Next Article in Journal
LeafDPN: An Improved DPN Model for the Identification of Bacterial Blight in Soybean in Natural Environments
Previous Article in Journal
A Lightweight Model for Weed Detection Based on the Improved YOLOv8s Network in Maize Fields
Previous Article in Special Issue
New Insights into Crop Molecular Breeding and Genetics
 
 
Font Type:
Arial Georgia Verdana
Font Size:
Aa Aa Aa
Line Spacing:
Column Width:
Background:
Article

Comparative Transcriptome Analysis of Eggplant (Solanum melongena L.) Peels with Different Glossiness

1
Vegetable Research Institute, Hangzhou Academy of Agricultural Sciences, Hangzhou 310024, China
2
College of Plant Science and Technology, Huazhong Agricultural University, Wuhan 430070, China
*
Authors to whom correspondence should be addressed.
These authors contributed equally to this work.
Agronomy 2024, 14(12), 3063; https://doi.org/10.3390/agronomy14123063
Submission received: 20 November 2024 / Revised: 18 December 2024 / Accepted: 20 December 2024 / Published: 22 December 2024
(This article belongs to the Special Issue Advances in Crop Molecular Breeding and Genetics)

Abstract

Peel glossiness is an important commercial trait of eggplant (Solanum melongena L.). In this study, two eggplant-inbred lines with different levels of peel glossiness were used to identify genes related to peel glossiness. Paraffin section analysis showed that increased wax thickness and wrinkles on the wax surface of eggplant peels decreased glossiness. Differential gene expression related to eggplant peel glossiness was analyzed by comparing the transcriptomes of eggplant peels with different gloss levels and at different developmental stages. The results identified 996 differentially expressed genes (DEGs), including 502 upregulated and 494 downregulated genes, possibly related to eggplant peel glossiness. GO enrichment and KEGG enrichment analyses revealed that the DNA replication pathway (GO:0003688, GO:0006270) and the photosynthesis pathway (map00195) were downregulated and thus may be associated with reduced eggplant peel glossiness. Expression level analysis of eggplant peels with different glossiness levels revealed that a C2H2 transcription factor gene, two ERF transcription factor genes, one long-chain acyl-CoA synthetase gene, and four wax- or cutin-related genes may be associated with the glossiness of eggplant fruit peels. These findings will help guide future genetic improvements in eggplant peel glossiness.

1. Introduction

Eggplant (Solanum melongena L.) is an important vegetable crop worldwide and Asia’s third most important vegetable crop, with extensive cultivation in both China and the Indian subcontinent [1]. According to the Food and Agriculture Organization (FAO), approximately 818,100 ha of eggplant were cultivated in China in 2022, yielding 3.83 million tons (https://www.fao.org/faostat/, accessed on 25 October 2024). The glossiness of eggplant peel is one of its most significant commercial traits. Consumers favor eggplants with higher glossiness because it is an important indicator of eggplant fruit freshness [2]. Consequently, research on eggplant peel glossiness is both theoretically and practically significant. The glossiness of eggplant skin can be affected by cultivation measures such as grafting and water management [3]. Nine quantitative trait locus (QTLs) associated with eggplant luster have been identified [4]. However, compared to other crops, such as cucumber (Cucumis sativus L.), there has been little research on the glossiness of eggplant peel.
Plant glossiness refers to the ability of plant surfaces to reflect light, which not only affects their appearance but also significantly affects their physiological functions, environmental adaptability, and resistance to pests and diseases [5,6]. Glossiness is also directly related to the market value of crops, as it is a consumer preference, particularly for vegetable crops such as peppers, tomatoes, and eggplants. Consequently, elucidating plant glossiness’s formation and regulation mechanisms could help improve crop quality significantly.
Studies have shown that plant glossiness is closely related to the composition of the epidermal wax and cuticle [7,8]. Plant epidermal wax is a complex mixture of very-long-chain fatty acids and their derivatives; however, the predominant constituents are very long-chain alkanes [9]. The cuticle is primarily composed of cutin and wax [10], and changes in these components can affect vegetable glossiness. For example, wax crystal-deficient mutants of Chinese cabbage (Brassica rapa L. ssp. pekinensis), such as wdm4 and wdm8, have almost no wax crystals and exhibit a glossy phenotype. In contrast, wild-type plants have obvious wax crystals and do not exhibit a glossy phenotype [11]. Liu et al. [12] found that the peel surface of control navel oranges was rough and covered with small flaky wax crystals, whereas mutant navel oranges had a shiny peel surface with almost no wax crystals. Cucumber Csgp mutants exhibit increased epidermal glossiness, lower wax content, and a thinner cuticle structure than wild-type plants [13]. The wax content of the cucumber fruit epidermis is negatively correlated with fruit glossiness [14]. However, increased wax content can improve the glossiness of tomato (Solanum lycopersicum) fruits [15]. Decreased cutin content and thinner cuticles also enhance tomato glossiness [16,17]. Wax content may also be unrelated to fruit glossiness; for example, in citrus, fruit surface glossiness is determined by the wax structure rather than the wax content [18].
The basic pathway for wax biosynthesis consists of three steps: de novo fatty acid synthesis, very-long-chain fatty acid (VLCFA) synthesis, and the synthesis of various wax components. The reported biosynthetic pathways of plant cuticular wax indicate that acetyl-CoA in the endoplasmic reticulum undergoes a tricarboxylic acid (TCA) cycle followed by de novo fatty acid synthesis to produce C16 and C18 fatty acids. These fatty acids are then elongated into VLCFAs, precursors for wax synthesis catalyzed by acyl reductases. The primary components of wax are generated via acyl reduction and decarboxylation pathways [19]. Numerous studies have identified genes related to plant wax and cutin. For example, the Arabidopsis gene CER4 encodes an alcohol-forming fatty acyl-CoA reductase involved in cuticular wax production [10]. Furthermore, the AP2/ERF transcription factor WRINKLED4 regulates cuticular wax biosynthesis [20,21]. He et al. [22] identified a key gene, TaCER1-6A, for cuticular alkane biosynthesis in wheat leaves, specifically catalyzing the biosynthesis of C27–C33 alkanes and promoting drought tolerance. In Chinese cabbage, the glossiness trait of line Y1211-1 is controlled by a single recessive locus, WAX2 (BrWAX2). The absence of BrWAX2 in the alkane formation pathway and the expression of other genes reduced the wax content, resulting in a glossy phenotype [8]. Cucumber transcription factor CsGLF1 is a locus that determines the glossiness trait. It encodes a homolog of the Cys2His2-like fold group (C2H2) zinc finger protein 6 (ZFP6), whose deletion leads to reduced cuticular wax accumulation and a glossy fruit peel [23]. Another gene, CsDULL, encodes a C2H2-type zinc finger transcription factor that regulates the biosynthesis and transport of cutin and wax by targeting two genes, CsGPAT4 and CsLTPG1, thereby affecting the glossiness of cucumber fruit peel [24]. The wax biosynthesis gene CsCER6 (ECERIFERUM6) and the regulatory gene CsCER7 may affect wax accumulation in cucumber fruits. CsCER6 and CsCER7 positively regulate epidermal wax accumulation in fruits, negatively affecting fruit glossiness [14]. Mutations in the CsSEC23 gene in cucumber lead to increased permeability and thinning of the fruit cuticle, thus impairing or altering the original vesicle transport function. Simultaneously, some substances that affect fruit glossiness, such as waxes and cutins, also undergo changes [13]. SlSHN1 acts as a transcriptional activator of wax synthesis in tomatoes. The overexpression of this gene significantly upregulates the expression of the GDSL lipase and acyl-CoA synthetase genes, thereby increasing the wax content of tomato peels [25]. The long-chain acyl-CoA synthetase (LACS) gene SlLACS1 is a key factor in epidermal wax synthesis, which enhances drought resistance in tomatoes and prolongs their shelf life [26]. In Brassica napus L., BnUC1 affects the formation of epidermal wax by regulating the expression of LTP and genes related to VLCFA biosynthesis, significantly influencing leaf glossiness [27].
This study aimed to identify genes related to eggplant peel glossiness using a comparative transcriptome analysis of eggplant peels with different levels of glossiness. The results will provide a theoretical basis and technical support for the molecular genetic improvement of eggplant quality.

2. Materials and Methods

2.1. Plant Samples and Preparation

Fruit peels from inbred eggplant lines A21 and A32 were used for transcriptome sequencing. Three glossy peel eggplant inbred lines (GZ1, ZE11, and ZSQ) and three non-glossy peel eggplant inbred lines (B209, B203, and HNQQ) were used to determine the expression of genes related to eggplant peel glossiness. The inbred eggplant lines used in this study were obtained from the Hangzhou Academy of Agricultural Sciences. All inbred lines were produced after at least eight generations of inbreeding. All materials were grown in a greenhouse at the Zhijiang Base of the Hangzhou Academy of Agricultural Sciences, Hangzhou, China (30°15′ N, 120°09′ E). During the fruiting period, the fruits of A21 were purple-black and those of A32 were purple-red.
The fruit peels of inbred lines A21 and A32 exhibited glossiness 7 d after flowering. However, 21 d after flowering, the fruit peel of inbred line A21 retained its glossiness, whereas that of inbred line A32 lost its glossiness. Fruit peels from inbred lines A21 and A32 were collected 7 and 21 d after flowering, respectively. These peels were cut into small pieces, approximately 0.5 × 0.5 cm, and quickly placed in liquid nitrogen for preservation until transcriptome sequencing. The peels collected 7 d after flowering from the two inbred lines were named A21a and A32a, whereas those collected 21 days after flowering were named A21b and A32b. Three biological replicates were used at each time point. None of the plants in this study were grafted.

2.2. Pericarps Paraffin Sectioning

Pericarps of different sizes from A21 and A32 were collected in Carnoy’s solution (alcohol). Paraffin sections (8-µm) of the pericarps were prepared using a microtome (RM2135, Leica, Wetzlar, Germany) and stained with 1% saffron solution and 1% fast green solution, according to Dai et al. [28]. The chromatic CIEL*a*b* parameters of the eggplant peel were registered using a colorimeter (CM-600D, MINOLTA, Osaka, Japan). In the leaf chromatic analysis, L* represents lightness, a* indicates the red/green coordinate, and b* signifies the yellow/blue coordinates.

2.3. Total RNA Extraction, Library Construction, and Sequencing

Total RNA was extracted from tissues using an RNAprep Pure Plant Plus Kit (DP441; Tiangen Biotech, Beijing, China) following the manufacturer’s instructions. RNA quality was assessed using a 5300 Bioanalyzer (Agilent, Santa Clara, CA, USA) and quantified using an ND-2000 spectrophotometer (NanoDrop Technologies, Wilmington, DE, USA). According to the manufacturer’s instructions, RNA purification, reverse transcription, library construction, and sequencing were performed at Shanghai Majorbio Bio-Pharm Biotechnology Co., Ltd. (Shanghai, China). The RNA-seq transcriptome library was prepared using an Illumina® Stranded mRNA Prep, Ligation Kit (Illumina, San Diego, CA, USA) with l µg of total RNA following the manufacturer’s instructions. After completing 10–15 cycles of cDNA PCR using the LongAmp Taq PCR Kit (New England Biolabs, Ipswich, MA, USA), as per the manufacturer’s guidelines, PCR adapters were attached directly to both termini of the first-strand cDNA. The sequencing library was constructed on an Illumina NovaSeq 6000 using a NovaSeq Reagent Kit (Illumina, San Diego, CA, USA) following the manufacturer’s instructions.

2.4. Bioinformatic Analysis of the Sequencing Data and Differential Expression Analysis

Raw reads obtained from sample sequencing were subjected to quality control using Fastp v0.23.4 [29]. Reads with adapters containing >10% N bases, consisting entirely of A bases, or classified as low-quality were excluded. The obtained clean reads were aligned with the eggplant reference genome HQ-1315 [30] using TopHat v2.1.1 [31].
To identify differentially expressed genes (DEGs) between the two samples, the expression level of each transcript was calculated according to the transcripts per million reads (TPM) method. RSEM v1.1.11 [32] was used to quantify gene abundance. Differential expression analysis was performed using DESeq2 v3.20 [33]. DEGs were defined by|log2FC| ≥ 1 and p adjust < 0.01.

2.5. Functional Enrichment and Transcription Factor Identification

Functional enrichment analyses were performed using gene ontology (GO) and the Kyoto Encyclopedia of Genes and Genomes (KEGG). DEGs were identified that were significantly enriched in GO terms and metabolic pathways at a Bonferroni-corrected p adjust < 0.05 and then compared with the whole-transcriptome background. Functional annotation of the DEGs was performed according to the GO analysis [34], and enrichment analysis was conducted using the GOseq v3.20, which uses the Wallenius non-central hypergeometric distribution [35] to account for potential gene length bias in the DEGs. KEGG pathway annotation was performed using BLAST against the KEGG database (accessible at http://www.genome.jp/kegg/, accessed on 3 September 2024). Subsequently, pathway enrichment analysis of the DEGs was performed using a KEGG orthology-based annotation system [36]. GO terms and KEGG pathways were significantly enriched if they exhibited a corrected p adjust < 0.05.
Transcription factors (TFs) were identified using iTAK (Plant Transcription Factor and Protein Kinase Identifier and Classifier) [37] to predict the DEGs, with reference to the PlnTFDB and PlantTFDB databases.

2.6. Quantitative Real-Time PCR

All primers used in this study were designed using Primer-Blast (https://www.ncbi.nlm.nih.gov/tools/primer-blast/, accessed on 3 September 2024) from NCBI (Bethesda, MD, USA) and synthesized by Sangon Biotech (Shanghai, China). Pepper β-actin gene [38] was used as an internal control for standardizing the expression data. The primer pairs used in this study are listed in Table S1. Quantitative real-time PCR (qRT-PCR) was performed following the guidelines provided for the 2× Hieff UNICON® Universal Blue qPCR SYBR Green Master Mix by YEASEN (Shanghai, China), and the results were analyzed using the Quant Studio 5 real-time PCR system manufactured by Thermo Fisher Scientific, Inc. (Waltham, MA, USA). The relative mRNA expression levels were calculated using the2−ΔΔCt method. Each experiment included three biological and three technical replicates.

3. Results

3.1. Morphological Characteristics of Eggplant Peel Glossiness

The fruits of the inbred eggplant lines A21 and A32 are purple-black and purple-red, respectively. Seven days post-flowering (dpf), the fruits of A21 were approximately 5 cm and 12 g, and those of A32 were approximately 10 cm and 20 g (Figure 1a,c). By 21 dpf, the A21 and A32 fruits were approximately 20 cm and 85 g (Figure 1b,d). On day 7, the pericarps of both inbred lines had a glossy appearance; the CIEL*a*b* of A21a was L* = 27.17, a* = 11.27, and b* = −7.19, whereas the CIEL*a*b* of A32a was L* = 43.04, a* = 26.06, and b* = −10.74. However, 21 dpf, the pericarp of A21 remained glossy, and the CIEL*a*b* was L* = 24.63, a* = 4.68, and b* = −5.90, whereas that of A32b, which was no longer glossy, was L* = 46.20, a* = 19.90, and b* = −8.26. Paraffin section analysis revealed that at 7 dpf, there was little wax on the pericarp surface of either variety, with only thin and nearly absent layers (Figure 1e,g). By 21 dpf, the wax content on the pericarp surface increased, but the thickness of the epidermal wax in A32 (8.75 μm) was significantly greater than that in A21 (7.79 μm). The epidermal wax of A21 fruits appeared smoother, whereas the surface of A32 epidermal wax exhibited severe wrinkling (Figure 1f,h). We hypothesized that an increase in wax thickness and wrinkling on the epidermal surface of eggplant fruits would reduce the glossiness of the pericarps.

3.2. Quality Results of the Eggplant Peel Transcriptome Sequencing

Transcriptome sequencing was conducted on eggplant fruit peels (Figure 1) at different stages with three biological replicates per group. The raw sequencing data of the 12 samples ranged from 9.77 to 12.94 Gb. After statistical and quality assessments of the raw sequencing data and the removal of sequences contaminated with adapters, the proportion of high-quality sequence bases obtained was >98% for all samples (Table 1). This indicated that sequencing quality control was good and the data were reliable. The degree of matching between the transcriptome data and reference genome was >96% for all samples, indicating that the alignment results were satisfactory (Table 1) and could be used for further analysis.

3.3. Gene Expression in Eggplant Peels During Development

Compared with the reference genome, 28,693 expressed genes were detected in this transcriptome analysis, including 25,924 known and 2769 novel genes. Principal component analysis (PCA) revealed that the expressed genes in the peels of the two inbred eggplant lines were significantly separated at different developmental stages, whereas those within the same group clustered to varying degrees (Figure 2a). The number of differentially expressed genes (DEGs) between peels 7 and 21 dpf was generally consistent in both A21 and A32 (Figure 2b–d). In A21, there were 2670 DEGs, of which 1174 were upregulated in A21b and 1496 were downregulated. In A32, there were 2960 DEGs, with 1475 upregulated in A32b and 1485 downregulated. Because there was no difference in peel glossiness between 7 and 21 DPA in A21, the DEGs in A21 were unrelated to peel glossiness. Therefore, after excluding common DEGs in A32 and A21, 1993 DEGs were identified. Due to differences in peel glossiness between A32b and A21b, 4234 DEGs that may be related to glossiness were identified. At the intersection of the 1993 and 4234 DEGs, 996 DEGs (Table S2) were most likely associated with eggplant peel glossiness. These 996 DEGs were used for further analyses. A32b contained 502 upregulated DEGs and 494 downregulated DEGs compared with A32a.

3.4. GO Functional Annotation and KEGG Pathway Analysis of DEGs Related to Glossiness

GO enrichment analysis was conducted on the 996 DEGs, resulting in 303 enriched GO pathways, including 17 significantly related (p adjust < 0.05) pathways (Figure 3a, Table S3). Cellular components were primarily classified into the MCM complex, plasma membrane, endoplasmic reticulum lumen, chloroplast thylakoid membrane, plastid thylakoid membrane, and extracellular region. Molecular functions were primarily categorized as DNA replication-origin binding. Biological processes are primarily grouped into double-strand break repair, DNA replication initiation, recombination repair, double-strand break repair via homologous recombination, response to stimulus, cell cycle process, cellular response to stress, and cellular response to stimuli. DNA replication-related pathways were enriched in both molecular functions and biological processes, encompassing nine DEGs. Compared with A32a cells, all nine DEGs were downregulated in A32b cells. These results indicate that downregulation of the DNA replication pathway (GO:0003688, GO:0006270) may be associated with reduced glossiness in eggplant peels.
KEGG enrichment analysis was conducted on the 996 differentially expressed genes (DEGs), and 93 pathways were identified (Figure 3b). Among these, two pathways (Table S4), flavonoid biosynthesis and photosynthesis, were significantly enriched (p adjust < 0.05). According to the KEGG enrichment analysis network diagram (Figure S1, Network plot of top 20 KEGG enrichment pathways), the two significantly enriched pathways mentioned above do not exhibit correlation with other pathways. The NR and Swiss-Prot descriptions indicate that the flavonoid biosynthesis pathway (map00941) contains nine genes. Two of these genes were related to acylsugar acyltransferase, two were flavonoid-related, and the remaining five were associated with agmatine hydroxycinnamoyl transferase, flavanone 3-hydroxylase, chalcone-flavonone isomerase, acetyl-CoA-benzylalcohol acetyltransferase, and anthocyanin synthase. The photosynthesis pathway (map00195) comprised 12 genes: four related to photosystem II, two to photosystem I, four to ferredoxin, and the remaining two to plastocyanin A and PsbP-like proteins. It is noteworthy that compared with glossy A21b, the expression of all 12 genes in the photosynthetic pathway was significantly downregulated in A32b. This suggests that the reduction in eggplant peel glossiness may be correlated with the downregulation of the photosynthetic pathway.

3.5. Identification of Differentially Expressed TFs

Analysis of the 996 DEGs identified 71 transcription factors corresponding to 66 DEGs (Table S5). These included 25 categories of transcription factors, with 44 upregulated and 27 downregulated genes. Among them, bHLH and ERF transcription factors were the most abundant, with 12 and 8 transcription factors, respectively, followed by bZIP (5), MYB (5), Dof (4), SBP (4), WRKY (4), and 34 belonging to 20 other categories. It is of note that compared with A32a, all eight ERF transcription factors were upregulated in A32b.

3.6. Expression of Candidate Genes Related to Peel Glossiness

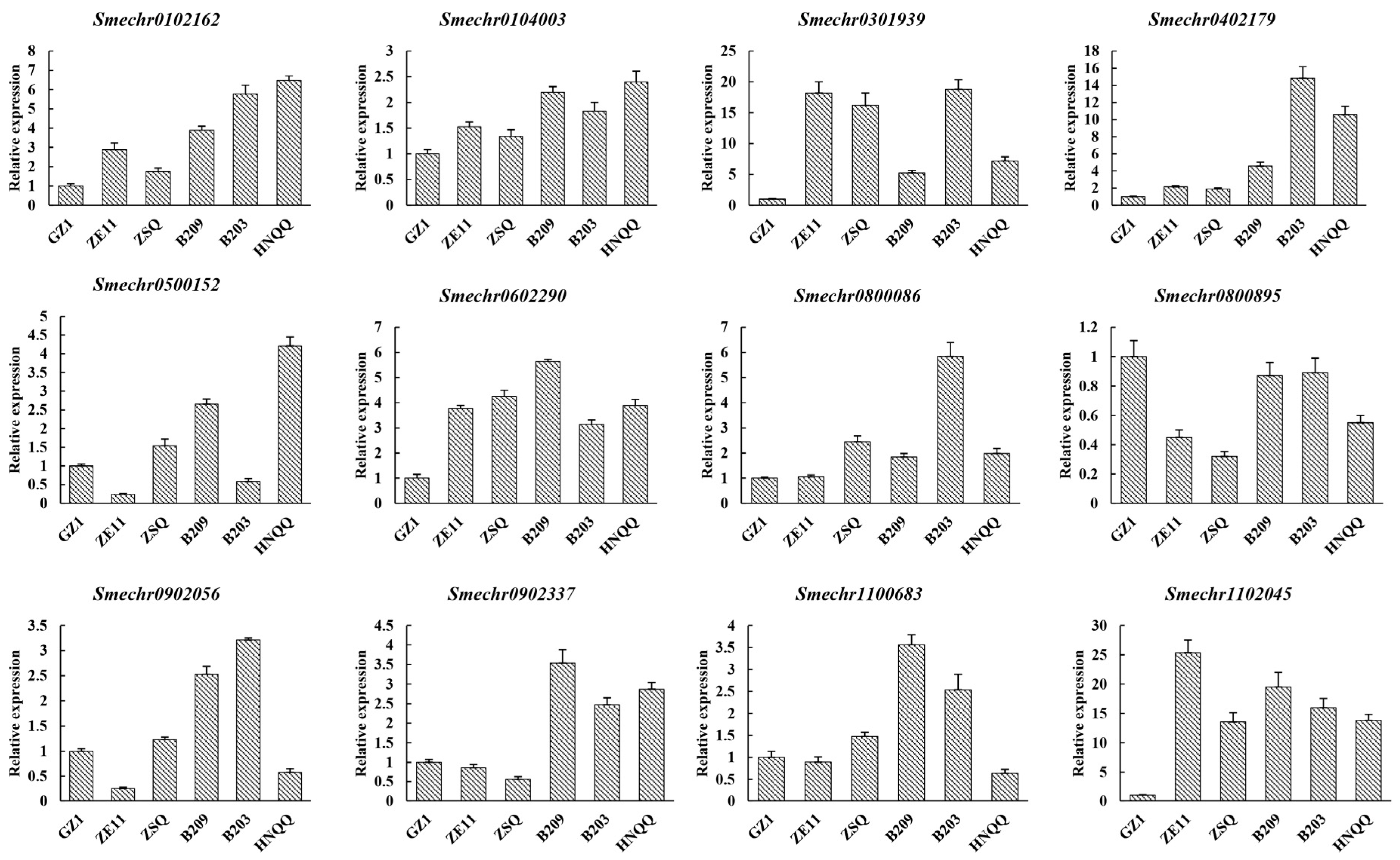
According to the literature, the formation of plant wax may be related to ECERIFERUM [14], wax biosynthetic processes [13], C2H2 transcription factors [24], AP2/ERF transcription factors [20,21], and long-chain acyl-CoA synthetase [26] genes. By searching for related genes among the DEGs, we identified two C2H2 transcription factors (Smechr0104003, Smechr0902056), eight AP2/ERF transcription factors (Smechr0602290, Smechr0301939, Smechr0500152, Smechr0902337, Smechr0800086, Smechr0402179, Smechr1100683, Smechr1102045), one long-chain acyl-CoA synthetase gene (Smechr0102162), and one ECERIFERUM gene (Smechr0800895) that only showed significant differences between A21b and A32b. The expression levels of these 12 genes were examined in three inbred cultivars (GZ1, ZE11, and ZSQ) with high glossiness and three inbred cultivars (B209, B203, and HNQQ) with no glossiness on their fruit peels using qRT-PCR (Figure 4). The results indicated that one C2H2 transcription factor gene (Smechr0104003), two ERF transcription factor genes (Smechr0402179 and Smechr0902337), and the long-chain acyl-CoA synthetase gene (Smechr0102162) were expressed at lower levels in eggplant fruit peels with high glossiness than in those with no glossiness. These four genes may be associated with eggplant glossiness.

4. Discussion

Glossiness in plants is a complex trait influenced by multiple factors and closely related to various physiological and biochemical processes [39,40,41]. In this study, we used paraffin sections to examine the structures of eggplant peels with different levels of glossiness. We found that peel glossiness may be closely associated with the thickness of the wax layer and the degree of surface wrinkling. This finding is consistent with that of Liu et al. [14], who found that thicker wax layers resulted in lower glossiness. However, other studies have suggested that wax content may not directly affect plant glossiness; rather, it is the arrangement of wax that plays a key role. For example, Zhang et al. [18] investigated the glossiness of sweet orange (Citrus sinensis L. Osbeck) fruit surfaces. They found that the structure of the wax, rather than the total wax content, was the primary determinant of glossiness. In our study, we also noted significant surface wrinkling of the wax on eggplant peels with lower glossiness. These wrinkles may result from differences in the arrangement of the wax molecules [18], which further affects peel glossiness. To explore the relationship between the wax thickness, arrangement, and glossiness in greater detail, we plan to use scanning electron microscopy (SEM) to examine the microstructures of the eggplant peel surfaces. This will help us better understand the physiological basis of glossiness formation in eggplant and provide theoretical data that could help to improve its appearance.
Cultivation measures often significantly impact crop quality in agricultural production [42,43]. The nutritional status of a plant can significantly influences its overall health and performance, which in turn may manifest in observable traits such as fruit glossiness. For instance, adequate levels of essential nutrients like nitrogen, phosphorus, and potassium are vital for optimal plant growth and development [44]. These nutrients support basic physiological processes and contribute to the formation and quality of fruits. Therefore, variations in nutrient availability could impact the glossiness of eggplant fruits. Researchers can gain insights into how plant nutrition influences fruit quality and appearance by systematically examining these traits and their relationship with eggplant glossiness. The fruit peel glossiness of the inbred lines in this study exhibited consistency under the cultivation conditions across two consecutive seasons (spring and fall of 2023). It is speculated that the glossiness of the inbred line fruit peels is largely determined by genetic factors. Of course, we did not cultivate the inbred lines in extreme conditions such as drought or nutrient deficiency. Whether environmental factors would impact the fruit peel glossiness of the inbred lines in this study must be further investigated.
Wax significantly influences plant glossiness, and has multiple processing stages, such as wax synthesis and transport. Wax synthesis occurs via various pathways, including the production of C16 to C18 fatty acids, synthesis of C20 to C34 very-long-chain fatty acids (VLCFAs), and further conversion of these VLCFA derivatives [45]. The wax components, synthesized and modified by various enzymes in the endoplasmic reticulum, are first transported to the cell membrane, then undergo transmembrane transport via transporter proteins, and are finally transported across the cell wall to the cuticle layer via lipid transfer proteins [39,45,46]. The synthesis and transport of wax involves numerous genes and can alter gene expression. This study identified many DEGs between any two samples, highlighting the complex and multifaceted nature of the factors determining eggplant peel glossiness. Screening for genes directly related to eggplant glossiness from a large number of DEGs is a challenging task. In future studies, we will measure physiological and biochemical indicators in eggplant peels with different gloss levels to identify the physiological and biochemical pathways potentially involved in regulating eggplant glossiness, thereby providing data to aid in the screening of related genes.
Wax and cutin are important factors that affect the glossiness of plant surfaces, and significantly affect the appearance and adaptability of plants [7,8]. Among the four eggplant peel samples, A21a, A21b, A32a, and A32b, the first three samples (A21a, A21b, and A32a) displayed high peel glossiness, whereas A32b was the only peel to exhibit noticeably reduced glossiness. By comparing the differences in gene expression between A32b and the three other high-gloss samples, seven genes potentially related to wax and cutin synthesis were identified (see Table S6). Among these, four genes were highly expressed in A32b, while the remaining three showed relatively lower expression levels. Because the results suggest that an increase in wax content may reduce peel glossiness, wax- and cutin-related genes that are highly expressed in A32b may play inhibitory roles. These highly expressed genes included Smechr0100391, Smechr0103283, Smechr0500624, and Smechr0900645, which may be candidate genes regulating the glossiness of eggplant peel. However, further experimental studies are required to verify the specific roles of these genes in determining peel glossiness in eggplant.
In this study, GO enrichment and KEGG enrichment analysis revealed that the downregulation of the DNA replication and photosynthesis pathways may be associated with reduced eggplant peel glossiness. The glossiness of plants is related to wax biosynthesis, which is a relatively independent process from DNA replication. There is no direct biological connection between them. However, studies on the regulation of cuticular wax in the awns of barley (Hordeum vulgare L.) [47], specifically the characterization of glossy spike mutants in barley and the identification of candidate genes regulating epidermal wax synthesis, suggest that cuticular wax synthesis might also be linked to DNA replication. The specific mechanism connecting these two pathways requires further analysis. According to previous research, increased wax content on the leaves can prevent water from entering pores and increase resistance to gas diffusion [48]. When wax partially covers stomata, the cross-sectional area for gas diffusion is reduced. Therefore, stomatal conductance should also decrease when leaf wax is high. In addition, the wax on leaf surfaces considerably impacts light reflection. An increase in wax coverage on the leaves of Japanese yew (Taxus cuspidata L.) reduces stomatal conductance, thereby decreasing the photosynthetic rate of the seedlings’ leaves [49]. In this study, the thickening and folding of the waxy layer reduced the glossiness of eggplant peels, potentially leading to increased light reflection and decreased stomatal conductance, subsequently decreasing photosynthesis in the eggplant peel. This finding aligns with the results of the KEGG enrichment analysis.

5. Conclusions

The glossiness of eggplant peels is an important commercial trait. Paraffin section analysis revealed that increased wax thickness and wrinkles on the wax surface of eggplant peels decreased glossiness. Differential gene expression related to eggplant peel glossiness was analyzed by comparing transcriptomes of eggplant peels with different gloss levels and at different developmental stages. In total, 996 DEGs were identified, including 502 upregulated and 494 downregulated genes, which may be related to eggplant peel glossiness. GO and KEGG enrichment analyses revealed that downregulation of the DNA replication pathway (GO:0003688, GO:0006270) and the photosynthesis pathway (map00195) may be associated with reduced eggplant peel glossiness. Expression level analysis identified eight genes associated with eggplant fruit peel glossiness. The results will provide a theoretical basis and technical support for the molecular genetic improvement of eggplant quality and, ultimately, help farmers obtain high-quality agricultural products.

Supplementary Materials

The following supporting information can be downloaded at: https://www.mdpi.com/article/10.3390/agronomy14123063/s1, Table S1: primers for qRT-PCR used in the present study; Table S2: DEGs between A32b and A32a; Table S3: the significant GO terms in in A32b vs. A32a; Table S4: the significant metabolic pathways in A32b vs. A32a; Table S5: the transcription factors from the DEGs; Table S6: the expression of Seven genes potentially related to wax and cutin synthesis in the transcriptome; Figure S1: network plot of top 20 KEGG enrichment pathways.

Author Contributions

Conceptualization, Z.N. and J.Z.; methodology, H.W. and Z.N.; investigation, H.W., Z.N., T.W., and S.Y.; resources, H.W. and J.Z.; data curation, Z.N., S.Y., and T.W.; writing—original draft preparation, Z.N.; writing—review and editing, H.W. and Z.N.; supervision, J.Z.; funding acquisition, H.W. and J.Z. All authors have read and agreed to the published version of the manuscript.

Funding

This research was funded by the Technology Project of the Hangzhou Academy of Agricultural Sciences, grant number 2022HNCT-02, the Grand Science and Technology Special Project of Zhejiang Province, grant number 2021C02065 and the Hangzhou Agricultural Science and Technology Cooperation and Innovation Project, grant number Hangnong 202158, 20241203A03.

Data Availability Statement

The original contributions presented in the study are included in the article and Supplementary Materials, further inquiries can be directed to the corresponding author.

Conflicts of Interest

The authors declare no conflicts of interest.

References

  1. Alam, I.; Salimullah, M. Genetic engineering of eggplant (Solanum melongena L.): Progress, controversy and potential. Horticulturae 2021, 7, 78. [Google Scholar] [CrossRef]
  2. Jha, S.N.; Matsuoka, T. Objective Method of estimation of post-harvest freshness of eggplant fruits. IFAC Proc. Vol. 2001, 34, 67–70. [Google Scholar] [CrossRef]
  3. Argento, S.; Treccarichi, S.; Arena, D.; Rizzo, G.F.; Branca, F. Exploitation of a grafting technique for improving the water use efficiency of eggplant (Solanum melongena L.) grown in a cold greenhouse in mediterranean climatic conditions. Agronomy 2023, 13, 2705. [Google Scholar] [CrossRef]
  4. Gaccione, L.; Martina, M.; Barchi, L.; Portis, E. A compendium for novel marker-based breeding strategies in eggplant. Plants 2023, 12, 1016. [Google Scholar] [CrossRef]
  5. Jetter, R.; Kunst, L.; Samuels, A.L. Composition of Plant Cuticular Waxes. Ann. Plant Rev. Biol. Plant Cuticle 2007, 23, 145–181. [Google Scholar] [CrossRef]
  6. Wang, W.; Liu, X.; Gai, X.; Ren, J.; Liu, X.; Cai, Y.; Wang, Q.; Ren, H. Cucumis sativus L. WAX2 plays a pivotal role in wax biosynthesis, influencing pollen fertility and plant biotic and abiotic stress responses. Plant Cell Physiol. 2015, 56, 1339–1354. [Google Scholar] [CrossRef] [PubMed]
  7. Zheng, J.; He, C.; Qin, Y.; Lin, G.; Park, W.D.; Sun, M.; Li, J.; Lu, X.; Zhang, C.; Yeh, C.T.; et al. Co-expression analysis aids in the identification of genes in the cuticular wax pathway in maize. Plant J. 2019, 97, 530–542. [Google Scholar] [CrossRef]
  8. Yang, S.; Liu, H.; Wei, X.; Zhao, Y.; Wang, Z.; Su, H.; Zhao, X.; Tian, B.; Zhang, X.W.; Yuan, Y. BrWAX2 plays an essential role in cuticular wax biosynthesis in Chinese cabbage (Brassica rapa L. ssp. pekinensis). Theor. Appl. Genet. 2022, 135, 693–707. [Google Scholar] [CrossRef]
  9. Samuels, L.; Kunst, L.; Jetter, R. Sealing plant surfaces: Cuticular wax formation by epidermal cells. Annu. Rev. Plant Biol. 2008, 59, 683–707. [Google Scholar] [CrossRef] [PubMed]
  10. Rowland, O.; Zheng, H.; Hepworth, S.R.; Lam, P.; Jetter, R.; Kunst, L. CER4 encodes an alcohol-forming fatty acyl-coenzyme A reductase involved in cuticular wax production in Arabidopsis. Plant Physiol. 2006, 142, 866–877. [Google Scholar] [CrossRef]
  11. Tang, X.; Song, G.; Zou, J.; Ren, J.; Feng, H. BrBCAT1 mutation resulted in deficiency of epicuticular wax crystal in Chinese cabbage. Theor. Appl. Genet. 2024, 137, 123. [Google Scholar] [CrossRef] [PubMed]
  12. Liu, D.C.; Zeng, Q.; Ji, Q.X.; Liu, C.F.; Liu, S.B.; Liu, Y. A comparison of the ultrastructure and composition of fruits’ cuticular wax from the wild-type ‘Newhall’ navel orange (Citrus sinensis [L.] Osbeck cv. Newhall) and its glossy mutant. Plant Cell Rep. 2012, 31, 2239–2246. [Google Scholar] [CrossRef] [PubMed]
  13. Gao, L.; Cao, J.; Gong, S.; Hao, N.; Du, Y.; Wang, C.; Wu, T. The COPII subunit CsSEC23 mediates fruit glossiness in cucumber. Plant J. 2023, 116, 524–540. [Google Scholar] [CrossRef] [PubMed]
  14. Liu, X.; Ge, X.; An, J.; Liu, X.; Ren, H. CsCER6 and CsCER7 Influence Fruit Glossiness by Regulating Fruit Cuticular Wax Accumulation in Cucumber. Int. J. Mol. Sci. 2023, 24, 1135. [Google Scholar] [CrossRef]
  15. Xiong, C.; Xie, Q.; Yang, Q.; Sun, P.; Gao, S.; Li, H.; Zhang, J.; Wang, T.; Ye, Z.; Yang, C. WOOLLY, interacting with MYB transcription factor MYB31, regulates cuticular wax biosynthesis by modulating CER6 expression in tomato. Plant J. 2020, 103, 323–337. [Google Scholar] [CrossRef] [PubMed]
  16. Petit, J.; Bres, C.; Just, D.; Garcia, V.; Mauxion, J.P.; Marion, D.; Bakan, B.; Joubès, J.; Domergue, F.; Rothan, C. Analyses of tomato fruit brightness mutants uncover both cutin-deficient and cutin-abundant mutants and a new hypomorphic allele of GDSL lipase. Plant Physiol 2014, 164, 888–906. [Google Scholar] [CrossRef]
  17. Petit, J.; Bres, C.; Mauxion, J.P.; Tai, F.W.; Martin, L.B.; Fich, E.A.; Joubès, J.; Rose, J.K.; Domergue, F.; Rothan, C. The Glycerol-3-phosphate acyltransferase GPAT6 from tomato plays a central role in fruit cutin biosynthesis. Plant Physiol 2016, 171, 894–913. [Google Scholar] [CrossRef] [PubMed]
  18. Zhang, J. Establishment of an Identification Method for Citrus Fruit Surface Glossiness. Master’s Thesis, Huazhong Agricultural University, Wuhan, China, 2022. [Google Scholar]
  19. Li, L.; Zhao, M.; Wang, J.; Liu, S.; Wang, G.; Schnable, S.P. Research progress on genetic mechanisms of plant epidermal wax synthesis, transport and regulation. J. China Agric. Univ. 2023, 28, 1–19. [Google Scholar] [CrossRef]
  20. Park, C.S.; Go, Y.S.; Suh, M.C. Cuticular wax biosynthesis is positively regulated by WRINKLED4, an AP2/ERF-type transcription factor, in Arabidopsis stems. Plant J. 2016, 88, 257–270. [Google Scholar] [CrossRef]
  21. Kim, H.; Go, Y.S.; Suh, M.C. DEWAX2 transcription factor negatively regulates cuticular wax biosynthesis in Arabidopsis leaves. Plant Cell Physiol. 2018, 59, 966–977. [Google Scholar] [CrossRef] [PubMed]
  22. He, J.; Li, C.; Hu, N.; Zhu, Y.; He, Z.; Sun, Y.; Wang, Z.; Wang, Y. ECERIFERUM1-6A is required for the synthesis of cuticular wax alkanes and promotes drought tolerance in wheat. Plant Physiol. 2022, 190, 1640–1657. [Google Scholar] [CrossRef]
  23. Yang, Y.; Cai, C.; Wang, Y.; Wang, Y.; Ju, H.; Chen, X. Cucumber glossy fruit 1 (CsGLF1) encodes the zinc finger protein 6 that regulates fruit glossiness by enhancing cuticular wax biosynthesis. Hortic. Res. 2022, 10, 237. [Google Scholar] [CrossRef] [PubMed]
  24. Zhai, X.; Wu, H.; Wang, Y.; Zhang, Z.; Shan, L.; Zhao, X.; Wang, R.; Liu, C.; Weng, Y.; Wang, Y.; et al. The fruit glossiness locus, dull fruit (D), encodes a C(2)H(2)-type zinc finger transcription factor, CsDULL, in cucumber (Cucumis sativus L.). Hortic. Res. 2022, 9, 146. [Google Scholar] [CrossRef] [PubMed]
  25. Al-Abdallat, A.M.; Al-Debei, H.S.; Ayad, J.Y.; Hasan, S. Over-expression of SlSHN1 gene improves drought tolerance by increasing cuticular wax accumulation in tomato. Int. J. Mol. Sci. 2014, 15, 19499–19515. [Google Scholar] [CrossRef]
  26. Wu, P.; Li, S.; Yu, X.; Guo, S.; Gao, L. Identification of long-chain acyl-CoA synthetase gene family reveals that SlLACS1 is essential for cuticular wax biosynthesis in tomato. Int. J. Biol Macromol. 2024, 277, 134438. [Google Scholar] [CrossRef] [PubMed]
  27. Ni, F.; Yang, M.; Chen, J.; Guo, Y.; Wan, S.; Zhao, Z.; Yang, S.; Kong, L.; Chu, P.; Guan, R. BnUC1 is a key regulator of epidermal wax biosynthesis and lipid transport in Brassica napus. Int. J. Mol. Sci. 2024, 25, 9533. [Google Scholar] [CrossRef] [PubMed]
  28. Dai, J.; Zhang, R.; Wei, B.; Nie, Z.; Xing, G.; Zhao, T.; Yang, S.; Gai, J. Key biological factors related to outcrossing-productivity of cytoplasmic-nuclear male-sterile lines in soybean [Glycine max (L.) Merr.]. Euphytica 2017, 213, 266. [Google Scholar] [CrossRef]
  29. Chen, S.; Zhou, Y.; Chen, Y.; Gu, J. fastp: An ultra-fast all-in-one FASTQ preprocessor. Bioinformatics 2018, 34, i884–i890. [Google Scholar] [CrossRef] [PubMed]
  30. Wei, Q.; Wang, J.; Wang, W.; Hu, T.; Hu, H.; Bao, C. A high-quality chromosome-level genome assembly reveals genetics for important traits in eggplant. Hortic. Res. 2020, 7, 153. [Google Scholar] [CrossRef]
  31. Kim, D.; Pertea, G.; Trapnell, C.; Pimentel, H.; Kelley, R.; Salzberg, S.L. TopHat2: Accurate alignment of transcriptomes in the presence of insertions, deletions and gene fusions. Genome Biol. 2013, 14, R36. [Google Scholar] [CrossRef]
  32. Li, B.; Dewey, C.N. RSEM: Accurate transcript quantification from RNA-Seq data with or without a reference genome. BMC Bioinform. 2011, 12, 323. [Google Scholar] [CrossRef] [PubMed]
  33. Love, M.I.; Huber, W.; Anders, S. Moderated estimation of fold change and dispersion for RNA-seq data with DESeq2. Genome Biol. 2014, 15, 550. [Google Scholar] [CrossRef] [PubMed]
  34. Conesa, A.; Götz, S.; García-Gómez, J.M.; Terol, J.; Talón, M.; Robles, M. Blast2GO: A universal tool for annotation, visualization and analysis in functional genomics research. Bioinformatics 2005, 21, 3674–3676. [Google Scholar] [CrossRef] [PubMed]
  35. Young, M.D.; Wakefield, M.J.; Smyth, G.K.; Oshlack, A. goseq: Gene ontology testing for RNA-seq datasets. R. Bioconduct. 2012, 8, 1–25. [Google Scholar]
  36. Mao, X.; Cai, T.; Olyarchuk, J.G.; Wei, L. Automated genome annotation and pathway identification using the KEGG Orthology (KO) as a controlled vocabulary. Bioinformatics 2005, 21, 3787–3793. [Google Scholar] [CrossRef]
  37. Zheng, Y.; Jiao, C.; Sun, H.; Rosli, H.G.; Pombo, M.A.; Zhang, P.; Banf, M.; Dai, X.; Martin, G.B.; Giovannoni, J.J.; et al. iTAK: A program for genome-wide prediction and classification of plant transcription factors, transcriptional regulators, and protein kinases. Mol. Plant 2016, 9, 1667–1670. [Google Scholar] [CrossRef] [PubMed]
  38. Lv, J.; Liu, Z.; Liu, Y.; Ou, L.; Deng, M.-H.; Wang, J.; Song, J.; Ma, Y.; Chen, W.; Zhang, Z.; et al. Comparative transcriptome analysis between cytoplasmic male-sterile line and its maintainer during the floral bud development of pepper. Hortic. Plant J. 2020, 6, 89–98. [Google Scholar] [CrossRef]
  39. Hao, Y.; Luo, H.; Wang, Z.; Lu, C.; Ye, X.; Wang, H.; Miao, L. Research progress on the mechanisms of fruit glossiness in cucumber. Gene 2024, 927, 148626. [Google Scholar] [CrossRef] [PubMed]
  40. Hassanzadeh-Khayyat, M.; Akaberi, M.; Moalemzadeh Haghighi, H.; Sahebkar, A.; Emami, S.A. Distribution and variability of n-alkanes in waxes of conifers. J. Forestry. Res. 2019, 30, 429–433. [Google Scholar] [CrossRef]
  41. Ezer, R.; Manasherova, E.; Gur, A.; Schaffer, A.A.; Tadmor, Y.; Cohen, H. The dominant white color trait of the melon fruit rind is associated with epicuticular wax accumulation. Planta 2024, 260, 97. [Google Scholar] [CrossRef]
  42. Singh, Y.V.; Singh, K.K.; Sharma, S.K. Influence of crop nutrition on grain yield, seed quality and water productivity under two rice cultivation systems. Rice Sci. 2013, 20, 129–138. [Google Scholar] [CrossRef]
  43. Vidalis, N.; Kourkouvela, M.; Argyris, D.-C.; Liakopoulos, G.; Alexopoulos, A.; Petropoulos, S.A.; Karapanos, I. The impact of salinity on growth, physio-biochemical characteristics, and quality of Urospermum picroides and Reichardia picroides plants in varied cultivation regimes. Agriculture 2023, 13, 1852. [Google Scholar] [CrossRef]
  44. Besford, R.T.; Maw, G.A. Effect of potassium nutrition on tomato plant growth and fruit development. Plant Soil 1975, 42, 395–412. [Google Scholar] [CrossRef]
  45. Lu, W.; Zheng, W.; Wu, Y.; Zang, Y. Research review on features and molecular mechanism of wax formation in Brassicaceae. J. Zhejiang A&F Univ. 2021, 38, 205–213. [Google Scholar]
  46. Debono, A.; Yeats, T.H.; Rose, J.K.; Bird, D.; Jetter, R.; Kunst, L.; Samuels, L. Arabidopsis LTPG is a glycosylphosphatidylinositol-anchored lipid transfer protein required for export of lipids to the plant surface. Plant Cell 2009, 21, 1230–1238. [Google Scholar] [CrossRef] [PubMed]
  47. Bian, X.; Yao, L.; Si, E.; Meng, Y.; Li, B.; Ma, X.; Yang, K.; Lai, Y.; Shang, X.; Li, C.; et al. Characterization of glossy spike mutants and identification of candidate genes regulating cuticular wax synthesis in barley (Hordeum vulgare L.). Int. J. Mol. Sci. 2022, 23, 13025. [Google Scholar] [CrossRef] [PubMed]
  48. Mohammadian, M.A.; Watling, J.R.; Hill, R.S. The impact of epicuticular wax on gas-exchange and photoinhibition in Leucadendron lanigerum (Proteaceae). Acta Oecologica 2007, 31, 93–101. [Google Scholar] [CrossRef]
  49. Li, W.; Li, J.; Wei, J.; Niu, C.; Yang, D.; Jiang, B. Response of photosynthesis, the xanthophyll cycle, and wax in Japanese yew (Taxus cuspidata L.) seedlings and saplings under high light conditions. Peer J. 2023, 11, e14757. [Google Scholar] [CrossRef]
Figure 1. Morphological characteristics related to fruit peel glossiness in the inbred eggplant lines A21 and A32. Fruits of A21 7 d (a) and 21 d (b) and A32 7 d (c) and 21 d (d) after flowing. Paraffin sections of the fruit epidermis of A21 7 d (e) and 21 d (f) and A32 7 d (g) and 21 d (h) after flowing.
Figure 1. Morphological characteristics related to fruit peel glossiness in the inbred eggplant lines A21 and A32. Fruits of A21 7 d (a) and 21 d (b) and A32 7 d (c) and 21 d (d) after flowing. Paraffin sections of the fruit epidermis of A21 7 d (e) and 21 d (f) and A32 7 d (g) and 21 d (h) after flowing.
Agronomy 14 03063 g001
Figure 2. Gene expression in eggplant peels from inbred lines A21 and A32. (a) Principal component analysis (PCA) of expressed genes in eggplant inbred lines A21 and A32. (b) Histogram of the differentially expressed genes (DEGs) in inbred eggplant lines A21 and A32. (c) Volcano plots of the DEGs in inbred eggplant lines A21 and A32. (d) Clustering heatmap of the DEGs in inbred eggplant lines A21 and A32. The horizontal coordinate represents the names of the samples and their clustering results, while the vertical coordinate indicates the differential genes and the clustering results of these genes. The different colors on the right represent different subclusters.
Figure 2. Gene expression in eggplant peels from inbred lines A21 and A32. (a) Principal component analysis (PCA) of expressed genes in eggplant inbred lines A21 and A32. (b) Histogram of the differentially expressed genes (DEGs) in inbred eggplant lines A21 and A32. (c) Volcano plots of the DEGs in inbred eggplant lines A21 and A32. (d) Clustering heatmap of the DEGs in inbred eggplant lines A21 and A32. The horizontal coordinate represents the names of the samples and their clustering results, while the vertical coordinate indicates the differential genes and the clustering results of these genes. The different colors on the right represent different subclusters.
Agronomy 14 03063 g002
Figure 3. Gene Ontology (GO) and Kyoto Encyclopedia of Genes and Genomes (KEGG) pathway enrichment analysis results for the differentially expressed genes in eggplant peel from inbred line A32. (a) GO enrichment analysis results. (b) Scatterplot of KEGG pathway enrichment analysis results.
Figure 3. Gene Ontology (GO) and Kyoto Encyclopedia of Genes and Genomes (KEGG) pathway enrichment analysis results for the differentially expressed genes in eggplant peel from inbred line A32. (a) GO enrichment analysis results. (b) Scatterplot of KEGG pathway enrichment analysis results.
Agronomy 14 03063 g003
Figure 4. Expression levels for 12 candidate genes related to eggplant peel glossiness in three inbred lines with high glossiness and three inbreds without glossiness on their fruit peel by qRT-PCR. The data of columns are the mean + standard deviation. The bars mean standard deviation.
Figure 4. Expression levels for 12 candidate genes related to eggplant peel glossiness in three inbred lines with high glossiness and three inbreds without glossiness on their fruit peel by qRT-PCR. The data of columns are the mean + standard deviation. The bars mean standard deviation.
Agronomy 14 03063 g004
Table 1. Statistical analysis of RNA-Seq read quality in eggplant inbred lines A21 and A32.
Table 1. Statistical analysis of RNA-Seq read quality in eggplant inbred lines A21 and A32.
SampleRaw ReadsRaw Data (Gb)Clean ReadsClean Reads Rates RatioClean Data (Gb)Q20GC ContentMapped ReadsMapped Rates Ratio
A32a_185,723,09612.9484,601,19698.69%11.9696.91%43.68%81,966,641.0096.89%
A32a_272,334,05810.9271,496,55898.84%10.0996.8%43.6%69,182,538.0096.76%
A32a_366,204,71410.0065,298,07898.63%9.1896.77%43.67%63,217,896.0096.81%
A32b_166,688,09410.0765,590,54898.35%9.2696.74%43.61%63,501,960.0096.82%
A32b_280,983,98012.2379,614,94298.31%11.2396.79%43.55%77,083,011.0096.82%
A32b_370,561,86810.6569,218,87498.10%9.7696.8%43.62%67,102,207.0096.94%
A21a_168,753,35210.3867,582,28898.30%9.5496.82%43.66%65,240,362.0096.53%
A21a_268,370,23210.3267,442,46498.64%9.4696.8%43.57%65,221,053.0096.71%
A21a_375,566,31411.4174,195,38898.19%10.4196.82%43.55%71,929,609.0096.95%
A21b_174,872,70411.3173,454,91498.11%10.3596.89%43.74%71,100,144.0096.79%
A21b_271,217,11410.7570,154,34698.51%9.9096.77%43.73%67,851,652.0096.72%
A21b_364,693,4369.7763,827,85098.66%8.7696.6%43.84%61,653,848.0096.59%
Disclaimer/Publisher’s Note: The statements, opinions and data contained in all publications are solely those of the individual author(s) and contributor(s) and not of MDPI and/or the editor(s). MDPI and/or the editor(s) disclaim responsibility for any injury to people or property resulting from any ideas, methods, instructions or products referred to in the content.

Share and Cite

MDPI and ACS Style

Wang, H.; Nie, Z.; Wang, T.; Yang, S.; Zheng, J. Comparative Transcriptome Analysis of Eggplant (Solanum melongena L.) Peels with Different Glossiness. Agronomy 2024, 14, 3063. https://doi.org/10.3390/agronomy14123063

AMA Style

Wang H, Nie Z, Wang T, Yang S, Zheng J. Comparative Transcriptome Analysis of Eggplant (Solanum melongena L.) Peels with Different Glossiness. Agronomy. 2024; 14(12):3063. https://doi.org/10.3390/agronomy14123063

Chicago/Turabian Style

Wang, Hong, Zhixing Nie, Tonglin Wang, Shuhuan Yang, and Jirong Zheng. 2024. "Comparative Transcriptome Analysis of Eggplant (Solanum melongena L.) Peels with Different Glossiness" Agronomy 14, no. 12: 3063. https://doi.org/10.3390/agronomy14123063

APA Style

Wang, H., Nie, Z., Wang, T., Yang, S., & Zheng, J. (2024). Comparative Transcriptome Analysis of Eggplant (Solanum melongena L.) Peels with Different Glossiness. Agronomy, 14(12), 3063. https://doi.org/10.3390/agronomy14123063

Note that from the first issue of 2016, this journal uses article numbers instead of page numbers. See further details here.

Article Metrics

Back to TopTop