Next Article in Journal
Effect of Harvest Date on Kernel Quality and Antioxidant Activity in su1 Sweet Corn Genotypes
Previous Article in Journal
Germination and Growth Performance of Water-Saving and Drought-Resistant Rice Enhanced by Seed Treatment with Wood Vinegar and Biochar under Dry Direct-Seeded System
 
 
Font Type:
Arial Georgia Verdana
Font Size:
Aa Aa Aa
Line Spacing:
Column Width:
Background:
Article

Introgression of Resistance to Multiple Pathotypes of Plasmodiophora brassicae from Turnip (Brassica rapa ssp. rapifera) into Spring B. napus Canola

Department of Agricultural, Food and Nutritional Science, University of Alberta, Edmonton, AB T6G 2P5, Canada
*
Author to whom correspondence should be addressed.
Agronomy 2022, 12(5), 1225; https://doi.org/10.3390/agronomy12051225
Submission received: 16 March 2022 / Revised: 17 April 2022 / Accepted: 29 April 2022 / Published: 19 May 2022
(This article belongs to the Topic Plant Breeding, Genetics and Genomics)

Abstract

:
Clubroot disease resistance has been introgressed from Brassica rapa into canola following different approaches including a B. napus × B. rapa interspecific cross; however, the details of this cross are not available. To extend our knowledge of this cross for the introgression of resistance to multiple pathotypes, we crossed a clubroot-resistant turnip with a susceptible canola and backcrossed the F1′s to canola. The backcross population was subjected to pedigree breeding with selection for clubroot resistance and canola-quality traits; selection for resistance to pathotype 3H and 3A was performed in the early and advanced generations, respectively. The advanced generation lines were also evaluated for resistance to 3H, 3A, 2B, and 5x, and for field resistance to clubroot, and agronomic and seed quality traits. Following this, we developed canola lines carrying resistance to multiple pathotypes and nuclear DNA content similar to B. napus. Resistance to 3H showed a weak correlation with other pathotypes whereas resistance to 3A showed a strong positive correlation with 5x indicating that resistance to these pathotypes was under a similar genetic control. Thus, the results demonstrate that resistance to multiple pathotypes can be introgressed from a turnip into a canola even when selection for resistance to single pathotype is performed in early generations.

1. Introduction

Clubroot, a soil-borne disease, caused by Plasmodiophora brassicae Woronin, has been known since the 13th century in cruciferous oilseed and vegetable crops such as Brassica napus (2n = 38, AACC), Brassica rapa (2n = 20, AA), and Brassica oleracea (2n = 18, CC) [1]. P. brassicae is an obligate biotrophic protist which attacks root hair and results in abnormal cell division, and thus, forms club shaped roots or ‘galls’. These clubbed roots inhibit the uptake of water and nutrients and result in stunted growth, wilting, chlorosis, and even the death of the plant [2]. This disease is known to be present in about 60 countries and causes 10–15% yield loss of Brassica crops on a global scale [1]. In the case of canola, yield loss due to this disease has been reported in many countries including Canada [3,4], China [5], India [6], Europe [7,8], and Australia [9]. This disease can result in about 30% yield loss in canola [4]; however, under extreme conditions, complete failure of the crop has been reported [10]. Apart from yield loss, this disease can result in about a 6% decrease in seed oil [11].
The resting spores of P. brassicae can survive in soil for more than 15 years [12] and various pathotypes of this pathogen generally occur in soil [13,14,15]. The structure of the pathotype population of P. brassicae in soil can change in a short period of time [15]. For example, in the initial stage of the occurrence of this disease in Canada, pathotype 3 or 3H was the most virulent and prevalent. However, new virulent pathotypes, such as 3A, 2B, 3D, and 5x evolved in canola fields after growing resistant cultivars for about 10 years rendering some of the resistances ineffective [15,16]. Strelkov et al. [17] reported that 3H was the most common pathotype in the Peace Country of Canada in 2017, and this pathotype was almost absent in 2018; however, novel pathotypes such as 8C were detected in this region. Control of this disease by crop management practices such as cultural, chemical, and agro-technical treatments was not sustainable [18]; therefore, the deployment of resistant cultivars has been considered the most effective, economic, and environment-friendly approach for the long-term management of this disease [3].
To date, a total of 24 clubroot-resistant loci conferring resistance to different pathotypes have been mapped on the A01, A02, A03, A05, A06, A07, and A08 chromosomes of the A genome of B. rapa and B. napus [18]. The majority of the loci including CRa/CRb [19,20,21,22,23,24] CRd [25], CRk [26], Crr3 [27,28], CRq [29], Rcr1 [30], Rcr2 [31], Rcr4 [32], and Rcr5 [33] have been mapped at the 15.5–16.3 Mb and 23.8–26.8 Mb regions of A03 of the reference genome B. rapa ‘Chiifu-401’ [18]. Among the other chromosomes, A08 carries five loci while the remaining chromosomes carry one or two loci. These loci often confer race-specific resistance to pathotypes, such as Rcr1, Rcr2, and Rcr5 which confer resistance to pathotype 3, Crr3 and CRq which confer resistance to pathotype 2, and CRb which confers resistance to pathotypes 2, 3, 4, and 8 [18]. On the other hand, clubroot resistance in the C genome of B. oleracea is often under polygenic control with the involvement of recessive to dominant gene loci with a small to large effect [18,34]. Of the major clubroot-resistance loci of the A genome, only a few of them have been used to develop B. napus canola cultivars in Europe and Canada [3,18]. For example, in Canada, the major clubroot resistance genes were obtained from the European winter oilseed B. napus cv. ‘Mendel’ [35], and B. rapa subsp. chinensis cv. Flower Navina [36] and Chinese cabbage (B. rapa ssp. pekinensis) [37,38]; among these, resistance of the cv. ‘Mendel’ has been used extensively in breeding. The cv. ‘Mendel’ carries a race-specific resistance originating from a resynthesized B. napus, which was developed from a partially resistant cabbage (B. oleracea ssp. capitata) accession ‘ECD 15’ and a resistant turnip (B. rapa ssp. rapifera) accession ‘ECD 04’ [39]. However, the major resistance gene of this cultivar conferring resistance to pathotype 3H is located on A03 [40]; this gene is apparently derived from the turnip accession ECD 04. The European turnips were also used to develop race- or pathotype-specific clubroot-resistant rutabaga (B. napus var. napobrassica) cultivars [41,42]. The clubroot resistance of rutabaga cv. Brookfield, located on A08, has been introgressed into Canadian canola [43]. A cultivar carrying a single major clubroot-resistance gene has been reported to become ineffective only after a few years of cultivation; this has been reported in several countries including Canada [15] and Japan [27]. This is primarily due to the change in the population structure of this pathogen in soil and the evolution of new virulent pathotypes [15,16,44,45]. As mentioned above, the A-genome of B. rapa carries several clubroot-resistance loci [18]; in this regard, introgression of additional loci from this species into canola will broaden the genetic base of clubroot resistance in this crop.
As discussed above, a few clubroot-resistance loci have been introgressed into B. napus from B. rapa [36,37,46]. However, detailed information of this including the breeding behavior of the B. napus × B. rapa interspecific cross progeny and the prospect of the introgression of resistance to multiple pathotypes cannot be found in the literature. The objectives of this study were to investigate the feasibility of the introgression of resistance to multiple pathotypes from a turnip into a spring B. napus canola, and the development of a canola-quality B. napus line carrying resistance to these pathotypes. The knowledge from this research could be used for the efficient introgression of additional resistances from the A genome of B. rapa into B. napus canola.

2. Materials and Methods

2.1. Plant Material and Population Development

The parents used in this study include a clubroot-susceptible spring B. napus (2n = 38, AACC) canola-quality (zero erucic acid in oil and low glucosinolate (GSL) in seed meal) line A04-73NA and a clubroot-resistant B. rapa var. rapifera turnip accession of the European Clubroot Differential (ECD) set (accession ECD 01 or cv. Debra). ECD 01 was completely resistant to multiple pathotypes including pathotype 3H and 3A (disease score = 0, disease severity index or DSI = 0%). The B. napus × B. rapa interspecific cross was made by using A04-73NA as the female, and F1 seeds (>2 seeds/pollination) of this cross could be obtained without the application of the cell and tissue culture technique [47]. High meiotic anomalies were expected in the allotriploid (AAC) F1 plants; therefore, the F1 plants were backcrossed to A04-73NA to achieve canola-quality clubroot-resistant euploid (2n = 38) B. napus lines. The BC1 plants were self-pollinated for seven generations with selection for spring growth habit, canola-quality traits, and resistance to the P. brassicae pathotype 3H in the early generations, and resistance to 3A and other pathotypes in later generations.

2.2. Greenhouse Assay for Clubroot Resistance

Single spore isolates of P. brassicae pathotypes 3H, 3A, 2B, and 5x used in this study were obtained from Dr. Stephen Strelkov, University of Alberta. These isolates were preserved in galls of a susceptible B. napus cv. Hi-Q at −18 °C until use. The inoculum of the resting spores was prepared following a modified version of Williams [48] technique as described in Hasan et al. [49]. In brief, approximately 37 g galls were soaked in 1000 mL distilled water for 2 h and homogenized in a blender (Ninja Professional Blender 1100 W) at a medium speed for 2 min. The homogenate was filtered through cheesecloth and the concentration of the spore suspension was adjusted to 1 × 107 spores/mL and stored at 4 °C overnight before inoculation.
The BC1F2 to BC1F7 generation plants of the (B. napus × B. rapa) × B. napus interspecific cross were grown together with the susceptible check B. napus cv. Hi-Q in a greenhouse of the University of Alberta in 32-cell (7 cm × 7 cm × 9 cm, L × W × D) trays filled with Sunshine Professional Growing Mix (Sunshine Horticulture, 15831 N.E., Bellevue, WA, USA); the greenhouse conditions were 20–22/15 °C day/night, 16 h photoperiod, and light intensity of 450 µE (mV) m2 s−1. The BC1F2 to BC1F6 generation populations were tested for resistance to pathotype 3H, while the BC1F5 to BC1F7 populations were tested for resistance to pathotype 3A. The BC1F8 generation population was also tested for resistance to pathotypes 3A, 2B, and 5x in 2 replications (8 plants per replication). Inoculation was carried out at 7–10 days after germination with 1 mL inoculum following the pipette method [50]. In this method, the inoculum was pipetted at the base of the seedling, and the inoculation was repeated the following day to ensure successful infection. After inoculation, soil in the cells was kept well saturated for 14 days to ensure sufficient moisture for infection; afterwards, the inoculated seedlings were watered daily and fertilized once a week. During the advancement of generation from BC1F2 to BC1F7, five to ten buds of the main raceme of the plants were self-pollinated by bag isolation and the plants were scored for resistance at maturity; seeds were harvested for growing the next generation population. The BC1F8 generation seeds were produced by growing the BC1F7 plants in 5-inch size pots and through self-pollination of individual plants by bag isolation.
Scoring of the plants for clubroot disease severity was carried out using a 0–3 scale (for details, see [14,51]), where 0 = no gall, 1 = small galls on less than 1/3rd of the roots, 2 = small to medium-sized galls on 1/3rd to 2/3rd of the roots, and 3 = severe galling with medium to large-sized galls on more than 2/3rd of the roots. The disease severity index (DSI) of different generation families was calculated using the following formula:
DSI   ( % ) =   ( n × 0 + n × 1 + n × 2 + n × 3 ) N × 3 × 100
where, n is the number of plants in each disease severity class and 0, 1, 2, and 3 are the disease symptom severity classes, and N is the total number of plants [49]. A DSI of less than 20% was considered resistant (R) and more than 70% was considered susceptible (S) while DSIs of >20 to 40% and >40 to 70% were considered as moderately resistant (MR) and moderately susceptible (MS), respectively. While growing the BC1F2 to BC1F7 generation plants in the greenhouse, selection was performed for clubroot resistance and zero erucic acid in seed oil.

2.3. Field Evaluation for Clubroot Resistance

A total of 341 BC1F8 lines exhibiting resistance to pathotype 3H and containing zero erucic acid in seed oil were tested in a P. brassicae-infested field in Spruce Grove, Alberta in 2020 for clubroot resistance. This field carries multiple P. brassicae pathotypes including 5x (Alberta Agriculture and Forestry, personnel communication). For this, a 0.5 g seed was seeded in a 3 m long single-row plot in one replication with 70 cm space between the rows; the susceptible check cv. Hi-Q was seeded at every 10th row as a check. Clubroot resistance was assessed at the end of flowering by uprooting 25 plants from each row and scoring the plants on a 0–3 scale, as described above.

2.4. Field Trials for Agronomic and Seed Quality Traits

A total of 452 BC1F8 lines, including the 341 lines tested in a P. brassicae-infested field, were also evaluated in field nursery plots in 2020 at the South Campus Research Station of the University of Alberta for agronomic and seed quality traits. For this, seeding was performed in 3 m long single row plots in one replication as described above. The canola line A03-73NA was seeded at every 20th row as a check. Open-pollinated seeds harvested by hand were used for chemical analysis.
Of the above-mentioned BC1F8 lines, 112 selected lines (BC1F9) were tested in replicated field trials in 2021 together with a recently released open-pollinated canola cultivar UA CountyGold for agronomic and seed quality traits. These trials were placed at three locations: the ERS-Michener, ERS-West 240, and St. Albert research farms of the University of Alberta within a 30 km radius of Edmonton, Alberta. Seeding was performed with a plot seeder in 7.5 × 1.8 m plots using 8 g seeds per plot, and the plots were trimmed to 5.0 × 1.8 m after emergence. All trials were laid in a modified randomized complete block design where each replication was divided into four blocks; the number of replications for each trial was two.
The following agronomic and seed quality traits were recorded: days to flowering, days to maturity, seed yield (kg/ha), seed oil (%), protein (%), and GSL (μmol/g seed) contents. Days to flowering data were recorded when about 50% of the plants in a plot had at least one open flower. Days to maturity data were collected when the silique color changed from green to light yellow or brown and the seed color in the silique of the main branch changed to brown or black. All yield trial plots were harvested using a plot combine and plot yield data were converted to kilograms per hectare.

2.5. Chemical Analysis

The fatty acid profiles of the seed oil of the BC1F5 and BC1F6 generation plants grown in greenhouse and of the seeds harvested from field trials were estimated by the gas chromatographic technique. Bulk seeds harvested from the field plots were analyzed for oil, protein, and GSL contents using the near-infrared spectroscopy (NIRS) technique (FOSS NIRSystems, Model 6500). About 0.5 g seed of each sample was used for the fatty acid analysis while 2.5 g seed was used for NIRS analysis. Erucic fatty acid and saturated fatty acids, which include lauric acid, myristic acid, palmitic acid, stearic acid, arachidic acid, behenic acid, and lignoceric acid, were reported as a percent of the total fatty acids; GSL content was reported as µmol g−1 seed at 8.5% moisture. All these analyses were carried out in the Analytical Laboratory of the Canola Program of the University of Alberta; this laboratory has been certified by the Canadian Grain Commission for these analyses.

2.6. Ploidy Analysis

Nuclear DNA contents of the clubroot-resistant BC1F6 generation plants grown in the greenhouse were estimated using a flow cytometer (Partec GmbH, Munster, Germany) to assess their approximate chromosome number. For this, two leaf samples (each of about 0.5 cm2) were collected from each plant at 3–4 weeks after seeding and the samples were chopped in an extraction buffer (Partec GmbH, Munster, Germany). The contents were filtered through a 50 µm Partec CellTrics disposable filter and a 1.6 mL nuclear fluorochrome DAPI staining buffer (4,6- diaminido-2-phenylindole, Sigma, product number D-9542) was added to each sample. After incubation for 1–2 min, the samples were analyzed by a Partec Ploidy Analyzer (for detail, see Iftikhar et al. [52]). The mean value of the two samples was used for the estimation of the approximate chromosome number of the plants.

2.7. Statistical Analysis

Analysis of variance (ANOVA) was carried out using the software program ‘R’ [53]. In this, the lmer function of the ‘lme4’ package was used to fit a linear mixed-effects model for each trait. Least-square mean (lsmean) values were calculated using the ‘lsmeans’ package of R, and Tukey’s test was carried out to compare the mean values for significant difference. Broad-sense heritability (H) was estimated using the following formula: H = δ2 g/ (δ2g +δ2ge/E + δ2ε/ER), where δ2g, δ2ge and δ2ε are the variance components for genotype, genotype × environment interaction and residual, respectively, and E and R are the number of environments and replications, respectively; the variance components were calculated using ‘R’. Other statistical analyses, such as mean and standard error, were calculated using Microsoft Excel. Pearson’s correlation, principal component analysis (PCA), and genotype by trait biplot (GT biplot) analysis for the relationship between the lines for resistance to different pathotypes were carried out using the software program ‘R’. The significance of correlations was tested using t-tests [54].

3. Results

3.1. Development of B. napus Lines Carrying Resistance to Pathotype 3H

Thirty-five BC1F1 plants were grown in the greenhouse of which fourteen were spring growth habit type and produced seeds under bag isolation; the remaining plants were either winter growth habit type (require vernalization for flowering) or failed to produce seeds under self-pollination. A total of 358 BC1F2 plants belonging to nine families (harvested from nine BC1F1 plants) were evaluated where 213 (59.5%) plants were found to be resistant and 145 (40.5%) susceptible (Table 1a). Self-pollinated seeds (BC1F3 seeds) of all 213 resistant BC1F2 plants were harvested. The BC1F3 and subsequent generation populations were grown from self-pollinated seeds harvested from the resistant plants only. In total, 594 BC1F3, 930 BC1F4, 767 BC1F5, and 286 BC1F6 plants, respectively, of 44, 108, 191, and 46 families were grown and evaluated for resistance to pathotype 3H. A decline in DSI from 41.4% in BC1F2 to 2.1% in the BC1F6 generation was found demonstrating the effectiveness of the selection for resistance to this pathotype in this interspecific population.

3.2. Development of B. napus Lines Carrying Resistance to Pathotype 3A

Due to the high sterility in early generations, the evaluation for resistance to pathotype 3A was delayed until the BC1F5 generation when sufficient seeds could be harvested from a good number of plants for the evaluation of resistance to pathotype 3H as well as 3A. A total of 725 BC1F5 plants belonging to 217 families were tested for resistance to pathotype 3A; these families were found to be resistant (disease score 0) to pathotype 3H. Of the 217 families, 59 (27.2%) were segregating for resistance and 158 (72.8%) were completely susceptible to this pathotype (Table 1b). Of the total BC1F5 population, 247 (34.0%) plants were found to be resistant to pathotype 3A. Thus, despite the selection performed in the earlier generations for resistance to pathotype 3H, several BC1F5 plants were found to carry resistance to pathotype 3A. In BC1F5 as well as in subsequent generations, the resistant plants were self-pollinated to grow the next generation population. A total of 1,109 BC1F6 plants belonging to 168 families were evaluated where only 114 (10.3%) plants were found to be resistant and the remaining 995 (89.7%) were susceptible. Thus, the proportion of resistant plants in BC1F6 generation declined as compared to the BC1F5 generation. However, in BC1F7 and BC1F8, respectively, 89.0% (1025/1151) and 98.6% (1540/1561) plants were found to be resistant (Table 1b). Thus, repeated selection for resistance to pathotype 3A reduced the DSI from 64.6% in BC1F5 to 2.3% in the BC1F8 generation.

3.3. Evaluation for Resistance to Clubroot under Field Conditions

A total of 341 BC1F8 lines, descended from 46 BC1F6 families homozygous for resistance to pathotype 3H, were evaluated in a clubroot-infested field (carrying pathotype 5x) in Spruce Grove, Alberta. However, resistance data from 315 lines were obtained; the number of plants for the remaining lines was less than the threshold number of plants needed for evaluation. Of these 315 lines, 168 (53.3%) were R, 10 (3.2%) MR, 6 (1.9%) MS, and 130 (41.3%) S (Figure 1A). Thus, the results demonstrated that the inbred B. napus lines derived from this interspecific cross carry resistance to multiple pathotypes including 5x.

3.4. Evaluation for Resistance to Multiple P. brassicae Pathotypes in the Greenhouse

Sixty-eight BC1F8 lines, homozygous for resistance to pathotype 3H, were evaluated for resistance to pathotype 2B, 5x and 3A, where nineteen (27.9%) lines were classified as R, eleven (17.6%) as MR, eight (11.8%) as MS and twenty-nine (42.7%) as S for resistance to pathotypes 2B (Figure 1B). In case of resistance to pathotype 5x, 15 (22.1%) were R, 12 (17.6%) were MR, 3 (4.4%) were MS, and 38 (55.9%) were S (Figure 1C); while for resistance to pathotype 3A, 24 (35.3%) were R, 6 (8.8%) were MR and 38 (55.9%) were S (Figure 1D). A joint analysis of the data of the 68 lines for resistance to multiple pathotypes showed that 10 (14.7%) lines were resistant to all four pathotypes; 29 (42.6%) were resistant to pathotype 3H but susceptible to pathotypes 2B, 3A, and 5x; and the remaining 29 (42.6%) lines were resistant to pathotype 3H but moderately resistant or susceptible to pathotypes 2B, 3A, or 5x (Figure 1E). This demonstrates that resistance to multiple pathotypes can be introgressed from a turnip into a B. napus canola through a B. napus × B. rapa interspecific cross.
Principal component analysis (PCA) was carried out to understand the nature of genetic variability among the BC1F8 lines for resistance to different P. brassicae pathotypes. The genotype by trait biplot analysis explained 98.2% of the total variance, where PC1 explained 96.4% of the total variance caused by genotype and PC2 explained 1.8% of the total variance which was due to the resistance to different pathotypes (Figure 2). The size of the vector for resistance to pathotype 3A was relatively longer as compared to the other pathotypes, suggesting that this pathotype was the major discriminator of the BC1F8 population. The vectors for resistance to pathotype 3A and 5x had an angle of nearly zero (r = 0.97, p < 0.01) indicating that these two pathotypes accounted for a similar type of variation. The trait pairs, resistance to pathotype 3A vs. 2B (r = 0.94, p < 0.01), and resistance to 5x vs. 2B (r = 0.95, p < 0.01) had an acute (<90°) angle suggesting that their variation was positively correlated. The trait pairs’ resistance to pathotype 3H vs. 3A (r = 0.02, p < 0.01), 3H vs. 5x (r = 0.08, p < 0.01) and 3H vs. 2B (r = 0.08, p < 0.01) had a near-right angle, indicating that resistance to pathotype 3H was weakly or not correlated with resistance to the other pathotypes.

3.5. Flow Cytometric Analysis

A total of 150 BC1F6 plants belonging to 46 families which showed resistance to pathotype 3H were analyzed for relative nuclear DNA content (Partec value); the parents B. rapa ECD 01 and B. napus A03-73NA were used as controls. Nuclear DNA content of the B. rapa parent was 161.5 ± 2.0 S.E. while it was 404.2 ± 1.2 S.E. for the B. napus parent (Table 2, Figure S1). Relative nuclear DNA content of the BC1F6 population varied from 351.4 to 409.2 with a mean of 383.0 ± 0.9 S.E. which was close to the B. napus parent. This suggests that the majority of the BC1F6 plants had a chromosome number similar to the B. napus parent (Table 2).

3.6. Agronomic and Seed Quality Traits

Erucic acid content in the seed oil of the BC1F5 plants grown in a greenhouse varied from 0.01 to 30.9% with a mean of 18.1 ± 0.6% S.E. (Figure S2). Of the total 240 plants evaluated, 17% (41/240) plants had <1% erucic acid in the seed oil, i.e., were of the zero-erucic acid type. All these zero-erucic acid plants were selected, and selection for additional zero erucic acid plants was performed in the progeny of the families containing <10% erucic acid in oil. All BC1F8 lines tested in the field nursery plots in 2020 were of the zero erucic acid type.
Days to flowering in the BC1F8 lines tested in the field nursery in 2020 varied from 46 to 60 days with a mean of 51.0 ± 0.2 days, which was about three days later than the spring B. napus parent A04-73NA (48.0 ± 0.2 days) (Table S1a, Figure S2). About 17% of the BC1F8 lines (76/455) flowered earlier than the B. napus parent. This population, on average, took 105.8 ± 0.2 days to mature (range 99 to 115 days); however, about 18% of the BC1F8 lines (83/455) matured earlier than A04-73NA. The oil content in the seeds of the BC1F8 lines varied from 40.6 to 51.5% with a mean of 46.2 ± 0.1% which was lower than the B. napus parent A04-73NA (48.7 ± 0.3%). However, the best BC1F8 line contained 51.5% oil, which was about 2.8% higher than the B. napus parent. In contrast, the mean seed protein of this population was about 1.6% higher (range 19.2 to 30.0%; mean 24.9 ± 0.1 S.E. %) than the B. napus parent (23.4 ± 0.3 S.E. %) (Table S1a, Figure S2). Glucosinolates in this population varied from 7.8 to 31.2 µmol/g seed (Table S1a, Figure S2) with a mean of 14.4 ± 0.6 S.E. The confidence limits of GSL content for the B. napus canola parent were 11.6–12.4 µmol/g seed (n = 24; range 10.2–14.2 and mean = 12.0 ± 0.2 S.E. µmol/g seed). Based on this, about 31% of the BC1F8 lines had a GSL content either similar to or lower than the B. napus parent.
Based on clubroot resistance under field conditions in Spruce Grove, and the agronomic and seed quality data from the 2020 nursery plots, 112 lines were selected for tests in replicated yield trials in 2021. Analysis of variance of the 112 BC1F9 lines tested in the replicated field trials showed the existence of significant variation (p < 0.001) for seed yield, days to flowering, and days to maturity. The variation due to locations and due to the interaction between genotypes and locations (G × L) was significant (p < 0.05) for days to flowering; however, no significant variation was found between the locations for seed yield and days to maturity (Table S2). Broad sense heritability for seed yield, days to flowering, and days to maturity were 0.67, 0.96 and 0.87, respectively. In the case of the seed quality traits, significant variation was found for seed oil and GSL contents (p < 0.001) (Table S2); G × L was significant (p < 0.001) for seed protein and GSL. Broad sense heritability for seed oil, protein and GSL were 0.81, 0.69, and 0.95, respectively.
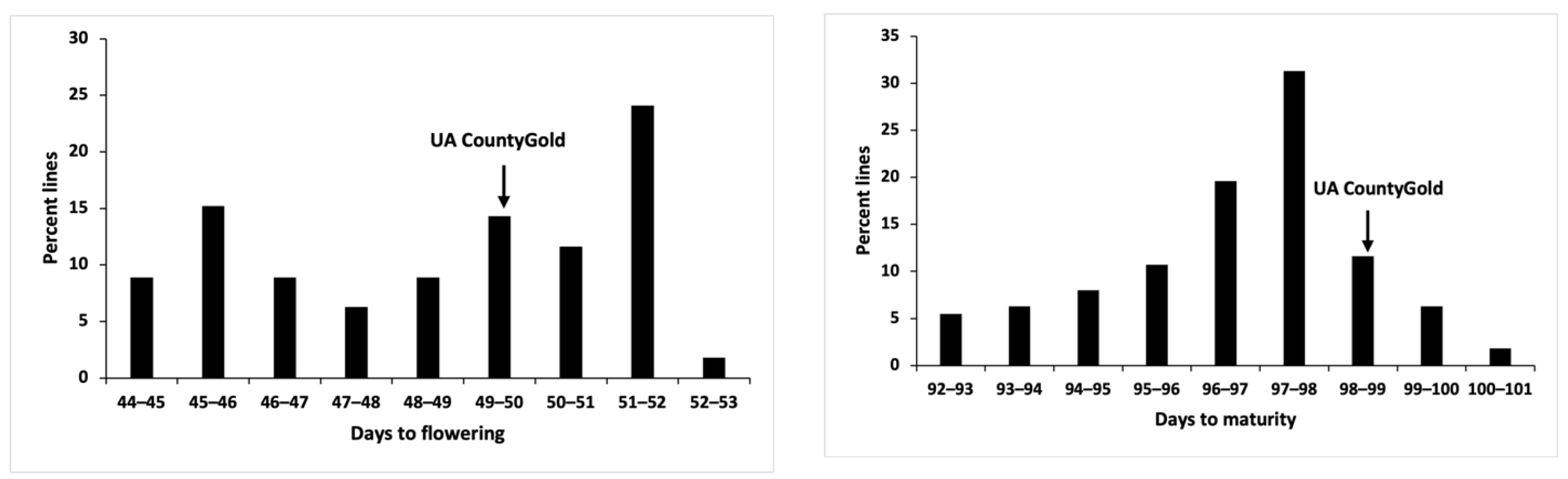
Days to flowering in the BC1F9 population varied from 42 to 55 days with a mean of 48.7 ± 0.2 days when the check cultivar UA CountyGold took 49.0 ± 0.6 days to flower. About 50% of the lines flowered earlier than UA CountyGold and a large majority of the lines also matured earlier than this check. Seed yield of the lines varied from 1008 to 3626 kg/ha with a mean of 1,749 ± 17.8 kg/ha, which was similar to mean yield of the check (1744 ± 93.9 kg/ha); about 20% of the lines yielded similar or greater than the check. On average, the seed oil content in the BC1F9 population was lower, and seed protein, GSL, and saturated fatty acid contents were similar to the check (Figure 3); indeed, all 112 lines were of the zero erucic acid type. Thus, several canola-quality lines with acceptable agronomic and seed quality traits and exhibiting resistance to multiple P. brassicae pathotypes could be obtained from this interspecific cross.

4. Discussion

Interspecific crosses between B. napus and B. rapa have been carried out by several researchers for different purposes [47,55] including the introgression of clubroot resistance from B. rapa into B. napus [36,37,38]. Among the different forms of B. rapa, several accessions of European turnips (B. rapa ssp. rapifera) have been reported to carry clubroot resistance [49,56]. Some of the European turnips have been used to develop clubroot-resistant Chinese cabbage (B. rapa ssp. chinensis/pekinensis) [27], oilseed B. napus [39], and rutabagas (B. napus var. napobrassica) [41,42]. Molecular mapping of clubroot resistance using turnip accessions identified several loci conferring resistance to different P. brassicae races or pathotypes. For example, Suwabe et al. [57,58] mapped the loci Crr1 and Crr2, conferring resistance to race 2 and race 4 by using the B. rapa ssp. rapifera cv. Siloga. Similarly, by using the turnip cv. ‘Debra’ two clubroot-resistant loci, CRk and CRc, conferring resistance to the isolates M85 and K08, and K08, respectively, were identified by Sakamoto et al. [26]. QTL analysis using resistance derived from the turnip cv. Milan White, Hirai et al. [27] identified the locus Crr3 conferring resistance to isolate Ano-01 [28]. The turnip accession ECD 04 carries five clubroot-resistant loci where they mostly provide race-specific resistance to the P. brassicae strains Pb2, Pb4, Pb7, and Pb10 [59]. Hirani et al. [60] reported that four turnip accessions of the ECD set, viz. ECD 01, ECD 02, ECD 03, and ECD 04, carry resistance to the Canadian field isolates. Similarly, Fredua-Agyeman et al. [61] reported two major dominant loci, CRa/CRbKato and Crr1 in ECD02 exhibiting resistance to pathotypes 5x and 5G. Zhan et al. [62] fine-mapped the clubroot-resistant locus PbBa8.1 of ECD 04. Thus, it is apparent that several turnip accessions including the cv. Debra (ECD 01) may carry multiple clubroot-resistant loci and confer resistance to multiple pathotypes including 3H and 3A [49,63] and the present study]. However, the possibility of the introgression of resistance to multiple pathotypes from a turnip into a B. napus canola through a B. napus × B. rapa interspecific cross has not been investigated so far. The results from our study demonstrate that resistance to multiple P. brassicae pathotypes can be introgressed from the turnip into the canola even when selection for resistance to a single pathotype is performed in an early segregating population.
According to Attri and Rahman [47], a loss of about 55% of the B. rapa alleles can occur in the progeny of the B. napus × B. rapa interspecific cross by the F4 generation. This is apparently due to a high meiotic anomaly in the early generation populations of this interspecific cross. Therefore, we backcrossed the di-genomic triploid F1 plants (AAC) to the B. napus (AACC) canola parent to reduce meiotic anomalies and thus, to recover canola- quality B. napus plants without much difficulty. We applied selection for resistance to pathotype 3A first in the BC1F5 generation and were still able to develop B. napus lines carrying resistance to this pathotype. In fact, following this approach of selection for resistance to pathotype 3H in the early generations and for resistance to pathotype 3A in BC1F5, we were able to develop 10 BC1F8 canola lines carrying resistance to four pathotypes (2B, 3A, 3H, and 5x). The reconstituted clubroot-resistant lines derived from this B. napus × B. rapa interspecific cross were of the B. napus type as evident from the flow cytometric analysis for nuclear DNA content (Table 2). This agrees with the results reported by Attri and Rahman [47] that most of the plants derived from the B. napus × B. rapa interspecific cross stabilize into the B. napus type.
In the present study, the early generation interspecific population was selected for resistance to pathotype 3H; however, some of the lines also exhibited resistance to other pathotypes such as 3A, 2B, and 5x. This could have resulted from the pleiotropic effect of the 3H resistance to resistance to other pathotypes; the co-localization of multiple clubroot-resistant genes in the same genomic region conferring resistance to multiple pathotypes cannot be ruled out. Bi-plot and principal component analyses of the lines carrying resistance to multiple pathotypes revealed that the resistance to pathotypes 3A and 5x was under a similar genetic control, while a different genetic control was involved in the control of resistance to pathotype 3H. This was also evident from a strong correlation (r = 0.94–0.97) between the resistance to the 3A and 5x pathotypes, while there was a weaker correlation (r = 0.01–0.08) between the resistance to the 3H and 3A or 5x pathotypes. Thus, it is highly likely that, even though selection for resistance to pathotype 3H was performed in an early segregating generation, additional clubroot-resistant loci were introgressed into the inbred population derived from this interspecific cross.
The genetic control of the two canola-quality traits, erucic acid in seed oil and GSL in seed meal, is relatively simple compared to the genetic control of many other quantitative traits, such as days to flowering and maturity [64] and seed oil and protein contents [65]. Erucic acid content in B. napus is controlled by two major loci located on A08 and C03 [66] and these loci act in an additive [67] or partly dominant manner [68]; a homozygous recessive condition at both loci results in the zero erucic acid phenotype. Seed GSL content in B. napus is controlled by at least four gene loci [69] where about half of the loci are located in the A genome [70]; a homozygous recessive condition at all loci results in the low GSL phenotype. This genetic control of the two canola-quality traits and the breeding technique applied in this study, viz. backcrossing the F1 to the canola-quality parent (AcAtCc × AcAcCcCc, where the superscripted c indicates the alleles for the canola-quality traits, and t indicates the turnip (non-canola quality) alleles), facilitated the achievement of canola-quality clubroot-resistant lines from this interspecific cross.

5. Conclusions

The results reported in this paper demonstrate that a canola-quality B. napus line carrying resistance to multiple P. brassicae pathotypes can be achieved from a (B. napus × B. rapa) × B. napus interspecific cross through selection for resistance to a single pathotype in the early generation population. The occurrence of resistance to multiple pathotypes in the advanced generation population and the strong correlation between resistance to some of these pathotypes indicate that a common genetic mechanism might be involved in the control of resistance to multiple pathotypes. A pleiotropic effect of a resistance gene conferring resistance to multiple pathotypes also cannot be ruled out; however, all these hypotheses need to be confirmed experimentally. Nevertheless, the knowledge gained from this study could be used by Brassica researchers and breeders for the introgression of clubroot resistance as well as other traits from B. rapa into B. napus canola.

Supplementary Materials

The following supporting information can be downloaded at: https://www.mdpi.com/article/10.3390/agronomy12051225/s1, Figure S1: DNA histogram showing the relative nuclear DNA content in the Brassica rapa and B. napus parents and in a representative BC1F6 plant. The X-axis shows the relative quantity of DNA in a cell and the Y-axis shows the number of cells counted, Figure S2: Distribution of the BC1F8 lines of the (Brassica napus × B. rapa) × B. napus interspecific cross, grown in nursery plots in 2020, for days to flowering (n = 452 lines), days to maturity (n = 452), and seed oil (n = 450), protein (n = 450), and glucosinolate (n = 450) contents. Erucic acid content in the seed oil of the BC1F5 plants (n = 240) grown in the greenhouse also presented. The value for the B. napus parent A04-73NA are indicated by the vertical arrow, Table S1: Performance of the BC1F8 lines (n = 450–452; see Figure S2) derived from the (B. napus × B. rapa) × B. napus interspecific cross and their spring B. napus parent A04-73NA tested in nursery plots in 2020, and the BC1F9 lines (n = 112) and an open-pollinated cultivar UA CountyGold tested in replicated field trials in 2021 for different agronomic and seed quality traits, Table S2: Analysis of variance for the agronomic and seed quality traits of the BC1F9 lines derived from the (B. napus × B. rapa) × B. napus interspecific cross. Data from three trials conducted in 2021 were used in the analysis.

Author Contributions

H.R. conceived the research idea and supervised the experiments. K.K. carried out the experiments, collected and analyzed the data, and drafted the manuscript. Y.L. carried out the experiment for resistance to multiple pathotypes and PCA analysis. H.R. provided critical feedback throughout the experiments and helped in data analysis and finalizing the manuscript. All authors have read and agreed to the published version of the manuscript.

Funding

This work has been supported by grants from the Canola Agronomic Research Program (CARP) (Alberta Canola Producers Commission, Saskatchewan Canola Development Commission, and Manitoba Canola Growers Association) (Research Grant # CARP 2017-5), and Alberta Innovates (Research Grant # SRP-G2018000849).

Data Availability Statement

Not applicable.

Acknowledgments

The authors thank Rubeena Sheikh, Mehdi Farid, An Vo, Jose Salvador Lopez and other personnel from the University of Alberta canola program for technical assistance in this research.

Conflicts of Interest

The authors declare there is no conflict of interest.

References

  1. Dixon, G.R. The occurrence and economic impact of Plasmodiophora brassicae and clubroot disease. J. Plant Growth Regul. 2009, 28, 194–202. [Google Scholar] [CrossRef]
  2. Kageyama, K.; Asano, T. Life cycle of Plasmodiophora brassicae. J. Plant Growth Regul. 2009, 28, 203–211. [Google Scholar] [CrossRef]
  3. Rahman, H.; Peng, G.; Yu, F.; Falk, K.C.; Kulkarni, M.; Selvaraj, G. Genetics and breeding for clubroot resistance in Canadian spring canola (Brassica napus L.). Can. J. Plant Pathol. 2014, 36, 122–134. [Google Scholar] [CrossRef]
  4. Tewari, J.P.; Strelkov, S.E.; Orchard, D.; Hartman, M.; Lange, R.M.; Turkington, T.K. Identification of clubroot of crucifers on canola (Brassica napus) in Alberta. Can. J. Plant Pathol. 2005, 27, 143–144. [Google Scholar] [CrossRef]
  5. Chai, A.L.; Xie, X.W.; Shi, Y.X.; Li, B.J. Research status of clubroot (Plasmodiophora brassicae) on cruciferous crops in China. Can. J. Plant Pathol. 2014, 36, 142–153. [Google Scholar] [CrossRef]
  6. Bhattacharya, I.; Dutta, S.; Mondal, S.; Mondal, B. Clubroot disease on Brassica crops in India. Can. J. Plant Pathol. 2014, 36, 154–160. [Google Scholar] [CrossRef]
  7. Diederichsen, E.; Frauen, M.; Ludwig-Müller, J. Clubroot disease management challenges from a German perspective. Can. J. Plant Pathol. 2014, 36, 85–98. [Google Scholar] [CrossRef]
  8. Wallenhammar, A.C.; Almquist, C.; Schwelm, A.; Roos, J.; Marzec-Schmidt, K.; Jonsson, A.; Dixelius, C. Clubroot, a persistent threat to Swedish oilseed rape production. Can. J. Plant Pathol. 2014, 36, 135–141. [Google Scholar] [CrossRef]
  9. Donald, E.C.; Porter, I.J. Clubroot in Australia: The history and impact of Plasmodiophora brassicae in Brassica crops and research efforts directed towards its control. Can. J. Plant Pathol. 2014, 36, 66–84. [Google Scholar] [CrossRef]
  10. Howard, R.J.; Strelkov, S.E.; Harding, M.W. Clubroot of cruciferous crops- New perspectives on an old disease. Can. J. Plant Pathol. 2010, 32, 43–57. [Google Scholar] [CrossRef]
  11. Pageau, D.; Lajeunesse, J.; Lafond, J. Impact de l’hernie des crucifères [Plasmodiophora brassicae] sur la productivité et la qualité du canola [Impact of cruciferous hernia (Plasmodiophora brassicae) on canola productivity and quality]. Can. J. Plant Pathol. 2006, 28, 137–143. [Google Scholar] [CrossRef]
  12. Wallenhammar, A.C. Prevalence of Plasmodiophora brassicae in a spring oilseed rape growing area in central Sweden and factors influencing soil infestation levels. Plant Pathol. 1996, 45, 710–719. [Google Scholar] [CrossRef]
  13. Manzanares-Dauleux, M.J.; Divaret, I.; Baron, F.; Thomas, G. Assessment of biological and molecular variability between and within field isolates of Plasmodiophora brassicae. Plant Pathol. 2001, 50, 165–173. [Google Scholar] [CrossRef] [Green Version]
  14. Strelkov, S.E.; Tewari, J.P.; Smith-Degenhardt, E. Characterization of Plasmodiophora brassicae populations from Alberta, Canada. Can. J. Plant Pathol. 2006, 28, 467–474. [Google Scholar] [CrossRef]
  15. Strelkov, S.E.; Hwang, S.F.; Manolii, V.P.; Cao, T.S.; Feindel, D. Emergence of new virulence phenotypes of Plasmodiophora brassicae on canola (Brassica napus) in Alberta. Canada. Eur. J. Plant Pathol. 2016, 145, 517–529. [Google Scholar] [CrossRef]
  16. Strelkov, S.E.; Hwang, S.F.; Manolii, V.P.; Cao, T.; Fredua-Agyeman, R.; Harding, M.W.; Peng, G.; Gossen, B.D.; McDonald, M.R.; Feindel, D. Virulence and pathotype classification of Plasmodiophora brassicae populations collected from clubroot resistant canola (Brassica napus) in Canada. Can. J. Plant Pathol. 2018, 40, 284–298. [Google Scholar] [CrossRef]
  17. Strelkov, S.E.; Hwang, S.F.; Manolii, V.P.; Turnbull, G.; Fredua-Agyeman, R.; Hollman, K.; Kaus, S. Characterization of clubroot (Plasmodiophora brassicae) from canola (Brassica napus) in the Peace Country of Alberta, Canada. Can. J. Plant Pathol. 2021, 43, 155–161. [Google Scholar] [CrossRef]
  18. Hasan, M.J.; Megha, S.; Rahman, H. Clubroot in Brassica: Recent advances in genomics, breeding and disease management. Genome 2021, 64, 8. [Google Scholar] [CrossRef]
  19. Cho, K.; Han, Y.; Yoon, B.; Ryu, S.; Woo, J. Resistance in Chinese cabbage using single spore isolate of Plasmodiophora brassicae and development of RAPD markers linked to its resistance gene. J. Crop Sci. Biotech. 2008, 11, 101–106. [Google Scholar]
  20. Hatakeyama, K.; Niwa, T.; Kato, T.; Ohara, T.; Kakizaki, T.; Matsumoto, S. The tandem repeated organization of NB-LRR genes in the clubroot-resistant CRb locus in Brassica rapa L. Mol. Genet. Genomics. 2017, 292, 397–405. [Google Scholar] [CrossRef]
  21. Kato, T.; Hatakeyama, K.; Fukino, N.; Matsumoto, S. Identification of a clubroot resistance locus conferring resistance to a Plasmodiophora brassicae classified into pathotype group 3 in Chinese cabbage (Brassica rapa L.). Breed. Sci. 2012, 62, 282–287. [Google Scholar] [CrossRef] [PubMed] [Green Version]
  22. Kato, T.; Hatakeyama, K.; Fukino, N.; Matsumoto, S. Fine mapping of the clubroot resistance gene CRb and development of a useful selectable marker in Brassica rapa. Breed. Sci. 2013, 63, 116–124. [Google Scholar] [CrossRef] [Green Version]
  23. Matsumoto, E.; Yasui, C.; Ohi, M.; Tsukada, M. Linkage analysis of RFLP markers for clubroot resistance and pigmentation in Chinese cabbage (Brassica rapa ssp. pekinensis). Euphytica 1998, 104, 79. [Google Scholar] [CrossRef]
  24. Piao, Z.Y.; Deng, Y.Q.; Choi, S.R.; Park, Y.J.; Lim, Y.P. SCAR and CAPS mapping of CRb, a gene conferring resistance to Plasmodiophora brassicae in Chinese cabbage (Brassica rapa ssp. pekinensis). Theor. Appl. Genet. 2004, 108, 1458–1465. [Google Scholar] [CrossRef]
  25. Pang, W.; Fu, P.; Li, X.; Zhan, Z.; Yu, S.; Piao, Z. Identification and mapping of the clubroot resistance gene CRd in Chinese cabbage (Brassica rapa ssp. pekinensis). Front. Plant Sci. 2018, 9, 653. [Google Scholar] [CrossRef] [PubMed] [Green Version]
  26. Sakamoto, K.; Saito, A.; Hayashida, N.; Taguchi, G.; Matsumoto, E. Mapping of isolate-specific QTLs for clubroot resistance in Chinese cabbage (Brassica rapa L. ssp. pekinensis). Theor. Appl. Genet. 2008, 117, 759–767. [Google Scholar] [CrossRef] [PubMed]
  27. Hirai, M.; Harada, T.; Kubo, N.; Tsukada, M.; Suwabe, K.; Matsumoto, S. A novel locus for clubroot resistance in Brassica rapa and its linkage markers. Theor. Appl. Genet. 2004, 108, 639–643. [Google Scholar] [CrossRef] [PubMed]
  28. Saito, M.; Kubo, N.; Matsumoto, S.; Suwabe, K.; Tsukada, M.; Hirai, M. Fine mapping of the clubroot resistance gene, Crr3, in Brassica rapa. Theor. Appl. Genet. 2006, 114, 81–91. [Google Scholar] [CrossRef]
  29. Yuan, Y.; Wei, X.; Zhang, Q.; Zhao, Y.; Jiang, W.; Yao, Q. BSA-Seq technologies identify a major QTL for clubroot resistance in Chinese cabbage (Brassica rapa ssp. pekinensis). In Proceedings of the KSM Spring Meeting & KSM-ICWG-GSP Joint Clubroot Symposium, Daejeon, Korea, 13–15 May 2015; p. 41. [Google Scholar]
  30. Chu, M.; Song, T.; Falk, K.C.; Zhang, X.; Liu, X.; Chang, A.; Lahlali, R.; McGregor, L.; Gossen, B.D.; Yu, F.; et al. Fine mapping of Rcr1 and analyses of its effect on transcriptome patterns during infection by Plasmodiophora brassicae. BMC Genom. 2014, 15, 1166. [Google Scholar] [CrossRef] [Green Version]
  31. Huang, Z.; Peng, G.; Liu, X.; Deora, A.; Falk, K.C.; Gossen, B.D.; McDonald, M.R.; Yu, F. Fine mapping of a clubroot resistance gene in Chinese cabbage using SNP markers identified from bulked segregant RNA sequencing. Front. Plant Sci. 2017, 8, 1–9. [Google Scholar] [CrossRef] [Green Version]
  32. Yu, F.; Zhang, X.; Peng, G.; Falk, K.C.; Strelkov, S.E.; Gossen, B.D. Genotyping-by-sequencing reveals three QTL for clubroot resistance to six pathotypes of Plasmodiophora brassicae in Brassica rapa. Sci. Rep. 2017, 7, 4516. [Google Scholar] [CrossRef] [PubMed]
  33. Huang, Z.; Peng, G.; Gossen, B.D.; Yu, F. Fine mapping of a clubroot resistance gene from turnip using SNP markers identified from bulked segregant RNA-Seq. Mol. Breeding. 2019, 39, 131. [Google Scholar] [CrossRef]
  34. Farid, M.; Yang, R.C.; Kebede, B.; Rahman, H. Evaluation of Brassica oleracea accessions for resistance to Plasmodiophora brassicae and identification of genomic regions associated with resistance. Genome 2020, 63, 91–101. [Google Scholar] [CrossRef]
  35. Rahman, H.; Shakir, A.; Jakir, H.M. Breeding for clubroot resistant spring canola (Brassica napus L.) for the Canadian prairies: Can the European winter canola cv. Mendel be used as a source of resistance? Can. J. Plant Sci. 2011, 91, 447–458. [Google Scholar] [CrossRef] [Green Version]
  36. Chu, M.; Yu, F.; Falk, K.C.; Liu, X.; Zhang, X.; Chang, A.; Peng, G. Identification of the clubroot resistance gene Rpb1 and introgression of the resistance gene into canola breeding lines using a marker-assisted selection approach. Acta Hortic. 2013, 1005, 599–605. [Google Scholar] [CrossRef]
  37. Hirani, A.H.; Gao, F.; Liu, J.; Fu, G.; Wu, C.; Yuan, Y.; Li, W.; Hou, J.; Duncan, R.; Li, G. Transferring clubroot resistance from Chinese cabbage (Brassica rapa) to canola (B. napus). Can. J. Plant Pathol. 2016, 38, 82–90. [Google Scholar] [CrossRef]
  38. Hasan, M.J.; Shaikh, R.; Basu, U.; Rahman, H. Mapping clubroot resistance of Brassica rapa introgressed into Brassica napus and development of molecular markers for the resistance. Crop Sci. 2021, 61, 4112–4127. [Google Scholar] [CrossRef]
  39. Diederichsen, E.; Sacristan, M. Disease response of resynthesized Brassica napus L. lines carrying different combinations of resistance to Plasmodiophora brassicae Wor. Plant Breed. 1996, 115, 5–10. [Google Scholar] [CrossRef]
  40. Fredua-Agyeman, R.; Rahman, H. Mapping of the clubroot disease resistance in spring Brassica napus canola introgressed from European winter canola cv. “Mendel”. Euphytica 2016, 211, 201–213. [Google Scholar] [CrossRef]
  41. Ayers, G.W.; Lelacheur, K.E. Genetics of resistance in rutabaga to two races of Plasmodiophora brassicae. Can. J. Plant Sci. 1972, 52, 897–900. [Google Scholar] [CrossRef]
  42. Bradshaw, J.; Gemmell, D.; Wilson, R. Transfer of resistance to clubroot (Plasmodiophora brassicae) to swedes (Brassica napus L. var. napobrassica Peterm) from B. rapa. Ann. Appl. Biol. 1997, 130, 337–348. [Google Scholar] [CrossRef]
  43. Hasan, M.J.; Rahman, H. Genetics and molecular mapping of resistance to Plasmodiophora brassicae pathotypes 2, 3, 5, 6, and 8 in rutabaga (Brassica napus var. napobrassica). Genome 2016, 59, 805–815. [Google Scholar] [CrossRef] [PubMed] [Green Version]
  44. LeBoldus, J.M.; Manolii, V.P.; Turkington, T.K.; Strelkov, S.E. Adaptation to Brassica host genotypes by a single spore isolate and population of Plasmodiophora brassicae (clubroot). Plant Dis. 2012, 96, 833–838. [Google Scholar] [CrossRef] [PubMed] [Green Version]
  45. Sedaghatkish, A.; Gossen, B.D.; Yu, F.; Torkamaneh, D.; McDonald, M.R. Whole-genome DNA similarity and population structure of Plasmodiophora brassicae strains from Canada. BMC Genom. 2019, 20, 744. [Google Scholar] [CrossRef]
  46. Frauen, M. A new clubroot resistant variety in winter oilseed rape. In Proceedings of the 10th International Rapeseed Congress, Canberra, Australia, 26–29 September 1999. [Google Scholar]
  47. Attri, R.; Rahman, H. Introgression of allelic diversity from genetically distinct variants of Brassica rapa into Brassica napus canola and inheritance of the B. rapa alleles. Crop Pasture Sci. 2018, 69, 94–106. [Google Scholar] [CrossRef]
  48. Williams, P.H. A system for the determination of races of Plasmodiophora brassicae that infect cabbage and rutabaga. Phytopathology 1996, 56, 624–626. [Google Scholar]
  49. Hasan, M.J.; Strelkov, S.; Howard, R.; Rahman, H. Screening of Brassica germplasm for resistance to Plasmodiophora brassicae pathotypes prevalent in Canada for broadening diversity in clubroot resistance. Can. J. Plant Sci. 2012, 92, 501–515. [Google Scholar] [CrossRef] [Green Version]
  50. Voorrips, R.E.; Visser, D.L. Examination of resistance to clubroot in accessions of Brassica oleracea using a glasshouse seedling test. Neth. J. Plant Pathol. 1993, 99, 269–276. [Google Scholar] [CrossRef]
  51. Kuginuki, Y.; Yoshikawa, H.; Hirai, M. Variation in virulence of Plasmodiophora brassicae in Japan tested with clubroot-resistant cultivars of Chinese cabbage (Brassica rapa L. ssp. pekinensis). Eur. J. Plant Pathol 1999, 105, 327–332. [Google Scholar] [CrossRef]
  52. Iftikhar, R.; Wang, X.; Rahman, H. Broadening the genetic base of Brassica napus canola by interspecific crosses with different variants of B. oleracea. Euphytica 2018, 214, 133. [Google Scholar] [CrossRef]
  53. R Core Team. 2020 R: A language and environment for statistical computing. R Foundation for statistical computing, Vienna, Austria. Available online: https://www.R-project.org/ (accessed on 10 November 2021).
  54. Iversen, G.R.; Gergen, M. Statistics: The Conceptual Approach; Springer: New York, NY, USA, 1997; ISBN 13-978-1-4612-2244-6. [Google Scholar]
  55. Leflon, M.; Eber, F.; Letanneur, J.C.; Chelysheva, L.; Coriton, O.; Huteau, V.; Ryder, C.D.; Barker, G.; Jenczewski, E.; Chèvre, A.M. Pairing and recombination at meiosis of Brassica rapa (AA) × Brassica napus (AACC) hybrids. Theor. Appl. Genet. 2006, 113, 1467–1480. [Google Scholar] [CrossRef] [PubMed]
  56. Peng, G.; Falk, K.C.; Gugel, R.K.; Franke, C.; Yu, F.; James, B.; Strelkov, S.E.; Hwang, S.F.; McGregor, L. Sources of resistance to Plasmodiophora brassicae (clubroot) pathotypes virulent on canola. Can. J. Plant Pathol. 2014, 36, 89–99. [Google Scholar] [CrossRef]
  57. Suwabe, K.; Tsukazaki, H.; Iketani, H.; Hatakeyama, K.; Fujimura, M.; Nunome, T.; Fukuoka, H.; Matsumoto, S.; Hirai, M. Identification of two loci for resistance to clubroot (Plasmodiophora brassicae Woronin) in Brassica rapa L. Theor. Appl. Genet. 2003, 107, 997–1002. [Google Scholar] [CrossRef] [PubMed]
  58. Suwabe, K.; Tsukazaki, H.; Iketani, H.; Hatakeyama, K.; Kondo, M.; Fujimura, M.; Nunome, T.; Fukuoka, H.; Hirai, M.; Matsumoto, S. Simple sequence repeat-based comparative genomics between Brassica rapa and Arabidopsis thaliana: The genetic origin of clubroot resistance. Genetics 2006, 173, 309–319. [Google Scholar] [CrossRef] [PubMed] [Green Version]
  59. Chen, J.; Jing, J.; Zhan, Z.; Zhang, T.; Zhang, C.; Piao, Z. Identification of Novel QTLs for Isolate-Specific Partial Resistance to Plasmodiophora brassicae in Brassica rapa. PLoS ONE 2013, 12, 85307. [Google Scholar] [CrossRef] [Green Version]
  60. Hirani, A.H.; Gao, F.; Liu, J.; Fu, G.; Wu, C.; McVetty, P.B.E.; Duncan, R.W.; Li, G. Combinations of independent dominant loci conferring clubroot resistance in all four turnip accessions (Brassica rapa) from the European clubroot differential set. Front. Plant Sci. 2018, 9, 1628. [Google Scholar] [CrossRef] [Green Version]
  61. Fredua-Agyeman, R.; Jiang, J.; Hwang, S.F.; Strelkov, S.E. QTL mapping and inheritance of clubroot resistance genes derived from Brassica rapa subsp. rapifera (ECD 02) reveals resistance loci and distorted segregation ratios in two F2 populations of different crosses. Front. Plant Sci. 2020, 11, 899. [Google Scholar] [CrossRef]
  62. Zhan, Z.; Jiang, Y.; Shah, N.; Hou, Z.; Zhou, Y.; Dun, B.; Li, S.; Zhu, L.; Li, Z.; Piao, Z.; et al. Association of clubroot resistance locus PbBa8.1 with a linkage drag of high erucic acid content in the seed of the European turnip. Front. Plant Sci. 2020, 11, 810. [Google Scholar] [CrossRef]
  63. Yu, F.; Zhang, Y.; Wang, J.; Chen, Q.; Karim, M.M.; Gossen, B.D.; Peng, G. Identification of two major QTLs in Brassica napus lines with introgressed clubroot resistance from turnip cultivar ECD01. Front. Plant Sci. 2022, 12, 785989. [Google Scholar] [CrossRef]
  64. Luo, Y.X.; Luo, C.Y.; Du, D.Z.; Fu, Z.; Yao, Y.M.; Xu, C.C.; Zhang, H.S. Quantitative trait analysis of flowering time in spring rapeseed (B. napus L.). Euphytica 2014, 200, 321–335. [Google Scholar] [CrossRef]
  65. Liu, S.; Fan, C.; Li, J.; Cai, G.; Yang, Q.; Wu, J.; Yi, X.; Zhang, C.; Zhou, Y. A genome-wide association study reveals novel elite allelic variations in seed oil content of Brassica napus. Theor. Appl. Genet. 2016, 129, 1203–1215. [Google Scholar] [CrossRef] [PubMed]
  66. Rahman, M.H.; Sun, Z.; McVetty, P.B.E.; Li, G. High throughput genome-specific and gene-specific molecular markers for erucic acid genes in Brassica napus (L.) for marker-assisted selection in plant breeding. Theor. Appl. Genet. 2008, 117, 895–904. [Google Scholar] [CrossRef] [PubMed]
  67. Harvey, B.L.; Downey, R.K. The inheritance of erucic acid content in rapeseed (Brassica napus). Can. J. Plant Sci. 1964, 44, 104–111. [Google Scholar] [CrossRef]
  68. Jönsson, R. Breeding for improved oil and meal quality in rape (Brassica napus L.) and turnip rape (Brassica campestris L.). Hereditas 1978, 87, 205–218. [Google Scholar] [CrossRef]
  69. Rahman, M.H.; Joersbo, M.; Poulsen, M.H. Development of yellow-seeded Brassica napus of double low quality. Plant Breed. 2001, 120, 473–478. [Google Scholar] [CrossRef]
  70. Rahman, H.; Kebede, B.; Zimmerli, C.; Yang, R.C. Genetic study and QTL mapping of seed glucosinolate content in Brassica rapa L. Crop Sci. 2014, 54, 537–543. [Google Scholar] [CrossRef]
Figure 1. Distribution of the BC1F8 generation Brassica napus lines derived from the (B. napus × B. rapa) × B. napus interspecific cross exhibiting clubroot resistance under field conditions and to different Plasmodiophora brassicae pathotypes under greenhouse conditions: (A) Field condition in Alberta, (B) pathotype 2B, (C) pathotype 5x (L-G1), (D) pathotype 3A, (E) multiple pathotypes (x-axis: 3H-R/3A-R/5x-R/2B-R = resistant to all pathotypes (3H, 3A, 5x and 2B); 3H-R/3A-R/5x-R/2B-MR = resistant to pathotypes 3H, 3A and 5x while moderately resistant to pathotype 2B; 3H-R/3A-R/5x-MR/2B-R = resistant to pathotypes 3H, 3A and 2B while moderately resistant to pathotype 5x; 3H-R/3A-R/5x-MR/2B-MR = resistant to pathotypes 3H and 3A while moderately resistant to pathotypes 5x and 2B; 3H-R/3A-R/5x-MS/2B-R = resistant to pathotypes 3H, 3A and 2B while moderately susceptible to pathotypes 2B; 3H-R/3A-MR/5x-R/2B-MR = moderately resistant to pathotypes 3A and 2B while resistant to pathotypes 3H and 2B; 3H-R/3A-MR/5x-MR/2B-R = moderately resistant to pathotypes 3A and 5x while resistant to pathotypes 3H and 2B; 3H-R/3A-MR/5x-MR/2B-MR = moderately resistant to pathotypes 3A, 5x, and 2B while resistant to 3H; 3H-R/3A-MR/5x-MS/2B-MR = resistant to 3H, moderately resistant to pathotypes 3A and 2B while moderately susceptible to pathotypes 5x; 3H-R/3A-S/5x-S/2B-MR = resistant to 3H, susceptible to pathotypes 3A and 5x while moderately resistant to pathotype 2B; 3H-R/3A-S/5x-S/2B-MS = resistant to 3H, susceptible to pathotypes 3A and 5x while susceptible to pathotype 2B; 3H-R/3A-S/5x-S/2B-S = resistant to 3H and susceptible to other three pathotypes). R = resistant (DSI ≤ 20%); MR = moderately resistant (DSI ≥ 20–40%); MS = moderately susceptible (DSI ≥ 40–70%); S = susceptible (DSI > 70%). ‘n’ indicates the number of lines.
Figure 1. Distribution of the BC1F8 generation Brassica napus lines derived from the (B. napus × B. rapa) × B. napus interspecific cross exhibiting clubroot resistance under field conditions and to different Plasmodiophora brassicae pathotypes under greenhouse conditions: (A) Field condition in Alberta, (B) pathotype 2B, (C) pathotype 5x (L-G1), (D) pathotype 3A, (E) multiple pathotypes (x-axis: 3H-R/3A-R/5x-R/2B-R = resistant to all pathotypes (3H, 3A, 5x and 2B); 3H-R/3A-R/5x-R/2B-MR = resistant to pathotypes 3H, 3A and 5x while moderately resistant to pathotype 2B; 3H-R/3A-R/5x-MR/2B-R = resistant to pathotypes 3H, 3A and 2B while moderately resistant to pathotype 5x; 3H-R/3A-R/5x-MR/2B-MR = resistant to pathotypes 3H and 3A while moderately resistant to pathotypes 5x and 2B; 3H-R/3A-R/5x-MS/2B-R = resistant to pathotypes 3H, 3A and 2B while moderately susceptible to pathotypes 2B; 3H-R/3A-MR/5x-R/2B-MR = moderately resistant to pathotypes 3A and 2B while resistant to pathotypes 3H and 2B; 3H-R/3A-MR/5x-MR/2B-R = moderately resistant to pathotypes 3A and 5x while resistant to pathotypes 3H and 2B; 3H-R/3A-MR/5x-MR/2B-MR = moderately resistant to pathotypes 3A, 5x, and 2B while resistant to 3H; 3H-R/3A-MR/5x-MS/2B-MR = resistant to 3H, moderately resistant to pathotypes 3A and 2B while moderately susceptible to pathotypes 5x; 3H-R/3A-S/5x-S/2B-MR = resistant to 3H, susceptible to pathotypes 3A and 5x while moderately resistant to pathotype 2B; 3H-R/3A-S/5x-S/2B-MS = resistant to 3H, susceptible to pathotypes 3A and 5x while susceptible to pathotype 2B; 3H-R/3A-S/5x-S/2B-S = resistant to 3H and susceptible to other three pathotypes). R = resistant (DSI ≤ 20%); MR = moderately resistant (DSI ≥ 20–40%); MS = moderately susceptible (DSI ≥ 40–70%); S = susceptible (DSI > 70%). ‘n’ indicates the number of lines.
Agronomy 12 01225 g001aAgronomy 12 01225 g001b
Figure 2. Principal component analysis (PCA) of the BC1F8 B. napus population (n = 68) derived from the (B. napus × B. rapa) × B. napus interspecific cross for resistance to Plasmodiophora brassicae pathotypes 2B (P2B), 3A (P3A), 3H (P3H), and 5x (P5x). This analysis placed the population into four groups based on disease severity index (DSI%) for these pathotypes.
Figure 2. Principal component analysis (PCA) of the BC1F8 B. napus population (n = 68) derived from the (B. napus × B. rapa) × B. napus interspecific cross for resistance to Plasmodiophora brassicae pathotypes 2B (P2B), 3A (P3A), 3H (P3H), and 5x (P5x). This analysis placed the population into four groups based on disease severity index (DSI%) for these pathotypes.
Agronomy 12 01225 g002
Figure 3. Distribution of the BC1F9 lines of the (B. napus × B. rapa) × B. napus interspecific cross grown in replicated field trials in 2021, for days to flowering (n = 112 lines), days to maturity (n = 112), and seed yield (n = 112), and seed oil (n = 44), protein (n = 44), glucosinolate (n = 44), and saturated fatty acids (n = 44). The value for the check cultivar UA CountyGold is indicated by the vertical arrow.
Figure 3. Distribution of the BC1F9 lines of the (B. napus × B. rapa) × B. napus interspecific cross grown in replicated field trials in 2021, for days to flowering (n = 112 lines), days to maturity (n = 112), and seed yield (n = 112), and seed oil (n = 44), protein (n = 44), glucosinolate (n = 44), and saturated fatty acids (n = 44). The value for the check cultivar UA CountyGold is indicated by the vertical arrow.
Agronomy 12 01225 g003aAgronomy 12 01225 g003b
Table 1. Occurrence of plants resistant to Plasmodiophora brassicae (a) pathotype 3H and (b) pathotype 3A in different generation populations of the (B. napus × B. rapa) × B. napus interspecific cross.
Table 1. Occurrence of plants resistant to Plasmodiophora brassicae (a) pathotype 3H and (b) pathotype 3A in different generation populations of the (B. napus × B. rapa) × B. napus interspecific cross.
GenerationTotal FamiliesTotal PlantsNo. Segr. FamiliesNo. Non-Segr. FamiliesNo. Plants with Disease Score 0 to 3, and Disease Severity Index (DSI)Percent Plants *
0123DSI (%)ResistantSusceptible
(a) Selection for resistance to pathotype 3H:
BC1F2935854173403011541.459.540.5
BC1F344594232143643358019.880.619.3
BC1F41089305355587965719027.973.426.5
BC1F51917672017172591324.695.64.3
BC1F6462860462800062.197.92.1
(b) Selection for resistance to pathotype 3A:
BC1F521772559158183649138764.634.066.0
BC1F616811095311590243695989.310.389.7
BC1F7911151583397649369011.389.011.0
BC1F823315611122214855511102.398.61.4
* Plants with disease scores 0 and 1 were classified as resistant while plants with scores 2 and 3 were classified as susceptible.
Table 2. Partec values for the relative nuclear DNA content in the BC1F6 population of the (B. napus × B. rapa) × B. napus interspecific cross.
Table 2. Partec values for the relative nuclear DNA content in the BC1F6 population of the (B. napus × B. rapa) × B. napus interspecific cross.
PopulationGenerationNo. PlantsRangeMean ± S.E.
(B. napus × B. rapa) × B. napusBC1F6150351.4–409.2383.0 ± 0.9
B. napus (A04-73NA)Parent6400.3–408.2404.2 ± 1.2
B. rapa (ECD 01)Parent6154.3–169.2161.5 ± 2.0
Publisher’s Note: MDPI stays neutral with regard to jurisdictional claims in published maps and institutional affiliations.

Share and Cite

MDPI and ACS Style

Kaur, K.; Liu, Y.; Rahman, H. Introgression of Resistance to Multiple Pathotypes of Plasmodiophora brassicae from Turnip (Brassica rapa ssp. rapifera) into Spring B. napus Canola. Agronomy 2022, 12, 1225. https://doi.org/10.3390/agronomy12051225

AMA Style

Kaur K, Liu Y, Rahman H. Introgression of Resistance to Multiple Pathotypes of Plasmodiophora brassicae from Turnip (Brassica rapa ssp. rapifera) into Spring B. napus Canola. Agronomy. 2022; 12(5):1225. https://doi.org/10.3390/agronomy12051225

Chicago/Turabian Style

Kaur, Kawalpreet, Yingyi Liu, and Habibur Rahman. 2022. "Introgression of Resistance to Multiple Pathotypes of Plasmodiophora brassicae from Turnip (Brassica rapa ssp. rapifera) into Spring B. napus Canola" Agronomy 12, no. 5: 1225. https://doi.org/10.3390/agronomy12051225

APA Style

Kaur, K., Liu, Y., & Rahman, H. (2022). Introgression of Resistance to Multiple Pathotypes of Plasmodiophora brassicae from Turnip (Brassica rapa ssp. rapifera) into Spring B. napus Canola. Agronomy, 12(5), 1225. https://doi.org/10.3390/agronomy12051225

Note that from the first issue of 2016, this journal uses article numbers instead of page numbers. See further details here.

Article Metrics

Back to TopTop