Effects of α-Naphthylacetic Acid on Cadmium Stress and Related Factors of Tomato by Regulation of Gene Expression
Abstract
1. Introduction
2. Materials and Methods
2.1. Materials
2.2. Treatments
2.3. Distribution of Auxin in the Plant and Determination of Growth
2.4. Determination of MDA, Proline and H2O2Content, Superoxide Anion Production Rate, and Antioxidant Enzyme Activity
2.5. Determination of Cd Content and Transport Coefficient
2.6. RNA-Seq Transcriptome Analysis
2.7. qRT-PCR Analysis
2.8. Statistical Analysis
3. Results
3.1. Auxin Distribution and Growth of Tomato Plants under Cd Stress
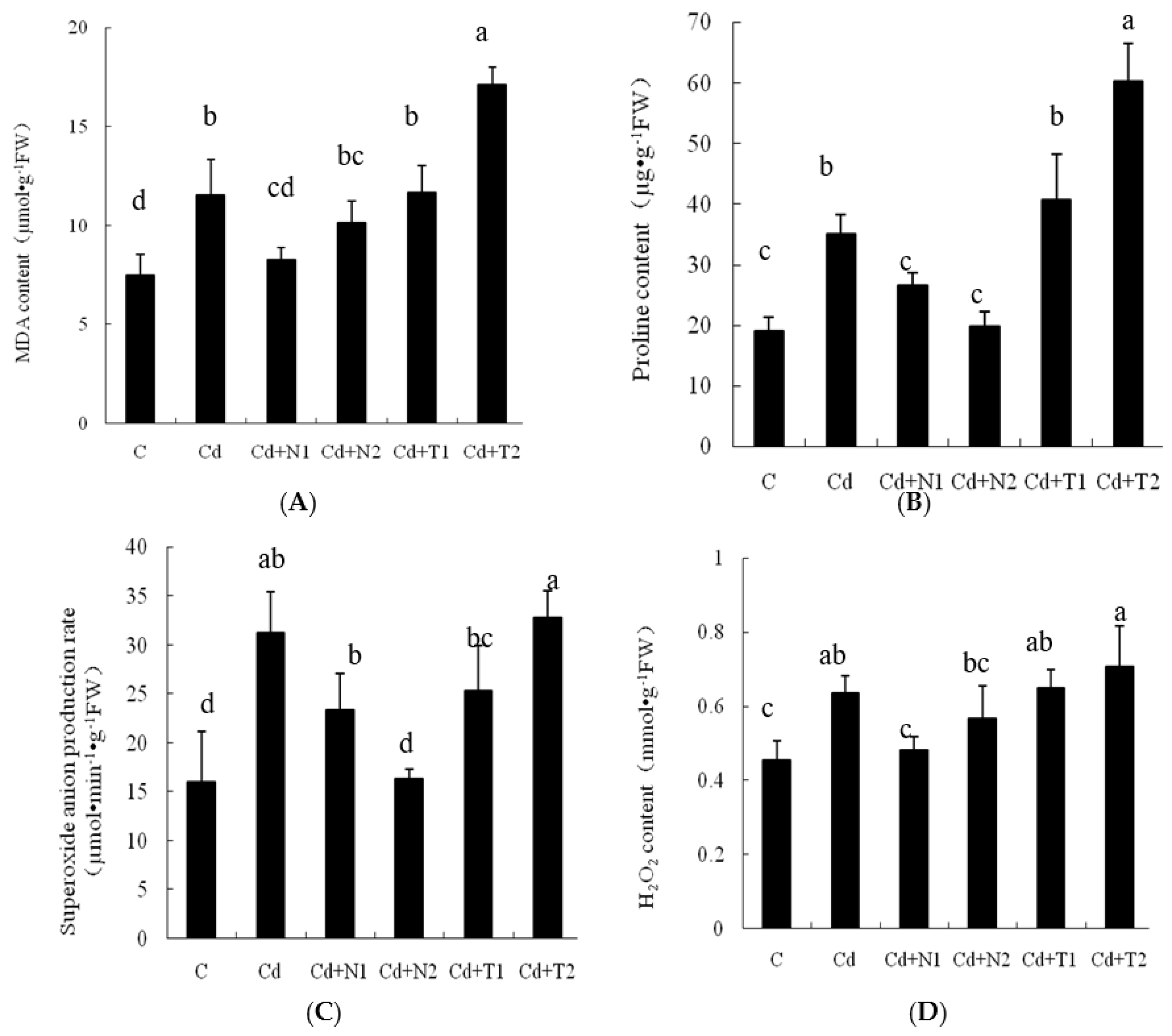
3.2. MDA and Proline Contents, O2− Production Rate, and H2O2Content of Tomato Plants under Cd Stress
3.3. Antioxidant Enzyme Activities of Tomato Plants under Cd Stress
3.4. Cd Absorption and Translocation in Tomato Plants under Cd Stress
3.5. RNA-Sequencing Analysis
3.6. Analysis of Differential Expression Patterns
3.7. GO and KEGG Analyses of DEGs Responsive to NAA Treatment
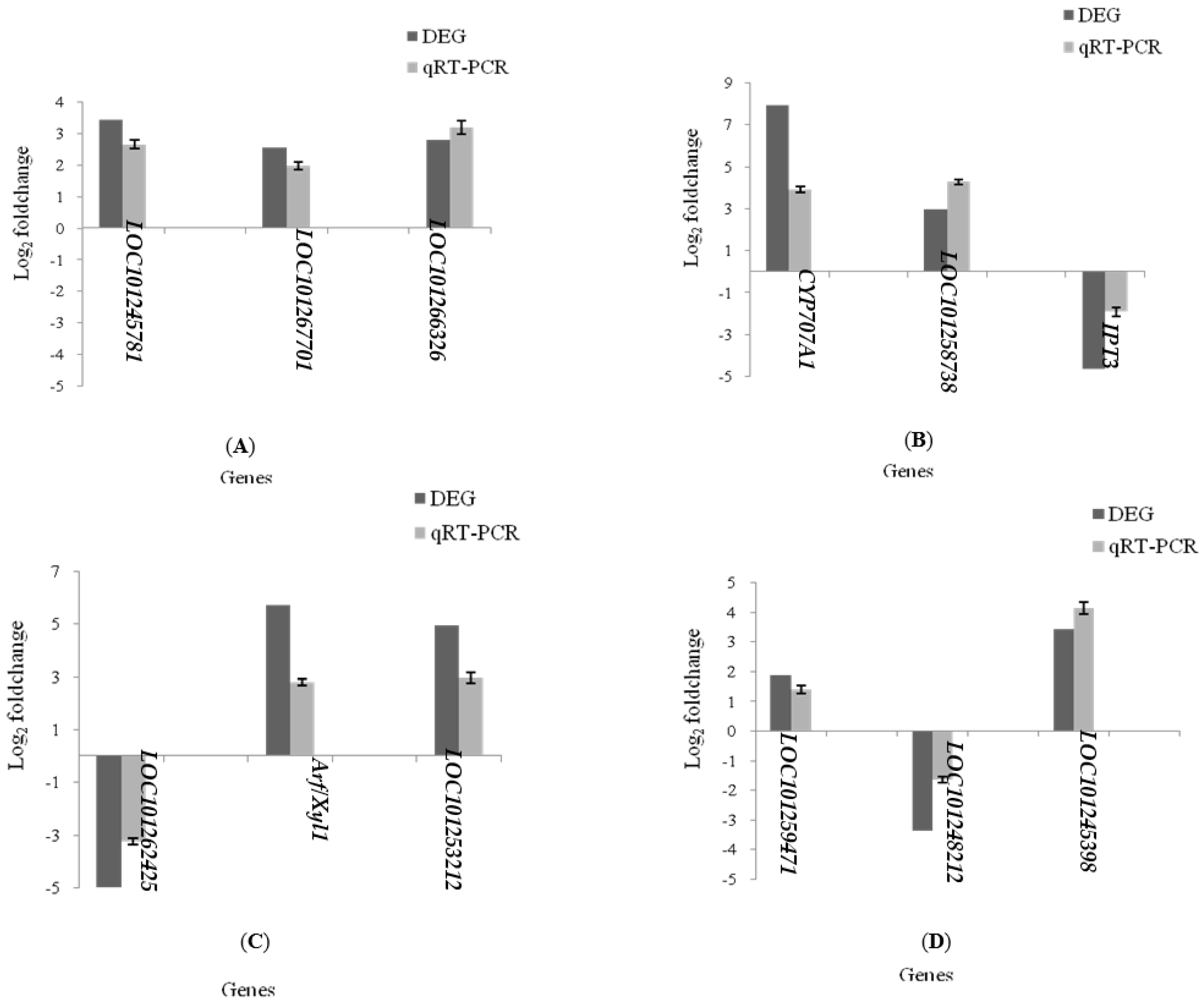
3.8. Verification of Selected DEGs by Quantitative Real-Time PCR
4. Discussion
5. Conclusions
Supplementary Materials
Author Contributions
Funding
Institutional Review Board Statement
Informed Consent Statement
Data Availability Statement
Conflicts of Interest
References
- Zhang, X.-Y.; Chen, D.-M.; Zhong, T.-Y.; Zhang, X.-M.; Cheng, M.; Li, X.H. Assessment of cadmium (Cd2+) concentration in arable soil in China. Environ. Sci. Pollut. R. 2015, 22, 4932–4941. [Google Scholar] [CrossRef]
- Nakamura, S.; Suzui, N.; Nagasaka, T.; Komatsu, F.; Shioka, N.S.; Ito-Tanabata, S.; Kawachi, N.; Rai, H.; Chino, M.; Fujimaki, S. Application of glutathione to roots selectively inhibits cadmium transport from roots to shoots in oilseed rape. J. Exp. Bot. 2013, 64, 1073–1081. [Google Scholar] [CrossRef] [PubMed]
- Dong, J.; Wu, F.-B.; Zhang, G.-P. Influence of cadmium on antioxidant capacity and four microelement concentrations in tomato plants (Lycopersicon esculentum). Chemosphere 2006, 64, 1659–1666. [Google Scholar] [CrossRef] [PubMed]
- Zhang, G.-P.; Fukami, M.; Sekimoto, H. Influence of cadmium on mineral concentrations and yield components in wheat genotypes differing in Cd tolerance at seedling stage. Field Crop. Res. 2002, 77, 93–98. [Google Scholar] [CrossRef]
- Hu, M.-M.; Dou, Q.-H.; Cui, X.-M.; Lou, Y.-H.; Zhuge, Y.-P. Polyaspartic acid mediates the absorption and translocation of mineral elements in tomato plants under combined copper and Cd stress. J. Integr. Agr. 2019, 18, 1130–1137. [Google Scholar] [CrossRef]
- Al-Khateeb, W.; Al-Qwasemeh, H. Cadmium, copper and zinc toxicity effects on growth, proline content and genetic stability of Solanum nigrum L., a crop wild relative for tomato, comparative study. Physiol. Mol. Bio. Plants 2014, 20, 31–39. [Google Scholar] [CrossRef]
- Borges, K.L.R.; Hippler, F.; Carvalho, M.E.A.; Nalin, R. Nutritional status and root morphology of tomato under Cd-induced stress: Comparing contrasting genotypes for metal-tolerance. Sci. Hortic. 2018, 246, 518–527. [Google Scholar] [CrossRef]
- Piotto, F.A.; Carvalho, M.E.A.; Souza, L.A.; Rabêlo, F.H.S.; Franco, M.R.; Batagin-Piotto, K.D. Estimating tomato tolerance to heavy metal toxicity: Cadmium as study case. Environ. Sci. Pollut. Res. 2018, 25, 27535–27544. [Google Scholar] [CrossRef]
- Nogueirol, R.C.; Monteiro, F.A.; Junior, J.C.S.; Azevedo, R.A. NO3−/NH4+ proportions affect cadmium bioaccumulation and tolerance of tomato. Environ. Sci. Pollut. Res. 2018, 25, 13916–13928. [Google Scholar] [CrossRef] [PubMed]
- Wang, Y.-J.; Dong, Y.-X.; Wang, J.; Cui, X.-M. Alleviating effects of exogenous NO on tomato plants under combined Cu and Cd stress. Environ. Sci. Pollut. Res. 2016, 23, 4826–4836. [Google Scholar] [CrossRef]
- Hasan, M.K.; Liu, C.; Wang, F.; Ahammed, G.J.; Zhou, J.; Xu, M.-K.; Yu, J.-Q.; Xia, X.-J. Glutathione-mediated regulation of nitric oxide; Snitrosothiol and redox homeostasis confers cadmium tolerance by inducing transcription factors and stress response genes in tomato. Chemosphere 2016, 161, 536–545. [Google Scholar] [CrossRef] [PubMed]
- Alves, L.R.; Monteiro, C.C.; Carvalho, R.F.; Ribeiro, P.C.; Tezotto, T.; Azevedo, R.A.; Gratão, P.L. Cd stress related to root-to-shoot communication depends on ethylene and auxin in tomato plants. Environ. Exp. Bot. 2017, 134, 102–115. [Google Scholar] [CrossRef]
- Orosa-Puente, B.; Leftley, N.; Wangenheim, D.V. Root branching toward water involves posttranslational modification of transcription factor ARF7. Science 2018, 362, 1407–1410. [Google Scholar] [CrossRef] [PubMed]
- Lavenus, J.; Goh, T.; Roberts, I.; Guyomarc’h, S.; Lucas, M.; Smet, I.D.; Fukaki, H.; Beeckman, T.; Bennett, M.; Laplaze, L. Lateral root development in Arabidopsis: Fifty shades of auxin. Trends Plant Sci. 2013, 18, 450–458. [Google Scholar] [CrossRef] [PubMed]
- Zheng, Z.-Y.; Guo, Y.-X.; Novák, O.; Chen, W.; Ljung, K.; Noel, J.P.; Chory, J. Local auxin metabolism regulates environment induced hypocotyl elongation. Nat. Plants 2016, 2, 16025. [Google Scholar] [CrossRef]
- Spartz, A.K.; Ren, H.; Park, M.Y.; Grandt, K.N.; Lee, S.H.; Murphy, A.S.; Sussman, M.R.; Overvoorde, P.J.; Gray, W.M. SAUR inhibition of PP2C-D phosphatases activates plasma membrane H+-ATPases to promote cell expansion in Arabidopsis. Plant Cell 2014, 26, 2129–2142. [Google Scholar] [CrossRef]
- Krishnamurthy, A.; Rathinasabapathi, B. Auxin and its transport play a role in plant tolerance to arsenite-induced oxidative stress in Arabidopsis thaliana. Plant Cell Environ. 2013, 36, 1838–1849. [Google Scholar] [CrossRef]
- Yue, R.-Q.; Tie, S.-G.; Sun, T.; Zhang, L.; Yang, Y.-J.; Qi, J.-S.; Yan, S.-F.; Han, X.-H.; Wang, H.-J.; Shen, C.-J. Genome-wide identification and expression profiling analysis of ZmPIN.; ZmPIL.; ZmLAX and ZmABCB auxin transporter gene families in maize (Zea mays L.) under various abiotic stresses. PLoS ONE 2015, 10, 1–23. [Google Scholar]
- Huang, X.; Bao, Y.-N.; Wang, B.; Liu, L.-J.; Chen, J.; Dai, L.-J.; Peng, D.-X. Identification and expression of Aux/IAA.; ARF; and LBD family transcription factors in Boehmeria nivea. Biologia Plant. 2016, 60, 244–250. [Google Scholar] [CrossRef]
- Guo, Y.; Xu, C.-B.; Sun, X.-J.; Hu, Z.; Fan, S.-J.; Jiang, Q.-Y.; Zhang, H. TaSAUR78 enhances plant multiple abiotic stress tolerance by regulating the interacting gene TaVDAC1. J. Integr. Agric. 2019, 18, 2682–2690. [Google Scholar] [CrossRef]
- Shani, E.; Salehin, M.; Zhang, Y.-Q.; Sanchez, S.E.; Doherty, C.; Wang, R.; Mangado, C.C.; Song, L.; Tal, I.; Pisanty, O.; et al. Plant stress tolerance requires auxin-sensitive Aux/IAA transcriptional repressors. Curr. Biol. 2017, 27, 437–444. [Google Scholar] [CrossRef] [PubMed]
- Mazzucato, A.; Olimpieri, I.; Rossi, M.; Caccia, R.; Soressi, G.P. A new reporter construct to monitor IAA dynamics during tomato development. TGC Rep. 2006, 56, 26–28. [Google Scholar]
- Jiang, C.-Y.; Johkan, M.; Hohjo, M.; Tsukagoshi, S.; Maruo, T. A correlation analysis on chlorophyll content and SPAD value in tomato leaves. HortResearch 2017, 71, 37–42. [Google Scholar]
- Fu, J.; Huang, B. Involvement of antioxidants and lipid peroxidant in the adaptation of two cool season grasses to localized drought stress. Environ Exp. Bot. 2001, 45, 105–114. [Google Scholar] [CrossRef]
- Bates, L.S.; Waldren, R.P.; Teare, I.D. Rapid determination of free proline for water-stress studies. Plant Soil 1973, 39, 205–207. [Google Scholar] [CrossRef]
- Elstner, E.F.; Heupal, A. Inhibition of nitrite formation from hydroxyl ammonium chloride: A simple assay for superoxide dismutase. Anal. Biochem. 1976, 70, 616–620. [Google Scholar] [CrossRef]
- BeyerJr, W.F.; Fridovich, I. Assaying for superoxide dismutase activity: Some large consequences of minor changes in conditions. Anal. Biochem. 1987, 161, 559–566. [Google Scholar] [CrossRef]
- Chance, B.; Maehly, A.C. Assay of catalase and peroxidase. Method Enzymol. 1955, 2, 764–775. [Google Scholar]
- Rezapour, S.; Atashpaza, B.; Moghaddam, S.S.; Kalavrouziotis, I.K.; Damalasd, C.A. Cadmium accumulation, translocation factor, and health risk potential in a wastewater-irrigated soil-wheat (Triticum aestivum L.) system. Chemosphere 2019, 231, 579–587. [Google Scholar] [CrossRef]
- Zhou, R.; Yu, X.-Q.; Zhao, T.-M.; Ottosen, C.; Rosenqvist, E.; Wu, Z. Physiological analysis and transcriptome sequencing reveal the effects of combined cold and drought on tomato leaf. BMC Plant Biol. 2019, 19, 377. [Google Scholar] [CrossRef]
- Trapnell, C.; Roberts, A.; Goff, L.; Pertea, G.; Kim, D.; Kelley, D.R.; Pimentel, H.; Salzberg, S.L.; Rinn, J.L.; Pachter, L. Differential gene and transcript expression analysis of RNA-seq experiments with TopHat and Cufflinks. Nat. Protoc. 2012, 7, 562–578. [Google Scholar] [CrossRef] [PubMed]
- Jain, M.; Nijhawan, A.; Tyagi, A.K.; Khurana, J.P. Validation of housekeeping genes as internal control for studying gene expression in rice by quantitative real-time PCR. Biochem. Biophys. Res. Commun. 2006, 345, 646–651. [Google Scholar] [CrossRef] [PubMed]
- Pál, M.; Janda, T.; Szalai, G. Interactions between plant hormones and thiol-related heavy metal chelators. Plant Growth Regul. 2018, 85, 173–185. [Google Scholar] [CrossRef]
- Elobeid, M.; Göbel, C.; Feussner, I.; Polle, A. Cadmium interferes with auxin physiology and lignification in poplar. J. Exp. Bot. 2012, 63, 1413–1421. [Google Scholar] [CrossRef]
- Hu, Y.-F.; Zhou, G.-Y.; Na, X.-F.; Yang, L.-J.; Nan, W.-B.; Liu, X.; Zhang, Y.-Q.; Li, J.-L.; Bi, Y.-R. Cadmium interferes with maintenance of auxin homeostasis in Arabidopsis plants. J. Plant Physiol. 2013, 170, 965–975. [Google Scholar] [CrossRef]
- Fattorini, L.; Ronzan, M.; Piacentini, D.; Della, R.F.; Della Rovere, F.; De virgilio, C.; Sofo, A.; Altamura, M.M.; Falasca, G. Cadmium and arsenic affect quiescent centre formation and maintenance in Arabidopsis thaliana post-embryonic roots disrupting auxin biosynthesis and transport. Environ. Exp. Bot. 2017, 144, 37–48. [Google Scholar] [CrossRef]
- Yu, C.-L.; Sun, C.-D.; Shen, C.-J.; Wang, S.-K.; Liu, F.; Liu, Y.; Chen, Y.-L.; Li, C.-Y.; Qian, Q.; Aryal, B.; et al. The auxin transporter, OsAUX1, is involved in primary root and root hair elongation and in Cd stress responses in rice (Oryza sativa L.). Plant J. 2015, 83, 818–830. [Google Scholar] [CrossRef]
- Zhou, C.; Zhu, L.; Ma, Z.-Y.; Wang, J.-F. Bacillus amyloliquefaciens SAY09 Increases cadmium resistance in plants by activation of auxin–mediated signaling pathways. Genes 2017, 8, 173. [Google Scholar] [CrossRef]
- Zhu, X.-F.; Wang, Z.-W.; Dong, F.; Lei, G.-J.; Shi, Y.-Z.; Li, G.-X.; Zheng, S.-J. Exogenous auxin alleviates cadmium toxicity in Arabidopsis thaliana; by stimulating synthesis of hemicellulose 1 and increasing the cadmium fixation capacity of root cell walls. J. Hazard. Mater. 2013, 263, 398–403. [Google Scholar] [CrossRef]
- Li, M.-Q.; Hasan, M.K.; Li, C.-X.; Ahammed, G.J.; Xia, X.-J.; Shi, K.; Zhou, Y.-H.; Reiter, R.J.; Yu, J.-Q.; Xu, M.-X.; et al. Melatonin mediates selenium-induced tolerance to Cd stress in tomato plants. J. Pineal Res. 2016, 61, 291–302. [Google Scholar] [CrossRef]
- Hasan, M.K.; Ahammed, G.J.; Yin, L.-L.; Shi, K.; Xia, X.-J.; Zhou, Y.-H.; Yu, J.-Q.; Zhou, J. Melatonin mitigates cadmium phytotoxicity through modulation of phytochelatins biosynthesis; vacuolar sequestration; and antioxidant potential in Solanum lycopersicum L. Front. Plant Sci. 2015, 6, 601. [Google Scholar] [CrossRef] [PubMed]
- Bruno, L.; Pacenza, M.; Forgione, L.; Lamerton, L.R.; Greco, M.; Chiappetta, A.; Bitonti, M.B. In Arabidopsis thaliana cadmium impact on the growth of primary root by altering SCR expression and auxin-cytokinin cross-talk. Front. Plant Sci. 2017, 8, 1323. [Google Scholar] [CrossRef] [PubMed]
- Nakamura, M.; Ochiai, T.; Noji, M.; Ogura, Y.; Suzuki, K.T.; Yoshimoto, N.; Yamazaki, M.; Saito, K. An improved tolerance to cadmium by overexpression of two genes for cysteine synthesis in tobacco. Plant Biotechnol. 2013, 31, 141–147. [Google Scholar] [CrossRef][Green Version]
- Manara, A.; Fasani, E.; Molesini, B.; DalCorso, G.; Pennisi, F.; Pandolfini, T.; Furini, A. The tomato metallocarboxypeptidase inhibitor i, which interacts with a heavy metal-associated isoprenylated protein, is implicated in plant response to cadmium. Molecules 2020, 25, 700. [Google Scholar] [CrossRef]
- Kondo, S.; Suggaya, S.; Suggawa, S.; Ninomiya, M.; Kittikorn, M.; Okawa, K.; Ohara, H.; Ueno, K.; Todoroki, Y.; Mizutani, M.; et al. Dehydration tolerance in apple seedlings is affected by an inhibitor of ABA 8’-hydroxylase CYP707A. J. Plant Physiol. 2012, 169, 234–241. [Google Scholar] [CrossRef]
- Žižková, E.; Dobrev, P.-I.; Muhovski, Y.; Hošek, P.; Hoyerová, K.; Haisel, D.; Procházková, D.; Lutts, S.; Motyka, V.; Hichri, I. Tomato (Solanum lycopersicum L.) SlIPT3 and SlIPT4 isopentenyltransferases mediate salt stress response in tomato. BMC Plant Biol. 2015, 15, 85. [Google Scholar] [CrossRef]







| Treatments | Plant Heigh (cm) | Stem Diameter (mm) | Main Root Length (cm) | SPAD Value |
|---|---|---|---|---|
| C | 22.73 ± 0.40 a | 4.12 ± 0.16 a | 32.60 ± 0.87 a | 40.07 ± 0.83 a |
| Cd | 18.80 ± 0.26 b | 3.03 ± 0.03 bc | 28.80 ± 1.08 b | 29.27 ± 1.33 c |
| Cd + N1 | 21.33 ± 1.15 a | 3.19 ± 0.07 b | 33.10 ± 1.05 a | 33.73 ± 1.04 b |
| Cd + N2 | 22.47 ± 1.29 a | 4.10 ± 0.06 a | 26.80 ± 3.48 bc | 36.13 ± 2.60 b |
| Cd + T1 | 17.50 ± 0.50 b | 3.06 ± 0.04 bc | 24.13 ± 2.50 c | 25.67 ± 1.53 d |
| Cd + T2 | 15.90 ± 0.66 c | 2.95 ± 0.19 c | 24.60 ± 1.42 c | 22.60 ± 1.18 e |
| Treatments | Fresh Weight (g) | Dry Weight (mg) | ||
|---|---|---|---|---|
| Shoots | Roots | Shoots | Roots | |
| C | 5.20 ± 0.27 a | 0.80 ± 0.03 a | 440 ± 17 a | 44.60 ± 3.27 a |
| Cd | 3.58 ± 0.16 c | 0.54 ± 0.02 c | 299 ± 6 c | 36.07 ± 2.58 bc |
| Cd + N1 | 4.35 ± 0.12 b | 0.64 ± 0.05 b | 364 ± 34 b | 43.23 ± 5.29 a |
| Cd + N2 | 4.78 ± 0.30 ab | 0.56 ± 0.04 c | 429 ± 23 a | 40.30 ± 1.31 ab |
| Cd + T1 | 3.41 ± 0.43 c | 0.44 ± 0.03 d | 300 ± 14 c | 32.43 ± 2.28 cd |
| Cd + T2 | 3.10 ± 0.14 c | 0.34 ± 0.04 e | 257 ± 18 d | 29.90 ± 1.21 d |
| Treatments | SOD Activity (Umin−1g−1FW) | POD Activity (Umin−1g−1FW) | CAT Activity (Umin−1g−1FW) |
|---|---|---|---|
| C | 3.8 ± 0.06 cd | 23.3 ± 4.86 d | 27.0 ± 2.62 c |
| Cd | 4.6 ± 0.24 bc | 38.3 ± 1.56 c | 36.6 ± 3.60 b |
| Cd + N1 | 5.8 ± 0.38 a | 53.8 ± 5.62 ab | 42.8 ± 5.96 ab |
| Cd + N2 | 4.8 ± 0.63 b | 64.1 ± 10.88 a | 46.7 ± 2.13 a |
| Cd + T1 | 3.7 ± 0.63 d | 38.0 ± 9.81 c | 27.6 ± 2.34 c |
| Cd + T2 | 3.6 ± 0.49 d | 43.3 ± 8.67 bc | 24.1 ± 4.37 c |
Publisher’s Note: MDPI stays neutral with regard to jurisdictional claims in published maps and institutional affiliations. |
© 2022 by the authors. Licensee MDPI, Basel, Switzerland. This article is an open access article distributed under the terms and conditions of the Creative Commons Attribution (CC BY) license (https://creativecommons.org/licenses/by/4.0/).
Share and Cite
Guan, X.; Sui, C.; Luo, K.; Chen, Z.; Feng, C.; Dong, X.; Zeng, B.; Dong, X.; Liu, X. Effects of α-Naphthylacetic Acid on Cadmium Stress and Related Factors of Tomato by Regulation of Gene Expression. Agronomy 2022, 12, 2141. https://doi.org/10.3390/agronomy12092141
Guan X, Sui C, Luo K, Chen Z, Feng C, Dong X, Zeng B, Dong X, Liu X. Effects of α-Naphthylacetic Acid on Cadmium Stress and Related Factors of Tomato by Regulation of Gene Expression. Agronomy. 2022; 12(9):2141. https://doi.org/10.3390/agronomy12092141
Chicago/Turabian StyleGuan, Xiaoxi, Changling Sui, Kecui Luo, Zhifeng Chen, Chaoyang Feng, Xiufen Dong, Boping Zeng, Xian Dong, and Xiaofang Liu. 2022. "Effects of α-Naphthylacetic Acid on Cadmium Stress and Related Factors of Tomato by Regulation of Gene Expression" Agronomy 12, no. 9: 2141. https://doi.org/10.3390/agronomy12092141
APA StyleGuan, X., Sui, C., Luo, K., Chen, Z., Feng, C., Dong, X., Zeng, B., Dong, X., & Liu, X. (2022). Effects of α-Naphthylacetic Acid on Cadmium Stress and Related Factors of Tomato by Regulation of Gene Expression. Agronomy, 12(9), 2141. https://doi.org/10.3390/agronomy12092141

