Arbuscular Mycorrhizal Fungi Promote the Degradation of the Fore-Rotating Crop (Brassica napus L.) Straw, Improve the Growth of and Reduce the Cadmium and Lead Content in the Subsequent Maize
Abstract
1. Introduction
2. Materials and Methods
2.1. Test Materials
2.2. Rape Straw Degradation Test
2.3. Pot Experiment of Rape Straw Addition and AMF Inoculation
2.4. Determination of Maize Height Biomass, Rape Straw Degradation, and Mineral Element Release
2.5. Determination of the AMF Colonization Rate, Number of Soil Spores, and Content of Glomalin-Related Soil Protein
2.6. Determination of the Nutrient, Cadmium, and Lead Contents in the Maize
2.7. Determination of the Physical and Chemical Properties of the Rhizosphere Soil
2.8. Data Processing and Statistical Analysis
3. Results
3.1. The Colonization Characteristics of AMF in Maize Roots
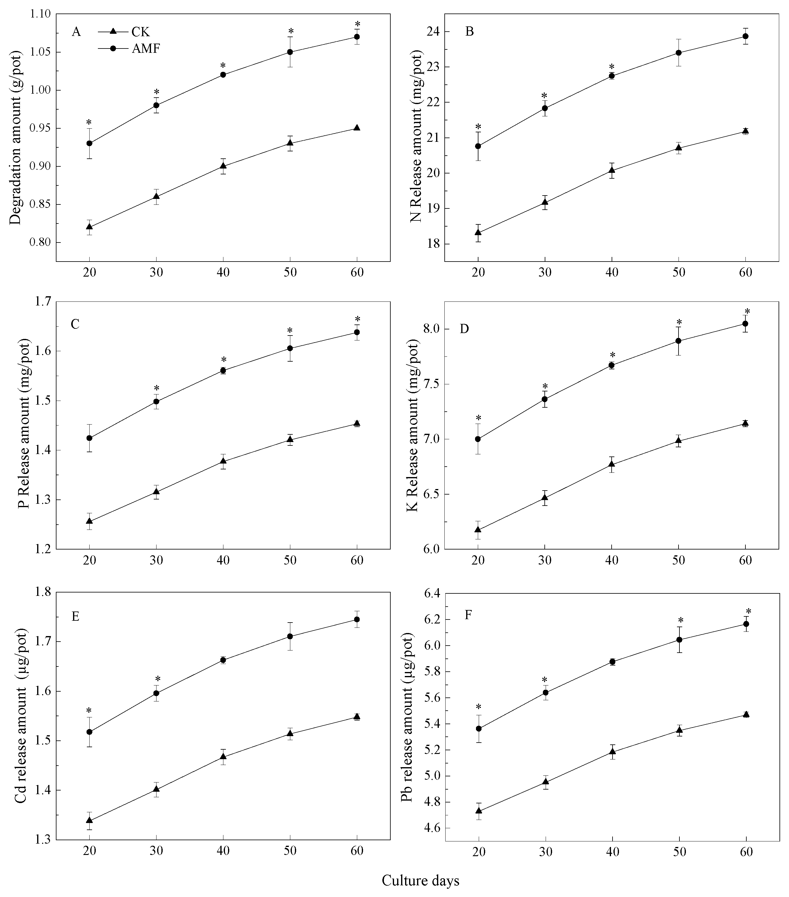
3.2. Effects of AMF on the Degradation of Rape Straw and Release of Mineral Elements
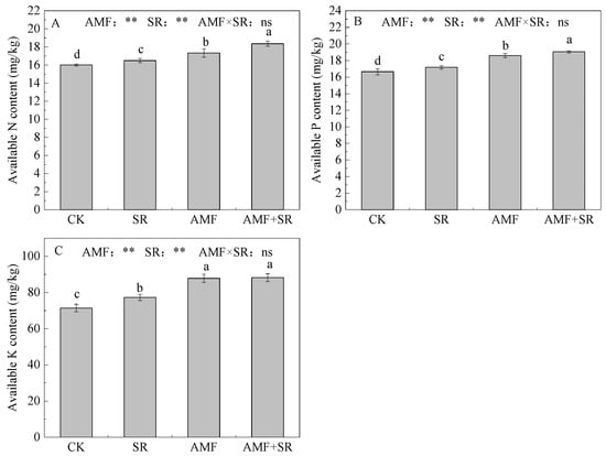
3.3. Effects of Rape Straw Addition and AMF on Available Nutrient Content in Soil
3.4. Effects of Rape Straw Addition and AMF on Available Cadmium and Lead Contents in the Soil
3.5. Effects of Rape Straw Addition and AMF on Maize Height and Biomass
3.6. Effects of Rape Straw Addition and AMF on Nutrient Content in Maize
3.7. Effects of Rape Straw Addition and AMF on Content of Cadmium and Lead in Maize
3.8. Correlation Analysis
4. Discussion
4.1. Effects of AMF on the Degradation and Mineral Nutrition, as Well as the Cadmium and Lead Releases from Rape Straw
4.2. Effects of AMF on the Growth and Heavy Metal Content of Crops
5. Conclusions
Author Contributions
Funding
Data Availability Statement
Conflicts of Interest
References
- Wu, J.N.; Long, J.; Liu, L.F.; Li, J.; Liao, H.K.; Zhang, M.J.; Zhao, C.; Wu, Q.S. Risk Assessment and Source Identification of Toxic Metals in the Agricultural Soil around a Pb/Zn Mining and Smelting Area in Southwest China. Int. J. Environ. Res. Public Health 2018, 15, 1838. [Google Scholar] [CrossRef] [PubMed]
- Gurajala, H.K.; Cao, X.R.; Tang, L.; Ramesh, T.M.; Lu, M.; Yang, X. Comparative assessment of Indian mustard (Brassica juncea L.) genotypes for phytoremediation of Cd and Pb contaminated soils. Environ. Pollut. 2019, 254, 113085. [Google Scholar] [CrossRef]
- Shan, A.Q.; Pan, J.Q.; Kang, K.J.; Pan, M.H.; Wang, G.; Wang, M.; He, Z.L.; Yang, X.E. Effects of straw return with N fertilizer reduction on crop yield, plant diseases and pests and potential heavy metal risk in a Chinese rice paddy: A field study of 2 consecutive wheat-rice cycles. Environ. Pollut. 2021, 288, 117741. [Google Scholar] [CrossRef] [PubMed]
- Zhou, J.; Chen, L.H.; Peng, L.; Luo, S.; Zeng, Q.R. Phytoremediation of heavy metals under an oil crop rotation and treatment of biochar from contaminated biomass for safe use. Chemosphere 2020, 247, 125856. [Google Scholar] [CrossRef] [PubMed]
- Zhang, X.Y.; Gu, P.X.; Liu, X.Y.; Huang, X.; Wang, J.Y.; Zhang, S.Y.; Ji, J.H. Effect of crop straw biochars on the remediation of Cd-contaminated farmland soil by hyperaccumulator Bidens pilosa L. Ecotoxicol. Environ. Saf. 2021, 219, 112332. [Google Scholar] [CrossRef]
- Dong, Y.; Wang, H.; Chang, E.; Zhao, Z.J.; Wang, R.H.; Xu, R.K.; Jiang, J. Alleviation of aluminum phytotoxicity by canola straw biochars varied with their cultivating soils through an investigation of wheat seedling root elongation. Chemosphere 2019, 218, 907–914. [Google Scholar] [CrossRef]
- Ma, Y.; Zhang, H.; Wang, D.; Guo, X.; Yang, T.; Xiang, X.; Walder, F.; Chu, H. Differential responses of arbuscular mycorrhizal fungal communities to long-term fertilization in the wheat rhizosphere and root endosphere. Appl. Environ. Microbiol. 2021, 87, e0034921. [Google Scholar] [CrossRef]
- Zhan, F.D.; Chen, J.X.; Zeng, W.Z.; Liang, X.R.; He, Y.M.; Zu, Y.Q. Suppression of arbuscular mycorrhizal fungi increased lead uptake in maize leaves and loss via surface runoff and interflow from polluted farmland. Environ. Res. 2022, 212, 113594. [Google Scholar] [CrossRef]
- Montesinos-Navarro, A.; Segarra-Moragues, J.G.; Valiente-Banuet, A.; Verdú, M. The network structure of plant-arbuscular mycorrhizal fungi. New Phytol. 2012, 194, 536–547. [Google Scholar] [CrossRef]
- Chen, J.X.; Guo, J.F.; Li, Z.R.; Liang, X.R.; You, Y.H.; Li, M.R.; He, Y.M.; Zhan, F.D. Effects of an arbuscular mycorrhizal fungus on the growth of and cadmium uptake in maize grown on polluted wasteland, farmland and slopeland soils in a lead-zinc mining area. Toxics 2022, 10, 359–372. [Google Scholar] [CrossRef]
- Xiao, Y.; Zhao, Z.J.; Chen, L.; Li, Y. Arbuscular mycorrhizal fungi mitigate the negative effects of straw incorporation on Trifolium repens in highly Cd-polluted soils. Appl. Soil Ecol. 2021, 157, 103736. [Google Scholar] [CrossRef]
- Ma, K.; Song, L.L.; Wang, M.G.; Ma, Z.Q.; An, Y.Y. Effects of returning corn stalks to the field on soil arbuscular mycorrhizal fungal communities. Chin. J. Appl. Ecol. 2019, 30, 2746–2756. [Google Scholar]
- Li, Z.R.; Colinet, G.; Zu, Y.Q.; Wang, J.X.; An, L.Z.; Li, Q.; Niu, X.Y. Species diversity of Arabis alpina L. communities in two Pb/Zn mining areas with different smelting history in Yunnan Province, China. Chemosphere 2019, 233, 603–614. [Google Scholar] [CrossRef]
- Liu, M.Y.; Zhu, J.; Yang, X.; Fu, Q.L.; Hu, H.Q.; Huang, Q.Y. Biochar produced from the straw of common crops simultaneously stabilizes soil organic matter and heavy metals. Sci. Total Environ. 2022, 828, 154494. [Google Scholar] [CrossRef]
- Li, B.; Yang, J.X.; Wei, D.P.; Chen, S.B.; Li, J.M.; Ma, Y.B. Field evidence of cadmium phytoavailability decreased effectively by rape straw and/or red mud with zinc sulphate in a Cd-contaminated calcareous soil. PLoS ONE 2014, 10, e109967. [Google Scholar] [CrossRef]
- Igiehon, N.O.; Babalola, O.O. Biofertilizers and sustainable agriculture: Exploring arbuscular mycorrhizal fungi. Appl. Microbiol. Biotechnol. 2017, 101, 4871–4881. [Google Scholar] [CrossRef]
- Zhao, X.L.; Li, B.Q.; Ni, J.P.; Xie, D.T. Effect of four crop straws on transformation of organic matter during sewage sludge composting. J. Integr. Agric. 2016, 15, 232–240. [Google Scholar] [CrossRef]
- Siedt, M.; Schäffer, A.; Smith KE, C.; Nabel, M.; Roß-Nickoll, M.; van Dongen, J.T. Comparing straw, compost, and biochar regarding their suitability as agricultural soil amendments to affect soil structure, nutrient leaching, microbial communities, and the fate of pesticides. Sci. Total Environ. 2021, 751, 141607. [Google Scholar] [CrossRef]
- Peng, S.L.; Shen, H.; Yuan, J.J.; Wei, C.F.; Guo, T. Impacts of arbuscular mycorrhizal fungi on soil aggregation dynamics of neutral purple soil. Acta Ecol. Sin. 2011, 31, 498–505. [Google Scholar]
- Shen, Y.; Yang, H.M.; He, W.M. Nutrient availability in habitats affects carbon and nitrogen releases of litter in winter wheat. Chin. J. Plant Ecol. 2010, 34, 498–504. [Google Scholar]
- Li, J.M.; Liang, H.J.; Yan, M.; Chen, L.X.; Zhang, H.T.; Liu, J.; Wang, S.Z.; Jin, Z.X. Arbuscular mycorrhiza fungi facilitate rapid adaptation of Elsholtzia splendens to copper. Sci. Total Environ. 2017, 599, 1462–1468. [Google Scholar] [CrossRef] [PubMed]
- Gerdemann, J.W.; Nicolson, T.H. Spores of mycorrhizal Endogone species extracted from soil by wet sieving and decanting. Trans. Br. Mycol. Soc. 1963, 46, 235–244. [Google Scholar] [CrossRef]
- Wright, S.F.; Franke-Snyder, M.; Morton, J.B.; Upadhyaya, A. Time course study and partial characterization of a protein on hyphae of arbuscular mcyrrohzal fungi during active colonization of roots. Plant Soil 1996, 181, 193–203. [Google Scholar] [CrossRef]
- Bao, S.D. Soil Agrochemical Analysis, 3rd ed.; China Agricultural Press: Beijing, China, 2000. [Google Scholar]
- Kong, X.S.; Jia, Y.Y.; Song, F.Q.; Tian, K.; Lin, H.; Bei, Z.L.; Jia, X.Q.; Yao, B.; Guo, P.; Tian, X.J. Insight into litter decomposition driven by nutrient demands of symbiosis system through the hypha bridge of arbuscular mycorrhizal fungi. Environ. Sci. Pollut. Res. 2018, 25, 5369–5378. [Google Scholar] [CrossRef]
- Hodge, A.; Campbell, C.D.; Fitter, A.H. An arbuscular mycorrhizal fungus accelerates decomposition and acquires nitrogen directly from organic material. Nature 2001, 413, 297–299. [Google Scholar] [CrossRef]
- Atul-Nayyar, A.; Hamel, C.; Hanson, K.; Germida, J. The arbuscular mycorrhizal symbiosis links N mineralization to plant demand. Mycorrhiza 2009, 19, 239–246. [Google Scholar] [CrossRef]
- Luo, Z.; Zhu, M.; Wang, X.F.; Liu, X.L.; Guo, T. Influence of arbuscular mycorrhizal inoculation on maize straw degradation and soil microbial biomass carbon and nitrogen, and enzyme activity in di-chamber split-root device. Chin. J. Eco-Agric. 2013, 21, 149–156. [Google Scholar] [CrossRef]
- Lyu, C.H.; Li, L.; Liu, X.W.; Zhao, Z.Q. Rape straw application facilitates Se and Cd mobilization in Cd-contaminated seleniferous soils by enhancing microbial iron reduction. Environ. Pollut. 2022, 310, 119818. [Google Scholar] [CrossRef]
- Ok, Y.S.; Usman AR, A.; Lee, S.S.; Abd El-Azeem SA, M.; Choi, B.; Hashimoto, Y.; Yang, J.E. Effects of rapeseed residue on lead and cadmium availability and uptake by rice plants in heavy metal contaminated paddy soil. Chemosphere 2011, 85, 677–682. [Google Scholar] [CrossRef]
- Li, S.B.; Shi, J.J.; He, Y.M.; Li, B.; Yan, K.; Zhan, F.D.; Duan, H.P. Effects of arbuscular mycorrhizal fungi on the degradation of broad bean straw and the absorption of nutrients, cadmium and lead in corn. J. Plant Nutr. Fertil. 2021, 27, 684–694. [Google Scholar]
- Bai, Y.C.; Gu, C.H.; Tao, T.Y.; Chen, G.H.; Shan, Y. Straw incorporation increases solubility and uptake of cadmium by rice plants. Acta Agric. Scand. 2013, 63, 193–199. [Google Scholar] [CrossRef]
- Li, K.Y.; Zhao, T.T.; Chen, J.; Zhao, X.L. Effects of different organic materials on absorption and translocation of arsenic and cadmium in rice. Environ. Sci. 2021, 42, 2047–2055. [Google Scholar]
- Li, M.; Tian, X.; Liu, R.Z.; Chen, W.L.; Huang, Q.Y. Combined application of rice straw and fungus Penicillium chrysogenum to remediate heavy-metal-contaminated soil. J. Soil Contam. 2014, 23, 328–338. [Google Scholar] [CrossRef]
- Liu, L.; Li, J.W.; Yue, F.X.; Yan, X.W.; Wang, F.Y.; Bloszies, S.; Wang, Y.F. Effects of arbuscular mycorrhizal inoculation and biochar amendment on maize growth, cadmium uptake and soil cadmium speciation in Cd-contaminated soil. Chemosphere 2018, 194, 495–503. [Google Scholar] [CrossRef]
- Veresoglou, S.D.; Chen, B.; Rillig, M.C. Arbuscular mycorrhiza and soil nitrogen cycling. Soil Biol. Biochem. 2012, 46, 53–62. [Google Scholar] [CrossRef]
- Gao, X.; Akhter, F.; Tenuta, M.; Flaten, D.N.; Gawalko, E.J.; Grant, C.A. Mycorrhizal colonization and grain Cd concentration of field -grown durum wheat in response to tillage, preceding crop and phosphorus fertilization. J. Sci. Food Agric. 2010, 90, 750–758. [Google Scholar] [CrossRef]
- He, Y.M.; Yang, R.; Lei, G.; Li, M.R.; Li, T.G.; Zhan, F.D.; Li, Y. Arbuscular mycorrhizal fungus–induced decrease in phosphorus loss due to leaching in red soils under simulated heavy rainfall. J. Soils Sediments 2020, 21, 881–889. [Google Scholar] [CrossRef]
- Aleklett, K.; Wallander, H. Effects of organic amendments with various nitrogen levels on arbuscular mycorrhizal fungal growth. Appl. Soil Ecol. 2012, 60, 71–76. [Google Scholar] [CrossRef]
- Li, H.; Wang, C.; Li, X.L.; Christie, P.; Dou, Z.X.; Zhang, J.L.; Xiang, D. Impact of the earthworm Aporrectodea trapezoids and the arbuscular mycorrhizal fungus Glomus intraradices on 15N uptake by maize from wheat straw. Biol. Fertil. Soils 2013, 49, 263–271. [Google Scholar] [CrossRef]
- Kohler, J.; Caravaca, F.; Azcon, R.; Diaz, G.; Roldan, A. The combination of compost addition and arbuscular mycorrhizal inoculation produced positive and synergistic effects on the phytomanagement of a semiarid mine tailing. Sci. Total Environ. 2015, 514, 42–48. [Google Scholar] [CrossRef]
- Yu, Z.H.; Zhao, X.L.; Su, L.; Yan, K.; Li, B.; He, Y.M.; Zhan, F.D. Effect of an arbuscular mycorrhizal fungus on maize growth and cadmium migration in a sand column. Ecotoxicol. Environ.Saf. 2021, 225, 112782. [Google Scholar] [CrossRef] [PubMed]
- Li, Y.N.; Xu, J.Z.; Hu, J.; Zhang, T.Y.; Wu, X.F.; Yang, Y.R. Arbuscular mycorrhizal fungi and glomalin play a crucial role in soil aggregate stability in Pb-Contaminated soil. Int. J. Environ. Res. Public Health. 2022, 19, 5029. [Google Scholar] [CrossRef]
- Salazar, M.J.; Menoyo, E.; Faggioli, V.; Geml, J.; Cabello, M.; Rodriguez, J.H.; Marro, N.; Pardo, A.; Pignata, M.L.; Becarra, A.G. Pb accumulation in spores of arbuscular mycorrhizal fungi. Sci. Total Environ. 2018, 643, 238–246. [Google Scholar] [CrossRef]
- He, Y.M.; Yang, R.; Lei, G.; Li, B.; Jiang, M.; Yan, K.; Zu, Y.Q.; Zhan, F.D.; Li, Y. Arbuscular mycorrhizal fungi reduce cadmium leaching from polluted soils under simulated heavy rainfall. Environ. Pollut. 2020, 263, 114406. [Google Scholar] [CrossRef]
- Shahabivand, S.; Maivan, H.Z.; Goltapeh, E.M.; Sharifi, M.; Aliloo, A.A. The effects of root endophyte and arbuscular mycorrhizal fungi on growth and cadmium accumulation in wheat under cadmium toxicity. Plant Physiol. Biochem. 2012, 60, 53–58. [Google Scholar] [CrossRef]






| pH | Organic Matter Content (g/kg) | Available Nitrogen Content (mg/kg) | Available Phosphorus Content (mg/kg) | Available Potassium Content (mg/kg) | Cadmium Content (mg/kg) | Lead Content (mg/kg) |
|---|---|---|---|---|---|---|
| 5.74 | 28.12 | 35.04 | 19.72 | 125.07 | 4.51 | 268.89 |
| Treatment | Colonization Rate (%) | Spore Number (n/g) |
|---|---|---|
| AMF | 48.53 ± 5.93 a | 44.50 ± 3.58 b |
| AMF + SR | 50.30 ± 1.67 a | 50.71 ± 3.58 a |
| Treatment | N Content | P Content | K Content | |||
|---|---|---|---|---|---|---|
| Shoot | Root | Shoot | Root | Shoot | Root | |
| CK | 2.06 ± 0.02 c | 2.18 ± 0.05 b | 0.38 ± 0.02 b | 0.45 ± 0.01 c | 0.66 ± 0.02 d | 0.67 ± 0.04 c |
| SR | 2.11 ± 0.04 c | 2.22 ± 0.02 b | 0.39 ± 0.02 b | 0.46 ± 0.01 c | 0.69 ± 0.01 c | 0.73 ± 0.02 b |
| AMF | 2.24 ± 0.05 b | 2.39 ± 0.03 a | 0.47 ± 0.04 a | 0.50 ± 0.02 b | 0.76 ± 0.02 b | 0.82 ± 0.03 a |
| AMF + SR | 2.31 ± 0.03 a | 2.40 ± 0.03 a | 0.48 ± 0.03 a | 0.51 ± 0.01 a | 0.79 ± 0.0.2 a | 0.85 ± 0.03 a |
| Two-way analysis of variance | ||||||
| AMF | ** | ** | ** | ** | ** | ** |
| SR | ** | ns | ns | ns | ** | * |
| AMF × SR | ns | ns | ns | ns | ns | ns |
Disclaimer/Publisher’s Note: The statements, opinions and data contained in all publications are solely those of the individual author(s) and contributor(s) and not of MDPI and/or the editor(s). MDPI and/or the editor(s) disclaim responsibility for any injury to people or property resulting from any ideas, methods, instructions or products referred to in the content. |
© 2023 by the authors. Licensee MDPI, Basel, Switzerland. This article is an open access article distributed under the terms and conditions of the Creative Commons Attribution (CC BY) license (https://creativecommons.org/licenses/by/4.0/).
Share and Cite
Guo, J.; Chen, J.; Li, C.; Wang, L.; Liang, X.; Shi, J.; Zhan, F. Arbuscular Mycorrhizal Fungi Promote the Degradation of the Fore-Rotating Crop (Brassica napus L.) Straw, Improve the Growth of and Reduce the Cadmium and Lead Content in the Subsequent Maize. Agronomy 2023, 13, 767. https://doi.org/10.3390/agronomy13030767
Guo J, Chen J, Li C, Wang L, Liang X, Shi J, Zhan F. Arbuscular Mycorrhizal Fungi Promote the Degradation of the Fore-Rotating Crop (Brassica napus L.) Straw, Improve the Growth of and Reduce the Cadmium and Lead Content in the Subsequent Maize. Agronomy. 2023; 13(3):767. https://doi.org/10.3390/agronomy13030767
Chicago/Turabian StyleGuo, Jianfang, Jiaxin Chen, Chengxue Li, Lei Wang, Xinran Liang, Junjie Shi, and Fangdong Zhan. 2023. "Arbuscular Mycorrhizal Fungi Promote the Degradation of the Fore-Rotating Crop (Brassica napus L.) Straw, Improve the Growth of and Reduce the Cadmium and Lead Content in the Subsequent Maize" Agronomy 13, no. 3: 767. https://doi.org/10.3390/agronomy13030767
APA StyleGuo, J., Chen, J., Li, C., Wang, L., Liang, X., Shi, J., & Zhan, F. (2023). Arbuscular Mycorrhizal Fungi Promote the Degradation of the Fore-Rotating Crop (Brassica napus L.) Straw, Improve the Growth of and Reduce the Cadmium and Lead Content in the Subsequent Maize. Agronomy, 13(3), 767. https://doi.org/10.3390/agronomy13030767

