Next Article in Journal
Monitoring and Optimization of Potato Growth Dynamics under Different Nitrogen Forms and Rates Using UAV RGB Imagery
Previous Article in Journal
Evaluating the Impact of Moisture Content and Loading Orientation on the Geometrical Characteristics and Mechanical Behavior of Cassava Tubers
 
 
Font Type:
Arial Georgia Verdana
Font Size:
Aa Aa Aa
Line Spacing:
Column Width:
Background:
Article

Optimizing Oxalic Acid Application Regime to Maximize Sunflower Remediation Efficacy in Cd-Contaminated Soils

1
Farmland Irrigation Research Institute, Chinese Academy of Agricultural Sciences, Xinxiang 453002, China
2
Graduate School of Chinese Academy of Agricultural Sciences, Beijing 100081, China
3
Autonomous Region Level Ecological Protection and Comprehensive Utilization Cooperative Innovation Center for the Inner Mongolia Section of the Yellow River Basin, Baotou 014010, China
4
School of Energy and Environment, Inner Mongolia University of Science and Technology, Baotou 014010, China
5
College of Water Conservancy and Civil Engineering, Inner Mongolia Agricultural University, Hohhot 010018, China
6
Provincial Land and Space Survey and Planning Institute, Zhengzhou 450016, China
*
Author to whom correspondence should be addressed.
Agronomy 2024, 14(10), 2255; https://doi.org/10.3390/agronomy14102255
Submission received: 3 September 2024 / Revised: 25 September 2024 / Accepted: 27 September 2024 / Published: 29 September 2024
(This article belongs to the Section Agroecology Innovation: Achieving System Resilience)

Abstract

The exogenous application of oxalic acid is a potential approach to amplifying phytoremediation performance on Cd-contaminated soils. However, few studies explore the optimal oxalic acid application regime from a perspective of coupling different concentrations and timings to maximize Cd removal rate. Given this, a pot experiment was conducted using oil sunflower (Helianthus annuus L.) as the test plant. Oxalic acid was added to the pots at concentrations of 1, 2, 3, 4, 5, and 6 mmol/kg at 20, 30, 40, and 50 days after emergence. A control (CK) without exogenous oxalic acid was also included. We examined the discrepancies in various soil Cd forms, sunflower height, plant non-protein thiol (NPT) levels, and soil Cd remediation efficiency under different oxalic acid application regimes. The results showed that applying oxalic acid at a concentration of 4 mmol/kg reduced the proportion of Fe-Mn oxide Cd and organic Cd compared to the control (CK), while increased the proportion of available Cd. The optimal application time is 30 or 40 days after emergence. The addition of exogenous oxalic acid promoted the growth of sunflowers, with the greatest increase in plant height observed when 4 mmol/kg oxalic acid was applied at 30 days after emergence. Exogenous oxalic acid enhanced the absorption of Cd by sunflower roots, with the total Cd accumulation in roots, stems, and leaves being higher than in the control (CK). When 4 mmol/kg oxalic acid was applied at 30 days after emergence, the total Cd accumulation in roots, stems, and leaves was highest. Under different application times and concentration levels of oxalic acid, Cd accumulation was highest in roots, followed by leaves, with stems showing the lowest accumulation. The NPT content in each part is as follows: root > stem > leaf. Applying 5 mmol/kg oxalic acid after 30 days of sunflower emergence resulted in relatively higher total NPT content in roots, stems, and leaves compared to the control (CK). The TOPSIS model was used for comprehensive evaluation, which showed that 4 mmol/kg oxalic acid application at 30 days after emergence could be used as the optimal oxalic acid application regime for phytoremediation. These findings indicate that the addition of oxalic acid effectively promoted the absorption of Cd by sunflower and increased the efficiency of Cd removal from the rhizosphere soil, with the optimal removal of soil Cd achieved by applying oxalic acid at a concentration of 4 mmol/kg 30 days after the emergence of oilseed sunflower seedlings.

1. Introduction

In China, approximately 10 million hectares of farmland are polluted, and about 3.33 million hectares of farmland are severely contaminated and unfit for cultivation [1]. Currently, Cd contamination remains a major threat to soil in China, with an exceedance rate of 7.0% at various sampling points [2,3]. Although the worsening trend has been initially curbed, the impacts are still significant and cannot be ignored. Cd retained in the soil is difficult to dissipate under natural conditions and can affect human health through the food chain [4,5,6]. Therefore, it is crucial to restore Cd-contaminated soil to its original ecological function [7,8]. Compared with other soil remediation technologies for contaminated farmland, phytoremediation has attracted the attention of researchers due to its fewer limitations and higher public acceptability [9,10,11,12]. In the remediation process, plants with large biomass and strong adaptability highly adaptable to complex environments are often selected to absorb Cd from contaminated soil. However, Cd in soil is difficult to extract in its stable state. The presence of acids can mobilize Cd in the soil, altering the ratio between bioavailable and stable forms of Cd [13], thereby enhancing remediation efficiency and accelerating the remediation process [14,15,16,17]. Although plant roots can secrete some organic acids to adapt to Cd stress, their release is limited [18,19,20]. This intrinsic secretion capacity is insufficient to mobilize Cd in the soil. Therefore, exogenous acid supplementation is necessary to enhance phytoremediation efficiency.
The application of strong acids in conjunction with hyperaccumulator plants is an effective method to enhance the efficiency of Cd-contaminated soil remediation [21]. Synthetic aminopolycarboxylic acids such as EDTA are widely used for Cd extraction. However, long-term use of EDTA can also have negative environmental impacts due to its poor biodegradability, potential leaching risks, and high toxicity of the compounds [22]. Typical low-molecular-weight organic acids, including citric acid, oxalic acid, malic acid, and tartaric acid, are present at relatively low concentrations, generally ranging from 0.01 to 1 mmol L−1. As natural chelating agents, these acids can be naturally degraded and are more environmentally friendly compared to EDTA [23]. High concentrations of these acids are typically found in the rhizosphere soil or freshly applied organic materials. Malic acid, oxalic acid, and citric acid are representative of common organic acids in the soil. Oxalic acid can facilitate the release of heavy metals from soil through acidification, complexation, and exchange processes, thereby mobilizing soil nutrients, enhancing plant tolerance to heavy metals, and significantly increasing biomass [24,25]. This contributes to improvements in soil heavy metal remediation. Due to its smaller molecular weight compared to other acids, oxalic acid possesses a larger surface area for adsorbing heavy metal ions [26,27]. Nworie et al. [28] observed that oxalic acid had the most significant mobilizing effect on these metals, while acetic acid had the least effect. Almaroai et al. [29] found that the application of exogenous oxalic acid had a significant impact on the accumulation of copper in the roots and shoots of maize. Wang et al. [30] discovered that oxalic acid, acetic acid, and lactic acid had better soil acidification promotion effects compared to malic acid. Liu et al. [31] found that the application of citric acid and succinic acid significantly increased the accumulation of Cd in the aerial parts, while oxalic acid promoted Cd accumulation in the roots. This might be related to differences in the expression levels of the Cd transport protein NtHMA mediated by organic acids [32].
Current research on the remediation of contaminated soil using hyperaccumulators in conjunction with organic acids mainly focuses on comparative analyses of the remediation effects induced by different types of organic acids [33,34,35], as well as studies comparing the remediation effects at various concentration levels of organic acids [36,37,38]. Regarding early studies, Zhang et al. [39] indicated that organic acids can enhance their transport capacity by forming stable, non-adsorptive organic acid complexes, with the enhancement capacity in the order of citric acid > oxalic acid > malonic acid > tartaric acid > acetic acid. Kniuipyt, et al. [40] discovered that 3.0 μmol·g−1 of oxalic acid effectively promoted the activation of Cd in the soil and significantly increased the accumulation of Cd in rapeseed.
Although oxalic acid’s ability in assisting phytoextraction has been confirmed, its performance varies from application timing and concentration, considering the changing root extraction capabilities and disparate responses to changing concentration throughout the plant lifecycle.
Sunflower (Helianthus annuus), an annual plant of the Asteraceae family, is characterized by high biomass production, low requirements for soil conditions, and excellent stress resistance under various adverse environments while maintaining stable yields. In the process of remediating heavy metal-contaminated soils, sunflower exhibits a significant accumulation effect, and the resulting biomass can be converted into valuable industrial fuel without entering the food chain, thus posing no risk to human health [41,42].
Therefore, optimizing oxalic acid application regime from the timing and concentration coupling perspective may be crucial for improving phytoremediation effectiveness. This study investigates the changes in the rhizosphere environment of sunflower at different growth stages and explores the soil Cd removal effect and Cd accumulation mechanism in sunflower after applying different concentrations of oxalic acid at different times, providing a reference for future research on Cd-contaminated soil remediation.

2. Materials and Methods

2.1. Test Crops and Soil

The test plant used was oil sunflower, belonging to the Asteraceae family and the genus Helianthus [43], specifically the ‘Xianrui 2’ variety (Helianthus annuus Linn.). The soil for the experiment was sourced from a heavily Cd-contaminated area, with a Cd2+ content of 19.8 mg/kg. This contamination resulted from historical irrigation practices using Cd-containing sewage. According to the soil environmental quality risk control standard for soil contamination of agricultural land, stringent control measures are mandated when soil cadmium content exceeds 4.0 mg/kg [44]. After the experiment, the soil samples were securely sealed to prevent environmental contamination. The basic physical and chemical properties of the soil are shown in Table 1.

2.2. Experimental Design

The experiment was conducted at the Agricultural Soil and Water Environment Field Scientific Observation and Experimental Station, Chinese Academy of Agricultural Sciences (Xinxiang, Henan Province). The pot experiment method was adopted. Oxalic acid was added to the pots at concentrations of 1, 2, 3, 4, 5, and 6 mmol/kg at 20, 30, 40, and 50 days after emergence, with one control (CK) where no exogenous oxalic acid was added. Each treatment was repeated 3 times and a total of 75 treatments were performed. The seeds were sown on 2 October 2020. The seedlings were transplanted on 6 October, and plants were harvested on 9 January 2021. During the experiment, watering started when soil moisture dropped to 70% of field capacity. After harvest, the rhizosphere soil was taken to determine the Cd content and different forms of Cd. The sunflower plant height, Cd accumulation in roots, stems, and leaves, and the content of non-protein thiol (NPT) were also measured.

2.3. Test Indicators and Methods

Firstly, tap water was used to wash the impurities on the surface of the root, stem, and leaf of the oil sunflower; then, ultra-pure water was used to wash it twice, and it was put in the oven for drying. After 30 min, the temperature of the oven was adjusted to 75 °C until its quantity remained unchanged. The 0.15 g samples were digested with 24 mL aqua regia–perchloric acid, and then the content of Cd in the roots, stems, and leaves of oil sunflower was determined by AA-6300FG atomic absorption spectrometer (Shimadzu, Kyoto, Japan) [45].
The soil samples were air-dried, ground, and passed through a 2 mm sieve. The Cd content in the soil was determined using an AA-6300FG atomic absorption spectrophotometer after 0.15 g samples were digested with 24 mL aqua regia and perchloric acid. The Tessier sequential extraction method was employed to measure the concentrations of exchangeable Cd, carbonate Cd, Fe-Mn oxide Cd, organic Cd, and residual Cd in the soil [45].
Soil and sunflower (root, stem, and leaf) plant samples weighing 0.2 g each were taken, and 2 mL of 5% sulfosalicylic acid was added immediately for ice bath grinding. The samples were centrifuged at 4 °C for 15 min, and the supernatant was brought to a final volume of 5 mL, which was stored as the extract for non-protein thiol compounds. The subsequent determination of non-protein thiol compound content was conducted according to the method described in reference [46].

2.4. Data Analysis

Soil Cd removal rate is the most intuitive index to evaluate the effect of phytoremediation, and its calculation formula is as follows:
C d r e m o v e = C d 0 C d 1 C d 0 × 100 %
Cdremove represents the removal rate of soil Cd; Cd0 indicates the content of Cd in soil before sowing. Cd1 indicates the content of Cd in soil after oil sunflower harvest.
Accumulation coefficient and transfer coefficient can objectively reflect the distribution patterns of heavy metals within plants, and its calculation formula is as follows:
BCF = the content of Cd in oil sunflower/the content of Cd in soil after oil sunflower; TF = the content of Cd in various aboveground parts/the content of Cd in root.
Preliminary statistical analysis of the data was conducted using Excel 2016. Variance analysis among treatments was performed using SAS 9.2, and Pearson’s two-tailed test was used for correlation analysis. We performed a comprehensive evaluation analysis using the TOPSIS model with SPSSAU. Finally, graphs were created using Origin 2021.

3. Results

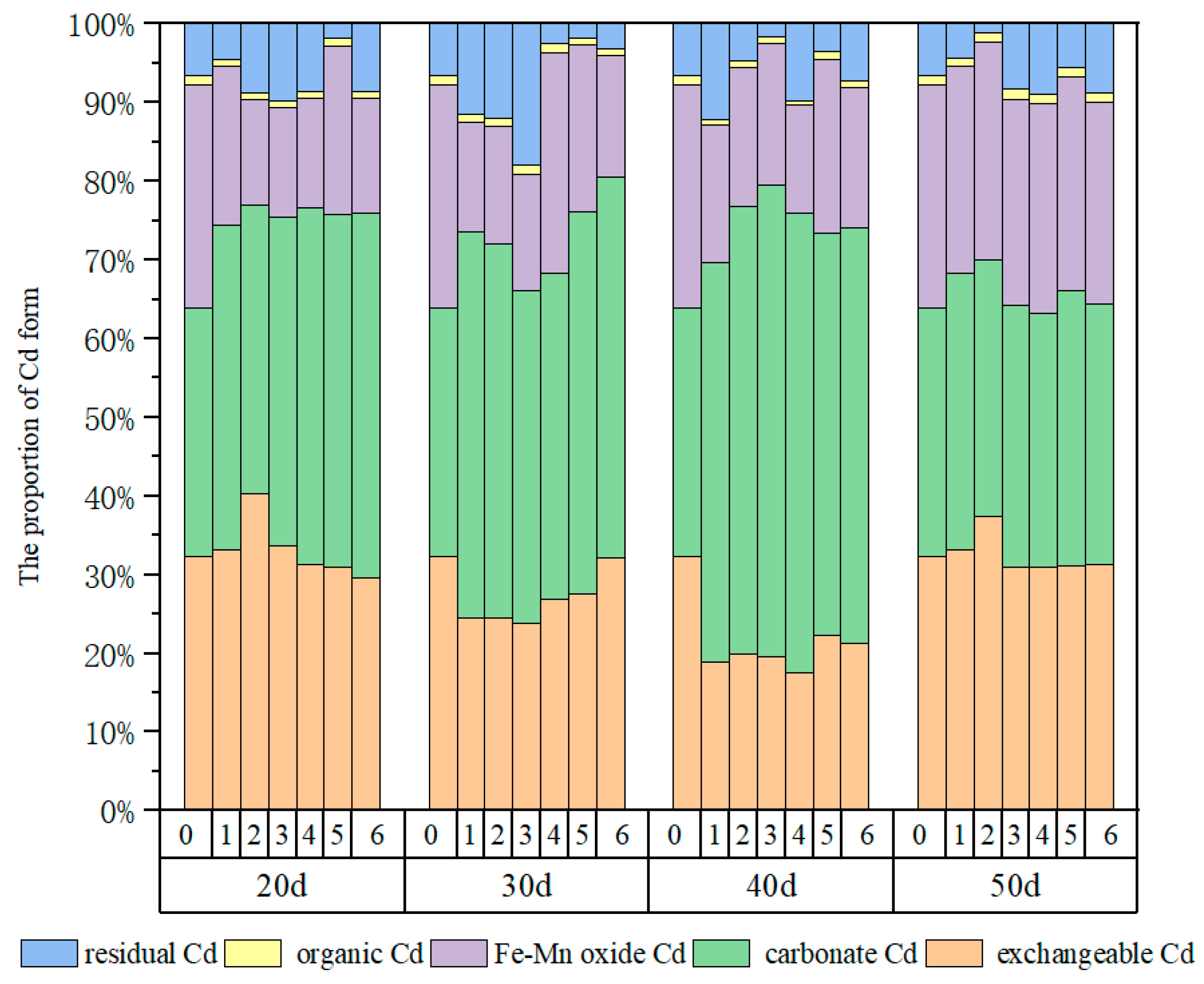
3.1. Proportion of Cd Forms in Soil

The effects of different application time and concentration of oxalic acid on the proportion of Cd forms in soil are shown in Figure 1. At 20 days after emergence, 2 mmol/kg treatment increased the proportion of exchangeable Cd by 25% compared with CK, which had the most obvious improvement effect. Under different treatment time and concentration of oxalic acid, the proportion of carbonate Cd in comparison CK increased. After 40 days of emergence, the effect of 4 mmol/kg oxalic acid treatment was better than that of other times, which increased by 89.8%. In the whole test cycle, the concentration of 2 mmol/kg Fe-Mn oxide Cd at 20 days after emergence accounted for the least, accounting for only 13% of the total. When 4 mmol/kg was applied, the proportion of organic Cd decreased the most, accounting for only 0.58% of the total, which decreased by 51.72% compared with CK. Comprehensive analysis showed that under different application time and concentration of oxalic acid, the proportion of organic Cd and residual Cd was relatively small, while the proportion of carbonate Cd was the largest. Compared with CK, the proportion of available Cd (the sum of the proportion of exchangeable Cd and carbonate Cd) in soil was increased by oxalic acid application. The application of 6 mmol/kg oxalic acid at 30 days after emergence had the most obvious effect on the percentage of available Cd, which increased by 26.25%.

3.2. Plant Height of Oil Sunflower

The plant height of oil sunflower under different application times and concentration levels of oxalic acid is shown in Figure 2. Overall, the plant height of oil sunflower was significantly higher than CK when different concentrations of oxalic acid were applied after emergence. This indicates that the application of oxalic acid to a certain extent positively promotes the growth of oil sunflower. When 1 to 6 mmol/kg of oxalic acid was applied 20 days after emergence, plant height increased significantly by 22.05% to 52.97% compared to CK (except for 6 mmol/kg). When oxalic acid was applied 30 days after emergence at different concentrations, plant height increased significantly by 26.49% to 54.05%, with the 4 mmol/kg treatment having the best effect, resulting in a plant height of 47.5 cm. Forty days after emergence, the 4 mmol/kg oxalic acid treatment significantly increased plant height by 34.59% compared to CK. Other treatments also promoted plant height but did not show significant differences compared to CK. Fifty days after emergence, the 2, 3, and 4 mmol/kg oxalic acid treatments significantly increased plant height compared to other concentrations, with the 2 mmol/kg treatment having the best effect, increasing height by 41.08%. Comprehensive analysis indicates that applying 4 mmol/kg oxalic acid 30 days after emergence is most effective for increasing plant height compared to other application times. Additionally, this study found that applying low concentrations (1, 2, and 3 mmol/kg) of oxalic acid in the early growth stages of oil sunflower had a more pronounced effect on promoting plant height than application in later growth stages.

3.3. Content of Cd Accumulation in Different Parts of Oil Sunflower

The content of Cd accumulation in the roots, stems, and leaves of oil sunflower under different treatments is shown in Figure 3. When various concentrations of oxalic acid were applied at different stages after emergence, their significant effect on Cd accumulation in the roots of oil sunflower was observed. Specifically, 20 days after emergence, the 3 mmol/kg concentration treatment led to the highest Cd accumulation in the roots, stems, and leaves, with a total accumulation increase of 67.2% compared to the control group (CK). When oxalic acid was applied 30 days after emergence, the 4 mmol/kg concentration treatment resulted in the highest Cd accumulation in the roots, marking a 109.3% increase compared to CK. Moreover, over the entire test cycle, the 4 mmol/kg concentration treatment demonstrated the highest total Cd accumulation in the roots, stems, and leaves, increasing by 68.6% compared to CK. Applying 4 mmol/kg concentrations of oxalic acid at 40 days after emergence also led to higher total Cd accumulation in the plant parts. At 50 days after emergence, the 2 mmol/kg concentration treatment exhibited the highest total Cd accumulation in the roots, stems, and leaves of oil sunflower, representing a 51.1% increase compared to CK.

3.4. Content of NPT in Different Parts of Oil Sunflower

The content of NPT in the roots, stems, and leaves of oil sunflower under different treatments is shown in Figure 4. The application timing and concentration of oxalic acid significantly influenced the NPT content in oil sunflower plants. Notably, when oxalic acid was administered 20 days after emergence at a concentration of 5 mmol/kg, the total NPT content in the stems and leaves was markedly elevated compared to other treatments. This trend continued with oxalic acid application at 40 days after emergence, where the highest total NPT content was again recorded at the same concentration of 5 mmol/kg, showing an increase of 18.9% compared to the CK. Additionally, at this time point, the highest NPT content in the roots was found under the 4 mmol/kg treatment, while the 3 mmol/kg treatment resulted in the highest levels in the stems. Conversely, when oxalic acid was applied at 30 days after emergence, the 2 mmol/kg concentration notably increased NPT content in the roots by 39.9% relative to CK. However, this same treatment resulted in a significant decrease of 37.5% in NPT content within the leaves compared to CK at the 3 mmol/kg concentration. Furthermore, the application of 5 mmol/kg oxalic acid at 50 days after emergence yielded significant increases in NPT content in the roots (21.5% increase compared to CK), the leaves (85.4% increase compared to CK), and the total content. Moreover, the highest NPT content in the stems was attained under the 2 mmol/kg concentration treatment, which increased by 52.9% relative to CK. Overall, the findings suggest that the application of 5 mmol/kg of oxalic acid after 30 days of emergence results in relatively high total NPT content in oil sunflower plants, reinforcing the importance of both concentration and timing in achieving optimal results.

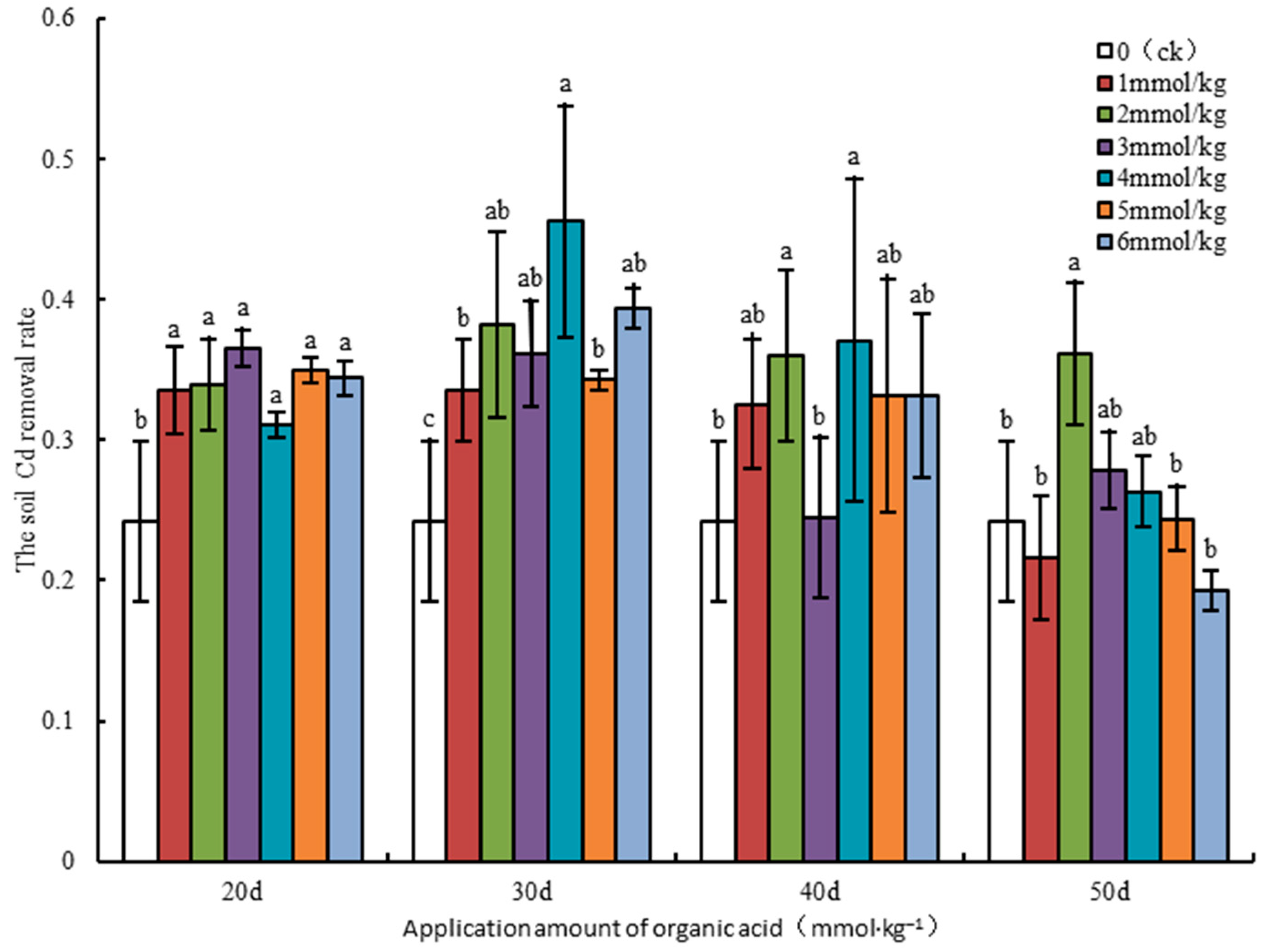
3.5. Soil Cd Removal Rate

The removal rate of soil Cd is shown in Figure 5. Overall, when 1 to 6 mmol/kg concentrations of oxalic acid were applied 20, 30, 40, and 50 days after emergence, the soil Cd removal rate increased (except for the treatments with 1 and 6 mmol/kg concentrations applied 50 days after emergence). This indicates that the application of oxalic acid to some extent promotes the absorption of Cd by oil sunflower and increases the Cd removal rate from the soil. When 1 to 6 mmol/kg concentrations of oxalic acid were applied 20 days after emergence, the soil Cd removal rate significantly increased by 28.5% to 50.8% compared to CK, with the 3 mmol/kg concentration treatment achieving the highest increase of 50.8%. When applied 30 days after emergence, the soil Cd removal rate significantly increased by 41.7% to 88.4% compared to CK, with the 4 mmol/kg concentration treatment achieving the highest increase of 88.4%. When applied 40 days after emergence, the 4 mmol/kg concentration treatment resulted in the most significant increase in soil Cd removal rate, enhancing it by 53.3% compared to CK. When applied 50 days after emergence, the 2 mmol/kg concentration treatment resulted in a higher soil Cd removal rate than other treatments, increasing it by 49.2% compared to CK. In terms of application timing, applying oxalic acid 30 days after emergence was more favorable for Cd removal compared to other times, with the 4 mmol/kg concentration treatment showing the best soil Cd removal effect throughout the experimental period.

3.6. Accumulation Coefficient and Transfer Coefficient

The accumulation coefficients of various parts of the sunflower are shown in Figure 6. The accumulation coefficients of roots and leaves under different treatments are all higher than CK, with the root accumulation coefficient being the highest compared to the stem and leaf. It can be observed from Figure 6A that the root accumulation coefficient is highest when 3 mmol/kg of oxalic acid is applied 20 days after emergence, followed by a second highest value when 4 mmol/kg is applied 30 days after emergence. Compared to CK, these values increased by 181.3% and 150.7%, respectively. The root accumulation coefficients 20, 30, and 50 days after emergence showed a trend of first increasing and then decreasing, while the treatment after 40 days emergence exhibited relatively stable changes.
It can be observed from Figure 6B that the application of 4 mmol/kg oxalic acid 50 days after emergence resulted in the maximum accumulation coefficient of the stem, showing a significant increase of 107.1% compared to CK.
It can be observed from Figure 6C that the application of 2 mmol/kg oxalic acid 50 days after emergence resulted in the maximum leaf accumulation coefficient, which was increased by 119.3% compared to CK. Except for the 20 days after emergence, during which all treatment concentrations showed an increasing trend, the other time treatments exhibited a fluctuating variation trend.
The transfer coefficients is illustrated in Figure 7. The transfer coefficient of the leaves is greater than stems. From Figure 7A, it can be observed that at 40 days and 50 days after emergence, the transfer coefficient of the stem fluctuates and is higher than CK. At 50 days after emergence, the application of 1 mmol/kg oxalic acid resulted in the highest transfer coefficient for the stem, which increased by 131.74% compared to CK. Additionally, at 40 days after emergence, the application of different concentrations of oxalic acid led to an increase in the transfer coefficient ranging from 10.1% to 60.32% compared to CK.
From Figure 7B, it can be seen that at 50 days after emergence, the application of different concentrations of oxalic acid shows a trend of first decreasing and then increasing. The transfer coefficient of the leaves is higher than CK, with the highest coefficient observed at an application of 6 mmol/kg oxalic acid, which improved by 53.86% compared to CK. The changes in transfer coefficients for other treatments at various times were relatively stable.

3.7. Correlation Analysis of Plant Indicators and Soil Cd Removal Rate

Using Pearson’s two-tailed test, the correlation between plant indicators and soil Cd removal rate was analyzed. The results are shown in Table 2. Plant height was significantly positively correlated with root Cd content (p < 0.01), significantly negatively correlated with stem Cd content (p < 0.01), and significantly positively correlated with soil Cd removal rate (p < 0.01). Root Cd content was significantly negatively correlated with stem Cd content (p < 0.01), significantly negatively correlated with root NPT content (p < 0.05), and significantly positively correlated with soil Cd removal rate (p < 0.01). Stem Cd content was significantly negatively correlated with soil Cd removal rate (p < 0.01). These results suggest that taller plants are more conducive to the removal of Cd from the soil and the accumulation of Cd in the roots. However, an increase in root Cd content reduces the root’s ability to produce NPT, possibly because the accumulation of excess free Cd ions in the roots damages the plant’s ability to induce NPT synthesis.

3.8. Comprehensive Evaluation of Oxalic Acid Based on TOPSIS Model

The comprehensive evaluation results of oxalic acid based on the TOPSIS model are shown in Table 3. In this experiment, the optimal treatment was 4 mmol/kg at 30 days after emergence, followed by 2 mmol/kg at 50 days after emergence, and the control group (CK) ranked last.

4. Discussion

Oil sunflower utilizes its root system to absorb nutrients and heavy metals, transferring and storing them in its aboveground parts through root pressure and transpiration [47,48]. Plant growth indicators and the accumulation of Cd in different plant parts can reflect the plant’s ability to extract Cd from the soil and measure its potential for remediation. Research has shown that the application of oxalic acid significantly increases the expression of the NtMT gene, which plays a crucial role in alleviating Cd toxicity [49]. Xie et al. [50] found that the application of oxalic acid can reduce cadmium toxicity in pak choi. In this experiment, the application of oxalic acid to some extent promoted the growth of oil sunflower plants and the absorption of Cd by the roots. The plant height and the total Cd accumulation in roots, stems, and leaves were higher than CK. The roots of oil sunflower play a stronger role in Cd accumulation than stems and leaves, consistent [51,52,53,54] with the findings of [55]. The application of oxalic acid can disrupt soil aggregate structure, accelerating the weathering of soil minerals and increasing the activity of nutrient elements, thereby regulating the plant growth environment and providing more nutrients to the plants [56]. Additionally, it activates solid-phase Cd in the soil, increasing the content of available Cd that can be absorbed by plant roots and enhancing the plants’ ability to uptake Cd from the soil [57]. This study found similar phenomena in the analysis of different Cd forms; the proportion of Fe-Mn oxide Cd and organic Cd decreased while the proportion of available Cd increased after the application of oxalic acid treatments. Fe-Mn oxide Cd and organic Cd exhibit relatively low mobility in soils. The application of a certain concentration of oxalic acid can affect the positive charge on variable charge sites in the soil, reducing the content of iron and manganese oxides in bound forms and promoting the transformation of carbonate-bound forms into exchangeable forms. This aligns with the findings of Tang et al. [58]. Oxalic acid also induces the secretion and activation of ATPase on the plasma membrane, which further regulates the transmembrane transport of nutrients and Cd ions, making it easier for plants to accumulate Cd ions [59]. Furthermore, Cd in the roots induces the production of NPT and binds in vacuoles to immobilize Cd, thereby limiting its mobility and reducing its translocation to the aerial parts [60]. In this study, applying moderate concentrations of oxalic acid (2–4 mmol/kg) at different growth stages of oil sunflower was more conducive to promoting root uptake of Cd from the soil. This is consistent with the results of Jiang et al. [61]. The reason might be that low concentrations of oxalic acid are easily adsorbed by soil aggregates, whereas higher concentrations increase the acidity of the rhizosphere soil, subjecting the roots to stress from both acidic media and heavy metal Cd, which is detrimental to root growth and may hinder Cd uptake by the roots [62]. Therefore, moderate concentrations of oxalic acid are more beneficial for plant growth and Cd removal from the soil. This study also found that applying 4 mmol/kg of oxalic acid at 30 days after emergence resulted in the highest total Cd accumulation in the roots, stems, and leaves of oil sunflower, as well as the best soil Cd removal effect. However, when oxalic acid was applied at 40 and 50 days after emergence, the Cd content in different parts of the sunflower was significantly lower than at 20 and 30 days after emergence. The reason might be that early root activity is vigorous, and the application of oxalic acid allows for quick adjustment to the optimal physiological state. In contrast, applying oxalic acid in the later growth stages, when the root physiological function has gradually degraded due to prolonged Cd stress, reduces the effectiveness of Cd accumulation. Therefore, adding oxalic acid earlier in the growth stage of oil sunflower may be more beneficial for increasing Cd bioavailability.
Plants produce non-protein thiols (NPTs) in response to heavy metal stress, which plays a crucial role in mitigating the toxicity of heavy metals. Typically, this includes glutathione, γ-glutamylcysteine, cysteine, and others. The thiol groups are capable of binding Cd ions, forming stable Cd-S complexes. Our experiment showed a significant increase in NPT content in the roots of oil sunflower plants at 30 days after emergence when oxalic acid was applied. The application of oxalic acid at different concentrations showed that there was no significant difference in NPT content compared to the control (CK) when low or high concentrations of oxalic acid were applied. This indicates that low concentrations of oxalic acid may have a limited effect on activating the effective form of Cd, thus not inducing the plant to produce more NPT. On the other hand, the rapid increase in the effective form of Cd caused by the application of high concentrations of oxalic acid can lead to peroxidation damage in plant cells, imbalance in the production and clearance of reactive oxygen species (ROS), and a decrease in the ability to induce NPT synthesis. This is consistent with the findings of Zhu et al. [63,64,65,66,67]. Therefore, the application of a moderate concentration of oxalic acid is more conducive to enhancing the plant’s heavy metal detoxification ability. In our experiment, when oxalic acid was applied at 20 days, there was no significant change or a decrease in NPT content in the roots, stems, and leaves of oil sunflower plants compared to CK. The reason might be that at this stage, sunflowers are in the seedling growth phase, with immature development of roots, stems, and leaves. The application of oxalic acid at this time activated the Cd in the soil to some extent, promoting Cd accumulation in the roots, stems, and leaves of the seedlings. This accumulation exceeded the seedlings’ intrinsic defense capacity, disrupting their physiological functions and leading to a decrease in their ability to synthesize non-protein thiol (NPT). Therefore, based on the comprehensive analysis of this experiment, it is concluded that applying 4 mmol/kg concentration of oxalic acid at 30 days after emergence achieves the best balance in the total accumulation of Cd in the roots, stems, and leaves of oil sunflower plants and the induction of total NPT synthesis.
Through this study, we found that the application of oxalic acid significantly promoted the growth of sunflowers, the accumulation of Cd, and a reduction in soil Cd concentration. Moreover, optimizing the timing and concentration of organic acid application can reduce the amount of organic acid used, thereby lowering remediation costs and minimizing secondary pollution to the environment. Additionally, sunflowers in the later stages of remediation can be used for industrial oil production, highlighting their economic value. The effectiveness of heavy metal removal is not only related to the concentration of organic acids but also involves the synergistic effects of plant species, soil types, and environmental conditions. Therefore, these factors should be comprehensively considered for optimization. The current study only analyzed the effect of oxalic acid on sunflowers. Since different plants have varying responses to organic acids and heavy metal absorption capacities, further extensive validation is needed. Furthermore, this experiment was conducted as a pot experiment, which has certain limitations: the growth space for roots is restricted, and the soil layers in pots differ from the soil structure in natural environments, which may affect the distribution of heavy metals and the absorption efficiency of plants. Therefore, subsequent research should utilize field trials to validate the results of pot experiments to enhance the reliability and applicability of the study.

5. Conclusions

This study investigated the effects of oxalic acid application concentration and timing on different forms of Cd in the soil, sunflower plant height, non-protein thiol (NPT) compound contents in the plants, and Cd remediation efficiency through bucket cultivation experiments. The results showed the following.
The application of 4 mmol/kg oxalic acid reduced the proportions of Fe-Mn oxide Cd and organic Cd compared to CK, while increasing the proportion of available Cd. Additionally, the plant height; total NPT content in the roots, stems, and leaves of oil sunflower; and total Cd accumulation significantly increased. It also achieved the best Cd removal effect from the soil. A comprehensive evaluation using the TOPSIS model indicated that applying 4 mmol/kg oxalic acid at 30 days after emergence is the optimal strategy for phytoremediation.
The application of oxalic acid significantly enhanced phytoremediation efficiency, promoting agricultural and environmental sustainability. This study provides a deeper understanding and guidance for developing phased application strategies to achieve optimal remediation effects, as well as for future research and practical applications.

Author Contributions

Conceptualization, D.Z. and D.Q.; methodology, Y.H.; software, Y.W.; validation, W.Y.; formal analysis, Y.W.; investigation, W.L.; resources, D.Q.; data curation, D.Z.; writing—original draft preparation, D.Z.; writing—review and editing, Y.X.; visualization, F.B.; supervision, Y.Z.; project administration, F.B.; funding acquisition, D.Q. All authors have read and agreed to the published version of the manuscript.

Funding

This research was funded by [the National Natural Science Foundation of China], grant number (51879268).

Data Availability Statement

The original contributions presented in the study are included in the article, further inquiries can be directed to the corresponding author.

Conflicts of Interest

The authors declare that they have no known competing financial interests or personal relationships that could have appeared to influence the work reported in this paper.

References

  1. Ren, S.; Song, C.; Ye, S.; Cheng, C.; Gao, P. The spatiotemporal variation in heavy metals in China’s farmland soil over the past 20 years: A meta-analysis. Sci. Total Environ. 2022, 806, 150322. [Google Scholar] [CrossRef]
  2. Ministry of Ecology and Environment of the People’s Republic of China. 2014 China Ecological Environment Status Bulletin. 2014. Available online: https://www.mee.gov.cn/hjzl/sthjzk/zghjzkgb/201605/P020160526564730573906.pdf (accessed on 25 January 2024).
  3. Ministry of Ecology and Environment of the People’s Republic of China. 2021 China Ecological Environment Status Bulletin. 2022. Available online: https://www.mee.gov.cn/hjzl/sthjzk/zghjzkgb/202305/P020230529570623593284.pdf (accessed on 25 January 2024).
  4. Zhang, D.; Qiao, D.; Wang, Y.; Lu, H.; Wang, Z.; Xing, Y. Research of Soil Heavy Metals under Irrigation Conditions Based on Scientific Knowledge Map. Water Sav. Irrig. 2024, 1, 23–32+43. [Google Scholar] [CrossRef]
  5. Rehman, M.; Mfarrej, M.F.B.; Usman, M.; Azhar, M.; Rizwan, M.; Alharby, H.; Bamagoos, A.; Alshamrani, R.; Ahmad, Z. Exogenous application of low and high molecular weight organic acids differentially affected the uptake of cadmium in wheat-rice cropping system in alkaline calcareous soil. Environ. Pollut. 2023, 329, 121682. [Google Scholar] [CrossRef]
  6. Abbas, T.; Rizwan, M.; Ali, S.; Zia-ur-Rehman, M.; Qayyum, M.; Abbas, F.; Hannan, F.; Rinklebe, J.; Ok, Y. Effect of biochar on cadmium bioavailability and uptake in wheat (Triticum aestivum L.) grown in a soil with aged contamination. Ecotoxicol. Environ. Saf. 2017, 140, 37–47. [Google Scholar] [CrossRef]
  7. Rasafi, T.; Oukarroum, A.; Haddioui, A.; Song, H.; Kwon, E.; Bolan, N.; Tack, F.; Sebastian, A.; Prasad, M.; Rinklebe, J. Cadmium stress in plants: A critical review of the effects, mechanisms, and tolerance strategies Crit. Rev. Environ. Sci. Technol. 2020, 52, 675–726. [Google Scholar] [CrossRef]
  8. Wang, G.; Zhang, R.; Xu, X.; Zhong, Q.; Zhang, C.; Jia, Y.; Li, T.; Deng, O.; Li, Y. Heavy metal removal by GLDA washing: Optimization, redistribution, recycling, and changes in soil fertility. Sci. Total Environ. 2016, 569–570, 557–568. [Google Scholar] [CrossRef]
  9. Lu, H.; Qiao, D.; Han, Y. Low Molecular Weight Organic Acids Increase Cd Accumulation in Sunflowers through Increasing Cd Bioavailability and Reducing Cd Toxicity to Plants. Minerals 2021, 11, 243. [Google Scholar] [CrossRef]
  10. Mahdavian, K.; Ghaderian, S.; Schat, H. Pb accumulation, Pb tolerance, antioxidants, thiols, and organic acids in metallicolous and non-metallicolous Peganum harmala L. under Pb exposure. Environ. Exp. Bot. 2016, 126, 21–31. [Google Scholar] [CrossRef]
  11. Gai, X.; Xing, W.; Chen, G. Divergent responses of rhizosphere soil phosphorus fractions and biological features of Salix psammophila to fertilization strategies under cadmium contamination. Sci. Total Environ. 2024, 929, 172554. [Google Scholar] [CrossRef]
  12. Ma, H.; Qiao, D.; Qi, X.; Hu, C. Bioavailability of Cadmium to Oil Sunflower after Addition of Organic Acids. J. Irrig. Drain. Eng. 2017, 36, 9–14. [Google Scholar] [CrossRef]
  13. Zhang, Y.; Xu, F.; Huang, Y.; Bao, Q.; Wei, X.; Tie, B.; Li, H.; Sun, Z.; Li, Z. Effect of chelating agent and organic acid on strengthening remediation of cadmium and arsenic contaminated soil with Lonicera japonica Thunb. Chin. J. Ecol. 2024, 43, 1408–1415. [Google Scholar] [CrossRef]
  14. Yao, W.; Huang, L.; Yang, Z.; Zhao, F. Effects of organic acids on heavy metal release or immobilization in contaminated soil. Trans. Nonferrous Met. Soc. China 2022, 32, 1277–1289. [Google Scholar] [CrossRef]
  15. Antoniadis, V.; Levizou, E.; Shaheen, S.; Ok, Y.; Sebastian, A.; Baum, C.; Prasad, M.; Wenzel, W.; Rinklebe, J. Trace elements in the soil-plant interface: Phytoavailability, translocation, and phytoremediation—A review. Earth-Sci. Rev. 2017, 171, 621–645. [Google Scholar] [CrossRef]
  16. Paridar, Z.; Ghasemi-Fasaei, R.; Yasrebi, J.; Ronaghi, A.; Moosavi, A. Applicability of the sigmoid model to estimate heavy metal uptake in maize and sorghum as affected by organic acids. Sci. Total Environ. 2023, 31, 3222–3238. [Google Scholar] [CrossRef]
  17. Pan, P.; Liu, H.; Liu, A.; Zhang, X.; Chen, Q.; Wang, G.; Liu, B.; Li, Q.; Lei, M. Rhizosphere environmental factors regulated the cadmium adsorption by vermicompost: Influence of pH and low-molecular-weight organic acids. Ecotoxicol. Environ. Saf. 2023, 266, 115593. [Google Scholar] [CrossRef]
  18. Qiao, D.; Lu, H.; Zhang, X. Change in phytoextraction of Cd by rapeseed (Brassica napus L.) with application rate of organic acids and the impact of Cd migration from bulk soil to the rhizosphere. Environ. Pollut. 2020, 267, 115452. [Google Scholar] [CrossRef]
  19. Qiao, D.; Pang, H.; Qi, X.; Hu, C.; Zhao, Z.; Du, Z.; Gao, Q.; Fan, T. Effect of biological nature of organic acid exudation from ryegrass onphytoremediation of lead pollution. Trans. Chin. Soc. Agric. Eng. 2011, 27, 195–199. [Google Scholar] [CrossRef]
  20. Lu, H.; Huang, Y.; Qiao, D. Examination of Cd Accumulation within Sunflowers Enhanced by Low Molecular Weight Organic Acids in Alkaline Soil Utilizing an Improved Freundlich Model. J. Soil Sci. Plant Nutr. 2021, 21, 2626–2641. [Google Scholar] [CrossRef]
  21. Zaleckas, E.; Paulauskas, V.; Sendžikienė, E. Fractionation of heavy metals in sewage sludge and their removal using low-molecular-weight organic acids. J. Environ. Eng. Landsc. Manag. 2013, 21, 189–198. [Google Scholar] [CrossRef]
  22. Huang, G.; You, J.; Zhou, X.; Ren, C.; Islam, M.; Hu, H.Q. Effects of low molecular weight organic acids on Cu accumulation by castor bean and soil enzyme activities. Ecotox Environ. Saf. 2020, 203, 110983. [Google Scholar] [CrossRef]
  23. Jalali, M.; Antoniadis, V. The release of Cd, Cu, Fe, Mn, Ni, Pb, and Zn from clay loam and sandy loam soils under the influence of various organic amendments and low-molecular-weight organic acids. J. Hazard. Mater. 2023, 459, 132111. [Google Scholar] [CrossRef]
  24. Fischer, F.; Bipp, H. Removal of heavy metals from soil components and soils by natural chelating agents. II. Soil extraction by sugar acids. Water Air Soil Poll. 2002, 138, 271–288. [Google Scholar] [CrossRef]
  25. Wei, M.; Sun, J.; Wu, N.; Dong, Z. Phytoremediation with Augmentation of Oxalic Acid of Toxic Metals Contaminated Saline Soil by Suaeda salsa: Effects on Metal Translocation and Plant Physiology. Environ. Eng. Sci. 2021, 38, 1168–1175. [Google Scholar] [CrossRef]
  26. Han, Y.; Qiao, D.; Qi, X.; Li, Z.; Hu, C.; Lu, H.; Zhao, Y.; Bai, F.; Pang, Y. Effects of oxalic acid on oil sunflower biomass, enzyme activity, and the Cd speciation of Cd-polluted soils. J. Agro-Environ. Sci. 2020, 39, 1964–1973. [Google Scholar] [CrossRef]
  27. Li, S.; Hong, Q.; Wei, X.; Li, H.; Cheng, Y. Phosphorus fertiliser application and the subsequent cadmium input in three provinces along Yangtze River region of China. Environ. Pollut. Bioavailab. 2024, 36, 2344485. [Google Scholar] [CrossRef]
  28. Nworie, O.; Qin, J.; Lin, C. Differential effects of low-molecular-weight organic acids on the mobilization of soil-borne arsenic and trace metals. Toxics 2017, 5, 18. [Google Scholar] [CrossRef]
  29. Almaroai, Y.; Usman, A.; Ahmad, M.; Kim, K.R.; Moon, D.; Lee, S.; Ok, Y. Effects of synthetic chelators and low-molecular-weight organic acids on chromium, copper, and arsenic uptake and translocation in maize (Zea mays L.). Soil Sci. 2012, 177, 655–663. [Google Scholar] [CrossRef]
  30. Wang, Z.; Wang, W.; Wang, Z.; Zhong, Q.; Zhang, C.; Jia, Y.; Li, T.; Deng, O.; Li, Y. Impact of a long-term cultivation on low molecular weight organic acids in greenhouse soil and their influence on vegetable uptake heavy metals. Soil Sediment Contam. Int. J. 2021, 30, 1–11. [Google Scholar] [CrossRef]
  31. Liu, W.; Yu, T.; Cao, H.; Peng, X.; Yang, Y.; Li, R. Effects of EDTA and Organic Acids on Physiological Processes, Gene Expression Levels, and Cadmium Accumulation in Solanum nigrum Under Cadmium Stress. J. Soil Sci. Plant Nutr. 2023, 23, 3823–3833. [Google Scholar] [CrossRef]
  32. Vega, A.; Delgado, N.; Handford, M. Increasing Heavy Metal Tolerance by the Exogenous Application of Organic Acids. Int. J. Mol. Sci. 2022, 23, 5438. [Google Scholar] [CrossRef]
  33. Ebrahimian, E.; Bybordi, A. Effect of Organic Acids on Heavy-Metal Uptake and Growth of Canola Grown in Contaminated Soil. Commun. Soil Sci. Plan 2014, 45, 1715–1725. [Google Scholar] [CrossRef]
  34. Qiao, D.; Fan, X.; Qi, X.; Gao, Q.; Fan, T.; Ge, Y.; An, Z. The Effect of Different Organic Acids on Existing forms and Bioavailability of Cadmium. J. Irrig. Drain. 2012, 31, 15–17+31. [Google Scholar] [CrossRef]
  35. Ash, C.; Tejnecky, V.; Boruvka, L.; Drábek, O. Different low-molecular-mass organic acids specifically control leaching of arsenic and lead from contaminated soil. J. Contam. Hydrol. 2016, 187, 18–30. [Google Scholar] [CrossRef]
  36. Montielrozas, M.; Madejón, E.; Madejón, P. Effect of heavy metals and organic matter on root exudates (low molecular weight organic acids) of herbaceous species: An assessment in sand and soil conditions under different levels of contamination. Environ. Pollut. 2016, 216, 273–281. [Google Scholar] [CrossRef] [PubMed]
  37. Zhang, H.; Zhang, R.; Lu, T.; Qi, W.; Zhu, Y.; Lu, M.; Qi, Z.; Chen, W. Enhanced transport of heavy metal ions by low-molecular-weight organic acids in saturated porous media: Link complex stability constants to heavy metal mobility. Chemosphere 2022, 290, 133339. [Google Scholar] [CrossRef]
  38. Li, S.; Le, S.; Wang, X.; Bai, J.; Wang, R.; Zhao, Y. Functional Analysis of Organic Acids on Different Oilseed Rape Species in Phytoremediation of Cadmium Pollution. Plants 2020, 9, 884. [Google Scholar] [CrossRef] [PubMed]
  39. Zhang, Y.; Huang, Y.; Bao, Q.; Wei, X.; Tie, B.; Zhang, S.; Han, N.; Huang, Y. Effect of Chelating Agents and Organic Acids on Remediation of Cadmium and Arsenic Complex Contaminated Soil Using Xanthium sibiricum. Environ. Sci. 2022, 43, 4292–4300. [Google Scholar] [CrossRef]
  40. Kniuipyt, I.; Diksaityte, A.; Praspaliauskas, M.; Pedisius, N.; Zaltauskaite, J. Oilseed rape (Brassica napus L.) potential to remediate Cd contaminated soil under different soil water content. J. Environ. Manag. 2023, 325, 116627. [Google Scholar] [CrossRef]
  41. Rahman, M.; Uddin, M.; Shamsuzzaman, S.; Mahmud, K.; Abd Shukor, M.; Abd Ghani, S.; Nabayi, A.; Sadeq, B.; Chompa, S.; Akter, A. Potential use of Pennisetum purpureum for phytoremediation of arsenic in treatment sand: A phytotoxicity study. Biocatal. Agric. Biotechnol. 2024, 60, 103300. [Google Scholar] [CrossRef]
  42. Chi, Z.; Li, W.; Zhang, J.; Zhao, S.; Wu, Y.; Wang, J. Effect of Water Deficiency on the Rhizosphere Microenvironment of Sunflower under Film Drip Irrigation. J. Irrig. Drain. 2023, 42, 53–62. [Google Scholar] [CrossRef]
  43. Nguyen, D.; Nguyen, T.; Le, H.; Nguyen, T.; Bach, L.; Nguyen, T.; Vo, D.; Tran, T. The sunflower plant family for bioenergy, environmental remediation, nanotechnology, medicine, food and agriculture: A review. Environ. Chem. Lett. 2021, 19, 3701–3726. [Google Scholar] [CrossRef]
  44. Chen, Q.; Zhao, B.; Zhang, Y.; Zhu, F.; Wang, H.; Wang, J.; Fu, X. The function of “Cambi® thermal hydrolysis plus anaerobic digestion” on heavy metal behavior and risks in a full-scale sludge treatment plant based on four seasons investigation. J. Hazard Mater. 2023, 445, 130579. [Google Scholar] [CrossRef] [PubMed]
  45. Gong, L.; Qiu, D.P.; Yao, X.S.; Yang, G. Determination of heavy metals in the plant sample pretreatment methods. J. Phys. Conf. Ser. 2020, 1549, 022008. [Google Scholar] [CrossRef]
  46. Keltjens, W.; Van, B. Phytochelatins as biomarkers for heavy metal stress in maize (Zea mays L) and wheat (Triticum aestivum L): Combined effects of copper and cadmium. Plant Soil 1998, 203, 119–126. [Google Scholar] [CrossRef]
  47. Li, J.; Zhang, S.; Ding, X. The combined application of biochar and high phosphate fertilizer promoted the mobilization and redistribution of cadmium in rhizosphere soil. J. Environ. Chem. Eng. 2022, 10, 107482. [Google Scholar] [CrossRef]
  48. Zhang, S.; Chen, H.; He, D.; Xu, C.; Zhu, H.; Zhu, Q. Effects of exogenous organic acids on Cd tolerance mechanism of salix variegata franch. Under Cd stress. Front. Plant Sci. 2020, 11, 594352. [Google Scholar] [CrossRef]
  49. Yu, T.; Song, K.; Hu, Y.; Zhou, S.; He, L.; Liu, W. Biochemical and Molecular Mechanisms of Exogenous Organic Acids in Alleviating Cd Toxicity in Tobacco (Nicotiana tabacum L.). Mol. Plant Breed. 2024. Available online: https://link.cnki.net/urlid/46.1068.S.20240613.1356.009 (accessed on 5 May 2024).
  50. Xie, W.; Wang, W.; Peng, Y.; Cheng, T.; Zhang, B. Effects of Different Organic Acids on Cadmium Toxicity and Quality in Pakchoi Cabbage. N. Hortic. 2021, 6, 42–47. [Google Scholar]
  51. Devi, S.; Prasad, M. Copper toxicity in Ceratophyllum demersum L. (Coontail), a free floating macrophyte: Response of antioxidant enzymes and antioxidants. Plant Sci. 1998, 138, 157–165. [Google Scholar] [CrossRef]
  52. Passatore, L.; Rossetti, S.; Juwarkar, A.; Massacci, A. Phytoremediation and bioremediation of polychlorinated biphenyls (PCBs): State of knowledge and research perspectives. J. Hazard. Mater. 2014, 278, 189–202. [Google Scholar] [CrossRef]
  53. Mahdavian, K. Effect of citric acid on antioxidant activity of red bean (Phaseolus calcaratus L.) under Cr+6 stress. S. Afr. J. Bot. 2021, 139, 83–91. [Google Scholar] [CrossRef]
  54. Ma, H.; Li, X.; Wei, M.; Zeng, G.; Hou, S.; Li, D.; Xu, H. Elucidation of the mechanisms into effects of organic acids on soil fertility, cadmium speciation and ecotoxicity in contaminated soil. Chemosphere 2020, 239, 124706. [Google Scholar] [CrossRef] [PubMed]
  55. Shi, X.; Wang, S.; He, W.; Wang, Y. Lead accumulation and biochemical responses in Rhus chinensis Mill to the addition of organic acids in lead contaminated soils. RSC Adv. 2023, 13, 4211–4221. [Google Scholar] [CrossRef] [PubMed]
  56. Schwab, A.; Zhu, D.; Banks, M. Influence of organic acids on the transport of heavy metals in soil. Chemosphere 2008, 72, 986–994. [Google Scholar] [CrossRef]
  57. Najafi, S.; Jalali, M. Effects of organic acids on cadmium and copper sorption and desorption by two calcareous soils. Environ. Monit. Assess. 2015, 187, 585. [Google Scholar] [CrossRef]
  58. Tang, D.; Xiang, Q.; Lei, W.; Sun, J. Effects of organic acids on the desorption of Cd, Cr and Mn ions in heavy metal contaminated soil. J. South-Cent. Minzu Univ. (Nat. Sci. Ed.) 2022, 41, 44–50. [Google Scholar] [CrossRef]
  59. Shirvani, M.; Shariatmadari, H.; Kallbasi, M. Kinetics of cadmium desorption from fibrous silicate clay minerals: Influence of organic ligands and aging. Appl. Clay Sci. 2007, 37, 175–184. [Google Scholar] [CrossRef]
  60. Xie, X.; Weiss, D.; Weng, B.; Liu, J.; Lu, H.; Yan, C. The short-term effect of cadmium on low molecular weight organic acid and amino acid exudation from mangrove (Kandelia obovata (S., L.) Yong) roots. Environ. Sci. Pollut. Res. 2013, 20, 997–1008. [Google Scholar] [CrossRef]
  61. Prasad, R.; Shivay, Y. Oxalic acid/oxalates in plants: From self-defence to phytoremediatio. Curr. Sci. 2017, 112, 1665–1667. Available online: https://www.jstor.org/stable/44211898 (accessed on 5 May 2024). [CrossRef]
  62. Jiang, Y.; Li, G.; Wang, D.; Qin, S.; Zhang, C.; Chen, H. Washing remediation of Cr(VI) contaminated soil by the combination process of natural organic acids and DTPA. Chin. J. Environ. Eng. 2020, 14, 1903–1914. [Google Scholar] [CrossRef]
  63. Oliveri, G.; Hea, E. Phytoremediation of contaminated soils by heavy metals and PAHs:a brief review. Environ. Technol. 2017, 8, 309–326. [Google Scholar] [CrossRef]
  64. Li, J.; Zhang, J.; Ma, Y.; Cai, M.; Gao, F. Effects of silicon on cadmium accumulation and non-protein thiol content in the seedlings of two rice varieties under cadmium stress. J. Agro-Environ. Sci. 2018, 37, 1066–1071. [Google Scholar] [CrossRef]
  65. Wang, D.; Zhang, X.; Liu, J.; Zhu, Y.; Zhang, H.; Zhang, A.; Jin, X. Oxalic acid enhances Cr tolerance in the accumulating plant Leersia hexandra Swartz. Int. J. Phytoremediat. 2012, 14, 966–977. [Google Scholar] [CrossRef] [PubMed]
  66. Sachdev, S.; Ansari, S.; Ansari, M. Generation and Fate of ROS in Mitochondria Reactive Oxygen Species in Plants: The Right Balance; Springer Nature Singapore: Singapore, 2023; pp. 93–106. [Google Scholar] [CrossRef]
  67. Zhu, X.; Zhang, J.; Li, Z.; Zhang, S.; Ru, G. The physiological response of Paulownia fortunei 1201 seedlings under plumbum and cadmium stress. Hubei Agric. Sci. 2022, 61, 82–91. [Google Scholar] [CrossRef]
Figure 1. The proportion of Cd in different soil forms.
Figure 1. The proportion of Cd in different soil forms.
Agronomy 14 02255 g001
Figure 2. Plant height of oil sunflower under different treatments. Different lowercase letters show significant differences for p < 0.05.
Figure 2. Plant height of oil sunflower under different treatments. Different lowercase letters show significant differences for p < 0.05.
Agronomy 14 02255 g002
Figure 3. The content of Cd accumulation.
Figure 3. The content of Cd accumulation.
Agronomy 14 02255 g003
Figure 4. Content of NPT in different parts of sunflower.
Figure 4. Content of NPT in different parts of sunflower.
Agronomy 14 02255 g004
Figure 5. Removal rate of Cd in rhizosphere soil under different treatments. Different lowercase letters show significant differences for p < 0.05.
Figure 5. Removal rate of Cd in rhizosphere soil under different treatments. Different lowercase letters show significant differences for p < 0.05.
Agronomy 14 02255 g005
Figure 6. The accumulation coefficients in different parts of sunflower.
Figure 6. The accumulation coefficients in different parts of sunflower.
Agronomy 14 02255 g006
Figure 7. The transfer coefficients in different parts of sunflower.
Figure 7. The transfer coefficients in different parts of sunflower.
Agronomy 14 02255 g007
Table 1. The physical and chemical properties of soil.
Table 1. The physical and chemical properties of soil.
Mechanical Composition (%)Nutrient Element
0.002 mm/%0.05~0.002 mm/%0.05 mm/%TN/(g·kg−1)TP/(g·kg−1)K/(mg·kg−1)
11.5375.3713.101.140.6386
Soil Characteristics
pHOM/%Soil bulk density/g·cm−3Soil texture
8.202.71.39Sandy loam soil
Table 2. Correlation matrix between plant index and soil cd removal rate.
Table 2. Correlation matrix between plant index and soil cd removal rate.
Plant HeightThe Content of Cd Accumulation in the RootsThe Content of Cd Accumulation in the StemsThe Content of Cd Accumulation in the LeavesThe Content of NPT in the RootsThe Content of NPT in the StemsThe Content of NPT in the LeaveCd Removal Rate
Plant height1
Content of Cd accumulation in roots0.775 **1
Content of Cd accumulation in stems−0.599 **−0.549 **1
Content of Cd accumulation in leaves−0.220−0.2530.3391
Content of NPT in roots−0.426−0.407 *0.235−0.1041
Content of NPT in stems−0.252−0.1150.2790.2670.2291
Content of NPT in leaves0.1810.400−0.2210.063−0.2080.0191
Cd removal rate0.732 **0.673 **−0.714 **−0.254−0.385−0.1140.3851
* and ** indicate that each parameter of sunflower was significantly correlated at p ≤ 0. 05 and p ≤ 0.01 levels, respectively.
Table 3. Comprehensive evaluation based on TOPSIS modeling.
Table 3. Comprehensive evaluation based on TOPSIS modeling.
TreatmentD+CRanking
TimeConcentration
2000.3100.0830.21125
10.2130.2030.4895
20.2430.1600.39714
30.2070.2530.5503
40.2310.1620.41211
50.2430.1410.36718
60.2480.1390.35819
3010.2040.1780.4667
20.2290.1630.41710
30.1970.1870.4876
40.1560.2690.6331
50.2240.1480.39713
60.1900.2100.5254
4010.2810.1080.27724
20.2580.1320.33821
30.2800.1270.31222
40.2190.1640.4289
50.2620.1410.35020
60.2330.1400.37517
5010.2800.1810.39315
20.1570.2100.5722
30.2790.1250.30923
40.2510.1740.40912
50.2410.1900.4408
60.2860.1790.38416
Disclaimer/Publisher’s Note: The statements, opinions and data contained in all publications are solely those of the individual author(s) and contributor(s) and not of MDPI and/or the editor(s). MDPI and/or the editor(s) disclaim responsibility for any injury to people or property resulting from any ideas, methods, instructions or products referred to in the content.

Share and Cite

MDPI and ACS Style

Zhang, D.; Han, Y.; Qiao, D.; Wang, Y.; Yang, W.; Li, W.; Xing, Y.; Bai, F.; Zhao, Y. Optimizing Oxalic Acid Application Regime to Maximize Sunflower Remediation Efficacy in Cd-Contaminated Soils. Agronomy 2024, 14, 2255. https://doi.org/10.3390/agronomy14102255

AMA Style

Zhang D, Han Y, Qiao D, Wang Y, Yang W, Li W, Xing Y, Bai F, Zhao Y. Optimizing Oxalic Acid Application Regime to Maximize Sunflower Remediation Efficacy in Cd-Contaminated Soils. Agronomy. 2024; 14(10):2255. https://doi.org/10.3390/agronomy14102255

Chicago/Turabian Style

Zhang, Dengmin, Yang Han, Dongmei Qiao, Yadan Wang, Wenhuan Yang, Weiping Li, Yongqiang Xing, Fangfang Bai, and Yulong Zhao. 2024. "Optimizing Oxalic Acid Application Regime to Maximize Sunflower Remediation Efficacy in Cd-Contaminated Soils" Agronomy 14, no. 10: 2255. https://doi.org/10.3390/agronomy14102255

APA Style

Zhang, D., Han, Y., Qiao, D., Wang, Y., Yang, W., Li, W., Xing, Y., Bai, F., & Zhao, Y. (2024). Optimizing Oxalic Acid Application Regime to Maximize Sunflower Remediation Efficacy in Cd-Contaminated Soils. Agronomy, 14(10), 2255. https://doi.org/10.3390/agronomy14102255

Note that from the first issue of 2016, this journal uses article numbers instead of page numbers. See further details here.

Article Metrics

Back to TopTop