Effects of Different Ecological Restoration Pattern on Soil Organic Nitrogen Components in Alpine Sandy Land
Abstract
1. Introduction
2. Materials and Methods
2.1. Study Area Description
2.2. Experimental Design
2.3. Measurement Parameters
2.4. Statistical Analysis of Data
3. Results
3.1. Effects of Different Ecological Restoration Pattern on AHN and NHN Content
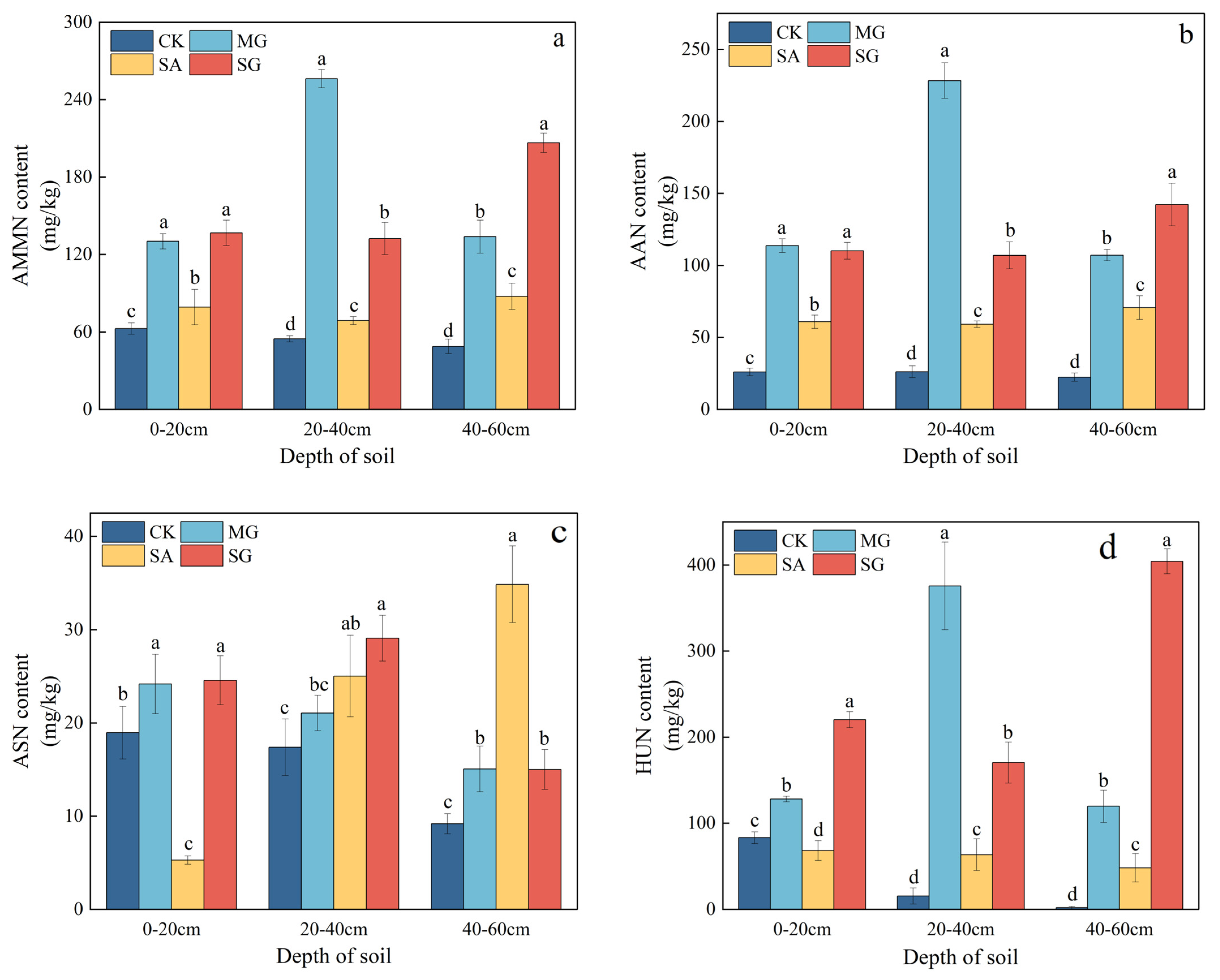
3.2. Effects of Different Ecological Restoration Pattern on Soil Organic Nitrogen Components Content
3.3. Effects of Different Ecological Restoration Pattern on the Proportion of Soil Organic Nitrogen Components in Soil TN
3.4. Relationship between Soil Organic Nitrogen Components and Soil Basic Physicochemical Properties
4. Discussion
4.1. Variation Trend of Soil Nitrogen Components Content under Different Ecological Restoration Pattern
4.2. Effects of Different Ecological Restoration Pattern on Soil Nitrogen Component
4.3. Effects of Different Ecological Restoration Pattern on Soil Nitrogen Supply and Storage
4.4. Research Limitations and Prospects
5. Conclusions
Author Contributions
Funding
Data Availability Statement
Acknowledgments
Conflicts of Interest
References
- Ma, L.; Wang, Q.; Shen, S.T.; Li, F.C.; Li, L. Heterogeneity of soil structure and fertility during desertification of alpine grassland in northwest Sichuan. Ecosphere 2020, 11, e03161. [Google Scholar] [CrossRef]
- Hu, G.; Dong, Z.B.; Lu, J.F.; Yan, C. The developmental trend and influencing factors of aeolian desertification in the Zoige Basin, eastern Qinghai-Tibet Plateau. Aeolian Res. 2015, 19, 275–281. [Google Scholar] [CrossRef]
- Jiang, X.; Qu, Y.; Zeng, H.; Yang, J.; Liu, L.; Deng, D.; Ma, Y.; Chen, D.; Jian, B.; Guan, L.; et al. Long-term ecological restoration increased plant diversity and soil total phosphorus content of the alpine flowing sand land in northwest Sichuan, China. Heliyon 2024, 10, e24035. [Google Scholar] [CrossRef] [PubMed]
- Sun, J.; Liu, M.; Fu, B.; Kemp, D.; Zhao, W.; Liu, G.; Han, G.; Wilkes, A.; Lu, X.; Chen, Y.; et al. Reconsidering the efficiency of grazing exclusion using fences on the Tibetan Plateau. Sci. Bull. 2020, 65, 1405–1414. [Google Scholar] [CrossRef] [PubMed]
- Wang, D.J.; Zhou, H.K.; Yao, B.Q.; Wang, W.Y.; Dong, S.K.; Shang, Z.H.; She, Y.D.; Ma, L.; Huang, X.T.; Zhang, Z.H.; et al. Effects of nutrient addition on degraded alpine grasslands of the Qinghai-Tibetan Plateau: A meta-analysis. Agric. Ecosyst. Environ. 2020, 301, 106970. [Google Scholar] [CrossRef]
- Hao, G.; Dong, K.; Yang, N.; Xu, Y.; Ding, X.F.; Chen, L.; Wang, J.L.; Zhao, N.; Gao, Y.B. Both fencing duration and shrub cover facilitate the restoration of shrub-encroached grasslands. Catena 2021, 207, 105587. [Google Scholar] [CrossRef]
- Chen, Y.P.; Xia, J.B.; Zhao, X.B.; Zhuge, Y.P. Soil moisture ecological characteristics of typical shrub and grass vegetation on Shell Island in the Yellow River Delta, China. Geoderma 2019, 348, 45–53. [Google Scholar] [CrossRef]
- Mashizi, A.K.; Sharafatmandrad, M. Assessing the effects of shrubs on ecosystem functions in arid sand dune ecosystems. Arid. Land Res. Manag. 2020, 34, 171–187. [Google Scholar] [CrossRef]
- Richardson, A.E.; Barea, J.M.; McNeil, A.M.; Prigent-Combaret, C. Acquisition of phosphorus and nitrogen in the rhizosphere and plant growth promotion by microorganisms. Plant Soil 2009, 321, 305–339. [Google Scholar] [CrossRef]
- Mooney, H.A.; Vitousek, P.M.; Matson, P.A. Exchange of materials between terrestrial ecosystems and the atmosphere. Science 1987, 238, 926–932. [Google Scholar] [CrossRef]
- Wang, Z.G.; Wang, G.C.; Zhang, G.H.; Wang, H.B.; Ren, T.Y. Effects of land use types and environmental factors on spatial distribution of soil total nitrogen in a coalfield on the Loess Plateau, China. Soil Till Res. 2021, 211, e105027. [Google Scholar] [CrossRef]
- van der Putten, W.H.; Bardgett, R.D.; Bever, J.D.; Bezemer, T.M.; Casper, B.B.; Fukami, T.; Kardol, P.; Klironomos, J.N.; Kulmatiski, A.; Schweitzer, J.A.; et al. Plant-soil feedbacks; the past, the present and future challenges. J. Ecol. 2013, 101, 265–276. [Google Scholar] [CrossRef]
- Chen, Y.L.; Deng, Y.; Ding, J.Z.; Hu, H.W.; Xu, T.L.; Li, F.; Yang, G.B.; Yang, Y.H. Distinct microbial communities in the active and permafrost layers on the Tibetan Plateau. Mol. Ecol. 2017, 26, 6608–6620. [Google Scholar] [CrossRef]
- Tian, H.; Xu, R.T.; Canadell, J.G.; Thompson, R.L.; Winiwarter, W.; Suntharalingam, P.; Davidson, E.A.; Ciais, P.; Jackson, R.B.; Janssens-Maenhout, G.; et al. A comprehensive quantification of global nitrous oxide sources and sinks. Nature 2020, 586, 248–256. [Google Scholar] [CrossRef] [PubMed]
- Stevenson, F.J. Nitrogen in Agricultural Soils; American Society of Agronomy: Madison, WI, USA, 1982. [Google Scholar]
- Schulten, H.R.; Schnitzer, M. The chemistry of soil organic nitrogen: A review. Biol. Fert. Soils. 1997, 26, 1–15. [Google Scholar] [CrossRef]
- Yang, X.; Wang, B.; An, S. Root derived C rather than root biomass contributes to the soil organic carbon sequestration in grassland soils with different fencing years. Plant Soil 2021, 469, 161–172. [Google Scholar] [CrossRef]
- Liu, Y.; Guo, L.; Huang, Z.; López-Vicente, M.; Wu, G.L. Root morphological characteristics and soil water infiltration capacity in semi-arid artificial grassland soils. Agric. Water Manag. 2020, 235, 106153. [Google Scholar] [CrossRef]
- Li, H.Y.; Luo, Y.Q.; Sun, L.; Li, X.D.; Ma, C.K.; Wang, X.L.; Jiang, T.; Zhu, H.M. Modelling the artificial forest (Robinia pseudoacacia L.) root-soil water interactions in the Loess Plateau, China. Hydrol. Earth Syst. Sci. 2022, 26, 17–34. [Google Scholar] [CrossRef]
- Liu, S.L.; Fu, B.J.; Lü, Y.H.; Chen, L.D. Effects of reforestation and deforestation on soil properties in humid mountainous areas: A case study in Wolong Nature Reserve, Sichuan province, China. Soil Use Manag. 2002, 18, 376–380. [Google Scholar] [CrossRef]
- Zhu, B.; Li, Z.B.; Li, P.; Liu, G.B.; Xue, S. Soil erodibility, microbial biomass, and physical-chemical property changes during long-term natural plant restoration: A case study in the Loess Plateau, China. Ecol. Res. 2010, 25, 531–541. [Google Scholar] [CrossRef]
- Masse, J.; Prescott, C.E.; Müller, C.; Grayston, S.J. Gross nitrogen transformation rates differ in reconstructed oil-sand soils from natural boreal-forest soils as revealed using a 15N tracing method. Geoderma 2016, 282, 37–48. [Google Scholar] [CrossRef]
- Ågren, G.I.; Bosatta, E. Theoretical ecosystem ecology: Understanding element cycles. Soil Sci. 1998, 163, 421–423. [Google Scholar] [CrossRef]
- Du, C.J.; Jing, J.J.; Shen, Y.; Liu, H.X.; Gao, Y.H. Short-term grazing exclusion improved topsoil conditions and plant characteristics in degraded alpine grasslands. Ecol. Indic. 2020, 108, 105680. [Google Scholar] [CrossRef]
- Liu, R.; Wang, D. Soil C, N, P and K stoichiometry affected by plant restoration patterns in the alpine region of the Loess Plateau, Northwest China. PLoS ONE 2020, 15, e0241859. [Google Scholar] [CrossRef]
- Wang, T.; Kang, F.F.; Cheng, X.Q.; Han, H.R.; Ji, W.J. Soil organic carbon and total nitrogen stocks under different land uses in a hilly ecological restoration area of North China. Soil Till Res. 2016, 163, 176–184. [Google Scholar] [CrossRef]
- Chen, Y.P.; Li, Y.Q.; Zhao, X.Y.; Awada, T.; Shang, W.; Han, J.Q. Effects of Grazing Exclusion on Soil Properties and on Ecosystem Carbon and Nitrogen Storage in a Sandy Rangeland of Inner Mongolia, Northern China. Environ. Manag. 2012, 50, 622–632. [Google Scholar] [CrossRef] [PubMed]
- Jin, L.Q.; Li, X.L.; Sun, H.F.; Wang, J.T.; Zhang, J.; Zhang, Y.F. Effects of Restoration Years on Vegetation and Soil Characteristics under Different Artificial Measures in Alpine Mining Areas, West China. Sustainability 2022, 14, 10889. [Google Scholar] [CrossRef]
- McClellan, S.A.; Elsey-Quirk, T.; Laws, E.A.; DeLaune, R.D. Root-zone carbon and nitrogen pools across two chronosequences of coastal marshes formed using different restoration techniques: Dredge sediment versus river sediment diversion. Ecol. Eng. 2021, 169, 106326. [Google Scholar] [CrossRef]
- Wang, C.G.; Li, H.X.; Cai, T.J.; Sun, X.X. Variation of soil carbon and nitrogen storage in a natural restoration chronosequence of reclaimed temperate marshes. Glob. Ecol. Conserv. 2021, 27, e01589. [Google Scholar] [CrossRef]
- Wu, X.W.; Wang, Y.C.; Sun, S.C. Long-term fencing decreases plant diversity and soil organic carbon concentration of the Zoige alpine meadows on the eastern Tibetan Plateau. Plant Soil 2021, 458, 191–200. [Google Scholar] [CrossRef]
- Dong, Z.B.; Hu, G.; Yan, C.; Wang, W.L.; Lu, J.F. Aeolian desertification and its causes in the Zoige plateau of China’s Qinghai-Tibetan plateau. Environ. Earth Sci. 2010, 59, 1731–1740. [Google Scholar] [CrossRef]
- Hu, Y.F.; Shu, X.Y.; He, J.; Zhang, Y.L.; Xiao, H.H.; Tang, X.Y.; Gu, Y.F.; Lan, T.; Xia, J.R.; Ling, J.; et al. Storage of C, N, and P affected by afforestation with Salix cupularis in an alpine semiarid desert ecosystem. Land. Degrad. Dev. 2017, 29, 188–198. [Google Scholar] [CrossRef]
- Hou, J.F.; Li, F.; Wang, Z.H.; Li, X.Q.; Cao, R.; Yang, W.Q. Seasonal dynamics of sediment organic carbon storage for the upper streams of the Yangtze River. Front. Ecol. Evol. 2023, 11, 1093448. [Google Scholar] [CrossRef]
- Naz, M.; Dai, Z.; Hussain, S.; Tariq, M.; Danish, S.; Khan, I.U.; Qi, S.; Du, D. The soil pH and heavy metals revealed their impact on soil microbial community. J. Environ. Manag. 2022, 321, 115770. [Google Scholar] [CrossRef]
- Ros, G.H.; Hoffland, E.; Kessel, C.; Temminghoff, E.J.M. Extractable and dissolved soil organic nitrogen—A quantitative assessment. Soil Biol. Biochem. 2009, 41, 1029–1039. [Google Scholar] [CrossRef]
- Bremner, J.M.; Edwards, A. Determination and Isotope-Ratio Analysis of Different Forms of Nitrogen in Soils: I. Apparatus and Procedure for Distillation and Determination of Ammonium. Soil Sci. Soc. Am. J. 1965, 29, 504. [Google Scholar] [CrossRef]
- Zheng, X.Z.; Lin, C.C.; Guo, B.; Jian, Y.; Ding, H.; Peng, S.Y.; Zhang, J.B.; Ireland, E.; Chen, D.L.; Müller, C.; et al. Mechanisms behind soil N dynamics following cover restoration in degraded land in subtropical China. J. Soil Sediment. 2020, 20, 1897–1905. [Google Scholar] [CrossRef]
- Amelung, W.; Zhang, X. Determination of amino acid enantiomers in soils. Soil Biol. Biochem. 2001, 33, 553–562. [Google Scholar] [CrossRef]
- Zhang, X.D.; Amelung, W. Gas chromatographic determination of muramic acid, glucosamine, mannosamine, and galactosamine in soils. Soil Biol. Biochem. 1996, 28, 1201–1206. [Google Scholar] [CrossRef]
- He, H.; Li, X.B.; Zhang, W.; Zhang, X.D. Differentiating the dynamics of native and newly immobilized amino sugars in soil frequently amended with inorganic nitrogen and glucose. Eur. J. Soil Sci. 2011, 62, 144–151. [Google Scholar] [CrossRef]
- Wang, J.S.; Ryan Stewart, J.; Ahmad Khan, S.; Dawson, J.O. Elevated amino sugar nitrogen concentrations in soils: A potential method for assessing N fertility enhancement by actinorhizal plants. Symbiosis 2010, 50, 71–76. [Google Scholar] [CrossRef]
- Cao, S.X. Why large-scale afforestation efforts in China have failed to solve the desertification problem. Environ. Sci. Technol. 2008, 42, 1826–1831. [Google Scholar] [CrossRef]
- Zhang, P.; Yu, T.; Shan, D.; Yan, R.; Zhang, L.; Wang, J.; Wuren, Q. Investigation into the Effects of Different Restoration Techniques on the Soil Nutrient Status in Degraded Stipa grandis Grassland. Agronomy 2024, 14, 57. [Google Scholar] [CrossRef]
- Raza, T.; Qadir, M.F.; Khan, K.S.; Eash, N.S.; Yousuf, M.; Chatterjee, S.; Manzoor, R.; Rehman, S.; Oetting, J.N. Unrevealing the Potential of Microbes in Decomposition of Organic Matter and Release of Carbon in the Ecosystem. J. Environ. Manag. 2023, 344, 118529. [Google Scholar] [CrossRef]
- Hu, G.; Zhang, Z.; Li, L. Responses of carbon, nitrogen, and phosphorus contents and stoichiometry in soil and fine roots to natural vegetation restoration in a tropical mountainous area, Southern China. Front. Plant Sci. 2023, 14, 1181365. [Google Scholar] [CrossRef]
- Stone, M.M.; Plante, A.F. Changes in phosphatase kinetics with soil depth across a variable tropical landscape. Soil Biol. Biochem. 2014, 71, 61–67. [Google Scholar] [CrossRef]
- Lu, H.J.; He, H.B.; Zhao, J.S.; Zhang, W.; Xie, H.T.; Hu, G.H.; Liu, X.; Wu, Y.; Zhang, X.D. Dynamics of fertilizer-derived organic nitrogen fractions in an arable soil during a growing season. Plant Soil 2013, 373, 595–607. [Google Scholar] [CrossRef]
- Bardgett, R.D.; Streeter, T.C.; Bol, R. Soil microbes compete effectively with plants for organic nitrogen inputs to temperate grasslands. Ecology 2013, 84, 1277–1287. [Google Scholar] [CrossRef]
- Li, L.L.; Li, S.T. Nitrogen mineralization from animal manures and its relation to organic N fractions. J. Integr. Agr. 2014, 13, 2040–2048. [Google Scholar] [CrossRef]
- Stevenson, F.J. Distribution of the forms of nitrogen in some soil profiles. Soil Sci. Soc. Am. J. 1957, 21, 283–287. [Google Scholar] [CrossRef]
- Rovira, P.; Vallelo, V.R. Labile and recalcitrant pools of carbon and nitrogen in organic matter decomposing at different depths in soil: An acid hydrolysis approach. Geoderma 2002, 107, 109–141. [Google Scholar] [CrossRef]
- Wang, W.; Chen, W.-C.; Wang, K.-R.; Xie, X.-L.; Yin, C.-M.; Chen, A.-L. Effects of Long-Term Fertilization on the Distribution of Carbon, Nitrogen and Phosphorus in Water-Stable Aggregates in Paddy Soil. Agric. Sci. China 2011, 10, 1932–1940. [Google Scholar] [CrossRef]
- Pessaraki, M.; Breshears, D.D.; Walworth, J.; Field, J.A.; Law, D.J. Candidate halophytic grasses for addressing land degradation: Shoot responses of Sporobolus airoides and paspalum vaginatum to weekly increasing NaCl concentration. Arid. Land Res. Manag. 2017, 31, 169–181. [Google Scholar] [CrossRef]
- Liu, W.L.; Pei, X.J.; Peng, S.M.; Wang, G.X.; Smoak, J.M.; Duan, B.L. Litter inputs drive increases in topsoil organic carbon after scrub encroachment in an alpine grassland. Pedobiologia 2021, 85–86, 150731. [Google Scholar] [CrossRef]
- Li, W.; Fan, Y.M. Responses of grassland community biomass and root-shoot ratio to nitrogen addition in different restoration years on the Loess Plateau. Acta Ecol. Sin. 2021, 41, 60–68. [Google Scholar] [CrossRef]








| Depth of Soil (cm) | Treatment | SWC (%) | BD (g/cm3) | pH | SOC (g/kg) | TN (g/kg) |
|---|---|---|---|---|---|---|
| 0–20 | natural sandy land (CK) | 6.41 ± 0.89 c | 1.40 ± 0.02 a | 6.86 ± 0.07 a | 2.32 ± 0.77 c | 0.24 ± 0.01 d |
| mixed forage (MG) | 10.20 ± 0.58 a | 1.33 ± 0.05 a | 6.37 ± 0.06 b | 6.04 ± 0.93 a | 0.66 ± 0.01 b | |
| single shrub (SA) | 8.21 ± 1.44 b | 1.38 ± 0.08 a | 6.33 ± 0.17 b | 4.13 ± 1.16 b | 0.33 ± 0.02 c | |
| shrub combination (SG) | 9.72 ± 1.05 ab | 1.39 ± 0.06 a | 6.74 ± 0.03 a | 5.90 ± 1.42 a | 0.69 ± 0.01 a | |
| 20–40 | natural sandy land (CK) | 6.99 ± 0.51 b | 1.43 ± 0.04 a | 6.91 ± 0.05 a | 2.47 ± 0.36 c | 0.20 ± 0.01 d |
| mixed forage (MG) | 9.37 ± 1.56 ab | 1.26 ± 0.12 b | 6.29 ± 0.10 c | 10.13 ± 2.53 a | 1.28 ± 0.09 a | |
| single shrub (SA) | 11.21 ± 3.39 a | 1.43 ± 0.06 a | 6.01 ± 0.19 d | 3.39 ± 0.52 bc | 0.34 ± 0.02 c | |
| shrub combination (SG) | 11.43 ± 2.21 a | 1.34 ± 0.02 ab | 6.65 ± 0.14 b | 5.06 ± 0.78 b | 0.63 ± 0.01 b | |
| 40–60 | natural sandy land (CK) | 9.72 ± 2.91 b | 1.42 ± 0.06 a | 6.81 ± 0.05 a | 1.81 ± 0.40 d | 0.17 ± 0.01 d |
| mixed forage (MG) | 10.67 ± 1.68 b | 1.37 ± 0.05 ab | 6.26 ± 0.10 b | 5.70 ± 0.56 b | 0.62 ± 0.01 b | |
| single shrub (SA) | 14.80 ± 1.35 a | 1.41 ± 0.07 ab | 6.15 ± 0.20 b | 3.32 ± 1.00 c | 0.42 ± 0.01 c | |
| shrub combination (SG) | 15.00 ± 3.93 a | 1.30 ± 0.09 b | 6.34 ± 0.19 b | 8.34 ± 0.45 a | 1.15 ± 0.02 a |
Disclaimer/Publisher’s Note: The statements, opinions and data contained in all publications are solely those of the individual author(s) and contributor(s) and not of MDPI and/or the editor(s). MDPI and/or the editor(s) disclaim responsibility for any injury to people or property resulting from any ideas, methods, instructions or products referred to in the content. |
© 2024 by the authors. Licensee MDPI, Basel, Switzerland. This article is an open access article distributed under the terms and conditions of the Creative Commons Attribution (CC BY) license (https://creativecommons.org/licenses/by/4.0/).
Share and Cite
Jiang, H.; Yang, N.; Qian, H.; Chen, G.; Wang, W.; Lu, J.; Li, Y.; Hu, Y. Effects of Different Ecological Restoration Pattern on Soil Organic Nitrogen Components in Alpine Sandy Land. Agronomy 2024, 14, 680. https://doi.org/10.3390/agronomy14040680
Jiang H, Yang N, Qian H, Chen G, Wang W, Lu J, Li Y, Hu Y. Effects of Different Ecological Restoration Pattern on Soil Organic Nitrogen Components in Alpine Sandy Land. Agronomy. 2024; 14(4):680. https://doi.org/10.3390/agronomy14040680
Chicago/Turabian StyleJiang, Haodong, Nairui Yang, Hongyu Qian, Gang Chen, Wei Wang, Jiankai Lu, Yaocen Li, and Yufu Hu. 2024. "Effects of Different Ecological Restoration Pattern on Soil Organic Nitrogen Components in Alpine Sandy Land" Agronomy 14, no. 4: 680. https://doi.org/10.3390/agronomy14040680
APA StyleJiang, H., Yang, N., Qian, H., Chen, G., Wang, W., Lu, J., Li, Y., & Hu, Y. (2024). Effects of Different Ecological Restoration Pattern on Soil Organic Nitrogen Components in Alpine Sandy Land. Agronomy, 14(4), 680. https://doi.org/10.3390/agronomy14040680

