Tillage and Urea Fertilizer Application Impacts on Soil C Fractions and Sequestration
Abstract
1. Introduction
2. Material and Methods
2.1. Study Site and Sampling Procedure
2.2. Laboratory Analyses
2.3. Statistical Analyses
3. Results
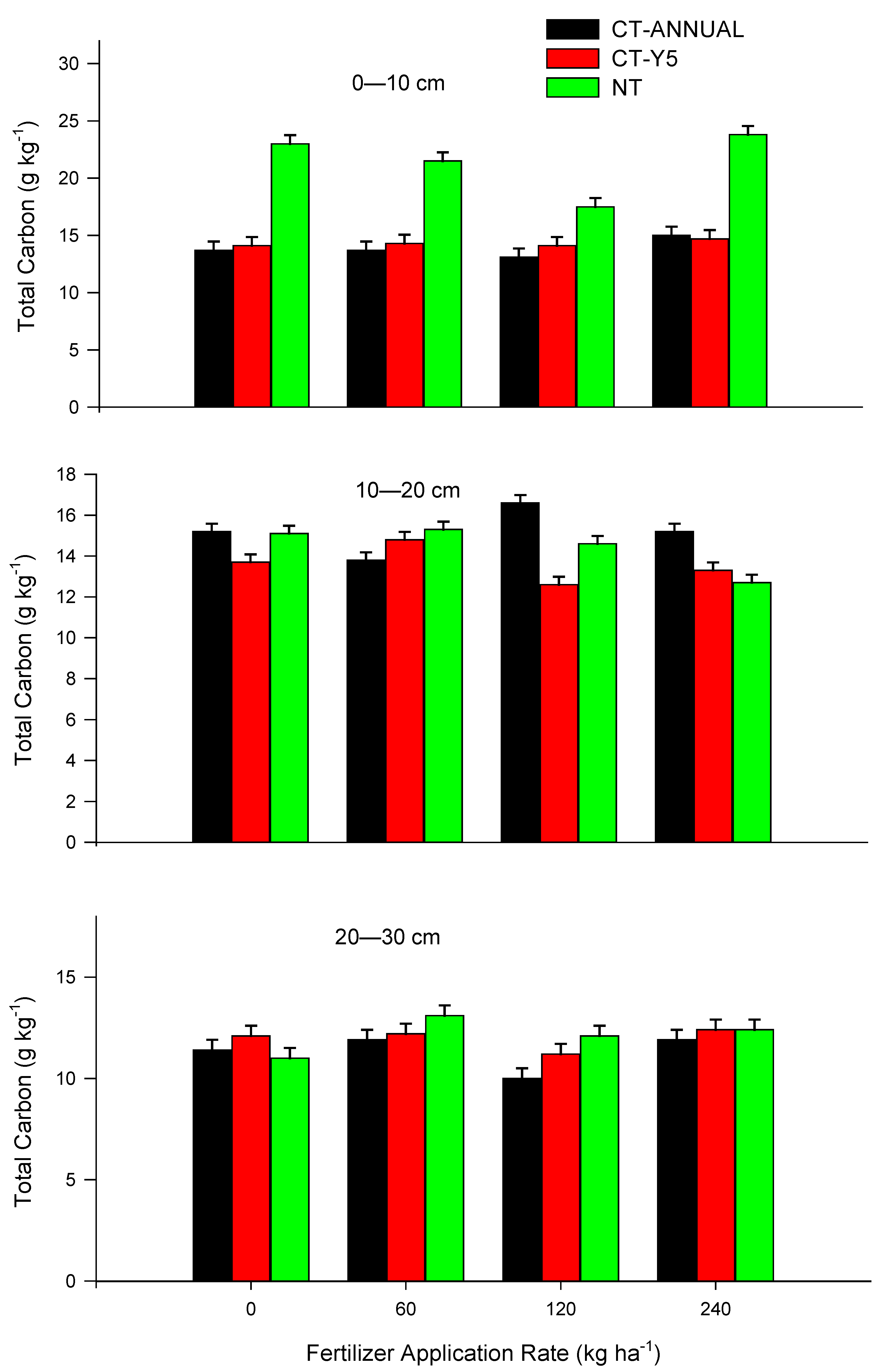
3.1. Soil Total C
3.2. Organic C Variation in Different Treatments
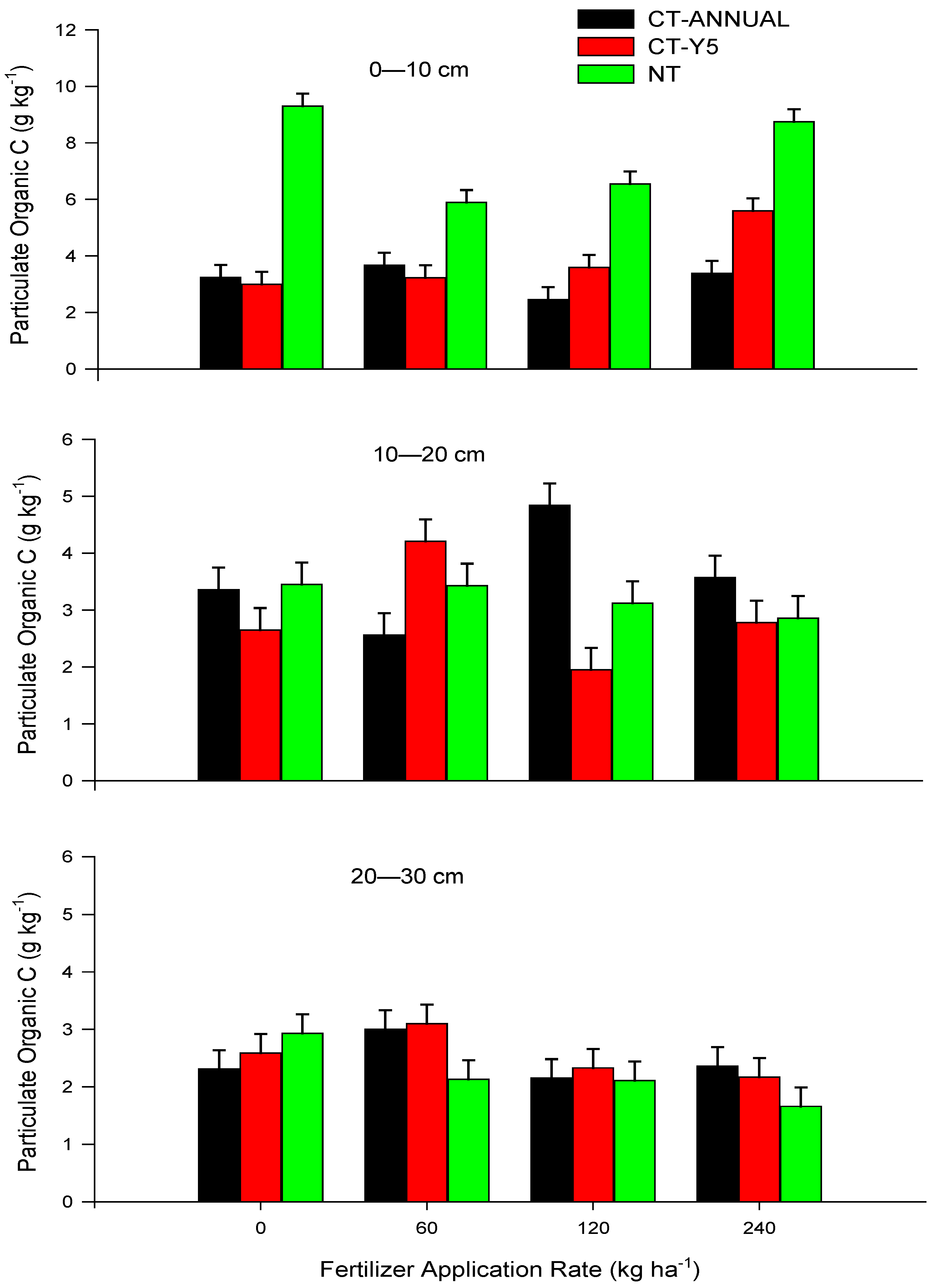
3.3. POC Variations in Different Treatments
3.4. POxC on Different Tillage and N Rates
3.5. Microbial Biomass Carbon (MBC) Variations
3.6. Microbial Quotient (qMic) Variations
4. Discussion
5. Conclusions
Author Contributions
Funding
Acknowledgments
Conflicts of Interest
References
- Johnson, M.G.; Kern, J.S.; Lammers, D.A.; Lee, J.J.; Liegel, L.H. Sequestering Carbon in Soils: A Workshop to Explore the Potential for Mitigating Global Climate Change. Held in Corvallis, Oregon on February 26–28, 1990; ManTech Environmental Technology, Inc.: Corvallis, OR, USA, 1991. [Google Scholar]
- Blanco-Canqui, H.; Lal, R. No-tillage and soil-profile carbon sequestration: An on-farm assessment. Soil Sci. Soc. Am. J. 2008, 72, 693–701. [Google Scholar] [CrossRef]
- Lal, R. Soil carbon sequestration to mitigate climate change. Geoderma 2004, 123, 1–22. [Google Scholar] [CrossRef]
- Chenu, C.; Angers, D.A.; Barré, P.; Derrien, D.; Arrouays, D.; Balesdent, J. Increasing organic stocks in agricultural soils: Knowledge gaps and potential innovations. Soil Tillage Res. 2019, 188, 41–52. [Google Scholar] [CrossRef]
- Aguilera, E.; Lassaletta, L.; Gattinger, A.; Gimeno, B.S. Managing soil carbon for climate change mitigation and adaptation in Mediterranean cropping systems: A meta-analysis. Agric. Ecosyst. Environ. 2013, 168, 25–36. [Google Scholar] [CrossRef]
- Dimassi, B.; Mary, B.; Wylleman, R.; Labreuche, J.; Couture, D.; Piraux, F.; Cohan, J.P. Long-term effect of contrasted tillage and crop management on soil carbon dynamics during 41 years. Agric. Ecosyst. Environ. 2014, 188, 134–146. [Google Scholar] [CrossRef]
- Helgason, B.L.; Gregorich, E.G.; Janzen, H.H.; Ellert, B.H.; Lorenz, N.; Dick, R.P. Long-term microbial retention of residue C is site-specific and depends on residue placement. Soil Biol. Biochem. 2014, 68, 231–240. [Google Scholar] [CrossRef]
- Kern, J.S.; Johnson, M.G. Conservation tillage impacts on national soil and atmospheric carbon levels. Soil Sci. Soc. Am. J. 1993, 57, 200–210. [Google Scholar] [CrossRef]
- Magdoff, F.; Weil, R.R. Soil organic matter management strategies. In Soil Organic Matter in Sustainable Agriculture; CRC Press: Boca Raton, FL, USA, 2004; pp. 45–65. [Google Scholar]
- Gunapala, N.; Scow, K.M. Dynamics of soil microbial biomass and activity in conventional and organic farming systems. Soil Biol. Biochem. 1998, 30, 805–816. [Google Scholar] [CrossRef]
- Skjemstad, J.O.; Swift, R.S.; McGowan, J.A. Comparison of the particulate organic carbon and permanganate oxidation methods for estimating labile soil organic carbon. Soil Res. 2006, 44, 255–263. [Google Scholar] [CrossRef]
- World Reference Base for Soil Resources. International Soil Classification System for Naming Soils and Creating Legends for Soil Maps; Food and Agriculture Organization of the United Nations: Rome, Italy, 2014. [Google Scholar]
- Vilakazi, B.S. Indigenous Knowledge Systems Available to Physico-Chemical Properties on Selected Smallholder Farms of KwaZulu-Natal. Master’s Thesis, Soil Science School of Agricultural, Earth and Environmental Sciences, University of KwaZulu Natal, Pietermaritzburg, South Africa, 2017. [Google Scholar]
- LECO Corporation. TruMac CNS/NS Determinators; LECO Corporation: St Joseph, MI, USA, 2012. [Google Scholar]
- Van Reeuwijk, L.P. Procedures for Soil Analysis; Soil Reference and Information Centre (ISRIC): Wageningen, The Netherlands, 2002. [Google Scholar]
- Elliott, E.T.; Palm, C.A.; Reuss, D.E.; Monz, C.A. Organic matter contained in soil aggregates from a tropical chronosequence: Correction for sand and light fraction. Agric. Ecosyst. Environ. 1991, 34, 443–451. [Google Scholar] [CrossRef]
- Weil, R.R.; Islam, K.R.; Stine, M.A.; Gruver, J.B.; Samson-Liebig, S.E. Estimating active carbon for soil quality assessment: A simplified method for laboratory and field use. Am. J. Altern. Agric. 2003, 18, 3–17. [Google Scholar]
- Alef, K.; Nannipieri, P. Methods in Applied Soil Microbiology and Biochemistry; Academic Press: Cambridge, MA, USA, 1995. [Google Scholar]
- Makova, J.; JavorekovÁ, S.; Medo, J.; Majerčíková, K. Characteristics of microbial biomass carbon and respiration activities in arable soil and pasture grassland soil. J. Cent. Eur. Agric. 2011, 12, 745–758. [Google Scholar] [CrossRef][Green Version]
- VSN International. Genstat for Windows; VSN International: Hemel Hempstead, UK, 2011. [Google Scholar]
- Govers, G.V.; Van Oost, K.; Poesen, J. Responses of a semi-arid landscape to human disturbance: A simulation study of the interaction between rock fragment cover, soil erosion and land use change. Geoderma 2006, 133, 19–31. [Google Scholar] [CrossRef]
- Benbi, D.K.; Brar, K.; Toor, A.S.; Singh, P. Total and labile pools of soil organic carbon in cultivated and undisturbed soils in northern India. Geoderma 2015, 237, 149–158. [Google Scholar] [CrossRef]
- Gong, W.; Yan, X.Y.; Wang, J.Y.; Hu, T.X.; Gong, Y.B. Long-term manuring and fertilization effects on soil organic carbon pools under a wheat–maize cropping system in North China Plain. Plant Soil 2009, 314, 67–76. [Google Scholar] [CrossRef]
- Mrabet, R.; Saber, N.; El-Brahli, A.; Lahlou, S.; Bessam, F. Total, particulate organic matter and structural stability of a Calcixeroll soil under different wheat rotations and tillage systems in a semiarid area of Morocco. Soil Tillage Res. 2001, 57, 225–235. [Google Scholar] [CrossRef]
- Halvorson, A.D.; Peterson, G.A.; Reule, C.A. Tillage system and crop rotation effects on dryland crop yields and soil carbon in the central Great Plains. Agron. J. 2002, 94, 1429–1436. [Google Scholar] [CrossRef]
- Baker, J.M.; Ochsner, T.E.; Venterea, R.T.; Griffis, T.J. Tillage and soil carbon sequestration—What do we really know? Agric. Ecosyst. Environ. 2007, 118, 1–5. [Google Scholar] [CrossRef]
- Yang, X.M.; Drury, C.F.; Wander, M.M.; Kay, B.D. Evaluating the effect of tillage on carbon sequestration using the minimum detectable difference concept. Pedosphere 2008, 18, 421–430. [Google Scholar] [CrossRef]
- Six, J.; Elliott, E.T.; Paustian, K. Aggregate and soil organic matter dynamics under conventional and no-tillage systems. Soil Sci. Soc. Am. J. 1999, 63, 1350–1358. [Google Scholar] [CrossRef]
- Luo, Z.; Wang, E.; Sun, O.J. Can no-tillage stimulate carbon sequestration in agricultural soils? A meta-analysis of paired experiments. Agric. Ecosyst. Environ. 2010, 139, 224–231. [Google Scholar] [CrossRef]
- Deen, W.; Kataki, P.K. Carbon sequestration in a long-term conventional versus conservation tillage experiment. Soil Tillage Res. 2003, 74, 143–150. [Google Scholar] [CrossRef]
- Angers, D.A.; Bolinder, M.A.; Carter, M.R.; Gregorich, E.G.; Drury, C.F.; Liang, B.C.; Voroney, R.P.; Simard, R.R.; Donald, R.G.; Beyaert, R.P.; et al. Impact of tillage practices on organic carbon and nitrogen storage in cool, humid soils of eastern Canada. Soil Tillage Res. 1997, 41, 191–201. [Google Scholar] [CrossRef]
- Martínez, E.; Fuentes, J.P.; Silva, P.; Valle, S.; Acevedo, E. Soil physical properties and wheat root growth as affected by no-tillage and conventional tillage systems in a Mediterranean environment of Chile. Soil Tillage Res. 2008, 99, 232–244. [Google Scholar] [CrossRef]
- Cambardella, C.A.; Elliott, E.T. Particulate Soil Organic-Matter Changes across a Grassland Cultivation Sequence. Soil Sci. Soc. Am. J. 1992, 56, 777–783. [Google Scholar] [CrossRef]
- Tirol-Padre, A.; Ladha, J.K. Assessing the reliability of permanganate-oxidizable carbon as an index of soil labile carbon. Soil Sci. Soc. Am. J. 2004, 68, 969–978. [Google Scholar] [CrossRef]
- Plaza-Bonilla, D.; Álvaro-Fuentes, J.; Cantero-Martínez, C. Identifying soil organic carbon fractions sensitive to agricultural management practices. Soil Tillage Res. 2014, 139, 19–22. [Google Scholar] [CrossRef]
- Culman, S.W.; Snapp, S.S.; Freeman, M.A.; Schipanski, M.E.; Beniston, J.; Lal, R.; Drinkwater, L.E.; Franzluebbers, A.J.; Glover, J.D.; Grandy, A.S.; et al. Permanganate oxidizable carbon reflects a processed soil fraction that is sensitive to management. Soil Sci. Soc. Am. J. 2012, 76, 494–504. [Google Scholar] [CrossRef]
- Awale, R.; Chatterjee, A.; Franzen, D. Tillage and N-fertilizer influences on selected organic carbon fractions in a North Dakota silty clay soil. Soil Tillage Res. 2013, 134, 213–222. [Google Scholar] [CrossRef]
- Gregorich, E.G.; Monreal, C.M.; Schnitzer, M.; Schulten, H.R. Transformation of plant residues into soil organic matter: Chemical characterization of plant tissue, isolated soil fractions, and whole soils. Soil Sci. 1996, 161, 680–693. [Google Scholar] [CrossRef]
- Romero, C.M.; Engel, R.E.; D'Andrilli, J.; Chen, C.; Zabinski, C.; Miller, P.R.; Wallander, R. Patterns of change in permanganate oxidizable soil organic matter from semiarid drylands reflected by absorbance spectroscopy and Fourier transform ion cyclotron resonance mass spectrometry. Org. Geochem. 2018, 120, 19–30. [Google Scholar] [CrossRef]
- Hok, L.; de Moraes Sá, J.C.; Boulakia, S.; Reyes, M.; Leng, V.; Kong, R.; Tivet, F.E.; Briedis, C.; Hartman, D.; Ferreira, L.A.; et al. Short-term conservation agriculture and biomass-C input impacts on soil C dynamics in a savanna ecosystem in Cambodia. Agric. Ecosyst. Environ. 2015, 214, 54–67. [Google Scholar] [CrossRef]
- Carter, M.R.; Kunelius, H.T.; Angers, D.A. Soil structural form and stability, and organic matter under cool-season perennial grasses. Soil Sci. Soc. Am. J. 1994, 58, 1194–1199. [Google Scholar] [CrossRef]
- Chan, K.Y. Soil particulate organic carbon under different land use and management. Soil Use Manag. 2001, 17, 217–221. [Google Scholar] [CrossRef]
- Wander, M.M.; Bidart, M.G.; Aref, S. Tillage impacts on depth distribution of total and particulate organic matter in three Illinois soils. Soil Sci. Soc. Am. J. 1998, 62, 1704–1711. [Google Scholar] [CrossRef]
- Six, J.; Elliott, E.T.; Paustian, K.; Doran, J.W. Aggregation and soil organic matter accumulation in cultivated and native grassland soils. Soil Sci. Soc. Am. J. 1998, 62, 1367–1377. [Google Scholar] [CrossRef]
- Collins, H.P.; Rasmussen, P.E.; Douglas, C.L., Jr. Crop rotation and residue management effects on soil carbon and microbial dynamics. Soil Sci. Soc. Am. J. 1992, 56, 783–788. [Google Scholar] [CrossRef]
- Doran, J.W.; Elliott, E.T.; Paustian, K. Soil microbial activity, nitrogen cycling, and long-term changes in organic carbon pools as related to fallow tillage management. Soil Tillage Res. 1998, 49, 3–18. [Google Scholar] [CrossRef]
- Franzluebbers, A.J.; Stuedemann, J.A. Bermudagrass management in the southern piedmont USA. III. Particulate and biologically active soil carbon. Soil Sci. Soc. Am. J. 2003, 67, 132–138. [Google Scholar] [CrossRef]
- Yang, X.; Ren, W.; Sun, B.; Zhang, S. Effects of contrasting soil management regimes on total and labile soil organic carbon fractions in a loess soil in China. Geoderma 2012, 177, 49–56. [Google Scholar] [CrossRef]
- Badagliacca, G.; Romeo, M.; Lo Presti, E.; Gelsomino, A.; Monti, M. Factors Governing Total and Permanganate Oxidizable C Pools in Agricultural Soils from Southern Italy. Agriculture 2020, 10, 99. [Google Scholar] [CrossRef]
- Wang, F.; Weil, R.R.; Nan, X. Total and permanganate-oxidizable organic carbon in the corn rooting zone of US Coastal Plain soils as affected by forage radish cover crops and N fertilizer. Soil Tillage Res. 2017, 165, 247–257. [Google Scholar] [CrossRef]
- Andrén, O.; Lindberg, T.; Boström, U.; Clarholm, M.; Hansson, A.C.; Johansson, G.; Lagerlöf, J.; Paustian, K.; Persson, J.; Pettersson, R.; et al. Organic carbon and nitrogen flows. Ecol. Bull. 1990, 40, 85–126. [Google Scholar]
- Wang, Z.; Hoffmann, T.; Six, J.; Kaplan, J.O.; Govers, G.; Doetterl, S.; Van Oost, K. Human-induced erosion has offset one-third of carbon emissions from land cover change. Nat. Clim. Change 2017, 7, 345–349. [Google Scholar] [CrossRef]
- Wang, Q.; Wang, Y.; Wang, Q.; Liu, J. Impacts of 9 years of a new conservational agricultural management on soil organic carbon fractions. Soil Tillage Res. 2014, 143, 1–6. [Google Scholar] [CrossRef]
- Govaerts, B.; Mezzalama, M.; Unno, Y.; Sayre, K.D.; Luna-Guido, M.; Vanherck, K.; Dendooven, L.; Deckers, J. Influence of tillage, residue management, and crop rotation on soil microbial biomass and catabolic diversity. Appl. Soil Ecol. 2007, 37, 18–30. [Google Scholar] [CrossRef]
- Mi, W.; Wu, L.; Brookes, P.C.; Liu, Y.; Zhang, X.; Yang, X. Changes in soil organic carbon fractions under integrated management systems in a low-productivity paddy soil given different organic amendments and chemical fertilizers. Soil Tillage Res. 2016, 163, 64–70. [Google Scholar] [CrossRef]
- Shashidhar, K.R.; Narayanaswamy, T.K.; Bhaskar, R.N.; Jagadish, B.R.; Mahesh, M.; Krishna, K.S. Influence of organic based nutrients on soil health and mulberry (Morus indica L.) production. J. Biol. Sci. 2009, 1, 94–100. [Google Scholar]
- Chen, H.; Hou, R.; Gong, Y.; Li, H.; Fan, M.; Kuzyakov, Y. Effects of 11 years of conservation tillage on soil organic matter fractions in wheat monoculture in Loess Plateau of China. Soil Tillage Res. 2009, 106, 85–94. [Google Scholar] [CrossRef]
- Omay, A.B.; Rice, C.W.; Maddux, L.D.; Gordon, W.B. Changes in soil microbial and chemical properties under long-term crop rotation and fertilization. Soil Sci. Soc. Am. J. 1997, 61, 1672–1678. [Google Scholar] [CrossRef]
- Grego, S.; Marinari, S.; Moscatelli, M.C.; Badalucco, L. Effects of ammonium nitrate and stabilised farmyard manure on microbial biomass and metabolic quotient of soil under Zea Mays L. Agric. Mediterr. 1998, 128, 132–137. [Google Scholar]
- Kushwaha, C.P.; Tripathi, S.K.; Singh, K.P. Variations in soil microbial biomass and N availability due to residue and tillage management in a dryland rice agroecosystem. Soil Tillage Res. 2000, 56, 153–166. [Google Scholar] [CrossRef]
- Dou, F.; Wright, A.L.; Hons, F.M. Sensitivity of labile soil organic carbon to tillage in wheat-based cropping systems. Soil Sci. Soc. Am. J. 2008, 72, 1445–1453. [Google Scholar] [CrossRef]
- Balota, E.L.; Colozzi Filho, A.; Andrade, D.S.; Dick, R.P. Long-term tillage and crop rotation effects on microbial biomass and C and N mineralization in a Brazilian Oxisol. Soil Till. Res. 2004, 77, 137–145. [Google Scholar] [CrossRef]
- Franzluebbers, A.J.; Hons, F.M.; Zuberer, D.A. Tillage and crop effects on seasonal dynamics of soil CO2 evolution, water content, temperature, and bulk density. Appl. Soil Ecol. 1995, 2, 95–109. [Google Scholar] [CrossRef]
- Zhang, Y.; Wang, L.; Li, W.; Xu, H.; Shi, Y.; Sun, Y.; Cheng, X.; Chen, X.; Li, Y. Earthworms and phosphate-solubilizing bacteria enhance carbon accumulation in manure-amended soils. J. Soils Sediments 2017, 17, 220–228. [Google Scholar] [CrossRef]
- Wright, A.L.; Provin, T.L.; Hons, F.M.; Zuberer, D.A.; White, R.H. Dissolved organic carbon in soil from compost-amended bermudagrass turf. HortScience 2005, 40, 830–835. [Google Scholar] [CrossRef]
- Paustian, K.A.; Andren, O.; Janzen, H.H.; Lal, R.; Smith, P.; Tian, G.; Tiessen, H.; Van Noordwijk, M.; Woomer, P.L. Agricultural soils as a sink to mitigate CO2 emissions. Soil Use Manag. 1997, 13, 230–244. [Google Scholar] [CrossRef]
- Wright, A.L.; Hons, F.M. Soil aggregation and carbon and nitrogen storage under soybean cropping sequences. Soil Sci. Soc. Am. J. 2004, 68, 507–513. [Google Scholar] [CrossRef]
- Van Wesemael, B.; Chartin, C.; Wiesmeier, M.; von Lützow, M.; Hobley, E.; Carnol, M.; Krüger, I.; Campion, M.; Roisin, C.; Hennart, S.; et al. An indicator for organic matter dynamics in temperate agricultural soils. Agric. Ecosyst. Environ. 2019, 274, 62–75. [Google Scholar] [CrossRef]
- Anderson, T.-H.; Domsch, K.H. Application of eco-physiological quotients (qCO2 and qD) on microbial biomasses from soils of different cropping histories. Soil Biol. Biochem. 1990, 22, 251–255. [Google Scholar] [CrossRef]
- Jiang, M.; Griffin, W.M.; Hendrickson, C.; Jaramillo, P.; VanBriesen, J.; Venkatesh, A. Life cycle greenhouse gas emissions of Marcellus shale gas. Environ. Res. Lett. 2011, 6, 034014. [Google Scholar] [CrossRef]
- Sparling, G.P. Ratio of microbial biomass carbon to soil organic carbon as a sensitive indicator of changes in soil organic matter. Soil Res. 1992, 30, 195–207. [Google Scholar] [CrossRef]







Publisher’s Note: MDPI stays neutral with regard to jurisdictional claims in published maps and institutional affiliations. |
© 2022 by the authors. Licensee MDPI, Basel, Switzerland. This article is an open access article distributed under the terms and conditions of the Creative Commons Attribution (CC BY) license (https://creativecommons.org/licenses/by/4.0/).
Share and Cite
Vilakazi, B.S.; Zengeni, R.; Mafongoya, P. Tillage and Urea Fertilizer Application Impacts on Soil C Fractions and Sequestration. Agronomy 2022, 12, 1725. https://doi.org/10.3390/agronomy12071725
Vilakazi BS, Zengeni R, Mafongoya P. Tillage and Urea Fertilizer Application Impacts on Soil C Fractions and Sequestration. Agronomy. 2022; 12(7):1725. https://doi.org/10.3390/agronomy12071725
Chicago/Turabian StyleVilakazi, Bonginkosi S., Rebecca Zengeni, and Paramu Mafongoya. 2022. "Tillage and Urea Fertilizer Application Impacts on Soil C Fractions and Sequestration" Agronomy 12, no. 7: 1725. https://doi.org/10.3390/agronomy12071725
APA StyleVilakazi, B. S., Zengeni, R., & Mafongoya, P. (2022). Tillage and Urea Fertilizer Application Impacts on Soil C Fractions and Sequestration. Agronomy, 12(7), 1725. https://doi.org/10.3390/agronomy12071725
