Drip Irrigation Depth Alters Root Morphology and Architecture and Cold Resistance of Alfalfa
Abstract
1. Introduction
2. Materials and Methods
2.1. Study Location and Plant Materials
2.2. Experimental Design and Treatments
2.3. Root Morphology and Architecture
2.4. Semi-Lethal Temperature
2.5. Root Physiological Indicators
2.6. Statistical Analyses
3. Results
3.1. Biomass
3.2. Root Morphological Indicators
3.3. Root System Architecture
3.4. Semi-Lethal Temperature
3.5. Correlation Analysis between LT50 and Phenotypic Traits
3.6. Reactive Oxygen Species and MDA
3.7. Antioxidant System Activity
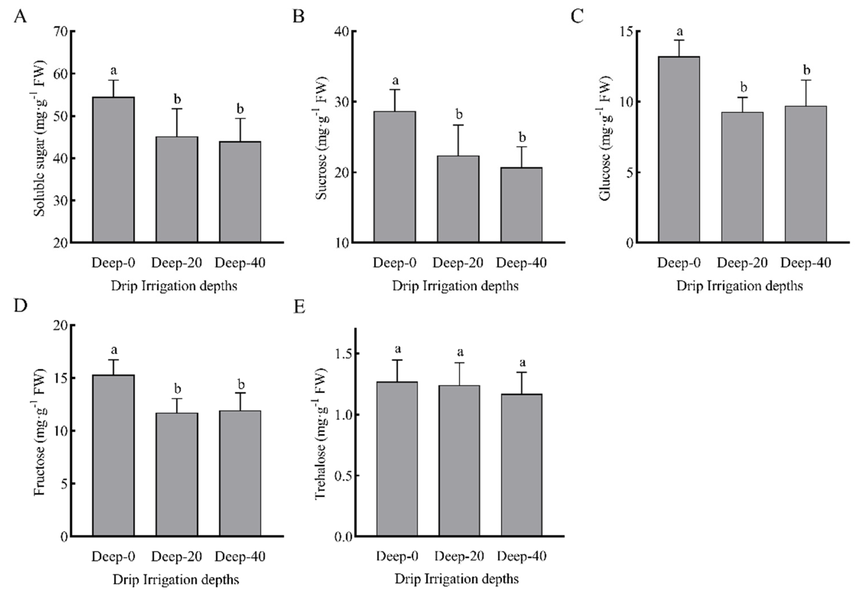
3.8. Non-Structural Carbohydrates
4. Discussion
5. Conclusions
Supplementary Materials
Author Contributions
Funding
Institutional Review Board Statement
Informed Consent Statement
Data Availability Statement
Conflicts of Interest
References
- Russelle, M.P. Alfalfa. Am. Sci. 2001, 89, 252–261. [Google Scholar] [CrossRef]
- Carol, K.A. Reconstructing patterns of temperature, phenology, and frost damage over 124 years. Ecology 2013, 94, 41–50. [Google Scholar] [CrossRef]
- Liu, Z.Y.; Li, X.L.; Li, F.; Tao, Y.; Liu, L.; Wang, Z.L.; Sun, Q.Z. Response of alfalfa root traits to fall dormancy and its effect on winter hardiness. Sci. Agric. Sin. 2015, 48, 1689–1701. [Google Scholar] [CrossRef]
- Schwinning, S.; Starr, B.I.; Ehleringer, J.R. Dominant cold desert plants do not partition warm season precipitation by event size. Oecologia 2003, 136, 252–260. [Google Scholar] [CrossRef]
- Schwinning, S.; Sala, O.E. Hierarchy of responses to resource pulses in arid and semi-arid ecosystems. Oecologia 2004, 141, 211–220. [Google Scholar] [CrossRef] [PubMed]
- Be’langer, G.; Rochette, P.; Castonguay, Y.; Bootsma, A.; Mongrain, D.; Ryan, D.A.J. Climate change and winter survival of perennial forage crops in Eastern Canada. Agron. J. 2002, 94, 1120–1130. [Google Scholar] [CrossRef]
- Zhang, L.J.; Zhong, T.X.; Xu, L.X.; Han, L.B.; Zhang, X.Z. Water Deficit Irrigation Impacts on Antioxidant Metabolism Associated with Freezing Tolerance in Creeping Bentgrass. J. Am. Soc. Hortic. Sci. 2015, 140, 323–332. [Google Scholar] [CrossRef]
- Xu, H.Y.; Tong, Z.Y.; He, F.; Li, X.L. Response of Alfalfa (Medicago sativa L.) to Abrupt Chilling as Reflected by Changes in Freezing Tolerance and Soluble Sugars. Agronomy 2020, 10, 255–270. [Google Scholar] [CrossRef]
- Castonguay, Y.; Laberge, S.; Brummer, E.C.; Volenec, J.J. Alfalfa Winter Hardiness: A Research Retrospective and Integrated Perspective. Adv. Agronomy 2006, 90, 203–265. [Google Scholar]
- Li, S.; Wan, L.Q.; Nie, Z.N.; Li, X.L. Fractal and Topological Analyses and Antioxidant Defense Systems of Alfalfa (Medicago sativa L.) Root System under Drought and Rehydration Regimes. Agronomy 2020, 10, 805–826. [Google Scholar] [CrossRef]
- Comas, L.H.; Becker, S.R.; Cruz, V.M.; Byrne, P.F.; Dierig, D.A. Root traits contributing to plant productivity under drought. Front. Plant Sci. 2013, 4, 442. [Google Scholar] [CrossRef] [PubMed]
- Larson, K.L.; Smith, D. Association of various morphological character and seed germination with the winter hardiness of alfalfa. Crop Sci. 1963, 3, 234–237. [Google Scholar] [CrossRef]
- Schwab, P.M.; Barnes, D.K.; Sheaffer, C.C.; Li, P.H. Factors Affecting a Laboratory Evaluation of Alfalfa Cold Tolerance. Crop Sci. 1996, 36, 318–324. [Google Scholar] [CrossRef]
- Smith, D. Root Branching of Alfalfa Varieties and Strains. Agron. J. 1951, 43, 573–575. [Google Scholar] [CrossRef]
- Xu, H.Y.; Li, Z.Y.; Tong, Z.Y.; He, F.; Li, X.L. Metabolomic analyses reveal substances that contribute to the increased freezing tolerance of alfalfa (Medicago sativa L.) after continuous water deficit. BMC Plant Biol. 2020, 20, 15. [Google Scholar] [CrossRef]
- Kong, R.; Henry, H. Interactions of plant growth responses to spring freezing and summer drought: A multispecies comparison. Am. J. Bot. 2019, 106, 531–539. [Google Scholar] [CrossRef]
- Kong, R.; Henry, H. Cross acclimation effects of spring freezing and summer drought on plant functional groups and ecosystem properties. Environ. Exp. Bot. 2019, 164, 52–57. [Google Scholar] [CrossRef]
- Gama, G.F.V.; Oliveira, R.M.d.; Pinheiro, D.T.; Silva, L.J.d.; Dias, D.C.F.d.S. Yield and physiological quality of wheat seeds produced under different irrigation depths and leaf Silicon. Semin. Ciências Agrárias 2021, 42, 2233–2252. [Google Scholar] [CrossRef]
- Bouma, T.J.; Nielsen, K.L.; Hal, J.V.; Koutstaal, B. Root system topology and diameter distribution of species from habitats differing in inundation frequency. Funct. Ecol. 2001, 15, 360–369. [Google Scholar] [CrossRef]
- Tanabe, M.; Kayama, A.; Kato, R.; Ito, Y. Estimation of the fractal dimension of freature surface patterns by box-counting method. Fractals 1999, 7, 335–340. [Google Scholar] [CrossRef]
- Anower, M.R.; Fennell, A.; Boe, A.; Mott, I.W.; Peel, M.D.; Wu, Y. Physiological and molecular characterisation of lucerne (Medicago sativa L.) germplasm with improved seedling freezing tolerance. Crop Pasture Sci. 2016, 67, 655–665. [Google Scholar] [CrossRef]
- Ma, L.-h.; Liu, X.-l.; Wang, Y.-k.; Wu, P.-t. Effects of drip irrigation on deep root distribution, rooting depth, and soil water profile of jujube in a semiarid region. Plant Soil 2013, 373, 995–1006. [Google Scholar] [CrossRef]
- Cullen, P.W.; Turner, A.K.; Wilson, J.H. The effect of irrigation depth on root growth of some pasture species. Plant Soil 1972, 37, 345–352. [Google Scholar] [CrossRef]
- Zhang, X.; Pei, D.; Chen, S. Root growth and soil water utilization of winter wheat in the North China Plain. Hydrol. Processes 2004, 18, 2275–2287. [Google Scholar] [CrossRef]
- Kume, T.; Sekiya, N.; Yano, K. Heterogeneity in spatial P-distribution and foraging capability by Zea mays: Effects of patch size and barriers to restrict root proliferation within a patch. Ann. Bot. 2006, 98, 1271–1277. [Google Scholar] [CrossRef]
- Tian, H.Y.; De Smet, I.; Ding, Z.J. Shaping a root system: Regulating lateral versus primary root growth. Trends Plant Sci. 2014, 19, 426–431. [Google Scholar] [CrossRef]
- Padilla, F.M.; Miranda, J.D.; Jorquera, M.J.; Pugnaire, F.I. Variability in amount and frequency of water supply affects roots but not growth of arid shrubs. Plant Ecol. 2009, 204, 261–270. [Google Scholar] [CrossRef]
- Withington, J.M.; Reich, P.B.; Oleksyn, J.; Eissenstat, D.M. Comparisons of structure and life span in roots and leaves among temperate trees. Ecol. Monogr. 2006, 76, 381–397. [Google Scholar] [CrossRef]
- Rewald, B.; Ephrath, J.E.; Rachmilevitch, S. A root is a root is a root? Water uptake rates of Citrus root orders. Plant Cell Environ. 2011, 34, 33–42. [Google Scholar] [CrossRef]
- Guo, D.L.; Mitchell, R.J.; Hendricks, J.J. Fine root branch orders respond differentially to carbon source-sink manipulations in a longleaf pine forest. Oecologia 2004, 140, 450–457. [Google Scholar] [CrossRef]
- Hassouni, K.; Alahmad, S.; Belkadi, B.; Filali-Maltouf, A.; Hickey, L.T.; Bassi, F.M. Root System Architecture and Its Association with Yield under Different Water Regimes in Durum Wheat. Crop Sci. 2018, 58, 2331–2346. [Google Scholar] [CrossRef]
- Bauhus, J.; Khanna, P.K.; Menden, N. Aboveground and belowground interactions in mixed plantations of Eucalyptus globulus and Acacia mearnsii. Can. J. For. Res. 2000, 30, 1886–1894. [Google Scholar] [CrossRef]
- Enquist, B.J.; Niklas, K.J. Global allocation rules for patterns of biomass partitioning in seed plants. Science 2002, 295, 1517–1520. [Google Scholar] [CrossRef] [PubMed]
- Guswa, A.J. Effect of plant uptake strategy on the water−optimal root depth. Water Resour. Res. 2010, 46. [Google Scholar] [CrossRef]
- Li, Z.; Wan, L.; Li, S.; Li, X.; He, F.; Tong, Z. Plastic response of Medicago sativa L. root system traits and cold resistance to simulated rainfall events. PeerJ 2021, 9, e11962. [Google Scholar] [CrossRef]
- Lynch, J.P. Root phenotypes for improved nutrient capture: An underexploited opportunity for global agriculture. New Phytol. 2019, 223, 548–564. [Google Scholar] [CrossRef]
- Yan, X.; Liao, H.; Nian, H. Principles and Applications of Root Biology; Science Press: Beijing, China, 2007. [Google Scholar]
- De Sme, I.; Signora, L.; Beeckman, T.; Inzé, D.; Foyer, C.H.; Zhang, H. An abscisic acid-sensitive checkpoint in lateral root development of Arabidopsis. Plant J. 2003, 33, 543–555. [Google Scholar] [CrossRef]
- Phene, C.J.; Detar, W.R.; Clark, D.A. Real-time irrigation scheduling of cotton with an automated pan evaporation system. Appl. Eng. Agric. 1992, 8, 787–793. [Google Scholar] [CrossRef]
- Green, S.R.; Clothier, B.E. Root water uptake by kiwifruit vines following partial wetting of the root zone. Plant Soil 1995, 173, 317–328. [Google Scholar] [CrossRef]
- Nahar, K.; Hasanuzzaman, M.; Alam, M.M.; Rahman, A.; Mahmud, J.A.; Suzuki, T.; Fujita, M. Insights into spermine-induced combined high temperature and drought tolerance in mung bean: Osmoregulation and roles of antioxidant and glyoxalase system. Protoplasma 2017, 254, 445–460. [Google Scholar] [CrossRef]
- Apel, K.; Hirt, H. Reactive oxygen species: Metabolism, oxidative stress, and signal transduction. Annu. Rev. Plant Biol. 2004, 55, 373–399. [Google Scholar] [CrossRef] [PubMed]
- Puyang, X.; An, M.; Han, L.; Zhang, X. Protective effect of spermidine on salt stress induced oxidative damage in two Kentucky bluegrass (Poa pratensis L.) cultivars. Ecotoxicol. Environ. Saf. 2015, 117, 96–106. [Google Scholar] [CrossRef]
- Katuwal, K.B.; Schwartz, B.; Jespersen, D. Desiccation avoidance and drought tolerance strategies in bermudagrasses. Environ. Exp. Bot. 2020, 171, 103947. [Google Scholar] [CrossRef]
- Bertrand, A.; Bipfubusa, M.; Claessens, A.; Rocher, S.; Castonguay, Y. Effect of photoperiod prior to cold acclimation on freezing tolerance and carbohydrate metabolism in alfalfa (Medicago sativa L.). Plant Sci. 2017, 264, 122–128. [Google Scholar] [CrossRef] [PubMed]
- Castonguay, Y.; Bertrand, A.; Michaud, R.; Laberge, S. Cold-Induced Biochemical and Molecular Changes in Alfalfa Populations Selectively Improved for Freezing Tolerance. Crop Sci. 2011, 51, 2132–2144. [Google Scholar] [CrossRef]
- Panjtandoust, M.; Wolyn, D.J.; Navabi, A. Asparagus cultivars with varying adaptation to southern Ontario differ for induction of freezing tolerance in the fall. Can. J. Plant Sci. 2016, 96, 252–264. [Google Scholar] [CrossRef]
- Panjtandoust, M.; Wolyn, D.J. Freezing Tolerance Attributes during Spring Deacclimation for Three Asparagus Cultivars with Varying Adaptation to Southern Ontario. J. Agron. Crop Sci. 2016, 141, 22–33. [Google Scholar] [CrossRef]
- Kalberer, S.R.; Wisniewski, M.; Arora, R. Deacclimation and reacclimation of cold-hardy plants: Current understanding and emerging concepts. Plant Sci. 2006, 171, 3–16. [Google Scholar] [CrossRef]











Publisher’s Note: MDPI stays neutral with regard to jurisdictional claims in published maps and institutional affiliations. |
© 2022 by the authors. Licensee MDPI, Basel, Switzerland. This article is an open access article distributed under the terms and conditions of the Creative Commons Attribution (CC BY) license (https://creativecommons.org/licenses/by/4.0/).
Share and Cite
Li, Z.; Li, X.; He, F. Drip Irrigation Depth Alters Root Morphology and Architecture and Cold Resistance of Alfalfa. Agronomy 2022, 12, 2192. https://doi.org/10.3390/agronomy12092192
Li Z, Li X, He F. Drip Irrigation Depth Alters Root Morphology and Architecture and Cold Resistance of Alfalfa. Agronomy. 2022; 12(9):2192. https://doi.org/10.3390/agronomy12092192
Chicago/Turabian StyleLi, Zhensong, Xianglin Li, and Feng He. 2022. "Drip Irrigation Depth Alters Root Morphology and Architecture and Cold Resistance of Alfalfa" Agronomy 12, no. 9: 2192. https://doi.org/10.3390/agronomy12092192
APA StyleLi, Z., Li, X., & He, F. (2022). Drip Irrigation Depth Alters Root Morphology and Architecture and Cold Resistance of Alfalfa. Agronomy, 12(9), 2192. https://doi.org/10.3390/agronomy12092192
