Exploring the Genetic Variation of Stripe Rust Foliar and Head Infection in Egyptian Wheat as an Effect of Climate Change
Abstract
1. Introduction
2. Material and Methods
2.1. Plant Materials
2.2. Experimental Design and Stripe Rust Infection
2.3. Evaluation of Stripe Rust Foliar and Head Infection and Kernel Traits
2.4. Data on Climatic Conditions
2.5. Statistical Analysis of Stripe Rust Resistance and Climate Parameters
2.6. Genotyping of the Tested Materials and Calculating the Genetic Distance
3. Results
3.1. Evaluation of Stripe Rust Infection in the Egyptian Wheat Germplasm
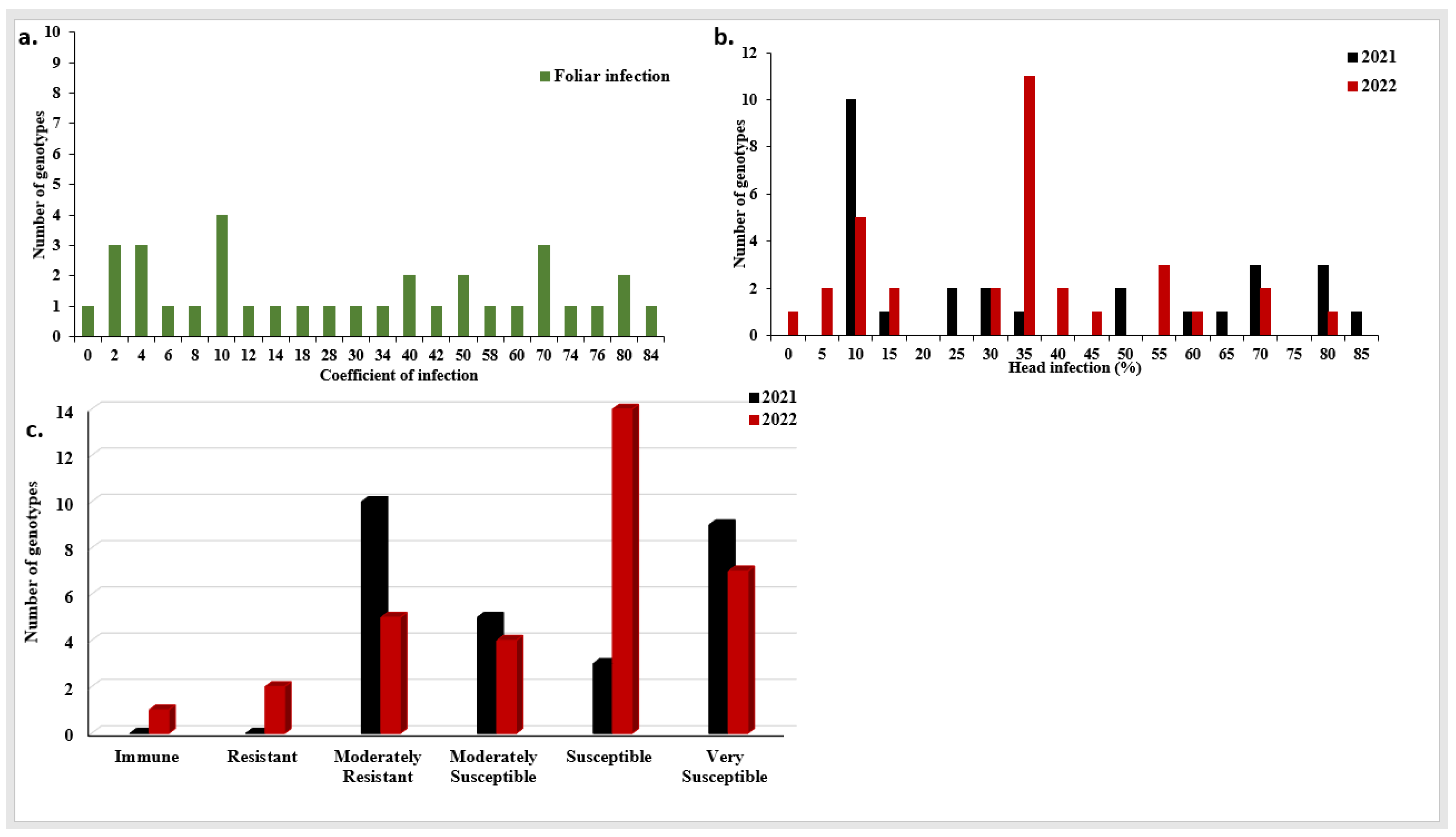
3.1.1. Phenotypic Variation in Pst Foliar Infection
3.1.2. Phenotypic Variation in Stripe Rust Head Infection
3.2. The Relation between Stripe Rust Foliar and Head Infection
3.3. Climate Parameters That Affect Stripe Rust Infection
3.4. Evaluation of the Isolines to Both Stripe Rust Symptoms
3.5. Effect of PstFI and PstHI on Important Kernel Traits
3.6. Selection of Superior Genotypes for Both Stripe Rust Infection Symptoms
4. Discussion
4.1. Phenotypic Evaluation of Stripe Rust Foliar and Head Infection
4.2. Climate Changes and Stripe Rust Infection
4.3. Effective Stripe-Rust-Resistant Genes to Both PstFI and PstHI Symptoms
4.4. Effect of PstFI and PstHI on Kernel Traits
4.5. Selection of Resistant Genotypes to Both Stripe Rust Symptoms
5. Conclusions
Supplementary Materials
Author Contributions
Funding
Data Availability Statement
Acknowledgments
Conflicts of Interest
Abbreviations
References
- Lagudah, E.S.; Krattinger, S.G.; Herrera-Foessel, S.; Singh, R.P.; Huerta-Espino, J.; Spielmeyer, W.; Brown-Guedira, G.; Selter, L.L.; Keller, B. Gene-Specific Markers for the Wheat Gene Lr34/Yr18/Pm38 Which Confers Resistance to Multiple Fungal Pathogens. Theor. Appl. Genet. 2009, 119, 889–898. [Google Scholar] [CrossRef] [PubMed]
- Markell, S.G.; Milus, E.A. Emergence of a Novel Population of Puccinia striiformis f. sp. tritici in Eastern United States. Phytopathology 2008, 98, 632–639. [Google Scholar] [CrossRef] [PubMed]
- Lara, E.P. Mapping of Genomic Regions Associated with Agronomic Traits and Resistance to Diseases in Canadian Spring Wheat. Ph.D. Thesis, University of Alberta, Edmonton, AB, Canada, 2017. [Google Scholar]
- Yuan, F.P.; Zeng, Q.D.; Wu, J.H.; Wang, Q.L.; Yang, Z.J.; Liang, B.P.; Kang, Z.S.; Chen, X.H.; Han, D.J. QTL Mapping and Validation of Adult Plant Resistance to Stripe Rust in Chinese Wheat Landrace Humai 15. Front. Plant Sci. 2018, 9, 968. [Google Scholar] [CrossRef] [PubMed]
- Singh, A.; Knox, R.E.; DePauw, R.M.; Singh, A.K.; Cuthbert, R.D.; Campbell, H.L.; Shorter, S.; Bhavani, S. Stripe Rust and Leaf Rust Resistance QTL Mapping, Epistatic Interactions, and Co-Localization with Stem Rust Resistance Loci in Spring Wheat Evaluated over Three Continents. Theor. Appl. Genet. 2014, 127, 2465–2477. [Google Scholar] [CrossRef]
- Li, J.; Dundas, I.; Dong, C.; Li, G.; Trethowan, R.; Yang, Z.; Hoxha, S.; Zhang, P. Identification and Characterization of a New Stripe Rust Resistance Gene Yr83 on Rye Chromosome 6R in Wheat. Theor. Appl. Genet. 2020, 133, 1095–1107. [Google Scholar] [CrossRef]
- Omara, R.; El-Naggar, D.; Abd El-Malik, N.; Ketta, H. Losses Assessment in Some Egyptian Wheat Cultivars Caused by Stripe Rust Pathogen (Puccinia striiformis). Egypt. J. Phytopathol. 2016, 44, 191–203. [Google Scholar] [CrossRef]
- Shahin, A.; Shaheen, S.; Abu, A.A.A. Virulence and Diversity of Wheat Stripe Rust Pathogen in Egypt. J. Am. Sci. 2015, 11, 47–52. [Google Scholar]
- Abou-Zeid, M.A.; Mourad, A.M.I. Genomic Regions Associated with Stripe Rust Resistance against the Egyptian Race Revealed by Genome-Wide Association Study. BMC Plant Biol. 2021, 21, 42. [Google Scholar] [CrossRef]
- Esmail, S.M.; Draz, I.S.; Ashmawy, M.A.; El-Orabey, W.M. Emergence of New Aggressive Races of Puccinia striiformis f. sp. tritici Causing Yellow Rust Epiphytotic in Egypt. Physiol. Mol. Plant Pathol. 2021, 114, 101612. [Google Scholar] [CrossRef]
- Morgounov, A.; Abugalieva, A.; Akan, K.; Akln, B.; Baenziger, S.; Bhatta, M.; Dababat, A.A.; Demir, L.; Dutbayev, Y.; El Bouhssini, M.; et al. High-Yielding Winter Synthetic Hexaploid Wheats Resistant to Multiple Diseases and Pests. Plant Genet. Resour. Characterisation Util. 2017, 16, 273–278. [Google Scholar] [CrossRef]
- Elbasyoni, I.S.; El-Orabey, W.M.; Morsy, S.; Baenziger, P.S.; Al Ajlouni, Z.; Dowikat, I. Evaluation of a Global Spring Wheat Panel for Stripe Rust: Resistance Loci Validation and Novel Resources Identification. PLoS ONE 2019, 14, e0222755. [Google Scholar] [CrossRef] [PubMed]
- El-Orabey, W.M.; Ashmawy, M.A.; Shahin, A.A.; Ahmed, M.I. Screening of Cimmyt Wheat Genotypes against Yellow Rust in Egypt. Int. J. Phytopathol. 2020, 9, 51–70. [Google Scholar] [CrossRef]
- Mourad, A.M.I.; Abou-Zeid, M.A.; Eltaher, S.; Baenziger, P.S.; Börner, A. Identification of Candidate Genes and Genomic Regions Associated with Adult Plant Resistance to Stripe Rust in Spring Wheat. Agronomy 2021, 11, 2585. [Google Scholar] [CrossRef]
- Hovmøller, M.S.; Walter, S.; Bayles, R.A.; Hubbard, A.; Flath, K.; Sommerfeldt, N.; Leconte, M.; Czembor, P.; Rodriguez-Algaba, J.; Thach, T.; et al. Replacement of the European Wheat Yellow Rust Population by New Races from the Centre of Diversity in the Near-Himalayan Region. Plant Pathol. 2016, 65, 402–411. [Google Scholar] [CrossRef]
- Hubbard, A.; Lewis, C.M.; Yoshida, K.; Ramirez-Gonzalez, R.H.; de Vallavieille-Pope, C.; Thomas, J.; Kamoun, S.; Bayles, R.; Uauy, C.; Saunders, D.G.O. Field Pathogenomics Reveals the Emergence of a Diverse Wheat Yellow Rust Population. Genome Biol. 2015, 16, 23. [Google Scholar] [CrossRef]
- Milus, E.A.; Kristensen, K.; Hovmøller, M.S. Evidence for Increased Aggressiveness in a Recent Widespread Strain of Puccinia striiformis f. sp. tritici Causing Stripe Rust of Wheat. Phytopathology 2009, 99, 89–94. [Google Scholar] [CrossRef]
- Cromey, M.G. Infection and Control of Stripe Rust in Wheat Spikes. New Zeal. J. Crop Hortic. Sci. 1989, 17, 159–164. [Google Scholar] [CrossRef]
- Allan, R.E.; Pritchett, J.A. Relationships of Stripe Rust Spike Infection to Morphologic and Agronomic Traits of Wheat. Crop Sci. 1972, 12, 412–414. [Google Scholar] [CrossRef]
- Singh, R.; Mahmoudpour, A.; Rajkumar, M.; Narayana, R. A Review on Stripe Rust of Wheat, Its Spread, Identification and Management at Field Level. Res. Crop. 2017, 18, 528–533. [Google Scholar] [CrossRef]
- Bouvet, L.; Percival-Alwyn, L.; Berry, S.; Fenwick, P.; Holdgate, S.; Mackay, I.J.; Cockram, J. Genetic Resistance to Yellow Rust Infection of the Wheat Ear Is Controlled by Genes Controlling Foliar Resistance and Flowering Time. Crop Sci. 2022, 62, 1758–1770. [Google Scholar] [CrossRef]
- Zadoks, J.C.; Chang, T.T.; Konzak, C.F. A Decimal Code for the Growth Stages of Cereals. Weed Res. 1974, 14, 415–421. [Google Scholar] [CrossRef]
- Purdy, L.H.; Allan, R.E. Stripe Rust Head Infection in Five Pacific Northwest Wheats. Plant Dis. Report. 1965, 49, 335–338. [Google Scholar]
- Cromey, M.G. Occurrence and Effects of Stripe Rust in Wheat Spikes in New Zealand. New Zeal. J. Crop Hortic. Sci. 1989, 17, 155–158. [Google Scholar] [CrossRef]
- El Jarroudi, M.E.; Kouadio, L.; Bock, C.H.; El Jarroudi, M.E.; Junk, J.; Pasquali, M.; Maraite, H.; Delfosse, P. A Threshold-Based Weather Model for Predicting Stripe Rust Infection in Winter Wheat. Plant Dis. 2017, 101, 693–703. [Google Scholar] [CrossRef] [PubMed]
- Te Beest, D.E.; Paveley, N.D.; Shaw, M.W.; Van Den Bosch, F. Disease-Weather Relationships for Powdery Mildew and Yellow Rust on Winter Wheat. Phytopathology 2008, 98, 609–617. [Google Scholar] [CrossRef] [PubMed]
- Peterson, R.; Campbell, A.; Hannah, A. A Diagrammitic Scale for Estimating Rust Intensity on Leaves and Stems of Cereals. Can. J. Res. 1948, 26, 496–500. [Google Scholar] [CrossRef]
- Stakman, E.C.; Stewart, D.M.; Loegering, W.Q. Identification of Physiologic Races of Puccinia Graminis Var. Tritici; USDA_ARS: Washington, DC, USA, 1962; Volume Washington. [Google Scholar]
- Roelfs, A.P.; Singh, R.P.; Saari, E.E. Rust Diseases of Wheat: Concepts and Methods of Disease Management; Mexico, D.F., Ed.; CYMMIT: Zapopan, Mexico, 1992; ISBN 968612747X. [Google Scholar]
- Mourad, A.M.I.; Sallam, A.; Belamkar, V.; Mahdy, E.; Bakheit, B.; El-wafaa, A.A.; Baenziger, P.S. Genetic Architecture of Common Bunt Resistance in Winter Wheat Using Genome-Wide Association Study. BMC Plant Biol. 2018, 18, 280. [Google Scholar] [CrossRef]
- Veisz, O.; Szunics, L.; Szunics, L. Effect of Common Bunt on the Frost Resistance and Winter Hardiness of Wheat (Triticum aestivum L.) Lines Containing Bt Genes. Euphytica 2000, 114, 159–164. [Google Scholar] [CrossRef]
- Simko, I.; Piepho, H.P. The Area under the Disease Progress Stairs: Calculation, Advantage, and Application. Phytopathology 2012, 102, 381–389. [Google Scholar] [CrossRef]
- Schneider, C.A.; Rasband, W.S.; Eliceiri, K.W. NIH Image to ImageJ: 25 Years of Image Analysis. Nat. Methods 2012, 9, 671–675. [Google Scholar] [CrossRef]
- Utz, H. PLABSTAT: A Computer Program for Statistical Analysis of Plant Breeding Experiments; Version 2N; University of Hohenheim: Stutgart, Germany, 1997. [Google Scholar]
- Esmail, S.M.; Omar, G.E.; Mourad, A. In-Depth Understanding of the Genetic Control of Stripe Rust Resistance (Puccinia striiformis f. sp. tritici) Induced in Wheat (Triticum aestivum L.) by Trichoderma asperellum T34. Plant Dis. 2023, 107, 457–472. [Google Scholar] [CrossRef] [PubMed]
- Aleksandrov, V.; Kartseva, T.; Alqudah, A.M.; Kocheva, K.; Tasheva, K.; Börner, A.; Misheva, S. Genetic Diversity, Linkage Disequilibrium and Population Structure of Bulgarian Bread Wheat Assessed by Genome-wide Distributed SNP Markers: From Old Germplasm to Semi-dwarf Cultivars. Plants 2021, 10, 1116. [Google Scholar] [CrossRef] [PubMed]
- Bradbury, P.J.; Zhang, Z.; Kroon, D.E.; Casstevens, T.M.; Ramdoss, Y.; Buckler, E.S. TASSEL: Software for Association Mapping of Complex Traits in Diverse Samples. Bioinformatics 2007, 23, 2633–2635. [Google Scholar] [CrossRef] [PubMed]
- Shahin, A.; Ashmawy, M.; El-Orabey, W.; Esmail, S. Yield Losses in Wheat Caused by Stripe Rust (Puccinia striiformis) in Egypt. Am. J. Life Sci. 2020, 8, 127. [Google Scholar] [CrossRef]
- Draz, I.; Esmail, S.; Abou-zeid, M.; Hafez, Y. Changeability in Stripe Rust Infection and GrainyYield of Wheat Associated to Climatic Conditions. Env. Biodiv. Soil Secur. 2019, 2, 143–153. [Google Scholar] [CrossRef]
- Zhang, N.; Liao, Z.; Wu, S.; Nobis, M.P.; Wang, J.; Wu, N. Impact of Climate Change on Wheat Security through an Alternate Host of Stripe Rust. Food Energy Secur. 2022, 11, e356. [Google Scholar] [CrossRef]
- Mateen, A.; Khan, M.A. Identification of Yellow Rust Virulence Pattern on Wheat Germplasm in Relation to Environmental Conditions in Faisalabad. Acad. J. Agric. Res. 2015, 3, 137–155. [Google Scholar] [CrossRef]
- Beukert, U.; Pfeiffer, N.; Ebmeyer, E.; Hinterberger, V.; Lueck, S.; Serfling, A.; Ordon, F.; Schulthess, A.W.; Reif, J.C. Efficiency of a Seedling Phenotyping Strategy to Support European Wheat Breeding Focusing on Leaf Rust Resistance. Biology 2021, 10, 628. [Google Scholar] [CrossRef]
- Grabow, B.S.; Shah, D.A.; DeWolf, E.D. Environmental Conditions Associated with Stripe Rust in Kansas Winter Wheat. Ph.D. Thesis, Kansas State University, Manhattan, KS, USA, 2016. [Google Scholar]
- Zhang, P.I.; Lan, C.; Singh, R.P.; Huerta-Espino, J.; Li, Z.; Lagudah, E.; Bhavani, S. Identification and Characterization of Resistance Loci to Wheat Leaf Rust and Stripe Rust in Afghan Landrace. Front. Plant Sci. 2022, 13, 1534. [Google Scholar] [CrossRef]
- Liu, D.; Yuan, C.; Singh, R.P.; Randhawa, M.S.; Bhavani, S.; Kumar, U.; Huerta-espino, J.; Lagudah, E.; Lan, C. Stripe Rust and Leaf Rust Resistance in CIMMYT Wheat Line “Mucuy” Is Conferred by Combinations of Race-Specific and Adult-Plant Resistance Loci. Front. Plant Sci. 2022, 13, 2963. [Google Scholar] [CrossRef]
- Cui, F.; Ding, A.; Li, J.; Zhao, C.; Li, X.; Feng, D.; Wang, X.; Wang, L.; Gao, J.; Wang, H. Wheat Kernel Dimensions: How Do They Contribute to Kernel Weight at an Individual QTL Level? Indian Acadmy Sci. 2011, 90, 409–425. [Google Scholar] [CrossRef] [PubMed]
- Iqbal, Z.; Pasha, I.; Abrar, M.; Arif, A.M.; Mashi, S. Single Kernel Characterization of Wheat Varieties in Relation to Milling Quality. J. Glob. Innov. Agric. Soc. Sci. 2015, 3, 136–141. [Google Scholar] [CrossRef]
- Ma, J.; Zhang, H.; Li, S.; Zou, Y.; Li, T.; Liu, J.; Ding, P.; Mu, Y.; Tang, H.; Deng, M.; et al. Identification of Quantitative Trait Loci for Kernel Traits in a Wheat Cultivar Chuannong16. BMC Genet. 2019, 20, 77. [Google Scholar] [CrossRef] [PubMed]
- Mourad, A.M.I.; Amin, A.E.E.A.Z.; Dawood, M.F.A. Genetic Variation in Kernel Traits under Lead and Tin Stresses in Spring Wheat Diverse Collection. Environ. Exp. Bot. 2021, 192, 104646. [Google Scholar] [CrossRef]
- Mourad, A.M.I.; Eltaher, S.; Börner, A.; Sallam, A. Unlocking the Genetic Control of Spring Wheat Kernel Traits under Normal and Heavy Metals Stress Conditions. Plant Soil 2023, 484, 257–278. [Google Scholar] [CrossRef]
- Sallam, A.; Alqudah, A.M.; Dawood, M.F.A.; Baenziger, P.S.; Börner, A. Drought Stress Tolerance in Wheat and Barley: Advances in Physiology, Breeding and Genetics Research. Int. J. Mol. Sci. 2019, 20, 3137. [Google Scholar] [CrossRef]
- Shahin, A.A. Occurrence of New Races and Virulence Changes of the Wheat Stripe Rust Pathogen (Puccinia striiformis f. sp. tritici) in Egypt. Arch. Phytopathol. Plant Prot. 2020, 53, 552–569. [Google Scholar] [CrossRef]
- Shahin, A. Effective Genes for Resistance to Wheatyellow Rust and Virulence of Puccinia striiformis f. sp. tritici in Egypt. Egypt. Acad. J. Biol. Sci. 2017, 8, 1–10. [Google Scholar] [CrossRef]
- He, C.; Zhang, Y.; Zhou, W.; Guo, Q.; Bai, B.; Shen, S.; Huang, G. Study on Stripe Rust (Puccinia striiformis) Effect on Grain Filling and Seed Morphology Building of Special Winter Wheat Germplasm Huixianhong. PLoS ONE 2019, 14, e0215066. [Google Scholar] [CrossRef]
- Al-maaroof, E.M.; Nori, A.M. Effect of Yellow Rust Disease on Quantitative and Qualitative Traits of Some Wheat Genotypes Under Rain-Fed Conditions. J. Appl. Biol. Sci. 2019, 13, 75–83. [Google Scholar]
- Bertan, I.; Carvalho, F.I.F.; De Oliveira, A.C. Parental Selection Strategies in Plant Breeding Programs. J. Crop Sci. Biotechnol. 2007, 10, 211–222. [Google Scholar]









| Trait | Foliar Infection | Head Infection | ||
|---|---|---|---|---|
| S.O.V. | d.f. | M.S. | d.f. | M.S. |
| Years (Y) | 1 | 0.08 | 1 | 1222.38 ** |
| Replication (R) | 2 | 4.49 | 2 | 121.10 * |
| Genotypes (G) | 33 | 5060.23 ** | 26 | 3131.60 ** |
| G×Y | 33 | 412.32 ** | 26 | 684.88 ** |
| G×R | 66 | 40.24 | 52 | 23.59 |
| R×Y | 2 | 20.27 | 2 | 3.51 |
| G×R×Y | 66 | 40.77 | 52 | 21.06 |
| Total | 3 | -- | 61 | -- |
| Heritability | 0.92 | 0.78 | ||
| Trait | KL | KW | TKW | |||
|---|---|---|---|---|---|---|
| S.O.V. | d.f. | M.S. | d.f. | M.S. | d.f. | M.S. |
| Years (Y) | 1 | 0.14 ** | 1 | 2.52 ** | 1 | 2.28 |
| Replication (R) | 2 | 0.00 | 2 | 0.02 | 2 | 1.34 |
| Genotypes (G) | 32 | 0.02 ** | 32 | 0.18 | 26 | 177.26 ** |
| GY | 32 | 0.00 ** | 32 | 0.11 ** | 26 | 5.87 ** |
| GR | 64 | 0.00 | 64 | 0.02 | 52 | 1.60 |
| RY | 2 | 0.00 | 2 | 0.02 | 2 | 0.98 |
| GRY | 64 | 0.00 | 64 | 0.02 | 52 | 2.20 |
| Total | 197 | 97 | 61 | |||
| Heritability | 0.85 | 0.30 | 0.97 | |||
| Genotype | Foliar Infection | Head Infection | ||
|---|---|---|---|---|
| 2021 | 2022 | 2021 | 2022 | |
| Genotypes Resistant to Foliar and Head Infection | ||||
| Giza-168 | 0.1 | 0.1 | 10 | 5 |
| Sohag-3 | 0 | 0.07 | 6.67 | 5 |
| Sids13 | 0.1 | 2.7 | 6.67 | 10 |
| Genotypes resistant to foliar infection only | ||||
| Giza-148 | 4 | 4 | 23.33 | 26.67 |
| Qadry_007 | 0 | 0 | NA | 36.67 |
| BeniSwief-7 | 4 | 1.53 | 63.33 | 56.67 |
| Qadry_006 | 4 | 1.33 | NA | NA |
| Genotypes resistant to head infection only | ||||
| Giza-139 | 70 | 13.33 | 8.33 | 0 |
| Giza-152 | 8 | 8 | 10 | 8.33 |
| Giza_171 | 4 | 13.33 | 8.33 | 6.67 |
Disclaimer/Publisher’s Note: The statements, opinions and data contained in all publications are solely those of the individual author(s) and contributor(s) and not of MDPI and/or the editor(s). MDPI and/or the editor(s) disclaim responsibility for any injury to people or property resulting from any ideas, methods, instructions or products referred to in the content. |
© 2023 by the authors. Licensee MDPI, Basel, Switzerland. This article is an open access article distributed under the terms and conditions of the Creative Commons Attribution (CC BY) license (https://creativecommons.org/licenses/by/4.0/).
Share and Cite
Esmail, S.M.; Omar, G.E.; El-Orabey, W.M.; Börner, A.; Mourad, A.M.I. Exploring the Genetic Variation of Stripe Rust Foliar and Head Infection in Egyptian Wheat as an Effect of Climate Change. Agronomy 2023, 13, 1509. https://doi.org/10.3390/agronomy13061509
Esmail SM, Omar GE, El-Orabey WM, Börner A, Mourad AMI. Exploring the Genetic Variation of Stripe Rust Foliar and Head Infection in Egyptian Wheat as an Effect of Climate Change. Agronomy. 2023; 13(6):1509. https://doi.org/10.3390/agronomy13061509
Chicago/Turabian StyleEsmail, Samar M., Ghady E. Omar, Walid M. El-Orabey, Andreas Börner, and Amira M. I. Mourad. 2023. "Exploring the Genetic Variation of Stripe Rust Foliar and Head Infection in Egyptian Wheat as an Effect of Climate Change" Agronomy 13, no. 6: 1509. https://doi.org/10.3390/agronomy13061509
APA StyleEsmail, S. M., Omar, G. E., El-Orabey, W. M., Börner, A., & Mourad, A. M. I. (2023). Exploring the Genetic Variation of Stripe Rust Foliar and Head Infection in Egyptian Wheat as an Effect of Climate Change. Agronomy, 13(6), 1509. https://doi.org/10.3390/agronomy13061509

