |
| T3 | 67.67 ± 6.13 a | 4.42 ± 0.11 a | 11.78 ±0.69 a | 23.90 ± 0.73 a |
| T4 | 44.17 ± 1.75 b | 2.72 ± 0.05 b | 10.33 ± 0.17 b | 14.88 ± 0.05 b |
| T5 | 65.72 ± 5.72 a | 4.51 ± 0.19 a | 11.72 ± 0.42 a | 24.23 ± 1.54 a |
| T6 | 69.47 ± 0.53 a | 4.50 ± 0.30 a | 11.75 ± 1.04 a | 25.94 ± 0.56 a |
| T7 | 66.00 ± 3.24 a | 3.98 ± 0.08 a | 11.83 ± 1.17 a | 23.22 ± 0.68 a |
| Treatment | Yield (g) | Individual Weight (g) | Carrot Length (cm) | Crown (mm) |
|---|---|---|---|---|
| T0 | 275 ± 4.25 g | 17.19 ± 4.25 b | 5.35 ± 1.21 c | 13.76 ± 3.42 b |
| T1 | 1000 ± 31.04 c | 62.50 ± 31.04 ab | 14.39 ± 1.31 ab | 18.62 ± 0.80 a |
| T2 | 945 ± 25.77 d | 59.06 ± 25.77 ab | 14.93 ± 3.34 ab | 20.67 ± 4.74 a |
| T3 | 900 ± 20.64 e | 56.25 ± 20.64 ab | 14.04 ± 2.14 ab | 19.42 ± 2.28 a |
| T4 | 709 ± 25.16 f | 44.31 ± 25.16 ab | 12.31 ± 2.16 b | 17.36 ± 3.29 a |
| T5 | 1180 ± 11.77 a | 73.75 ± 11.77 a | 15.19 ± 2.14 ab | 23.15 ± 1.39 a |
| T6 | 945 ± 27.53 d | 59.06 ± 27.53 ab | 17.94 ± 2.11 a | 22.50 ± 6.33 a |
| T7 | 1090 ± 20.14 b | 68.13 ± 20.14 ab | 13.18 ± 1.99 ab | 22.99 ± 6.17 a |
| Treatment | Number of fruits | Yield (g) | Individual Weight (g) | Polar Diameter (cm) | Equatorial Diameter (cm) |
|---|---|---|---|---|---|
| T0 | |||||
| T1 | 8.71 ± 0.30 a | 3992 ± 7.97 a | 95.63 ± 3.14 a | 7.31 ± 0.30 b | 12.47 ± 0.88 a |
| T2 | 4.08 ± 0.26 c | 3992 ± 7.97 a | 64.49 ± 8.18 b | 7.81 ± 0.13 b | 13.77 ± 0.69 a |
| T3 | 8.25 ± 0.17 a | 3145 ± 5.53 b | 44.70 ± 1.04 c | 9.56 ± 0.68 a | 16.24 ± 0.13 a |
| T4 | 6.51 ± 0.50 ab | 1486 ± 4.03 d | 41.77 ± 1.37 c | 7.14 ± 0.44 b | 12.91 ± 0.13 a |
| T5 | 7.12 ± 0.63 ab | 2482 ± 6.32 c | 45.47 ± 5.32 c | 7.09 ± 0.29 b | 12.47 ± 0.53 a |
| T6 | 4.17 ± 0.36 c | 2412 ± 11.77 c | 52.59 ± 3.48 c | 7.52 ± 0.22 b | 12.51 ± 0.54 a |
| T7 | 5.62 ± 0.39 bc | 1922 ± 6.97 c | 46.37 ± 8.17 c | 7.67 ± 0.53 b | 12.70 ± 0.89 a |
Disclaimer/Publisher’s Note: The statements, opinions and data contained in all publications are solely those of the individual author(s) and contributor(s) and not of MDPI and/or the editor(s). MDPI and/or the editor(s) disclaim responsibility for any injury to people or property resulting from any ideas, methods, instructions or products referred to in the content. |
© 2024 by the authors. Licensee MDPI, Basel, Switzerland. This article is an open access article distributed under the terms and conditions of the Creative Commons Attribution (CC BY) license (https://creativecommons.org/licenses/by/4.0/).
Share and Cite
González-Torres, G.Y.; Bernardino-Nicanor, A.; Fernández-Avalos, S.; Acosta-García, G.; Juárez-Goiz, J.M.S.; González-Cruz, L. Effects of Nopal and Goat Manure on Soil Fertility and the Growth, Yield and Physical Characteristics of Tomato and Carrot Plants. Agronomy 2024, 14, 1221. https://doi.org/10.3390/agronomy14061221
González-Torres GY, Bernardino-Nicanor A, Fernández-Avalos S, Acosta-García G, Juárez-Goiz JMS, González-Cruz L. Effects of Nopal and Goat Manure on Soil Fertility and the Growth, Yield and Physical Characteristics of Tomato and Carrot Plants. Agronomy. 2024; 14(6):1221. https://doi.org/10.3390/agronomy14061221
Chicago/Turabian StyleGonzález-Torres, Guadalupe Yohana, Aurea Bernardino-Nicanor, Stephanie Fernández-Avalos, Gerardo Acosta-García, José Mayolo Simitrio Juárez-Goiz, and Leopoldo González-Cruz. 2024. "Effects of Nopal and Goat Manure on Soil Fertility and the Growth, Yield and Physical Characteristics of Tomato and Carrot Plants" Agronomy 14, no. 6: 1221. https://doi.org/10.3390/agronomy14061221
APA StyleGonzález-Torres, G. Y., Bernardino-Nicanor, A., Fernández-Avalos, S., Acosta-García, G., Juárez-Goiz, J. M. S., & González-Cruz, L. (2024). Effects of Nopal and Goat Manure on Soil Fertility and the Growth, Yield and Physical Characteristics of Tomato and Carrot Plants. Agronomy, 14(6), 1221. https://doi.org/10.3390/agronomy14061221

