Abstract
Reclaimed water (RW) is widely used in agricultural systems; however, it affects soil properties and the surrounding environment, thus influencing soil nitrogen transformation and increasing N2O and NO emissions. Understanding the influencing mechanism of N2O production in RW-irrigated soil is very important for water resource utilization and environmental protection, but it is rarely studied. This study investigated the impact of three nitrogen ions (NH4+, NO3−, NO2−) on the nitrogen transformation process and non-biological processes affecting NO and N2O emissions from soil under multiyear RW-irrigated conditions. The results showed that RW effectively increased the abundance of nitrifying and denitrifying functional genes, leading to a significant increase (p < 0.05) in soil NO and N2O emissions under ammonium treatment. Furthermore, RW can reduce the cumulative NH3 emission by 19.11% compared to deionized water (DW). In nitrate treatment, RW can significantly increase (p < 0.05) the nitrate conversion rate by increasing the abundance of denitrifying genes, but not significantly enhance N2O and NO emissions. In NO2− oxidation, RW could increase the abundance of nitrifying genes (AOA-amoA, AOB-amoA), thereby promoting the progression of nitrifier denitrification and leading to a substantial increase (p < 0.05) in soil N2O production. In summary, RW irrigation primarily increases N2O emissions from soil by enhancing soil autotrophic nitrification and heterotrophic nitration. To effectively control soil N2O emissions under agricultural irrigation with RW, it is crucial to carefully manage soil nitrification and adjust the ratio of ammonium and nitrate in the soil.
1. Introduction
As urban areas continue to expand, the quality of RW, commonly utilized in agriculture and present in rivers, differs from that of conventional water [,,]. The growing prevalence of RW irrigation has raised significant concerns about its safety in application. Concerning soil properties, numerous researchers have observed that RW could have an impact on soil electrical conductivity (EC), pH, soil nitrogen content (soil N), soil porosity, soil microorganisms, and more [,]. Amidst the growing prominence of global warming and water scarcity, agriculture, which serves as a significant contributor to greenhouse gas emissions, has garnered widespread attention. In this context, the shifts in agricultural irrigation water quality have gradually emerged as a focal point. Zou et al. [] observed elevated N2O emissions from rice paddies with sewage water irrigation. Chi et al. [] noted that RW irrigation significantly influenced soil N2O emissions during multiple maize–wheat rotations. In 2017, Xu et al. [] also reported a significant increase in soil CO2 and N2O emissions due to sewage irrigation. These studies solely concentrated on the effects of RW irrigation on soil N2O emissions, without delving into the underlying impact mechanism.
Nitrous Oxide (N2O): an essential atmospheric greenhouse gas and a principal gaseous product generated during agricultural production management [,,]. It is directly related to soil nitrogen transformation. According to the types of nitrogen forms involved in nitrogen transformation, nitrogen forms can be generally classified into three categories: NH4+ oxidation, NO3− reduction, and NO2− oxidation and reduction [,]. These soil nitrogen transformation processes could be impacted by soil properties and soil microorganisms. For example, soil EC could inhibit soil nitrification to reduce N2O emissions []. Nitrifier denitrification could be significantly increased in acidic environments []. Nitrifying (AOA-amoA and AOB-amoA) and denitrifying (nirK, nirS, and nosZ) microorganisms could directly determine the process of nitrogen transformation. While limited research has investigated the mechanism behind N2O emissions from soil under RW irrigation, there are still other research findings that can offer a reasonable explanation for the influence of adding RW on soil gas emissions. Qian et al. [] considered that RW irrigation can effectively elevate Na+ and soil N levels. Xu et al. [] also demonstrated that prolonged RW irrigation results in increased soil nitrogen content. Guo et al. [] indicated that RW affects soil nitrogen ion content and the microbial community, leading to improved soil bacterial activity. Ndour et al. [] highlighted the benefits of RW for nitrifying and denitrifying bacterial communities and their activities. Hu et al. [] also posited that RW can flexibly enhance the abundance of denitrification microorganisms. Although these research findings provide some guidance in understanding the mechanism by which RW irrigation affects soil N2O emissions, the specific soil nitrogen conversion process affected by RW irrigation remains unknown to us. Most studies have identified a peak in N2O emissions following fertilizer application [,]. The reasons for this lie in the fact that the forms of nitrogen ions can significantly impact nitrogen transformation in the soil, thereby influencing N2O and NO emissions. Wunderlin et al. [] employed various forms of nitrogen to investigate the mechanism of N2O production in biological wastewater treatment under nitrification and denitrification conditions.
This paper conducted an indoor cultivation experiment to assess the impact of RW on soil nitrogen transformation, N2O, and NO emissions. This was achieved by manipulating three soil nitrogen ions (NH4+, NO3−, NO2−) along with two types of water (RW and DW). Additionally, the study evaluated non-biological soil nitrogen transformation processes under RW irrigation through high-temperature and chemical sterilization. The findings offer foundational insights into mitigating N2O emissions from soil under RW irrigation and provide guidance for fertilization practices in the context of long-term RW irrigation.
2. Materials and Methods
2.1. Experimental Design
The trial focused on the patterns of N2O and NO emissions under RW irrigation with different nitrogen ions and determined the impact of RW on the soil environment. Therefore, the study set up two types of groups: abiotic and transformational groups. The details are depicted in Figure 1.
- (1)
- the abiotic groups

Figure 1.
Logic diagram of the experiment.
The abiotic groups, to which 200 N mg kg−1 NaNO2 was added, included DW, RW, and high-temperature sterilization of RW and DW at 105 °C for 1 h. The soil samples encompassed two distinct categories: regular soil samples and sterilized soil samples. The regular soil samples were derived from a field that had been subjected to extensive rotation between summer maize and winter wheat crops across several years. Conversely, the sterilized soil samples were treated with an addition of 33,800 mg HgCl2 kg−1 to the regular soil, aiming to efficiently quell the metabolic activity of microorganisms []. The abbreviations are (1) regular soil sample with DW (DNI); (2) regular soil sample with RW (RNI); (3) sterilized soil sample with high-temperature sterilization of RW (RWT); and (4) sterilized soil sample with high-temperature sterilization of DW (DWT). The purpose of the control groups was to analyze the effects of RW on soil abiotic processes.
- (2)
- the transformational groups
The transformational groups were irrigated using RW and DW, and all treatments were divided into three parts according to the addition of different nitrogen ions. The first was NH4+ oxidation, in which the nitrogen provided was NH4+; the second was NO3− reduction, in which the nitrogen provided was NO3−; and the third was NO2−, in which the nitrogen provided was NO2−. The ammonium treatment (AN), (NH4)2SO4, aimed to analyze the effect of RW on nitrification; the nitrate treatment (KN), KNO3, was used to analyze denitrification; and the nitrite treatment (NI), NaNO2, represented the key process for nitrogen transformation to produce N2O and NO. The abbreviations are (1) AN with RW (RAN) and AN with DW (DAN); (2) KN with RW (RKN) and AN with DW (DKN); (3) NI with RW (RNI) and AN with DW (DNI); and (4) no fertilizer with RW (R0) and no fertilizer with DW (D0). All treatments are listed on Table 1.

Table 1.
The experimental treatments.
2.2. Soil Sample Collection
The soil was collected at depths of 0–30 cm from a field experiment that had been cultivated with six years of summer maize and winter wheat rotation as described by []. An experiment was carried out to research the effect of RW on greenhouse gas emissions from soil from 2013 to 2016. The soil in the DW treatments was collected from a multiyear groundwater-irrigated field, and the soil in the RW treatments was collected from a multiyear RW-irrigated treatment field, the sampling depth was 0–20 cm, and the soil type was clay loam. The properties of the soil and water are shown in Table 2. The soil bulk densities were 1.39 g cm−3 (DW) and 1.41 g cm−3 (RW); the field capacities were 21.23% (DW) and 22.31% (RW). Six soil samples in replicated pots for each treatment were collected, air-dried, sieved through a 2.0 mesh, and then homogenized thoroughly and stored at 4 °C prior to the establishment of the microcosm incubation.

Table 2.
The properties of RW and soil.
2.3. Incubation Process
The incubation experiment, carried out at the College of Water Resources and Civil Engineering, Chinese Agricultural University, was a disturbed soil experiment. For each experiment 30 g of air-dried soil was measured out and transferred into a 250 mL butyl stopper culture flask. A needle tube was used to titrate DW and RW evenly into the soil, achieving a soil WFPS of 40%. The soil was weighed every day, and DW and RW were added to maintain the WFPS value. All treatments were placed in an incubator for 7 days under full shade and darkness conditions before nitrogen ions were added. The culture temperature was maintained at 28 °C to activate microorganisms and to consume ammonium. After 7 days, 3.03 g of water was added to dissolve NH4+, NO3−, and NO2−; the nitrogen content was 200 mg kg−1, and the soil WFPS was set to 70%.
2.4. Measurement of Gas and Soil Nitrogen Levels
N2O and NO were collected from headspace gas samples at 1, 2, 3, 4, 5, 7, 13, 18, 23, and 28 d of incubation. The sample bottle was ventilated for 2 h before gas was sampled. A 20 mL headspace gas sample was collected before the bottles were sealed, and a second gas sample was collected after the bottle had been sealed for 24 h. When conducting NO concentration testing, 20 mL of detection gas was combined with 980 mL of helium in a 1 L sampling bag to facilitate the passage of a 1 L gas volume through the system. N2O was analyzed via gas chromatography (Agilent GC-6820, Agilent Technologies Inc., Santa Clara, CA, USA). The NO sample was measured with a model 42i chemiluminescence NO–NO–NOX analyzer (Thermo Environmental Instruments Inc., Franklin, MA, USA). Every treatment was performed with three replicates. The cumulative gas was the sum of the daily concentrations, and the unmonitored values were calculated from the adjacent differences.
where M0 is the mass fraction of N in N2O and NO, P0 is the standard atmospheric pressure, V is the volume of the headspace gas sample, M is the quality of the soil, and T is the temperature of the bottle.
NH4+, NO3−, and NO2− were analyzed using a flow analyzer (Alliance Futura, AMS, Frépillon, France), and the sample times were 1, 3, 5, 7, 13, 18, 23, and 28 d. The soil potential denitrification rate (PDR) was evaluated via nitrate reduction in DKN and RKN, as shown in Formula (1) []. The soil potential nitrite oxidation (PNO) occurred via nitrite reduction in DNI and RNI, and the rates were calculated from the linear decrease and were taken as the PNO, as shown in Formula (2) [].
where is the content of NO3− at the end of the incubation (mg/kg), is the content of NO3−-N in the control group (mg/kg), and d is the incubation time of soil samples in the solution.
The soil pH and EC were measured using a Doppler multiparameter tester (SG23, Mettler Toledo, Shanghai, China) after cultivation according to the methods of [].
2.5. Real-Time PCR
On the final day of the incubation, soil samples of all treatments were collected and used for DNA extraction and quantitative PCR analysis (qPCR). Genes from nitrifying bacteria included ammonia-oxidizing archaea (AOB-amoA) and bacteria (AOB−amoB). Genes from denitrifying bacteria included the nirK, nirS, and nosZ. All of these bacteria were used to target N2O producers. The real-time PCR method used in this paper was described by []. The primer-extension strategy is outlined in Table 3.

Table 3.
List of amplified sequences of genes related to soil nitrification and denitrification microorganisms.
2.6. Data Analysis and Statistical Analyses
Analysis of the main effects was performed using SPSS V25 for Windows (SPSS Inc., Chicago, IL, USA) to determine the treatment effects. Simple effect analysis was further conducted when significant interactions were observed. The least significant difference procedure (LSD) and a probability level of 0.05 were used to determine significant differences between treatment means. In this study, ‘average’ refers to the arithmetic mean.
3. Results
3.1. The N2O Emission under Abiotic Groups
Upon analyzing the influence of non-biological processes on soil NO and N2O, as shown in Figure 2, the highest N2O and NO fluxes were observed on the initial day of incubation under the RWT treatment. The results revealed a significant discrepancy in cumulative N2O emission flux between RWT (178.94 μg kg−1) and DWT (67.04 μg kg−1). Additionally, Figure 2 indicated that RWT did not lead to an increase in NO emissions compared to DWT.

Figure 2.
Patterns and Cumulative Emissions of N2O and NO under Abiotic Treatment. A different capital letter indicates that the difference is significant (p < 0.05) between different water qualities. A different lowercase letter indicates that the difference is significant (p < 0.05) between different nitrogen fertilizers.
Upon comparing and analyzing the emissions of N2O and NO from sterilized and non-sterilized soil, a significant difference (p < 0.05) was observed in N2O and NO flux, as depicted in Figure 2. It was found that non-biological cumulative N2O emissions constituted 25.76% of the total soil N2O emissions under RW, whereas under DW, non-biological cumulative N2O emissions accounted for 14.06% of the total soil N2O emissions. Similarly, non-biological NO emissions represented 25.54% of the total soil NO emissions under RW, while under DW, non-biological NO emissions accounted for 10.36% of the total soil NO emissions.
3.2. N2O Production during NH4+ Oxidation under RW Irrigation
Regarding N2O emissions, the peak values of N2O emissions were detected on the fourth and fifth days of incubation, and the peak was one day ahead of that in DAN (Figure 3a). The peak value of N2O in RAN was 2162.77 ng kg−1 h−1, and the value increased by 17.61% in comparison to DAN. Table 4 also indicated that the average N2O in RAN was significantly higher than that in DAN. Regarding NO emissions, as illustrated in Figure 3a, NO emissions first increased and then decreased during the cultivation period. The peak NO values in the DAN and RAN treatments were 211.39 ng kg−1 h−1 and 151.13 ng kg−1 h−1, respectively, observed on the third day of incubation. Table 4 also showed that the average NO emission in RAN was significantly (p < 0.05) higher than that in DAN.

Figure 3.
(a) Patterns of N2O and NO flux emissions during NH4+ oxidation. (b) Pattern of inorganic nitrogen ions during the incubation period in NH4+ oxidation. (c) Copies of genes related to nitrification and denitrification involved in NH4+ oxidation. The log10-transformed gene copy numbers per g of dry soil of the targeted functional genes (AOA, AOB, NOB, nirS, nirK, and nosZ) under different treatments are shown; every treatment had six repetitions. A different capital letter indicates that the difference is significant (p < 0.05) between different water qualities. A different lowercase letter indicates that the difference is significant (p < 0.05) between different nitrogen fertilizers.

Table 4.
Average N2O and NO emissions.
The N2O and NO emissions were impacted by soil nitrogen content. As shown in Figure 3b, the concentration of the NO3− ion increased with decreasing NH4+ ions, and the NH4+ conversion in RW was significantly higher than that in DW (Table 4). The peak concentration of NO2− was detected on the third day of incubation, and it was found that the peak concentration in the RAN treatment was higher than that in the DAN treatment. Furthermore, the peak time of NO2− coincided with the peak in NO flux.
When comparing the abundance of nitrogen transformation genes between RW and DW, the findings indicated that under NH4+ oxidation conditions, RW could significantly enhance the abundance of nitrifying functional genes and gene-nirS compared to DW (p < 0.05). However, the abundance levels of gene-nirK and gene-nosZ showed no significant difference between RAN and DAN, as illustrated in Figure 3c.
3.3. N2O Production during NO3− Reduction under RW Irrigation
In the context of NO3− reduction, both N2O and NO exhibit a decrease in emissions over the incubation period. Specifically, the highest NO emissions were observed on the second day of incubation, as depicted in Figure 4a. The peak NO emission rate for RKN was 64.76 ng kg−1 h−1, while for DKN it was 42.37 ng kg−1 h−1. As for N2O emissions, the peak rate for RKN occurred on the third day, whereas for DKN it was on the fourth day. The peak N2O emission rate for RKN was 423.7 ng kg−1 h−1, whereas for DKN it was 363.53 ng kg−1 h−1.

Figure 4.
(a) Patterns of N2O and NO flux emissions during NO3− reduction. (b) Pattern of inorganic nitrogen ions during the incubation period in NO3− reduction. (c) Copies of genes related to nitrification and denitrification involved in NO3− reduction. A different capital letter indicates that the difference is significant (p < 0.05) between different water qualities. A different lowercase letter indicates that the difference is significant (p < 0.05) between different nitrogen fertilizers.
Over the incubation period, there was a decline in NO3− levels corresponding to the duration of incubation. The peak NO2− value aligned with the highest NO emissions value in Figure 4b, occurring on the second day of incubation. Furthermore, Figure 4c indicates that the utilization of RW led to a noteworthy increase in the abundance of genes related to NOB, AOA-amoA, nirS, and nosZ.
3.4. N2O Production during NO2− Oxidation under RW Irrigation
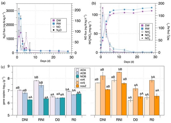
NO2− serves as an intermediate product in the nitrification and denitrification processes, and existing research generally indicates that nitrite can effectively elevate N2O and NO emissions [,]. As shown in Figure 5a, the zenith of NO and N2O emissions occurred on the initial day and subsequently declined sharply. Specifically, the peak NO flux values in the RNI and DNI treatments were recorded as 191.76 ng kg−1 h−1 and 151.97 ng kg−1 h−1, respectively. Similarly, the peak N2O flux values in the RNI and DNI treatments were observed as 2783.52 ng kg−1 h−1 and 1427.95 ng kg−1 h−1, respectively. Notably, RNI treatment led to a significant augmentation of N2O emissions when compared to DNI (p < 0.05) (Table 4).

Figure 5.
(a) Patterns of N2O and NO flux emissions during NO2− oxidation. (b) Pattern of inorganic nitrogen ions during the incubation period in NO2− oxidation. (c) Copies of genes related to nitrification and denitrification involved in NO2− oxidation. A different capital letter indicates that the difference is significant (p < 0.05) between different water qualities. A different lowercase letter indicates that the difference is significant (p < 0.05) between different nitrogen fertilizers.
As shown in Figure 5b, most of the NO2− was oxidized into NO3− ions in RNI and DNI; the content of soil nitrite in DNI was 0 on the 5th day, and that in RNI was 0 until the 18th day of incubation. The abundance of soil microorganisms in nitrifying and denitrifying soils was similar to that in NH4+ oxidation (Figure 5c). RW significantly (p < 0.05) increased nitrifying functional gene abundance (Figure 5c).
3.5. The Transformation of Soil Nitrogen and Its Properties
As shown in Figure 6, both PDR and PNO exhibited a similar trend of variation, reaching their peak values on the third day after nitrogen application and subsequently declining as the incubation period progressed. Notably, significant discrepancies emerged on the third day across different water qualities (p > 0.05). Table 4 clearly illustrates that NH4+ and NO2− transformations under RW were lower than under DW, while the NO3− transformation in RW was higher than in DW.

Figure 6.
(a) The potential rate of denitrification. (b) The potential nitrous acid reduction rate. (c) The soil pH and EC after cultivation. A different lowercase letter indicates a significant difference between different water qualities (p < 0.05).
In terms of soil properties, the soil pH demonstrated a decrease after cultivation following the application of nitrogen. The pH of the soil treated with DW was found to be higher compared to that of RW; however, no significant difference was observed between the various water quality treatments. The EC value of RW was significantly higher (p < 0.01) than that of DW. The EC value for RW was between 900 and 1100 μs cm−1, while for DW it ranged between 700 and 800 μs cm−1. No significant difference was observed among the various nitrogen application treatments (p > 0.05), and the EC value in RNI exhibited the smallest value.
4. Discussion
Soil chemical denitrification is a prominent non-biological reaction process responsible for soil N2O and NO production. Previous research has highlighted that soil chemical denitrification predominantly encompasses the chemical decomposition of NO2− either on its own or in conjunction with other compounds (such as Fe2+, Cu2+, phenolic compounds, humus, etc.), yielding readily decomposable chemical substances. Consequently, this process gives rise to NOx, N2O, and N2 gases []. In summary, the potency of chemical denitrification is predominantly influenced by the buildup of NO2−. As exemplified by research on sandy loam soil, chemical denitrification accounted for 6.7% to 12.7% of soil NO emissions across various nitrogen application scenarios []. This finding aligns with the outcomes observed in our DW treatment. The heightened contribution of the non-biological reactions of soil to N2O/NO emissions under RW irrigation treatment primarily results from variations in soil organic matter content and soil pH. Some studies have indicated that an elevation in soil organic matter content [] and a reduction in soil pH [] contribute to enhancing the abiotic process of soil N2O production.
N2O is produced in the NH4+ environment through the conversion of NH3 to NH2OH [] or the oxidation of NH2OH through nitrification [,]. Consequently, NO2− denitrification and nitrifier denitrification processes contribute to N2O formation. Our study had considered that RW could increase the average N2O and NO flux during the NH4+ and NO2− incubation period. The results were consistent with certain DW experiments [,,]. Fan et al. [] observed an increase in N2O and NO emissions with higher NO2− content. Similarly, Shang et al. [] demonstrated that RW with NH4+ led to greater N2O emissions compared to NO3−. Therefore, we consider that RW could effectively improve the contribution of soil nitrification and nitrifier denitrification on N2O production. This phenomenon is primarily attributed to alterations in soil microorganisms associated with nitrogen transformation. Our study, along with similar findings [,], observed that irrigation with RW could indeed enhance the abundance levels of nitrifying and denitrifying microorganisms in the soil. In this study, RW increases the AOB-amoA abundance in RNI and RAN in comparison with DNI and DAN, respectively (Figure 2 and Figure 4c). Wunderlin et al. [] proposes that the production of NO, a precursor to N2O in the nitrogen reduction chain, underscores nitrifier denitrification by AOB to be the dominant N2O production pathway. A higher nitrite content leads to increased nitrifier denitrification activity by AOB with nitrite instead of oxygen as the terminal electron acceptor [,]. Apart from the alteration in soil microorganisms, shifts in the soil environment can also expedite the transformation of soil NO2−. As shown in Figure 5c, the pH in RNI was lower than that in DNI at the end of the incubation. This condition maybe beneficial to soil nitrifier denitrification activity. Wang et al. [] considers that a high N content and low pH could result in nitrite denitrification. Studies [,] have also shown that the type and rate of fertilizer application can significantly impact denitrification. These resulted in higher N2O emissions under the RAN and RNI treatments compared to the DAN and DNI treatments. However, in our study, it was observed that while RW effectively increased soil N2O and NO under AN and NI treatments, NH4+ and NO2− transformations under RW were lower than under DW (Table 4). This could be attributed to the presence of nitrogen in RW, which might influence the conversion processes of NH4+ and NO2− in the soil. Furthermore, this study employed three conditions to estimate the pathways of N2O production; however, these conditions may not fully represent heterotrophic nitrification. As indicated in Table 1, the soil organic carbon (SOC) content in RW was higher than that in DW, which could potentially lead to an increase in heterotrophic nitrification in the RW treatment. Further investigation of the related content can be conducted based on the presence of 15N isotopes, as demonstrated in previous studies [,,]. After analyzing the effect of the KN treatment, the results suggest that there was no significant difference between RW and DW. While RW could increase the abundance of denitrifying genes, it does not have a significant impact on the process of denitrification and N2O production in this study. However, the contribution of denitrification to N2O production remains uncertain. To gain further clarity, additional investigations such as determining soil N2 emissions or employing the 15N isotope method should be considered.
5. Conclusions
NH4+ and NO2− play a pivotal role in the escalation of soil N2O and NO emissions. RW has demonstrated its capacity to augment the abundance of nitrifying genes and nirS across varying nitrogen ions. The influence of RW extends to the enhancement of N2O and NO emissions through strengthening processes such as nitrification, nitrite denitrification, and the abiotic process. Significantly, RW amplifies its influence on soil nitrogen loss through the enhancement of the denitrification process. However, this augmentation may not necessarily yield a pronounced surge in N2O emission during denitrification. Alternatively, judicious elevation of nitrate content can effectively regulate both N2O and NO emissions.
Author Contributions
Y.C. and P.Y. designed the experiments; C.W. and Y.Z. conducted the experiments.; Y.C. and Y.Z. analyzed the data and wrote the paper. All authors have read and agreed to the published version of the manuscript.
Funding
This research was funded by Research on the Evaluation Index System of Water Safety in Zhejiang Province (No. ZSSJCG-202305004) and the National Key Research and Development Project of China, grant number (No. 2019YFC0408703).
Data Availability Statement
The data presented in this study are available on request from the corresponding author. The data are not publicly available as the project is not finished.
Acknowledgments
Gratitude is extended to Guo Huifang for her valuable assistance during the manuscript review process.
Conflicts of Interest
The authors declare no conflict of interest.
References
- Hu, Y.; Wu, W. Review and Development Strategy of Irrigation with Unconventional Water Resources in China. Chin. J. Eng. Sci. 2018, 20, 69–76. [Google Scholar] [CrossRef]
- Saha, J.K.; Panwar, N.; Srivastava, A.; Biswas, A.K.; Kundu, S.; Rao, A.S. Chemical, Biochemical, and Biological Impact of Untreated Domestic Sewage Water Use on Vertisol and Its Consequences on Wheat (Triticum aestivum) Productivity. Environ. Monit. Assess. 2010, 161, 403–412. [Google Scholar] [CrossRef] [PubMed]
- Sun, J.; Chen, L.; Rene, E.R.; Hu, Q.; Ma, W.; Shen, Z. Biological Nitrogen Removal Using Soil Columns for the Reuse of Reclaimed Water: Performance and Microbial Community Analysis. J. Environ. Manag. 2018, 217, 100–109. [Google Scholar] [CrossRef] [PubMed]
- Wang, J.; Wang, G.; Wanyan, H. Treated Wastewater Irrigation Effect on Soil, Crop and Environment: Wastewater Recycling in the Loess Area of China. J. Environ. Sci. 2007, 19, 1093–1099. [Google Scholar] [CrossRef] [PubMed]
- Chen, W.; Lu, S.; Pan, N.; Wang, Y.; Wu, L. Impact of Reclaimed Water Irrigation on Soil Health in Urban Green Areas. Chemosphere 2015, 119, 654–661. [Google Scholar] [CrossRef]
- Zou, J.; Liu, S.; Qin, Y.; Pan, G.; Zhu, D. Sewage Irrigation Increased Methane and Nitrous Oxide Emissions from Rice Paddies in Southeast China. Agric. Ecosyst. Environ. 2009, 129, 516–522. [Google Scholar] [CrossRef]
- Chi, Y.; Yang, P.; Ren, S.; Ma, N.; Yang, J.; Xu, Y. Effects of Fertilizer Types and Water Quality on Carbon Dioxide Emissions from Soil in Wheat-Maize Rotations. Sci. Total Environ. 2020, 698, 134010. [Google Scholar] [CrossRef]
- Xu, S.; Hou, P.; Xue, L.; Wang, S.; Yang, L. Treated Domestic Sewage Irrigation Significantly Decreased the CH4, N2O and NH3 Emissions from Paddy Fields with Straw Incorporation. Atmos. Environ. 2017, 169, 1–10. [Google Scholar] [CrossRef]
- Mosier, A.; Kroeze, C.; Nevison, C.; Oenema, O.; Seitzinger, S.; van Cleemput, O. Closing the Global N2O Budget: Nitrous Oxide Emissions through the Agricultural Nitrogen Cycle. Nutr. Cycl. Agroecosyst. 1998, 52, 225–248. [Google Scholar] [CrossRef]
- Ruser, R.; Flessa, H.; Russow, R.; Schmidt, G.; Buegger, F.; Munch, J.C. Emission of N2O, N2 and CO2 from Soil Fertilized with Nitrate: Effect of Compaction, Soil Moisture and Rewetting. Soil Biol. Biochem. 2006, 38, 263–274. [Google Scholar] [CrossRef]
- Snyder, C.S.; Bruulsema, T.W.; Jensen, T.L.; Fixen, P.E. Review of Greenhouse Gas Emissions from Crop Production Systems and Fertilizer Management Effects. Agric. Ecosyst. Environ. 2009, 133, 247–266. [Google Scholar] [CrossRef]
- Wunderlin, P.; Mohn, J.; Joss, A.; Emmenegger, L.; Siegrist, H. Mechanisms of N2O Production in Biological Wastewater Treatment under Nitrifying and Denitrifying Conditions. Water Res. 2012, 46, 1027–1037. [Google Scholar] [CrossRef] [PubMed]
- Müller, C.; Laughlin, R.J.; Spott, O.; Rütting, T. Quantification of N2O Emission Pathways via a 15N Tracing Model. Soil Biol. Biochem. 2014, 72, 44–54. [Google Scholar] [CrossRef]
- Wei, C.; Ren, S.; Yang, P.; Wang, Y.; He, X.; Xu, Z.; Wei, R.; Wang, S.; Chi, Y.; Zhang, M. Effects of Irrigation Methods and Salinity on CO2 Emissions from Farmland Soil during Growth and Fallow Periods. Sci. Total Environ. 2021, 752, 141639. [Google Scholar] [CrossRef] [PubMed]
- Qian, Y.L.; Mecham, B. Long-Term Effects of Recycled Wastewater Irrigation on Soil Chemical Properties on Golf Course Fairways. Agron. J. 2005, 97, 717–721. [Google Scholar] [CrossRef]
- Xu, M.; Bai, X.; Pei, L.; Pan, H. A Research on Application of Water Treatment Technology for Reclaimed Water Irrigation. Int. J. Hydrogen Energy 2016, 41, 15930–15937. [Google Scholar] [CrossRef]
- Guo, W.; Andersen, M.N.; Qi, X.; Li, P.; Li, Z.; Fan, X.; Zhou, Y. Effects of Reclaimed Water Irrigation and Nitrogen Fertilization on the Chemical Properties and Microbial Community of Soil. J. Integr. Agric. 2017, 16, 679–690. [Google Scholar] [CrossRef]
- Ndour, N.Y.B.; Baudoin, E.; Guissé, A.; Seck, M.; Khouma, M.; Brauman, A. Impact of Irrigation Water Quality on Soil Nitrifying and Total Bacterial Communities. Biol. Fertil. Soils 2008, 44, 797–803. [Google Scholar] [CrossRef]
- Wang, Y.Y.; Hu, C.S.; Ming, H.; Zhang, Y.M.; Li, X.X.; Dong, W.X.; Oenema, O. Concentration Profiles of CH4, CO2 and N2O in Soils of a Wheat–Maize Rotation Ecosystem in North China Plain, Measured Weekly over a Whole Year. Agric. Ecosyst. Environ. 2013, 164, 260–272. [Google Scholar] [CrossRef]
- Dijkstra, F.A.; Fitzhugh, R.D. Aluminum Solubility and Mobility in Relation to Organic Carbon in Surface Soils Affected by Six Tree Species of the Northeastern United States. Geoderma 2003, 114, 33–47. [Google Scholar] [CrossRef]
- Kollah, B.; Parmar, R.; Vishwakarma, A.; Dubey, G.; Patra, A.; Chaudhari, S.K.; Mohanty, S.R. Nitrous Oxide Production from Soybean and Maize under the Influence of Weedicides and Zero Tillage Conservation Agriculture. J. Hazard. Mater. 2021, 402, 123572. [Google Scholar] [CrossRef] [PubMed]
- Han, S.; Zeng, L.; Luo, X.; Xiong, X.; Wen, S.; Wang, B.; Chen, W.; Huang, Q. Shifts in Nitrobacter- and Nitrospira-like Nitrite-Oxidizing Bacterial Communities under Long-Term Fertilization Practices. Soil Biol. Biochem. 2018, 124, 118–125. [Google Scholar] [CrossRef]
- Wei, C.; Li, F.; Yang, P.; Ren, S.; Wang, S.; Wang, Y.; Xu, Z.; Xu, Y.; Wei, R.; Zhang, Y. Effects of Irrigation Water Salinity on Soil Properties, N2O Emission and Yield of Spring Maize under Mulched Drip Irrigation. Water 2019, 11, 1548. [Google Scholar] [CrossRef]
- Meng, L.; Ding, W.; Cai, Z. Long-Term Application of Organic Manure and Nitrogen Fertilizer on N2O Emissions, Soil Quality and Crop Production in a Sandy Loam Soil. Soil Biol. Biochem. 2005, 37, 2037–2045. [Google Scholar] [CrossRef]
- Fan, C.; Duan, P.; Zhang, X.; Shen, H.; Chen, M.; Xiong, Z. Mechanisms Underlying the Mitigation of Both N2O and NO Emissions with Field-Aged Biochar in an Anthrosol. Geoderma 2020, 364, 114178. [Google Scholar] [CrossRef]
- Grabb, K.C.; Buchwald, C.; Hansel, C.; Wankel, S. A Dual Nitrite Isotopic Investigation of Chemodenitrification by Mineral-Associated Fe(II) and Its Production of Nitrous Oxide. Geochim. Cosmochim. Acta J. Geochem. Soc. Meteorit. Soc. 2017, 196, 388–402. [Google Scholar] [CrossRef]
- Ding, W.; Yan, C.; Cai, Z.; Yagi, K.; Zheng, X. Nitrous Oxide Emissions from an Intensively Cultivated Maize-Wheat Rotation Soil in the North China Plain. Sci. Total Environ. 2007, 373, 501–511. [Google Scholar] [CrossRef]
- Thorn, K.A.; Mikta, A.M. Nitrite Fixation by Humic Substances: Nitrogen-15 Nuclear Magnetic Resonance Evidence for Potential Intermediates in Chemodenitrification. Soil Sci. Soc. Am. J. 2000, 43, 568–583. [Google Scholar] [CrossRef]
- Spott, O.; Russow, R.; Stange, C.F. Formation of Hybrid N2O and Hybrid N2 Due to Codenitrification: First Review of a Barely Considered Process of Microbially Mediated N-Nitrosation. Soil Biol. Biochem. 2011, 43, 1995–2011. [Google Scholar] [CrossRef]
- Müller, C.; Rütting, T.; Kattge, J.; Laughlin, R.J.; Stevens, R.J. Estimation of Parameters in Complex 15N Tracing Models by Monte Carlo Sampling. Soil Biol. Biochem. 2007, 39, 715–726. [Google Scholar] [CrossRef]
- Duan, P.; Zhou, J.; Feng, L.; Jansen-Willems, A.B.; Xiong, Z. Pathways and Controls of N2O Production in Greenhouse Vegetable Production Soils. Biol. Fertil. Soils 2019, 55, 285–297. [Google Scholar] [CrossRef]
- Barbosa, E.A.A.; Gonçalves, I.Z.; dos Santos, L.N.S.; Nazário, A.A.; Feitosa, D.R.C.; do Carmo, J.B.; Matsura, E.E. Greenhouse Gas Emission of Sugarcane Irrigated with Treated Domestic Sewage by Subsurface Drip in Southeast Brazil. Irrig. Drain. 2022, 2748. [Google Scholar] [CrossRef]
- Li, M.; Xue, L.; Zhou, B.; Duan, J.; He, Z.; Wang, X.; Xu, X.; Yang, L. Effects of Domestic Sewage from Different Sources on Greenhouse Gas Emission and Related Microorganisms in Straw-Returning Paddy Fields. Sci. Total Environ. 2020, 718, 137407. [Google Scholar] [CrossRef] [PubMed]
- Shang, F.; Ren, S.; Yang, P.; Chi, Y.; Xue, Y. Effects of Different Irrigation Water Types, N Fertilizer Types, and Soil Moisture Contents on N2O Emissions and N Fertilizer Transformations in Soils. Water Air Soil Pollut. 2016, 227, 225–243. [Google Scholar] [CrossRef]
- Kampschreur, M.J.; Temmink, H.; Kleerebezem, R.; Jetten, M.S.M. Nitrous Oxide Emission during Wastewater Treatment. Water Res. 2009, 43, 4093–4103. [Google Scholar] [CrossRef] [PubMed]
- Kim, S.W.; Miyahara, M.; Fushinobu, S.; Wakagi, T.; Shoun, H. Nitrous Oxide Emission from Nitrifying Activated Sludge Dependent on Denitrification by Ammonia-Oxidizing Bacteria. Bioresour. Technol. 2010, 101, 3958–3963. [Google Scholar] [CrossRef]
- Wrage, N.; Velthof, G.L.; van Beusichem, M.L.; Oenema, O. Role of Nitrifier Denitrification in the Production of Nitrous Oxide. Soil Biol. Biochem. 2001, 33, 1724–1732. [Google Scholar] [CrossRef]
- Hofstra, N.; Bouwman, A.F. Denitrification in Agricultural Soils: Summarizing Published Data and Estimating Global Annual Rates. Nutr. Cycl. Agroecosyst. 2005, 72, 267–278. [Google Scholar] [CrossRef]
- Wang, J.; Chadwick, D.R.; Cheng, Y.; Yan, X. Global Analysis of Agricultural Soil Denitrification in Response to Fertilizer Nitrogen. Sci. Total Environ. 2018, 616–617, 908–917. [Google Scholar] [CrossRef]
Disclaimer/Publisher’s Note: The statements, opinions and data contained in all publications are solely those of the individual author(s) and contributor(s) and not of MDPI and/or the editor(s). MDPI and/or the editor(s) disclaim responsibility for any injury to people or property resulting from any ideas, methods, instructions or products referred to in the content. |
© 2023 by the authors. Licensee MDPI, Basel, Switzerland. This article is an open access article distributed under the terms and conditions of the Creative Commons Attribution (CC BY) license (https://creativecommons.org/licenses/by/4.0/).