Physiological and Enzymatic Evaluation of Selected Genotypes of Stevia rebaudiana Bertoni
Abstract
1. Introduction
2. Materials and Methods
2.1. Plant Material and Environmental Conditions
2.2. Gas Exchange
2.3. Chlorophyll a Fluorescence
2.4. Biochemical Analysis
2.4.1. Photosynthetic Pigments and Xantophyll Measurements
2.4.2. Protein Analysis
2.4.3. Antioxidant Enzyme Activity and Hydrogen Peroxide Analysis
2.5. Steviol Glycoside Measurements
2.6. Biomass Quantification
2.7. Experimental Design and Statistical Analyses
3. Results
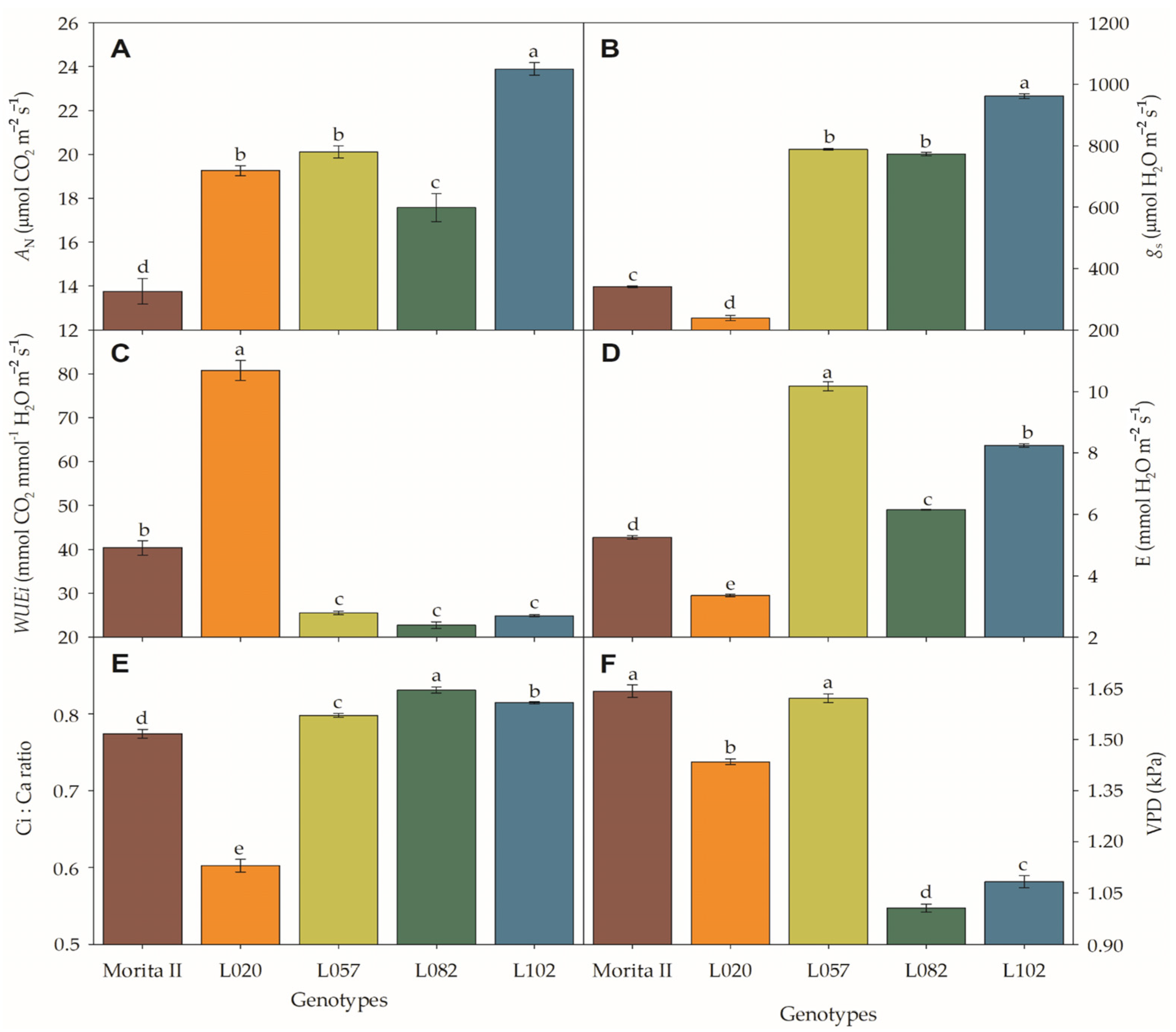
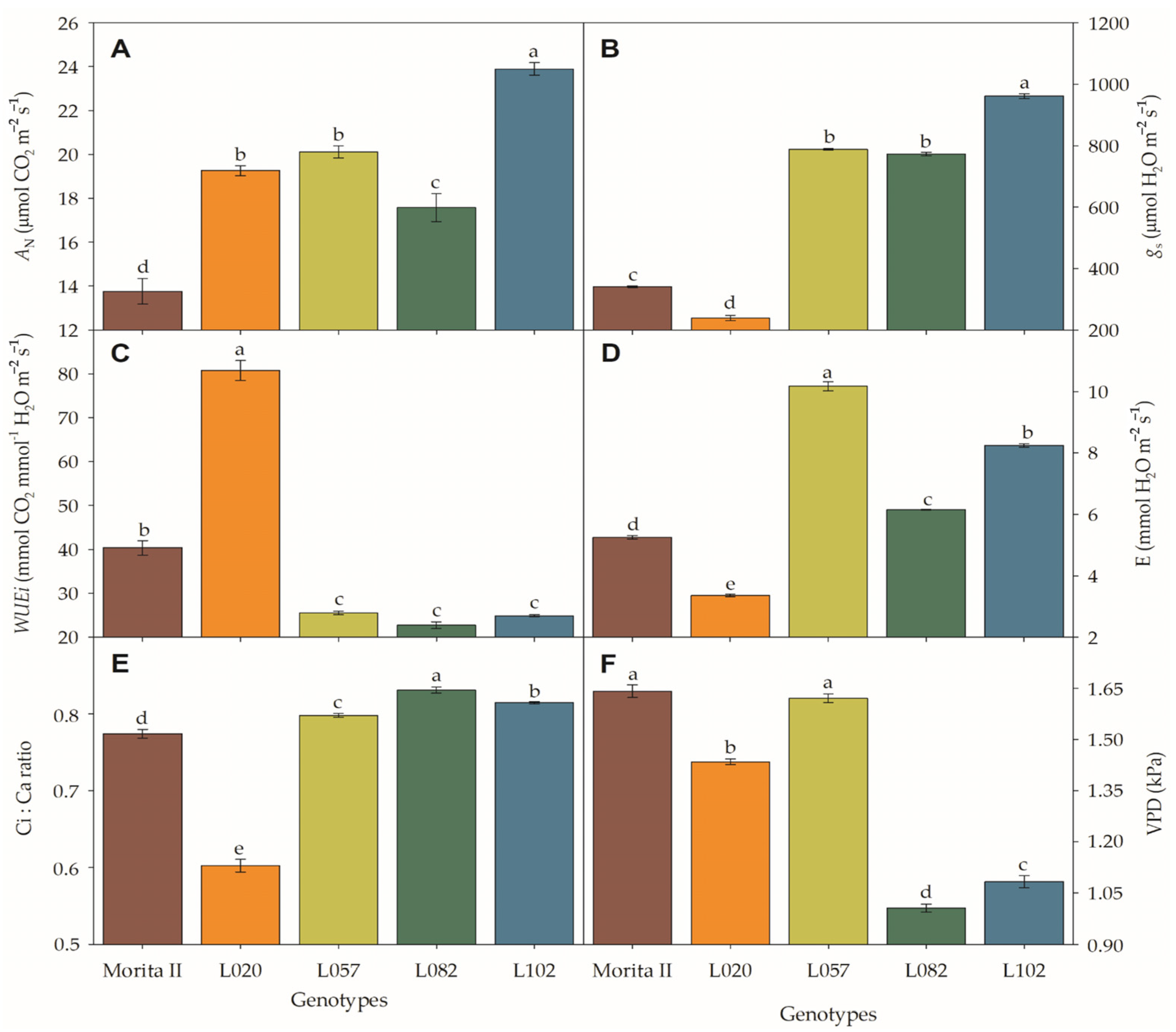
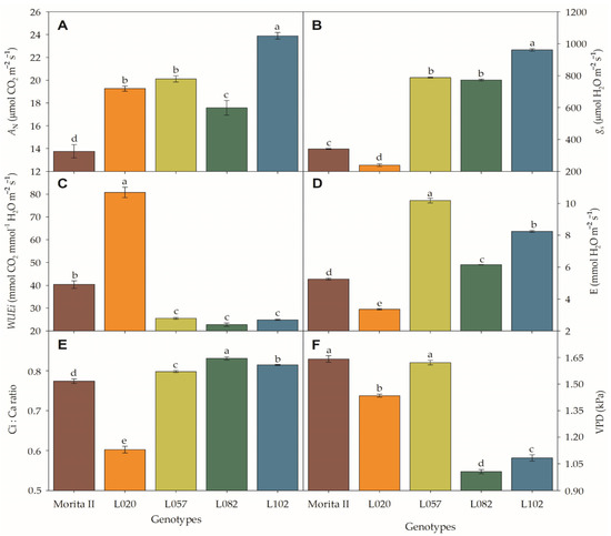
3.1. Gas Exchange
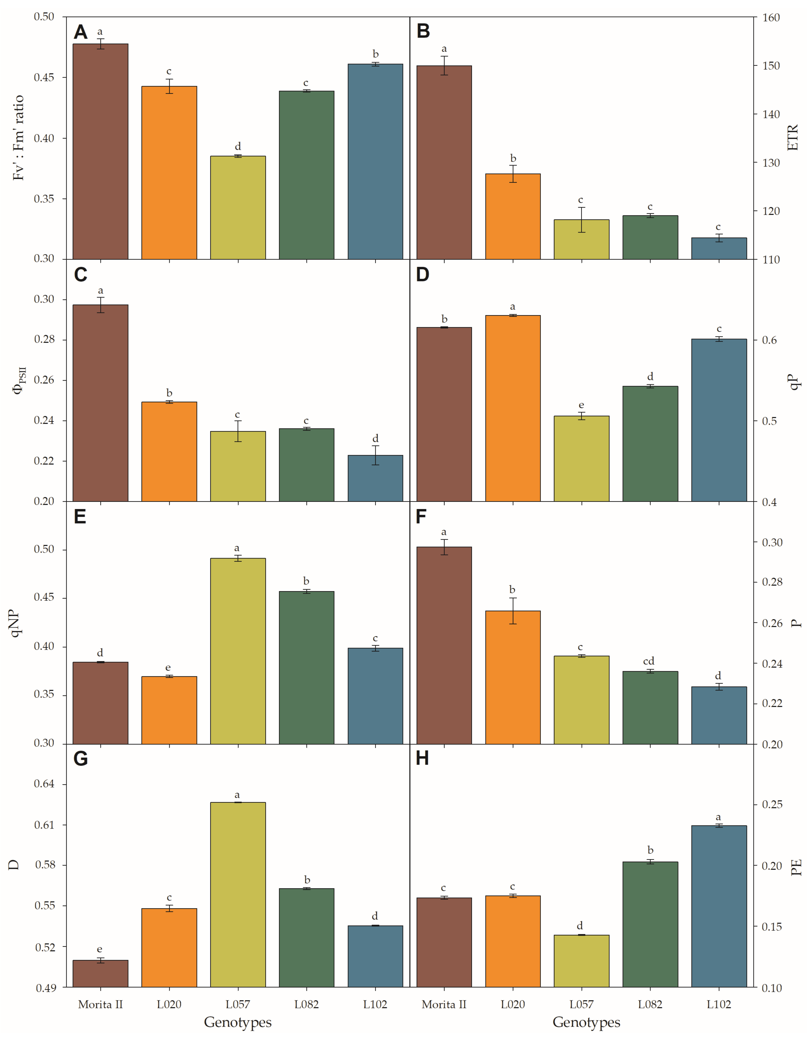
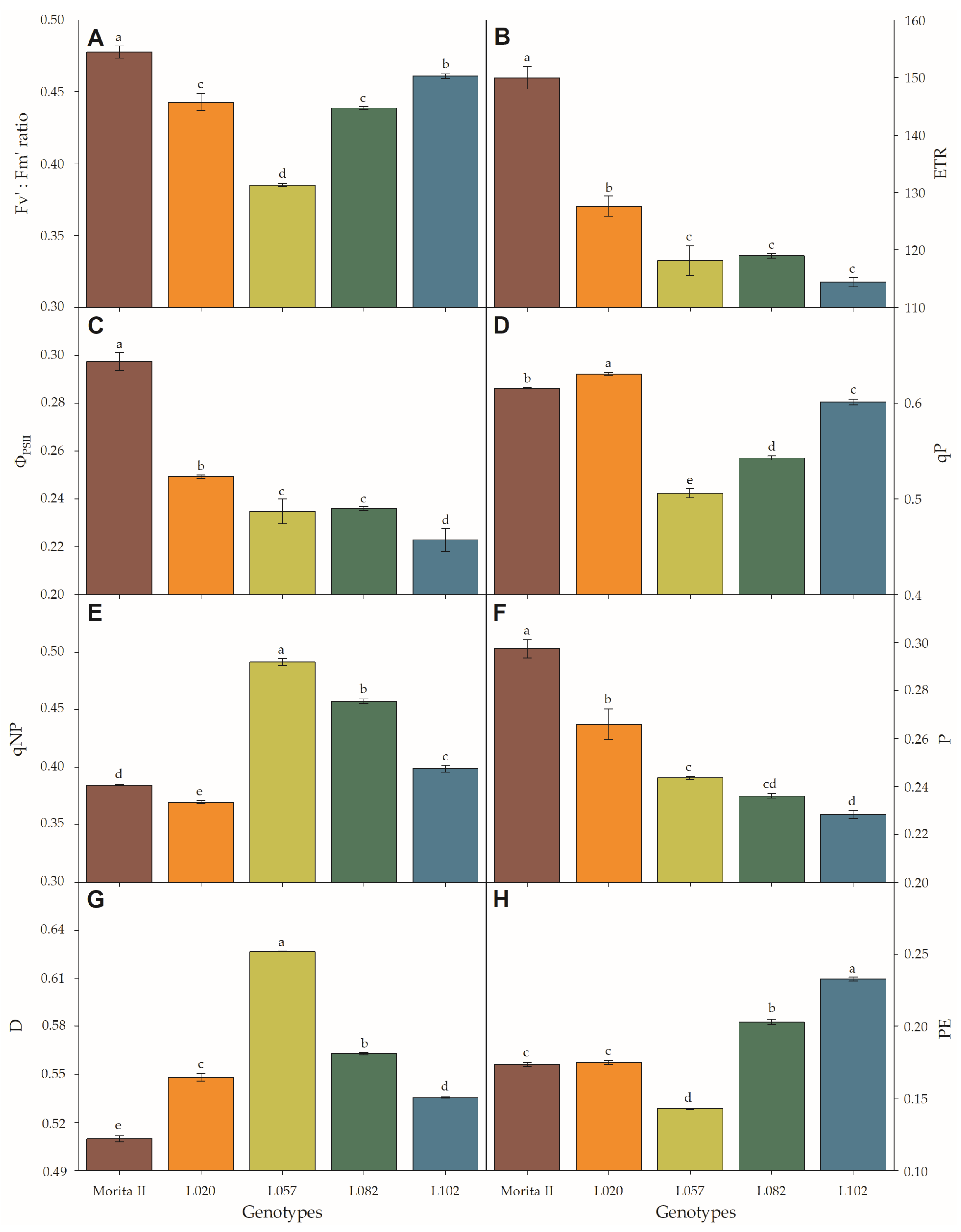
3.2. Chlorophyll a Fluorescence, Chlorophyll, and Carotenoid Concentration
3.3. Xantophyll Pigments
3.4. Proteins and Antioxidantive System
3.5. Steviol Glycosides
3.6. Biomass Produced after 60 Days
3.7. Multivariate Analysis
4. Discussion
Supplementary Materials
Author Contributions
Funding
Data Availability Statement
Acknowledgments
Conflicts of Interest
References
- Hossain, M.F.; Islam, M.T.; Islam, M.A.; Akhtar, S. Cultivation and uses of stevia (Stevia rebaudiana Bertoni): A review. Afr. J. Food Agric. Nutr. Dev. 2017, 17, 12745–12757. [Google Scholar] [CrossRef]
- Naik, V.; Poyil, T. Application of stevia (Stevia rebaudiana Bertoni.) in food products. Pharma Innov. 2022, 11, 2056–2060. [Google Scholar]
- Hernández, K.V.; Moreno-Romero, J.; de la Torre, M.H.; Manríquez, C.P.; Leal, D.R.; Martínez-Garcia, J.F. Effect of light intensity on steviol glycosides production in leaves of Stevia rebaudiana plants. Phytochemistry 2022, 194, 113027. [Google Scholar] [CrossRef]
- Yadav, A.K.; Singh, S.; Dhyani, D.; Ahuja, P.S. A review on the improvement of stevia [Stevia rebaudiana (Bertoni)]. Can. J. Plant Sci. 2011, 91, 1–27. [Google Scholar] [CrossRef]
- Othman, H.S.; Osman, M.; Zainuddin, Z. Genetic variabilities of Stevia rebaudiana Bertoni cultivated in Malaysia as revealed by morphological, chemical and molecular characterisations. Agrivita 2018, 40, 267–283. [Google Scholar] [CrossRef]
- Francisco, F.; Pereira, G.P.; Machado, M.P.; Kanis, L.A.; Deschamps, C. Characterization of Stevia rebaudiana Bertoni A accessions cultived in southern Brazil. J. Agric. Sci. 2018, 10, 353–363. [Google Scholar] [CrossRef]
- Savita, S.M.; Sheela, K.; Sunanda, S.; Shankar, A.G.; Ramakrishna, P. Stevia rebaudiana—A functional component for food industry. J. Hum. Ecol. 2004, 15, 261–264. [Google Scholar] [CrossRef]
- Mahajan, M.; Anuradha, A.; Pal, P. Attaining higher biomass and steviol glycosides yields of Stevia rebaudiana through adjustment of plant population and nitrogen rate. Ind. Crop. Prod. 2021, 165, 113426. [Google Scholar] [CrossRef]
- Reports, V. Global Stevia Market Insights and Forecast to 2028. Stevia Market Place. 2022. Available online: https://www.linkedin.com/pulse/global-stevia-market-insights-forecast-2028-valuates-reports/?trk=pulse-article_more-articles_related-content-card (accessed on 26 October 2022).
- VMR. Global Rebaudioside A (Reb A) Market Market Size, Status and Forecast to 2028; Verified Market Research: New York, NY, USA, 2019; p. 94. [Google Scholar]
- Olazar, F.G.; Ferreira, E.R.; Valdovinos, V.; Kanasawa, S.; Stock, I.M.B.; Candia, N.B.; Ríos, D.F.; Arrua, A.A. Confusion or fraud? Labeling of Stevia sweeteners. South Fla. J. Develop. 2002, 3, 2264–2278. [Google Scholar] [CrossRef]
- News, U. Time to Get Off the Couch, WHO Warns, as 500 Million Risk Developing Chronic Illness. UN News—Global Perspective Human Stories. 2022. Available online: https://news.un.org/en/story/2022/10/1129662 (accessed on 26 October 2022).
- Gautam, R.D.; Kumar, R.; Kashyap, U.; Kumar, P.; Singh, S.; Singh, S.; Kumar, A. Genetic Improvement of Stevia: A Natural Non-Calorie Sweetener. In Plant Breeding—New Perspectives; Wang, P., Ed.; ACS Publications: Washington, DC, USA, 2022; pp. 1–23. [Google Scholar]
- Agronet. La Estevia en Colombia; Oferta y Cosumo. Available online: https://www.agronet.gov.co/Paginas/inicio.aspx (accessed on 26 October 2022).
- Basharat, S.; Huang, Z.; Gong, M.; Ahmed, A.; Hussain, I.; Li, J.; Du, G.L.L. A review on current conventional and biotechnical approaches to enhance biosynthesis of steviol glycosides in Stevia rebaudiana. Chin. J. Chem. Eng. 2021, 30, 92–104. [Google Scholar] [CrossRef]
- Benhmimou, A.; Ibriz, M.; Al Faïz, C.; Gaboun, F.; Douaik, A.; Amchra, F.Z.; Khiraoui, A.; Lage, M. Effects of planting density and harvesting time on productivity of natural sweetener plant (Stevia rebaudiana Bertoni.) in Larache Region, Morocco. Int. J. Plant Res. 2017, 7, 83–89. [Google Scholar] [CrossRef]
- Rodriguez-Paez, L.A.; Hernandez-Burgos, J.L.; Caballero, E.M.C.; Jarma-Orozco, A.; Santos, J.M.P. Rendimiento y calidad de hojas de Stevia rebaudiana Bert. bajo la oferta edafológica y dos niveles de radiación en cinco regiones de Colombia. Rev. UDCA Act. Div. Cient. 2016, 9, 77–85. [Google Scholar]
- Jarma-Orozco, A.; Combatt, E.M.; Cleves, J.A. Aspectos nutricionales y metabolismo de Stevia rebaudiana. Aspectos nutricionales y metabolismo de Stevia Rebaudiana (Bertoni). Agron. Colomb. 2010, 28, 199–208. [Google Scholar]
- Cantabella, D.; Piqueras, A.; Acosta-Motos, J.R.; Bernal-Vicente, A.; Hernández, J.A.; Díaz-Vivancos, P. Salt-tolerance mechanisms induced in Stevia rebaudiana Bertoni: Effects on mineral nutrition, antioxidative metabolism and steviol glycoside content. Plant Physiol. Bioch. 2017, 115, 484–496. [Google Scholar] [CrossRef] [PubMed]
- Castillejo-Morales, A.; Jarma-Orozco, A.; Pompelli, M.F. Physiological and morphological features denote that salt stress in Stevia rebaudiana is based on nonstomatic instead of stomatic limitation. Rev. Colomb. Cien Hortíc. 2021, 15, e12928. [Google Scholar] [CrossRef]
- Zeng, J.; Chen, A.; Li, D.; Wu, W. Effects of salt stress on the growth, physiological responses, and glycoside contents of Stevia rebaudiana Bertoni. J. Agric. Food Chem. 2013, 61, 5720–5726. [Google Scholar] [CrossRef]
- Hussin, S.; Geissler, N.; El-Far, M.M.M.; Koyro, H.W. Effects of salinity and short-term elevated atmospheric CO2 on the chemical equilibrium between CO2 fixation and photosynthetic electron transport of Stevia rebaudiana Bertoni. Plant Physiol. Bioch. 2017, 118, 178–186. [Google Scholar] [CrossRef]
- Hajihashemi, S.; Geuns, J.M.C. Gene transcription and steviol glycoside accumulation in Stevia rebaudiana under polyethylene glycol-induced drought stress in greenhouse cultivation. FEBS Open Bio 2016, 6, 937–944. [Google Scholar] [CrossRef]
- Rivera-Avilez, J.A.; Jarma-Orozco, A.; Pompelli, M.F. Stevia rebaudiana Bertoni: The interaction of night interruption on gas exchange, flowering delay, and steviol glycosides synthesis. Horticulturae 2021, 7, 543. [Google Scholar] [CrossRef]
- Yoneda, Y.; Shimizu, H.; Nakashima, H.; Miyasaka, J.; Ohdoi, K. Effects of light intensity and photoperiod on improving steviol glycosides content in Stevia rebaudiana (Bertoni) Bertoni while conserving light energy consumption. J. Appl. Res. Med. Aromat. Plants 2017, 7, 64–73. [Google Scholar] [CrossRef]
- Ceunen, S.; Werbrouck, S.; Geuns, J.M.C. Stimulation of steviol glycoside accumulation in Stevia rebaudiana by red LED light. J. Plant Physiol. 2012, 169, 749–752. [Google Scholar] [CrossRef]
- Pompelli, M.F.; Espitia-Romero, C.A.; Jaraba-Navas, J.D.; Rodriguez-Paez, L.A.; Jarma-Orozco, A. Stevia rebaudiana under a CO2 enrichment atmosphere: Can CO2 enrichment overcome stomatic, mesophilic and biochemical barriers that limit photosynthesis? Sustainability 2022, 14, 14269. [Google Scholar] [CrossRef]
- Hernández-Fernandéz, I.A.; Jarma-Orozco, A.; Pompelli, M.F. Allometric models for non-destructive leaf area measurement of stevia: An in depth and complete analysis. Hortic. Bras. 2021, 39, 207–217. [Google Scholar] [CrossRef]
- Jarma-Orozco, A.; Combatt-Baballero, E.; Jaraba-Navas, J. Growth and development of Stevia rebaudiana Bert., in high and low levels of radiation. Curr. Plant. Biol. 2020, 22, 100144. [Google Scholar] [CrossRef]
- Pompelli, M.F.; Mendes, K.R.; Ramos, M.V.; Santos, J.N.B.; Youssef, D.T.A.; Pereira, J.D.; Endres, L.; Jarma-Orozco, A.; Solano-Gomes, R.; Jarma-Arroyo, B.; et al. Mesophyll thickness and sclerophylly among Calotropis procera morphotypes reveal water-saved adaptation to environments. J. Arid. Land. 2019, 11, 795–810. [Google Scholar] [CrossRef]
- Corte-Real, N.; Miranda, P.V.V.C.; Endres, L.; Souza, E.R.; Pompelli, M.F. Tolerance to salinity in Jatropha curcas are genotype-dependent. Braz. J. Develop. 2019, 5, 22169–22199. [Google Scholar] [CrossRef]
- Wang, W.; Wang, C.; Pan, D.; Zhang, Y.; Luo, B.; Ji, J. Effects of drought stress on photosynthesis and chlorophyll fluorescence images of soybean (Glycine max) seedlings. Int. J. Agric. Biol. Eng. 2018, 11, 196–201. [Google Scholar] [CrossRef]
- Pompelli, M.F.; Martins, S.C.V.; Antunes, W.C.; Chaves, A.R.M.; DaMatta, F.M. Photosynthesis and photoprotection in coffee leaves is affected by nitrogen and light availabilities in winter conditions. J. Plant Physiol. 2010, 167, 1052–1060. [Google Scholar] [CrossRef]
- Silva, F.M.O.; Lichtenstein, G.; Alseekh, S.; Rosado-Souza, L.; Conte, M.; Suguiyama, V.F.; Lira, B.S.; Fanourakis, D.; Usadel, B.; Bhering, L.L.; et al. The genetic architecture of photosynthesis and plant growth-related traits in tomato. Plant Cell. Environ. 2017, 41, 327–341. [Google Scholar] [CrossRef]
- Lichtenthaler, H.K.; Buschmann, C. Chlorophylls and carotenoids: Measurement and characterization by UV-VIS spectroscopy. Curr. Protoc. Food Anal. Chem. 2001, 1, 1–8. [Google Scholar] [CrossRef]
- Pompelli, M.F.; França, S.C.S.; Tigre, R.C.; Oliveira, M.T.; Sacilot, M.; Pereira, E.C.G. Spectrophotometric determinations of chloroplastidic pigments in acetone, ethanol and dimethylsulphoxide. Braz. J. Biosc. 2013, 11, 52–58. [Google Scholar]
- Bradford, M. A rapid and quantitative method for quantitation of microgram quantities of protein utilizing the principle of protein-dye binding. Annu. Biochem. 1976, 72, 248–254. [Google Scholar] [CrossRef]
- Ahmad, A.; Ali, H.; Khan, H.; Begam, A.; Khan, S.; Ali, S.S.; Ahmad, N.; Fazal, H.; Ali, M.; Hano, C.; et al. Effect of gibberellic acid on production of biomass, polyphenolics and steviol glycosides in adventitious root cultures of Stevia rebaudiana (Bert.). Plants 2020, 9, 420. [Google Scholar] [CrossRef] [PubMed]
- Akbari, F.; Arminian, A.; Kahriz, D.; Fazeli, A.; Ghaheri, M. Effect of nitrogen sources on gene expression of Stevia rebaudiana (Bertoni) under in vitro conditions. Cell Mol. Biol. 2018, 64, 11–16. [Google Scholar] [CrossRef] [PubMed]
- Arradaza, C.C.; Cedo, M.L.O.; Zara, R.R.; Gonzaga, R.A. Gibberellin application influences on ex vitro growth, flowering and steviol glycoside accumulation of Stevia rebaudiana Bertoni. Int. J. Agric. Life Sci. 2019, 3, 75–83. [Google Scholar]
- Espitia, M.C.; Montoya, R.B.; Atgencio, L.S. Rendimiento de Stevia rebaudiana Bert. bajo tres arreglos poblacionales en el sinú medio. Rev. UDCA Actual. Divulg. Científica 2009, 12, 151–161. [Google Scholar]
- Gomes, E.N.; Moterle, D.; Biasi, L.A.; Koehler, H.S.; Kanis, L.A.; Deschamps, C. Plant densities and harvesting times on productive and physiological aspects of Stevia rebaudiana Bertoni grown in southern Brazil. An. Acad. Bras. Cienc. 2018, 90, 3249–3264. [Google Scholar] [CrossRef] [PubMed]
- Singh, G.; Pal, P.; Masand, M.; Seth, R.; Kumar, A.; Singh, S.; Sharma, R.K. Comparative transcriptome analysis revealed gamma-irradiation mediated disruption of floral integrator gene(s) leading to prolonged vegetative phase in Stevia rebaudiana Bertoni. Plant Physiol. Biochem. 2020, 148, 90–102. [Google Scholar] [CrossRef]
- Truong, T.T.; Valíěek, P. Verification of growth and stevioside content of Stevia plants propagated by vegetative and generative method. Agric. Trop. Subtrop. 1999, 32, 79–84. [Google Scholar]
- Jarma-Orozco, A.; Ayala, C.C.; Herrera, C.F. Temperature and radiation effect on steviol glycosides production in Stevia rebaudiana in the Colombian humid Caribbean region. Rev. UDCA Actual. Divulg. Científica 2012, 15, 339–347. [Google Scholar]
- Terashima, I.; Fujita, T.; Inoue, T.; Chow, W.S.; Oguchi, R. Green light drives leaf photosynthesis more efficiently than red light in strong white light: Revisiting the enigmatic question of why leaves are green. Plant Cell Physiol. 2009, 50, 684–697. [Google Scholar] [CrossRef] [PubMed]
- Silva, M.A.; Jifon, J.L.; Silva, J.A.G.; Sharma, V. Use of physiological parameters as fast tools to screen for drought tolerance in sugarcane. Braz. J. Plant Physiol. 2007, 19, 193–201. [Google Scholar] [CrossRef]
- Silva, J.; Santos, R. Can chlorophyll fluorescence be used to estimate photosynthetic production in the seagrass Zostera noltii? J. Exp. Mar. Biol. Ecol. 2004, 307, 207–216. [Google Scholar] [CrossRef]
- Rodriguez, E.; da Conceição Santos, M.; Azevedo, R.; Correia, C.; Moutinho-Pereira, J.; Oliveira, J.M.P.F.; Dias, M.C. Photosynthesis light-independent reactions are sensitive biomarkers to monitor lead phytotoxicity in a Pb-tolerant Pisum sativum cultivar. Environ. Sci. Pollut. Res. 2015, 22, 574–585. [Google Scholar] [CrossRef]
- Alho, L.O.G.; Souza, J.P.; Rocha, G.S.; Mansano, A.S.; Lombardi, A.T.; Sarmento, H.; Melão, M.G.G. Photosynthetic, morphological and biochemical biomarkers as tools to investigate copper oxide nanoparticle toxicity to a freshwater chlorophyceae. Environ. Pollut. 2020, 265, 114856. [Google Scholar] [CrossRef]
- Iqbal, W.; Afridi, M.Z.; Jamal, A.; Mihoub, A.; Saeed, M.F.; Székely, Á.; Zia, A.; Khan, M.A.; Jarma-Orozco, A.; Pompelli, M.F. Canola seed priming and its effect on gas exchange, chlorophyll photobleaching, and enzymatic activities in response to salt stress. Sustainabiity 2022, 14, 9377. [Google Scholar] [CrossRef]
- Pompelli, M.F.; Jarma-Orozco, A.; Rodrígues-Páez, L.A. Salinity in Jatropha curcas: A review of physiological, biochemical, and molecular factors involved. Agriculture 2022, 12, 594. [Google Scholar] [CrossRef]
- Tuba, Z.; Lichtenthaler, H.; Csintalan, Z.; Nagy, Z.; Szente, K. Loss of chlorophylls, cessation of photosynthesis CO2 assimilation and respiration in the poikilochlorophyllous plant Xerophyta scabrida during desiccation. Physiol. Plant. 1996, 96, 383–388. [Google Scholar] [CrossRef]
- Dos Santos, O.O.; Mendes, K.R.; Martins, S.V.C.; Batista-Silva, W.; dos Santos, M.A.; Figueirôa, J.M.; Souza, E.R.; Fernandes, D.; Araújo, W.L.; Pompelli, M.F. Physiological parameters and plasticity as key factors to understand pioneer and late successional species in the Atlantic Rainforest. Acta Physiol. Plant 2019, 41, 145. [Google Scholar] [CrossRef]
- Pompelli, M.F.; Arrieta, D.V.; Rodríguez, Y.Y.P.; Ramírez, A.M.J.; Bettin, A.M.V.; Avilez, M.A.Q.; Cárcamo, J.A.A.; Castaño, S.G.G.; González, L.M.M.; Cordero, E.D.F.; et al. Can Chlorophyll a fluorescence and photobleaching be a stress signal under abiotic stress in Vigna unguiculata L.? Sustainability 2022, 14, 15503. [Google Scholar] [CrossRef]
- Cha-Um, S.; Kirdmanee, C. Effect of salt stress on proline accumulation, photosynthetic ability and growth characters in two maize cultivars. Pak. J. Bot. 2009, 41, 87–98. [Google Scholar]
- Shin, Y.K.; Bhandari, S.R.; Jo, J.S.; Song, J.W.; Cho, M.C.; Yang, E.Y.; Lee, J.G. Response to salt stress in lettuce: Changes in chlorophyll fluorescence parameters, phytochemical contents, and antioxidant activities. Agronomy 2020, 10, 1627. [Google Scholar] [CrossRef]
- Holden, M. The breakdown of chlorophyll by chlorophyllase. Biochem. J. 1961, 78, 359–364. [Google Scholar] [CrossRef]
- Acosta-Motos, J.R.; Noguera-Vera, L.; Barba-Espín, G.; Piqueras, A.; Hernández, J.A. Antioxidant metabolism and chlorophyll fluorescence during the acclimatisation to ex vitro conditions of micropropagated Stevia rebaudiana Bertoni plants. Antioxidants 2019, 8, 615. [Google Scholar] [CrossRef] [PubMed]
- Dewir, Y.H.; El-Mahrouk, M.E.; Al-Shmgani, H.S.; Rihan, H.Z.; Teixeira da Silva, J.A.; Fuller, M.P. Photosynthetic and biochemical characterization of in vitro-derived African violet (Saintpaulia ionantha H.Wendl) plants to ex vitro conditions. J. Plant Interact. 2015, 10, 101–108. [Google Scholar] [CrossRef]
- Chaari-Rkhis, A.; Maalej, M.; Chelli-Chaabouni, A.; Fki, L.; Drira, N. Photosynthesis parameters during acclimatization of in vitro-grown olive plantlets. Photosynthetica 2015, 53, 613–616. [Google Scholar] [CrossRef]
- Fai, P.B.; Grant, A.; Reid, B. Chlorophyll a fluorescence as a biomarker for rapid toxicity assessment. Environ. Toxicol. Chem. 2007, 26, 1520–1531. [Google Scholar] [CrossRef]
- Pompelli, M.F.; Jarma-Orozco, A.; Rodriguéz-Paéz, L.A. Screening of Morphophysiological, Anatomical and Ultrastructural Traits to Improve the Elite Genotype Selection in Sugarcane (Saccharum officinarum L.). Horticulturae 2022, 11, 1069. [Google Scholar] [CrossRef]
- El-Mahrouk, M.E.; Dewir, Y.H.; Murthy, H.N.; Rihan, H.Z.; Al-Shmgani, H.S.; Fuller, M.P. Effect of photosynthetic photon flux density on growth, photosynthetic competence and antioxidant enzymes activity during ex vitro acclimatization of Dieenbachia cultivars. Plant Growth Regul. 2016, 79, 29–37. [Google Scholar] [CrossRef]
- Pompelli, M.F.; Barata-Luís, R.M.; Vitorino, H.S.; Gonçalves, E.R.; Rolim, E.V.; Santos, M.G.; Almeida-Cortez, J.S.; Endres, L. Photosynthesis, photoprotection and antioxidant activity of purging nut under drought deficit and recovery. Biomass Bioenerg. 2010, 34, 1207–1215. [Google Scholar] [CrossRef]
- Müller-Moulé, P.; Conklin, P.L.; Niyogi, K.K. Ascorbate deficiency can limit violaxanthin de-epoxidase activity in vivo. Plant Physiol. 2002, 128, 970–977. [Google Scholar] [CrossRef] [PubMed]
- Logan, B.A.; Grace, S.C.; Adams, W.W., III; Demmig-Adams, B. Seasonal differences in xanthophyll cycle characteristics and antioxidants in Mahonia repens growing in different light environments. Oecologia 1998, 116, 9–17. [Google Scholar] [CrossRef] [PubMed]
- Galloway, T.S.; Brown, R.J.; Browne, M.A.; Dissanayake, A.; Lowe, D.; Jones, M.B.; Depledge, M.H. A multibiomarker approach to environmental assessment. Environ. Sci. Technol. 2004, 38, 1723–1731. [Google Scholar] [CrossRef] [PubMed]
- Debnath, M.; Ashwath, N.; Midmore, D.J. Physiological and morphological responses to abiotic stresses in two cultivars of Stevia rebaudiana (Bert.) Bertoni. S. Afr. J. Bot. 2019, 123, 124–132. [Google Scholar] [CrossRef]
- Wolwer-Rieck, U. The leaves of Stevia rebaudiana (Bertoni), their constituents and the analyses thereof: A review. J. Agric. Food Chem. 2012, 60, 886–895. [Google Scholar] [CrossRef] [PubMed]
- Tavakoli, H.; Tavakoli, N.; Moradi, F. The effect of the elicitors on the steviol glycosides biosynthesis pathway in Stevia rebaudiana. Funct. Plant. Biol. 2019, 46, 787–795. [Google Scholar] [CrossRef] [PubMed]
- Serfaty, M.; Ibdah, M.; Fischer, R.; Chaimovitsh, D.; Saranga, Y.; Dudai, N. Dynamics of yield components and stevioside production in Stevia rebaudiana grown under different planting times, plant stands and harvesting regimes. Ind. Crop. Prod. 2013, 50, 731–736. [Google Scholar] [CrossRef]
- Prakash, I.; Dubois, G.E.; Clos, J.F.; Wilkens, K.L.; Fosdick, L.E. Development of rebiana, a natural, non-caloric sweetener. Food Chem. Toxicol. 2008, 46, S75–S82. [Google Scholar] [CrossRef]
- Bogado-Villalba, L.; Nakashima, H.N.; Britos, R.; Iehisa, J.C.m.; Giubi, M.E.F. Genotypic characterization and steviol glycoside quantification in a population of Stevia rebaudiana Bertoni from Paraguay. J. Crop. Sci. Biotech. 2021, 24, 145–152. [Google Scholar] [CrossRef]
- Saptari, R.T.; Esyanti, R.R.; Putranto, R.A. Growth and steviol glycoside content of Stevia rebaudiana Bertoni in the thin-layer liquid culture treated with late-stage gibberellin biosynthesis inhibitors. Sugar Tech 2020, 22, 179–190. [Google Scholar] [CrossRef]
- Yoneda, Y.; Shimizu, H.; Nakashima, H.; Miyasaka, J.; Ohdoi, K. Effect of treatment with gibberellin, gibberellin biosynthesis inhibitor, and auxin on steviol glycoside content in Stevia rebaudiana Bertoni. Sugar Tech 2018, 20, 482–491. [Google Scholar] [CrossRef]
- Hajihashemi, S.; Geuns, J.M.C. Steviol glycosides correlation to genes transcription revealed in gibberellin and paclobutrazol-treated Stevia rebaudiana. J. Plant Biochem. Biotechnol. 2017, 26, 387–394. [Google Scholar] [CrossRef]
- de Guzman, R.; Midmore, D.J.; Walsh, K.B. Do steviol glycosides act either as a carbon storage pool or in osmoregulation within leaves of Stevia rebaudiana? J. Nat. Prod. 2018, 81, 2357–2363. [Google Scholar] [CrossRef] [PubMed]
- Good, N.D. Carbon dioxide & the Hill reaction. Plant Phvsiol. 1963, 368, 298–304. [Google Scholar] [CrossRef]
- Bhattacharjee, S. The language of reactive oxygen species signaling in plants. J. Bot. 2012, 2012, 985298. [Google Scholar] [CrossRef]
- Buchanan, B.B.; Balmer, Y. Redox regulation: A broadening horizon. Annu. Rev. Plant Biol. 2005, 56, 187–220. [Google Scholar] [CrossRef]
- Kato, Y.; Sakamoto, W. Protein quality control in chloroplasts: A current model of D1 protein degradation in the photosystem II repair cycle. J. Biochem. 2009, 146, 463–469. [Google Scholar] [CrossRef]
- Hajihashemi, S.; Rajabpoor, S.; Djalovic, I. Antioxidant potential in Stevia rebaudiana callus in response to polyethylene glycol, paclobutrazol and gibberellin treatments. Physiol. Mol. Biol. Plants 2018, 24, 335–341. [Google Scholar] [CrossRef]
- Hajihashemi, S.; Ehsanpour, A.A. Antioxidant response of Stevia rebaudiana B. to polyethylene glycol and paclobutrazol treatments under in vitro culture. Appl. Biochem. Biotechnol. 2014, 172, 4038–4352. [Google Scholar] [CrossRef]
- Saravi, H.B.; Gholami, A.; Pirdashti, H.; Firouzabadi, M.B.; Asghari, A.; Yaghoubian, Y. Improvement of salt tolerance in Stevia rebaudiana by co-application of endophytic fungi and exogenous spermidine. Ind. Crop. Prod. 2022, 177, 114443. [Google Scholar] [CrossRef]
- Acosta-Motos, J.R.; Díaz-Vivancos, P.; Álvarez, S.; Fernández-García, N.; Sánchez-Blanco, M.J.; Hernández, J.A. NaCl-induced physiological and biochemical adaptative mechanisms in the ornamental Myrtus communis L. plants. J. Plant Physiol. 2015, 183, 41–51. [Google Scholar] [CrossRef] [PubMed]
- Silva, E.N.; Ferreira-Silva, S.L.; Fontenele, A.V.; Ribeiro, R.V.; Viégas, R.A.; Silveira, J.A.G. Photosynthetic changes and protective mechanisms against oxidative damage subjected to isolated and combined drought and heat stresses in Jatropha curcas plants. J. Plant Physiol. 2010, 167, 1157–1164. [Google Scholar] [CrossRef]
- Liang, Y.; Chen, H.; Tang, M.-J.; Yang, P.-F.; Shen, S.-H. Responses of Jatropha curcas seedlings to cold stress: Photosynthesis-related proteins and chlorophyll fluorescence characteristics. Physiol. Plant 2007, 131, 508–517. [Google Scholar] [CrossRef] [PubMed]
- Ahmad, S.; Anwar, A.; Saleemuddin, M. Immobilization and stabilization of invertase on Cajanus cajan lectin support. Bioresour. Technol. 2001, 79, 121–127. [Google Scholar] [CrossRef] [PubMed]
- Cerqueira, J.V.A.; Silveira, J.A.G.; Carvalho, F.E.L.; Cunha, J.R.; Lima Neto, M.C. The regulation of P700 is an important photoprotective mechanism to NaCl-salinity in Jatropha curcas. Physiol. Plant 2019, 167, 404–417. [Google Scholar] [CrossRef]
- Carvalho, L.C.; Vilela, B.J.; Vidigal, P.; Mullineaux, P.M.; Amâncio, S. Activation of the ascorbate-glutathione cycle is an early response of micropropagated Vitis vinifera L. explants transferred to ex Vitro. Int. J. Plant Sci. 2006, 167, 759–770. [Google Scholar] [CrossRef]
- Saxena, I.; Srikanth, S.; Chen, Z. Cross talk between H2O2 and interacting signal molecules under plant stress response. Front. Plant Sci. 2016, 7, 570. [Google Scholar] [CrossRef]
- Pingbo, C.; Xia, L.; Kai, H.; Xiaodong, W.; Chuanchao, D.; Chuangen, L. Promotion of photosynthesis in transgenic rice over-expressing of maize C4 phosphoenolpyruvate carboxylase gene by nitric oxide donors. J. Plant. Physiol. 2014, 171, 458–466. [Google Scholar]
- Mazid, M.; Khan, T.A.; Mohammad, F. Role of nitric oxide in regulation of H2O2 mediating tolerance of plants to abiotic stress: A synergistic signalling approach. J. Stress Physiol. Biochem. 2011, 7, 34–74. [Google Scholar]
- Luna, C.M.; Pastori, G.M.; Driscoll, S.; Groten, K.; Bernard, S.; Foyer, C.H. Drought controls on H2O2 accumulation, catalase (CAT) activity and CAT gene expression in wheat. J. Exp. Bot. 2005, 56, 417–423. [Google Scholar] [CrossRef]
- Lee, D.H.; Kin, Y.S.; Lee, C.B. The inductive responses of the antioxidant enzymes by salt stress in the rice (Oryza sativa L.). J. Plant Physiol. 2001, 158, 737–745. [Google Scholar] [CrossRef]
- Pinheiro, H.A.; DaMatta, F.M.; Chaves, A.R.M.; Fontes, E.P.B.; Loureiro, M.E. Drought tolerance in relation to protection against oxidative stress in clones of Coffea canephora subjected to long-term drought. Plant Sci. 2004, 167, 1307–1314. [Google Scholar] [CrossRef]
- Dwivedi, S.; Alam, A.; Shekhawat, G.S.; Sharma, V.; Kumari, J. Enzymatic and non-enzymatic behaviour of Stevia rebaudiana (Bertoni) Bertoni against fluoride induced stress. Int. J. Sci. Res. Knowl. 2016, 4, 69–76. [Google Scholar] [CrossRef]
- Peynevandi, K.M.; Razavi, M.M.; Zahri, Z. The ameliorating effects of polyamine supplement on physiological and biochemical parameters of Stevia rebaudiana Bertoni under cold stress. Plant Prod. Sci. 2018, 21, 123–131. [Google Scholar] [CrossRef]
- Dwivedi, S.; Alam, A.; Shekhawat, G.S. Antioxidant response of Stevia rebaudiana (Bertoni) Bertoni (Angiosperms; Asteraceae) during developing phase of suspension cell culture. Plant Sci. Today 2016, 3, 115–123. [Google Scholar] [CrossRef]
- Mason, C.H.; Perreault, W.D. Collinearity, power, and interpretation of multiple regression analysis. J. Mark. Res. 1991, 28, 268–280. [Google Scholar] [CrossRef]
- Næs, T.; Mevik, B.-H. Understanding the collinearity problem in regression and discriminant analysis. J. Chemom. 2001, 15, 413–426. [Google Scholar] [CrossRef]













| Genotypes | Soluble Proteins (g kg−1 DW) | CAT Activity (U CAT min−1 g−1 Protein) | APX Activity (U APX min−1 g−1 Protein) | H2O2 (mM kg−1 DW) |
|---|---|---|---|---|
| Morita II | 139.91 ± 7.12 b | 5.54 ± 0.88 c | 77.58 ± 5.73 d | 27.28 ± 3.57 b |
| L020 | 51.80 ± 2.48 c | 12.55 ± 3.01 b | 107.50 ± 3.07 b | 26.53 ± 1.22 b |
| L057 | 230.78 ± 7.46 a | 7.58 ± 0.34 c | 88.47 ± 4.19 bc | 57.94 ± 5.11 a |
| L082 | 213.41 ± 10.24 a | 31.55 ± 2.57 a | 97.57 ± 5.12 bc | 62.78 ± 0.71 a |
| L102 | 136.92 ± 11.72 b | 7.78 ± 0.58 c | 142.74 ± 5.64 a | 66.89 ± 1.75 a |
Disclaimer/Publisher’s Note: The statements, opinions and data contained in all publications are solely those of the individual author(s) and contributor(s) and not of MDPI and/or the editor(s). MDPI and/or the editor(s) disclaim responsibility for any injury to people or property resulting from any ideas, methods, instructions or products referred to in the content. |
© 2023 by the authors. Licensee MDPI, Basel, Switzerland. This article is an open access article distributed under the terms and conditions of the Creative Commons Attribution (CC BY) license (https://creativecommons.org/licenses/by/4.0/).
Share and Cite
Rodriguez-Paez, L.A.; Jimenez-Ramirez, A.M.; Pompelli, M.F.; Pineda-Rodriguez, Y.Y.; Jarma-Orozco, A.; de Dios Jaraba-Navas, J.; Aramendiz-Tatis, H.; Combatt-Caballero, E.; Oloriz-Ortega, M.I.; Rodríguez, N.V. Physiological and Enzymatic Evaluation of Selected Genotypes of Stevia rebaudiana Bertoni. Agronomy 2023, 13, 403. https://doi.org/10.3390/agronomy13020403
Rodriguez-Paez LA, Jimenez-Ramirez AM, Pompelli MF, Pineda-Rodriguez YY, Jarma-Orozco A, de Dios Jaraba-Navas J, Aramendiz-Tatis H, Combatt-Caballero E, Oloriz-Ortega MI, Rodríguez NV. Physiological and Enzymatic Evaluation of Selected Genotypes of Stevia rebaudiana Bertoni. Agronomy. 2023; 13(2):403. https://doi.org/10.3390/agronomy13020403
Chicago/Turabian StyleRodriguez-Paez, Luis Alfonso, Ana Melisa Jimenez-Ramirez, Marcelo F. Pompelli, Yirlis Yadeth Pineda-Rodriguez, Alfredo Jarma-Orozco, Juán de Dios Jaraba-Navas, Hermes Aramendiz-Tatis, Enrique Combatt-Caballero, Maria Ileana Oloriz-Ortega, and Novisel Veitía Rodríguez. 2023. "Physiological and Enzymatic Evaluation of Selected Genotypes of Stevia rebaudiana Bertoni" Agronomy 13, no. 2: 403. https://doi.org/10.3390/agronomy13020403
APA StyleRodriguez-Paez, L. A., Jimenez-Ramirez, A. M., Pompelli, M. F., Pineda-Rodriguez, Y. Y., Jarma-Orozco, A., de Dios Jaraba-Navas, J., Aramendiz-Tatis, H., Combatt-Caballero, E., Oloriz-Ortega, M. I., & Rodríguez, N. V. (2023). Physiological and Enzymatic Evaluation of Selected Genotypes of Stevia rebaudiana Bertoni. Agronomy, 13(2), 403. https://doi.org/10.3390/agronomy13020403

