Modeling the Effects of Rice-Vegetable Cropping System Conversion and Fertilization on GHG Emissions Using the DNDC Model
Abstract
1. Introduction
2. Materials and Methods
2.1. Site Description and Experimental Datasets
2.2. Model Description, Inputs and Calibrations
2.3. Long-Term Simulations
2.4. Statistical Analysis
3. Results
3.1. DNDC Model Evaluations
3.1.1. Daily CH4 Emission Response to Cropping System Conversion and Fertilization
3.1.2. Daily CO2 Emission Response to Cropping System Conversion and Fertilization
3.1.3. Daily N2O Emission Response to Cropping System Conversion and Fertilization
3.1.4. Seasonal GHG Emissions and Crop Yield Response to Cropping System Conversion and Fertilization
3.2. Long-Term Simulated Effects of Cropping System Conversion and Fertilization
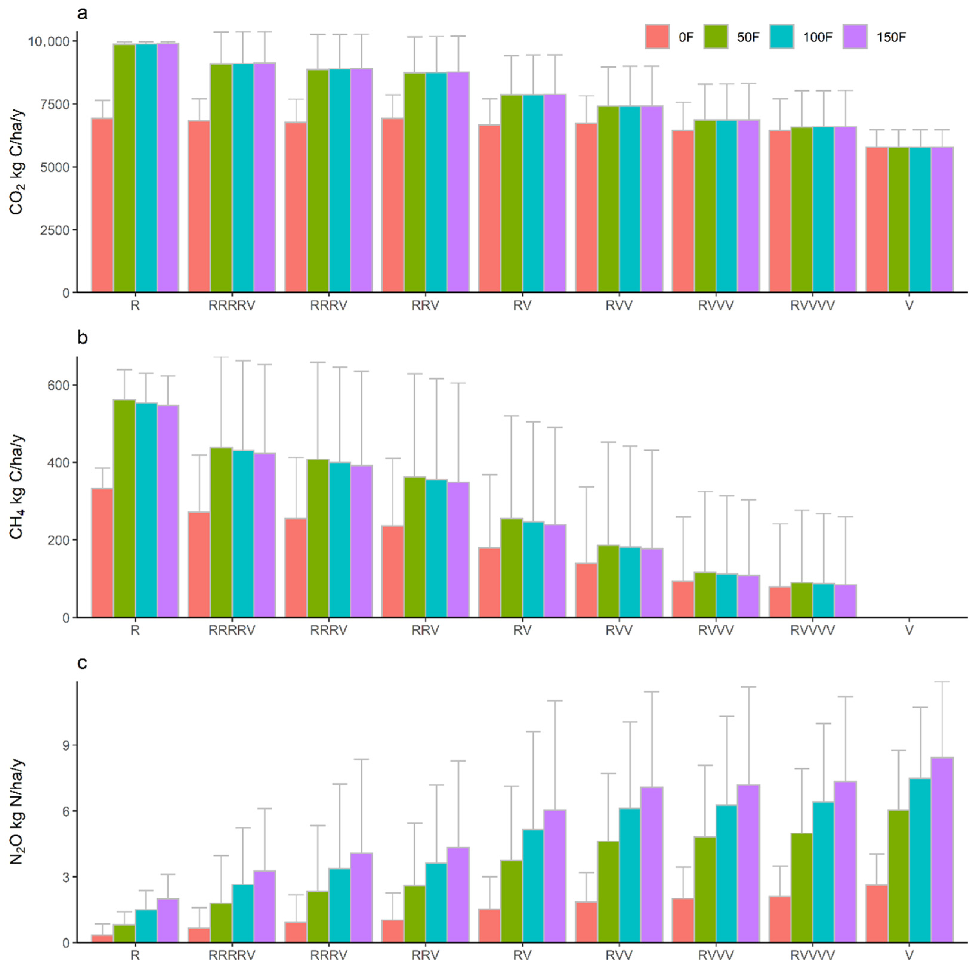
3.2.1. Annual GHG Emissions
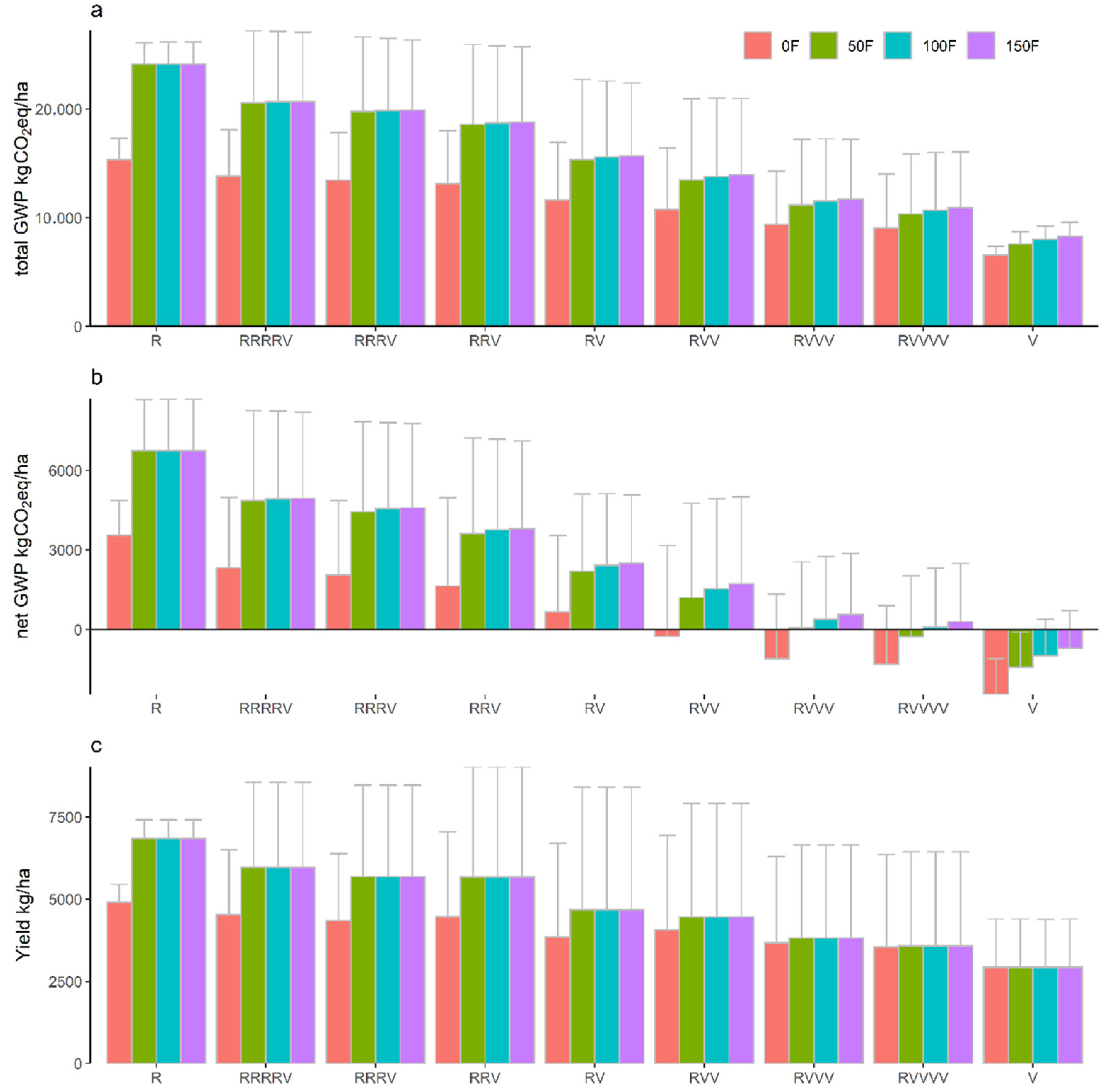
3.2.2. Global Warming Potentials and Crop Yield
4. Discussion
4.1. DNDC Model Performance
4.2. Effects of Cropping System Conversion and Fertilization on GHGs Emissions
5. Conclusions
Supplementary Materials
Author Contributions
Funding
Institutional Review Board Statement
Data Availability Statement
Acknowledgments
Conflicts of Interest
References
- IPCC. Climate Change 2014: Mitigation of Climate Change. Contribution of Working Group III to the Fifth Assessment Report of the Intergovernmental Panel on Climate Change; Cambridge University Press: Cambridge, UK; New York, NY, USA, 2014. [Google Scholar]
- Yan, X.Y.; Akiyama, H.; Yagi, K.; Akimoto, H. Global estimations of the inventory and mitigation potential of methane emissions from rice cultivation conducted using the 2006 intergovernmental panel on climate change guidelines. Glob. Biogeochem. Cycles 2009, 23, GB2002. [Google Scholar] [CrossRef]
- Sun, B.; Dong, Z.; Zhang, X.; Li, Y.; Cao, H.; Cui, Z. Rice to vegetables: Short-versus long-term impact of land-use change on the indigenous soil microbial community. Microb. Ecol. 2011, 62, 474–485. [Google Scholar] [CrossRef]
- Yuan, Y.; Liu, C.; Dai, X.; Wang, H. Effects of land⁃use conversion from double rice cropping to vegetables on CO2 and CH4 fluxes in southern China. Chin. J. Appl. Ecol. 2015, 26, 147–154. (In Chinese) [Google Scholar]
- Yuan, Y.; Dai, X.; Wang, H.; Xu, M.; Fu, X.; Yang, F. Effects of land-use conversion from double rice cropping to vegetables on methane and nitrous oxide fluxes in southern China. PLoS ONE 2016, 11, e0155926. [Google Scholar] [CrossRef]
- Wu, L.; Wu, X.; Lin, S.; Wu, Y.; Tang, S.; Zhou, M.; Shaaban, M.; Zhao, J.; Hu, R.; Kuzyakov, Y.; et al. Carbon budget and greenhouse gas balance during the initial years after rice paddy conversion to vegetable cultivation. Sci. Total Environ. 2018, 627, 46–56. [Google Scholar] [CrossRef] [PubMed]
- Xu, P.; Han, Z.; Wu, J.; Li, Z.; Wang, J.; Zou, J. Emissions of Greenhouse Gases and NO from Rice Fields and a Peach Orchard as Affected by N Input and Land-Use Conversion. Agronomy 2022, 12, 1850. [Google Scholar] [CrossRef]
- Holzapfel–Pschorn, A.; Conrad, R.; Seiler, W. Effects of vegetation on the emission of methane from submerged paddy soil. Plant Soil 1986, 92, 223–233. [Google Scholar] [CrossRef]
- Nishimura, S.; Yonemura, S.; Sawamoto, T.; Shirato, Y.; Akiyama, H.; Sudo, S.; Yagi, K. Effect of land use change from paddy rice cultivation to upland crop cultivation on soil carbon budget of a cropland in Japan. Agric. Ecosyst. Environ. 2008, 125, 9–20. [Google Scholar] [CrossRef]
- Zhao, M.; Shao, R.; Yang, J.; Zhao, F.; Xu, M. Simulation of greenhouse gas fluxes in rice fields based on DNDC model. Chin. J. Ecol. 2019, 38, 1057–1066. (In Chinese) [Google Scholar]
- Wu, L.; Tang, S.; He, D.; Wu, X.; Shaaban, M.; Wang, M.; Zhao, J.; Khan, M.; Zheng, X.; Hu, R.; et al. Conversion from rice to vegetable production increases N2O emission via increased soil organic matter mineralization. Sci. Total Environ. 2017, 583, 190–201. [Google Scholar] [CrossRef] [PubMed]
- Li, J.; Shao, X.; Gou, G.; Deng, Y.; Tan, S.; Xu, W.; Yang, Q.; Liu, W.; Wu, Y.; Meng, L.; et al. Effects of water and fertilization management on CH4 and N2O emissions in double-rice paddy fields in tropical regions. Environ. Sci. 2021, 42, 3458–3471. (In Chinese) [Google Scholar]
- Yulianingsih, E.; Pramono, A.; Setyanto, P. Greenhouse gas emissions reduction and rice yield potential under bio-fertilizer application. IOP Conf. Ser. Earth Environ. Sci. 2021, 648, 012115. [Google Scholar] [CrossRef]
- Zhao, Z.; Cao, L.; Deng, J.; Sha, Z.; Chu, C.; Zhou, D.; Wu, S.; Lv, W. Modeling CH4 and N2O emission patterns and mitigation potential from paddy fields in Shanghai, China with the DNDC model. Agric. Syst. 2020, 178, 102743. [Google Scholar] [CrossRef]
- Wang, C.; Amon, B.; Schulz, K.; Mehdi, B. Factors that influence nitrous oxide emissions from agricultural soils as well as their representation in simulation models: A review. Agronomy 2021, 11, 770. [Google Scholar] [CrossRef]
- He, F.; Chen, Q.; Jiang, R.; Chen, X.; Zhang, F. Yield and nitrogen balance of greenhouse tomato (Lycopersicum esculentum Mill.) with conventional and site-specific nitrogen management in Northern China. Nutr. Cycl. Agroecosyst. 2007, 77, 1–14. [Google Scholar] [CrossRef]
- Deng, J.; Zhou, Z.; Zheng, X.; Liu, C.; Yao, Z.; Xie, B.; Cui, F.; Han, S.; Zhu, J. Annual emissions of nitrous oxide and nitric oxide from rice–wheat rotation and vegetable fields: A case study in the Tai-Lake region, China. Plant Soil 2012, 360, 37–53. [Google Scholar] [CrossRef]
- Zschornack, T.; Rosa, C.M.; Reis, C.E.S.; Pedroso, G.M.; Camargo, E.S.; Santos, D.C.; Boeni, M.; Bayer, C. Soil CH4 and N2O emissions from rice paddy fields in southern Brazil as affected by crop management levels: A three-year field study. Rev. Bras. Ciênc. Solo 2018, 42, e0170306. [Google Scholar] [CrossRef]
- Jiang, M.; Xu, P.; Zhou, W.; Shaaban, M.; Zhao, J.; Ren, T.; Lu, J.; Hu, R. Prior nitrogen fertilization regulates CH4 emissions from rice cultivation by increasing soil carbon storage in a rapeseed-rice rotation. Appl. Soil Ecol. 2020, 155, 103633. [Google Scholar] [CrossRef]
- Cheng, K.; Ogle, S.M.; Parton, W.J.; Pan, G. Simulating greenhouse gas mitigation potentials for Chinese Croplands using the DAYCENT ecosystem model. Glob. Chang. Biol. 2014, 20, 948–962. [Google Scholar] [CrossRef]
- Begum, K.; Kuhnert, M.; Yeluripati, J.; Ogle, S.; Parton, W.; Kader, M.A.; Smith, P. Model based regional estimates of soil organic carbon sequestration and greenhouse gas mitigation potentials from rice croplands in Bangladesh. Land 2018, 7, 82. [Google Scholar] [CrossRef]
- Hediger, W. Modeling GHG emissions and carbon sequestration in Swiss agriculture: An integrated economic approach. Int. Congr. Ser. 2006, 1293, 86–95. [Google Scholar] [CrossRef]
- Veltman, K.; Jones, C.D.; Gaillard, R.; Cela, S.; Chase, L.; Duval, B.D.; Izaurralde, R.C.; Ketterings, Q.M.; Li, C.; Matlock, M.; et al. Comparison of process-based models to quantify nutrient flows and greenhouse gas emissions associated with milk production. Agric. Ecosyst. Environ. 2017, 237, 31–44. [Google Scholar] [CrossRef]
- Fang, Q.X.; Ma, L.; Halvorson, A.D.; Malone, R.W.; Ahuja, L.R.; Del Grosso, S.J.; Hatfield, J.L. Evaluating four nitrous oxide emission algorithms in response to N rate on an irrigated corn field. Environ. Model Softw. 2015, 72, 56–70. [Google Scholar] [CrossRef]
- Cha-Un, N.; Chidthaisong, A.; Towprayoon, S. Using the DNDC model to predict methane emissions from crop-rice rotation systems. Res. J. Chem. Environ. 2017, 21, 3. [Google Scholar]
- Yadav, D.; Wang, J. Modelling carbon dioxide emissions from agricultural soils in canada. Environ. Pollut. 2017, 230, 1040. [Google Scholar] [CrossRef]
- Cai, Z.; Sawamoto, T.; Li, C.; Kang, G.; Boonjawat, J.; Mosier, A.; Wassmann, R.; Tsuruta, H. Field validation of the DNDC model for greenhouse gas emissions in East Asian cropping systems. Glob. Biogeochem. Cycles 2003, 17, 1107. [Google Scholar] [CrossRef]
- Zhang, X.; Bi, J.; Sun, H.; Zhang, J.; Zhou, S. Greenhouse gas mitigation potential under different rice–crop rotation systems: From site experiment to model evaluation. Clean Technol. Environ. Policy 2019, 21, 1587–1601. [Google Scholar] [CrossRef]
- Babu, Y.J.; Li, C.; Frolking, S.; Nayak, D.R.; Adhya, T.K. Field validation of DNDC model for methane and nitrous oxide emissions from rice-production systems of India. Nutr. Cycl. Agroecosyst. 2006, 74, 157–174. [Google Scholar] [CrossRef]
- Oo, A.Z.; Sudo, S.; Fumoto, T.; Inubushi, K.; Ono, K.; Yamamoto, A.; Bellingrath-Kimura, S.D.; Win, K.T.; Umamageswari, C.; Bama, K.S.; et al. Field validation of the DNDC-rice model for methane and nitrous oxide emissions from double–cropping paddy rice under different irrigation practices in Tamil Nadu, India. Agriculture 2020, 10, 355. [Google Scholar] [CrossRef]
- Pandey, A.; Dou, F.; Morgan, C.; Guo, J.; Deng, J.; Schwab, P. Modeling organically fertilized flooded rice systems and its long–term effects on grain yield and methane emissions. Sci. Total Environ. 2021, 755, 142578. [Google Scholar] [CrossRef]
- Fumoto, T.; Kobayashi, K.; Li, C.; Yagi, K.; Hasegawa, T. Revising a process-based biogeochemistry model (DNDC) to simulate methane emission from rice paddy fields under various residue management and fertilizer regimes. Glob. Chang. Biol. 2008, 14, 382–402. [Google Scholar] [CrossRef]
- Katayanagi, N.; Furukawa, Y.; Fumoto, T.; Hosen, Y. Validation of the DNDC-Rice model by using CH4 and N2O flux data from rice cultivated in pots under alternate wetting and drying irrigation management. Soil Sci. Plant Nutr. 2012, 58, 360–372. [Google Scholar] [CrossRef]
- Oertel, C.; Matschullat, J.; Zurba, K.; Zimmermann, F.; Erasmi, S. Greenhouse gas emissions from soils-A review. Geochemitry 2016, 76, 327–352. [Google Scholar] [CrossRef]
- Jiang, R.; Yang, J.; Drury, C.F.; He, W.; Smith, W.N.; Grant, B.B.; He, P.; Zhou, W. Assessing the impacts of diversified crop rotation systems on yields and nitrous oxide emissions in Canada using the DNDC model. Sci. Total Environ. 2021, 759, 143433. [Google Scholar] [CrossRef]
- Giltrap, D.L.; Li, C.; Saggar, S. DNDC: A process–based model of greenhouse gas fluxes from agricultural soils. Agric. Ecosyst. Environ. 2010, 136, 292–300. [Google Scholar] [CrossRef]
- Yin, S.; Zhang, X.; Lyu, J.; Zhi, Y.; Chen, F.; Wang, L.; Liu, C.; Zhou, S. Carbon sequestration and emissions mitigation in paddy fields based on the DNDC model: A review. AI Agric. 2020, 4, 140–149. [Google Scholar] [CrossRef]
- Yuan, Y.; Dai, X.; Wang, H. Greenhouse gas fluxes dataset effected by land–use conversion from double rice cropping to vegetables in southern China. J. Glob. Chang. Data Discov. 2018, 1, 99–106. [Google Scholar]
- Wang, J.; Wang, E.; Yin, H.; Feng, L.; Zhao, Y. Differences between observed and calculated solar radiations and their impact on simulated crop yields. Field Crops Res. 2015, 176, 1–10. [Google Scholar] [CrossRef]
- Willmott, C.J. On the Validation of Models. Phys. Geogr. 1981, 2, 184–194. [Google Scholar] [CrossRef]
- Yang, S.; Xiao, Y.; Xu, J.; Liu, X. Effect of straw return on soil respiration and NEE of paddy fields under water-saving irrigation. PLoS ONE 2018, 13, e0204597. [Google Scholar] [CrossRef]
- Nielsen, U.N.; Ball, B.A. Impacts of altered precipitation regimes on soil communities and biogeochemistry in arid and semi-arid ecosystems. Glob. Chang. Biol. 2015, 21, 1407–1421. [Google Scholar] [CrossRef] [PubMed]
- He, Y.; Siemens, J.; Amelung, W.; Goldbach, H.; Wassmann, R.; Alberto, M.C.R.; Lücke, A.; Lehndorff, E. Carbon release from rice roots under paddy rice and maize-paddy rice cropping. Agric. Ecosyst. Environ. 2015, 210, 15–24. [Google Scholar] [CrossRef]
- Liu, Y.; Hu, C.; Mohamed, I.; Wang, J.; Zhang, G.; Li, Z.; Chen, F. Soil CO2 Emissions and drivers in rice-wheat rotation fields subjected to different long-term fertilization practices. CLEAN-SOIL AIR WATER 2016, 44, 867–876. [Google Scholar] [CrossRef]
- Li, C.; Mosier, A.; Wassmann, R.; Cai, Z.; Zheng, X.; Huang, Y.; Tsuruta, H.; Boonjawat, J.; Lantin, R. Modeling greenhouse gas emissions from rice-based production systems: Sensitivity and upscaling, Glob. Biogeochem. Cycles 2004, 18, GB1043. [Google Scholar] [CrossRef]
- Yao, Z.; Zheng, X.; Dong, H.; Wang, R.; Mei, B.; Zhu, J. A 3-year record of N2O and CH4 emissions from a sandy loam paddy during rice seasons as affected by different nitrogen application rates. Agric. Ecosyst. Environ. 2012, 152, 1–9. [Google Scholar] [CrossRef]
- Ly, P.; Jensen, L.S.; Bruun, T.B.; de Neergaard, A. Methane (CH4) and nitrous oxide (N2O) emissions from the system of rice intensification (SRI) under a rain–fed lowland rice ecosystem in Cambodia. Nutr. Cycl. Agroecosyst. 2013, 97, 13–27. [Google Scholar] [CrossRef]
- Zhao, X.; Pu, C.; Ma, S.; Liu, S.; Xue, J.; Wang, X.; Li, S.; Lal, R.; Chen, F.; Zhang, H. Management-induced greenhouse gases emission mitigation in global rice production. Sci. Total Environ. 2019, 649, 1299–1306. [Google Scholar] [CrossRef]
- Intergovernmental Panel on Climate Change. 2006 IPCC Guidelines for National Greenhouse GAS Inventories; Institute for Global Environmental Strategies: Hayama, Kanagawa, Japan, 2006. [Google Scholar]
- Wang, X.; Gao, X.; Chen, X. Meta–analysis data quantifying nitrous oxides emissions from Chinese vegetable production. Data Brief 2018, 19, 114–116. [Google Scholar] [CrossRef]
- Akiyama, H.; Sano, T.; Nishina, K.; Sudo, S.; Oura, N.; Fujimori, M.; Uezono, I.; Yano, S.; Ohkoshi, S.; Fujita, Y.; et al. N2O emission factors for organic amendments in Japan from measurement campaign and systematic review. Sci. Total Environ. 2023, 864, 161088. [Google Scholar] [CrossRef]
- Liu, Z.; Jiang, L.; Li, X.; Härdter, R.; Zhang, W.; Zhang, Y.; Zheng, D. Effect of N and K fertilizers on yield and quality of greenhouse vegetable crops. Pedosphere 2008, 18, 496–502. [Google Scholar] [CrossRef]
- Liang, D.; Lu, X.; Zhuang, M.; Shi, G.; Hu, C.; Wang, S.; Hao, J. China’s greenhouse gas emissions for cropping systems from 1978–2016. Sci. Data 2021, 8, 1–10. [Google Scholar] [CrossRef] [PubMed]
- Shi, Z.; Jia, T.; Wang, Y.; Wang, J.; Sun, R.; Wang, F.; Li, X.; Bi, Y. Comprehensive utilization status of crop straw and estimation of carbon from burning in China. Chin. J. Agric. Resour. Reg. Plan. 2017, 38, 32–37. [Google Scholar]







| Cropping System | Crop | Growth Period | Time of Fertilization | N Applied (kg N/ha) | P Applied (kg P ha−1) | K Applied (kg P ha−1) |
|---|---|---|---|---|---|---|
| Rice | Late rice | 2012.7.30~2012.11.14 | 2012.7.30 | 71.7 (Compound fertilize) | 31.3 | 59.5 |
| 2012.8.10 | 107.5(Urea) | |||||
| Early rice | 2013.4.24~2013.7.23 | 2013.4.24 | 71.7 (Compound fertilize) | 31.3 | 59.5 | |
| 2013.5.3 | 107.5(Urea) | |||||
| Late rice | 2013.7.27~2013.11.2 | 2012.7.26 | 71.7 (Compound fertilize) | 31.3 | 59.5 | |
| 2012.8.12 | 107.5(Urea) | |||||
| Early rice | 2014.4.25~2014.7.25 | 2013.4.19 | 71.7 (Compound fertilize) | 31.3 | 59.5 | |
| 2013.4.29 | 107.5(Urea) | |||||
| Vegetables | Cowpea | 2012.7.30~2012.10.26 | 2012.7.30 | 71.7 (Compound fertilize) | 31.3 | 59.5 |
| 2012.8.25 | 53.3(Urea) | |||||
| White radish | 2012.10.31~2013.3.9 | 2012.10.30 | 71.7 (Compound fertilize) | 31.3 | 59.5 | |
| Pepper | 2013.4.7~2013.7.23 | 2013.4.7 | 71.7 (Compound fertilize) | 31.3 | 59.5 | |
| 2013.5.7 | 45.0 (Compound fertilize) | 19.6 | 37.3 | |||
| 2013.6.21 | 45.0 (Compound fertilize) | 19.6 | 37.3 | |||
| Chinese Cabbage | 2013.8.12~2013.10.20 | 2012.8.12 | 71.7 (Compound fertilize) | 31.3 | 59.5 | |
| 2012.8.25 | 53.3 (Urea) | |||||
| White radish | 2013.10.21~2014.4.18 | 2012.10.21 | 71.7 (Compound fertilize) | 31.3 | 59.5 | |
| Pepper | 2014.4.19~2014.7.17 | 2013.3.27 | 71.7 (Compound fertilize) | 31.3 | 59.9 | |
| 2013.4.19 | 45.0 (Compound fertilize) | 19.6 | 37.3 | |||
| 2013.6.14 | 45.0 (Compound fertilize) | 19.6 | 37.3 |
| Category | Parameter | Value | ||||
|---|---|---|---|---|---|---|
| Soil properties | Land-use | Rice paddy field | ||||
| Texture | loam | |||||
| Bulk density (g/cm3) | 1.27~1.35 * | |||||
| pH | 4.91~5.09 * | |||||
| Clay fraction | 0.14 | |||||
| Conductivity (m/hr) | 0.025 | |||||
| Porosity (0–1) | 0.451 | |||||
| SOC at surface soil (0–10 cm) (kg C/kg soil) | 0.01 | |||||
| Bulk C/N | 10.09 | |||||
| Crop parameters | Rice | Cowpea | White Radish | Chinese Cabbage | Pepper | |
| Grain max biomass production (kgC/ha/yr) | 3477.5 | 529.2 | 3760.7 | 35.0 | 50.8 | |
| Grain biomass fraction | 0.45 | 0.10 | 0.35 | 0.01 | 0.02 | |
| Annual N demand (kgN/ha/yr) | 119.5 | 170.5 | 232.8 | 161.9 | 12.7 | |
| Thermal degree days for maturity (°C) | 2000 | 2300 | 1000 | 2500 | 1800 | |
| Water demand (g water/g DM) | 508 | 550 | 508 | 450 | 500 | |
| Items | Treatment | Observed Mean | Simulated Mean | RMSE | R2 | d |
|---|---|---|---|---|---|---|
| Daily CO2 emissions | RF | 32.99 ± 2.07 a | 33.52 ± 2.27 a | 29.25 | 0.13 | 0.51 |
| (kg C/ha/day) | RNF | 24.33 ± 1.40 b | 29.97 ± 1.98 a | 28.46 | 0.05 | 0.44 |
| VF | 24.85 ± 1.63 ab | 17.85 ± 1.46 b | 31.47 | 0.20 | 0.39 | |
| VNF | 23.84 ± 1.77 bc | 17.56 ± 1.64 b | 28.04 | 0.18 | 0.42 | |
| Daily CH4 emissions | RF | 1.18 ± 0.15 a | 1.76 ± 0.27 a | 2.31 | 0.62 | 0.78 |
| (kg C/ha/day) | RNF | 1.14 ± 0.14 a | 1.52 ± 0.216 a | 1.62 | 0.69 | 0.86 |
| VF | 0.00 ± 0.00 b | 0.00 ± 0.00 b | 0.01 | 0.02 | 0.09 | |
| VNF | 0.00 ± 0.00 b | 0.00 ± 0.00 b | 0.02 | 0.00 | 0.10 | |
| Daily N2O emissions | RF | 0.008 ± 0.002 c | 0.003 ± 0.001 b | 0.03 | 0.00 | 0.16 |
| (kg N/ha/day) | RNF | 0.002 ± 0.000 d | 0.001 ± 0.000 c | 0.01 | 0.00 | 0.35 |
| VF | 0.033 ± 0.004 a | 0.029 ± 0.020 a | 0.11 | 0.06 | 0.40 | |
| VNF | 0.017 ± 0.002 b | 0.021 ± 0.015 b | 0.11 | 0.01 | 0.11 |
Disclaimer/Publisher’s Note: The statements, opinions and data contained in all publications are solely those of the individual author(s) and contributor(s) and not of MDPI and/or the editor(s). MDPI and/or the editor(s) disclaim responsibility for any injury to people or property resulting from any ideas, methods, instructions or products referred to in the content. |
© 2023 by the authors. Licensee MDPI, Basel, Switzerland. This article is an open access article distributed under the terms and conditions of the Creative Commons Attribution (CC BY) license (https://creativecommons.org/licenses/by/4.0/).
Share and Cite
Sun, X.; Yang, X.; Hou, J.; Wang, B.; Fang, Q. Modeling the Effects of Rice-Vegetable Cropping System Conversion and Fertilization on GHG Emissions Using the DNDC Model. Agronomy 2023, 13, 379. https://doi.org/10.3390/agronomy13020379
Sun X, Yang X, Hou J, Wang B, Fang Q. Modeling the Effects of Rice-Vegetable Cropping System Conversion and Fertilization on GHG Emissions Using the DNDC Model. Agronomy. 2023; 13(2):379. https://doi.org/10.3390/agronomy13020379
Chicago/Turabian StyleSun, Xiaolu, Xiaohui Yang, Jinjin Hou, Bisheng Wang, and Quanxiao Fang. 2023. "Modeling the Effects of Rice-Vegetable Cropping System Conversion and Fertilization on GHG Emissions Using the DNDC Model" Agronomy 13, no. 2: 379. https://doi.org/10.3390/agronomy13020379
APA StyleSun, X., Yang, X., Hou, J., Wang, B., & Fang, Q. (2023). Modeling the Effects of Rice-Vegetable Cropping System Conversion and Fertilization on GHG Emissions Using the DNDC Model. Agronomy, 13(2), 379. https://doi.org/10.3390/agronomy13020379
